2020年 13卷 第5期
2020, 13(5): 899-918.
doi: 10.37188/CO.2020-0035
摘要:
碳纳米点由于具有独特的发光特性、良好的生物相容性、低毒性、良好的光稳定性等特性在近年来被广泛关注。这些特性使其在光电器件、可见光通讯、肿瘤治疗、生物成像等领域拥有潜在的应用价值。受到原料和合成方法的影响,碳纳米点材料体系多种多样。本文将系统地综述本课题组近年来以柠檬酸和尿素为主要原料合成的氮掺杂碳纳米点及其物理化学性质,探讨碳纳米点能带调控的方法及原理,并介绍碳纳米点的应用研究进展。
碳纳米点由于具有独特的发光特性、良好的生物相容性、低毒性、良好的光稳定性等特性在近年来被广泛关注。这些特性使其在光电器件、可见光通讯、肿瘤治疗、生物成像等领域拥有潜在的应用价值。受到原料和合成方法的影响,碳纳米点材料体系多种多样。本文将系统地综述本课题组近年来以柠檬酸和尿素为主要原料合成的氮掺杂碳纳米点及其物理化学性质,探讨碳纳米点能带调控的方法及原理,并介绍碳纳米点的应用研究进展。
2020, 13(5): 919-935.
doi: 10.37188/CO.2020-0037
摘要:
光学相干层析成像(Optical Coherence Tomography,OCT)是一种基于低相干光干涉原理,利用样品背散/反射光与参考光相干的非接触非侵入性的新型成像技术,可提供具有微米级分辨率的一维深度,二维截面层析和三维立体的实时扫描图像。OCT技术具有非接触、无损伤、图像分辨率高且操作简单、便携等优点,主要应用于生物医学成像和诊断领域,弥补了共聚焦显微镜成像穿透深度低和超声波成像分辨率低的不足。目前,OCT技术已作为诊断视网膜疾病的临床标准,而且OCT技术结合内窥镜技术已成为临床上心血管及肠胃疾病诊断的重要工具,同时也为肌肉骨骼疾病,乃至癌症早期诊断、手术指导及术后康复提供依据。为了拓宽OCT技术的应用范围、提高医疗检测水平,研究人员正致力于增加OCT系统在生物组织中的穿透深度、提高系统的分辨率和信噪比、优化系统综合性能等方面的研究。本文论述了OCT系统的原理、分类,以及其在不同生物医学领域的应用及最新进展。
光学相干层析成像(Optical Coherence Tomography,OCT)是一种基于低相干光干涉原理,利用样品背散/反射光与参考光相干的非接触非侵入性的新型成像技术,可提供具有微米级分辨率的一维深度,二维截面层析和三维立体的实时扫描图像。OCT技术具有非接触、无损伤、图像分辨率高且操作简单、便携等优点,主要应用于生物医学成像和诊断领域,弥补了共聚焦显微镜成像穿透深度低和超声波成像分辨率低的不足。目前,OCT技术已作为诊断视网膜疾病的临床标准,而且OCT技术结合内窥镜技术已成为临床上心血管及肠胃疾病诊断的重要工具,同时也为肌肉骨骼疾病,乃至癌症早期诊断、手术指导及术后康复提供依据。为了拓宽OCT技术的应用范围、提高医疗检测水平,研究人员正致力于增加OCT系统在生物组织中的穿透深度、提高系统的分辨率和信噪比、优化系统综合性能等方面的研究。本文论述了OCT系统的原理、分类,以及其在不同生物医学领域的应用及最新进展。
2020, 13(5): 936-964.
doi: 10.37188/CO.2020-0010
摘要:
全面论述了古代纸质文物包括纸张原料、墨、印泥和颜料等所涉及的各种现代科技检测技术与方法,主要分为成像法和波谱法两大类。成像法是包括透光、红外、紫外、X射线、中子活化等展示样品表面或内部宏观信息的摄影法,X射线、太赫兹、光相干等展示样品表面之下分层信息的层析成像方法,光学显微镜、扫描电子显微镜、透射电子显微镜、原子力显微镜等展示样品微观信息的显微成像方法。基于波与物质相互作用原理的具有指纹特征的波谱法则包括色谱、质谱、电子顺磁共振波谱、核磁共振波谱、X射线光电子能谱、X射线衍射谱、X射线荧光光谱、分子荧光光谱、拉曼光谱、紫外-可见-近红外-中红外-太赫兹吸收光谱、高光谱等。研究表明,上述技术的综合应用、各取所长和相互印证是揭示纸质文物的制造过程、艺术特征、保存历史、病害情况、真迹与否及如何修复等重要问题的有力手段。
全面论述了古代纸质文物包括纸张原料、墨、印泥和颜料等所涉及的各种现代科技检测技术与方法,主要分为成像法和波谱法两大类。成像法是包括透光、红外、紫外、X射线、中子活化等展示样品表面或内部宏观信息的摄影法,X射线、太赫兹、光相干等展示样品表面之下分层信息的层析成像方法,光学显微镜、扫描电子显微镜、透射电子显微镜、原子力显微镜等展示样品微观信息的显微成像方法。基于波与物质相互作用原理的具有指纹特征的波谱法则包括色谱、质谱、电子顺磁共振波谱、核磁共振波谱、X射线光电子能谱、X射线衍射谱、X射线荧光光谱、分子荧光光谱、拉曼光谱、紫外-可见-近红外-中红外-太赫兹吸收光谱、高光谱等。研究表明,上述技术的综合应用、各取所长和相互印证是揭示纸质文物的制造过程、艺术特征、保存历史、病害情况、真迹与否及如何修复等重要问题的有力手段。
2020, 13(5): 965-974.
doi: 10.37188/CO.2020-0079
摘要:
本文提出了一种基于二维线性调频Z变换的衍射光场分布快速计算方法,该方法在不增加运算量的情况下可以显著提高光场分布的图像分辨率,进而能够得到更准确的光束质量β因子值。在算法正确性验证的基础上,本文数值模拟了不同光束波前畸变的均方根RMS值与光束质量β因子的对应关系。仿真结果表明,在像差分布RMS值相同的前提下,几种低阶像差类型中球差类型的像差对光束质量的影响最大。为了模拟不同光斑分布形态,随机Zernike像差组合方式的光束质量β因子的仿真计算结果表明:相同的RMS值情况下,高阶像差占比较高的像差组合方式对应的光束质量β因子较大。
本文提出了一种基于二维线性调频Z变换的衍射光场分布快速计算方法,该方法在不增加运算量的情况下可以显著提高光场分布的图像分辨率,进而能够得到更准确的光束质量β因子值。在算法正确性验证的基础上,本文数值模拟了不同光束波前畸变的均方根RMS值与光束质量β因子的对应关系。仿真结果表明,在像差分布RMS值相同的前提下,几种低阶像差类型中球差类型的像差对光束质量的影响最大。为了模拟不同光斑分布形态,随机Zernike像差组合方式的光束质量β因子的仿真计算结果表明:相同的RMS值情况下,高阶像差占比较高的像差组合方式对应的光束质量β因子较大。
2020, 13(5): 975-987.
doi: 10.37188/CO.2020-0083
摘要:
为了区分纳米量级的表面上方颗粒物灰尘与表面下方气泡粒子这两种表面缺陷,且获得该方法的适用环境与最佳观测条件,根据瑞利散射理论结合偏振双向反射分布函数,建立了两种表面缺陷的偏振散射模型并进行了验证。在此基础上,通过仿真分析得到不同缺陷环境、不同观测条件对两种表面缺陷粒子偏振散射特性的影响。结果表明:利用p偏振光入射表面,而后探测p偏振光的双向反射分布函数值随散射方位角的变化趋势可区分两种表面缺陷;无论表面下方气泡粒子位置如何改变,均不影响该趋势的变化情况;不同光学元件表面材料、缺陷粒子种类、缺陷粒子大小对两种表面缺陷的偏振散射模型有一定影响,但整体趋势不变。实验中,针对本文所述两种表面缺陷进行区分时,可选取入射角度和探测散射角度均为 45°,采用较小波长入射光进行实验。
为了区分纳米量级的表面上方颗粒物灰尘与表面下方气泡粒子这两种表面缺陷,且获得该方法的适用环境与最佳观测条件,根据瑞利散射理论结合偏振双向反射分布函数,建立了两种表面缺陷的偏振散射模型并进行了验证。在此基础上,通过仿真分析得到不同缺陷环境、不同观测条件对两种表面缺陷粒子偏振散射特性的影响。结果表明:利用p偏振光入射表面,而后探测p偏振光的双向反射分布函数值随散射方位角的变化趋势可区分两种表面缺陷;无论表面下方气泡粒子位置如何改变,均不影响该趋势的变化情况;不同光学元件表面材料、缺陷粒子种类、缺陷粒子大小对两种表面缺陷的偏振散射模型有一定影响,但整体趋势不变。实验中,针对本文所述两种表面缺陷进行区分时,可选取入射角度和探测散射角度均为 45°,采用较小波长入射光进行实验。
2020, 13(5): 988-994.
doi: 10.37188/CO.2020-0064
摘要:
在通信领域,特别是波分复用方面,为了同时调整多通道增益和实现多波长光纤金宝搏188软件怎么用 器大范围稳定的光波输出,本文提出了一种未泵浦掺铒光纤Sagnac环透射端掺铒光纤放大器增益平坦特性研究方案,其由Sagnac环自身谐振模式、未泵浦掺铒光纤的吸收特性和由环中双折射拍长引起的谐振模式3者共同作用。通过调节Sagnac环中的偏振控制器,使得掺铒光纤放大器(EDFA)增益光谱在非泵浦掺铒光纤Sagnac环透射端可以被部分或者全部平坦化。实验结果表明:在透射端14 nm的波长范围内,部分增益光谱的平坦度为±0.145 dB;整个C波段光谱36.5 nm的波长范围内,增益光谱的完全平坦度为±1.225 dB。该增益谱平坦方案结构简单,输出光谱平坦度好,有望用于波分复用系统和多波长金宝搏188软件怎么用 器中。
在通信领域,特别是波分复用方面,为了同时调整多通道增益和实现多波长光纤金宝搏188软件怎么用 器大范围稳定的光波输出,本文提出了一种未泵浦掺铒光纤Sagnac环透射端掺铒光纤放大器增益平坦特性研究方案,其由Sagnac环自身谐振模式、未泵浦掺铒光纤的吸收特性和由环中双折射拍长引起的谐振模式3者共同作用。通过调节Sagnac环中的偏振控制器,使得掺铒光纤放大器(EDFA)增益光谱在非泵浦掺铒光纤Sagnac环透射端可以被部分或者全部平坦化。实验结果表明:在透射端14 nm的波长范围内,部分增益光谱的平坦度为±0.145 dB;整个C波段光谱36.5 nm的波长范围内,增益光谱的完全平坦度为±1.225 dB。该增益谱平坦方案结构简单,输出光谱平坦度好,有望用于波分复用系统和多波长金宝搏188软件怎么用 器中。
2020, 13(5): 995-1000.
doi: 10.37188/CO.2019-0195
摘要:
针对现有微波光传输系统存在电光转换效率不足的问题,本文设计了一种基于调制器低偏与光放大器相结合的光发射结构,通过充分利用链路增益与光功率水平之间的平方关系以及低偏链路传输效率与光功率呈近似线性变化的特点,实现了光载微波信号传输效率的有效提升。经过测试可知,本方案较常规正交点传输方式在射频增益方面提高了13.5 dB,同时不会使噪声系数产生明显恶化,并且本方案可以采用现成产品以实现低成本制作,在电子信息装备中具有广泛的应用潜力。
针对现有微波光传输系统存在电光转换效率不足的问题,本文设计了一种基于调制器低偏与光放大器相结合的光发射结构,通过充分利用链路增益与光功率水平之间的平方关系以及低偏链路传输效率与光功率呈近似线性变化的特点,实现了光载微波信号传输效率的有效提升。经过测试可知,本方案较常规正交点传输方式在射频增益方面提高了13.5 dB,同时不会使噪声系数产生明显恶化,并且本方案可以采用现成产品以实现低成本制作,在电子信息装备中具有广泛的应用潜力。
2020, 13(5): 1001-1013.
doi: 10.37188/CO.2020-0078
摘要:
为了解决传统电光混合运算逻辑单元速率低、功耗高、尺寸大等问题,以实现电光混合高速运算,本文设计了一种基于介电常数近零态(Epsilon-Near-Zero)和铟锡氧化物(ITO)薄膜电调控的集成硅基波导电光混合半加器。利用ITO激活材料薄膜的电调控特性实现了光路通断和交叉,从而实现了两位二进制数的半加法功能,通过3D-FDTD模拟仿真对器件模型结构参数进行了优化设计。仿真实验结果表明,当施加电压为0 V和2.35 V时,器件能够完成光信号逻辑控制。电光混合半加器工作在1550 nm波长时,其插入损耗为0.63 dB,消光比为31.73 dB,数据传输速率为61.62 GHz,每字节消耗能量为13.44 fJ,整个半加器尺寸小于21.3 μm×1.5 μm×1.2 μm。该器件具有结构紧凑、插入损耗低等特点,为高速电光混合光学逻辑器件及半加器设计提供了理论依据。
为了解决传统电光混合运算逻辑单元速率低、功耗高、尺寸大等问题,以实现电光混合高速运算,本文设计了一种基于介电常数近零态(Epsilon-Near-Zero)和铟锡氧化物(ITO)薄膜电调控的集成硅基波导电光混合半加器。利用ITO激活材料薄膜的电调控特性实现了光路通断和交叉,从而实现了两位二进制数的半加法功能,通过3D-FDTD模拟仿真对器件模型结构参数进行了优化设计。仿真实验结果表明,当施加电压为0 V和2.35 V时,器件能够完成光信号逻辑控制。电光混合半加器工作在1550 nm波长时,其插入损耗为0.63 dB,消光比为31.73 dB,数据传输速率为61.62 GHz,每字节消耗能量为13.44 fJ,整个半加器尺寸小于21.3 μm×1.5 μm×1.2 μm。该器件具有结构紧凑、插入损耗低等特点,为高速电光混合光学逻辑器件及半加器设计提供了理论依据。
2020, 13(5): 1014-1022.
doi: 10.37188/CO.2019-0251
摘要:
金宝搏188软件怎么用 多普勒雷达实际测得的振动信号绝大多数都是时变信号,而基于傅立叶变换的时频分析方法是处理时变信号的有利工具。本文针对金宝搏188软件怎么用 多普勒雷达测得的实际振动信号,比较了魏格纳-维利分布、平滑伪魏格纳-维利分布、频谱图、波恩-约旦分布和扩展修正B分布5种形式的时频分析性能。利用金宝搏188软件怎么用 多普勒雷达测量实际单音响产生的啁啾信号振动、双音响产生的二分量啁啾信号振动、以及成年男性心跳振动3种振动,分析了时频图的分辨率和交叉项抑制情况,并通过计算时频聚集度指数,比较了5种分布情况下振动的分析性能。实验证明,扩展修正B分布的性能优于其他4种时频分布,扩展修正B分布更适合应用于金宝搏188软件怎么用 多普勒雷达材料共振频率探测和心跳检测领域。
金宝搏188软件怎么用 多普勒雷达实际测得的振动信号绝大多数都是时变信号,而基于傅立叶变换的时频分析方法是处理时变信号的有利工具。本文针对金宝搏188软件怎么用 多普勒雷达测得的实际振动信号,比较了魏格纳-维利分布、平滑伪魏格纳-维利分布、频谱图、波恩-约旦分布和扩展修正B分布5种形式的时频分析性能。利用金宝搏188软件怎么用 多普勒雷达测量实际单音响产生的啁啾信号振动、双音响产生的二分量啁啾信号振动、以及成年男性心跳振动3种振动,分析了时频图的分辨率和交叉项抑制情况,并通过计算时频聚集度指数,比较了5种分布情况下振动的分析性能。实验证明,扩展修正B分布的性能优于其他4种时频分布,扩展修正B分布更适合应用于金宝搏188软件怎么用 多普勒雷达材料共振频率探测和心跳检测领域。
2020, 13(5): 1023-1031.
doi: 10.37188/CO.2020-0022
摘要:
为了探究不同光斑尺寸连续金宝搏188软件怎么用 辐照6061铝合金的温度响应及热致损伤问题,基于ANSYS有限元软件建立了金宝搏188软件怎么用 辐照下的三维物理模型;使用不同的金宝搏188软件怎么用 参数进行金宝搏188软件怎么用 辐照实验,根据所采集的温度和前表面散射光强度数据,反演计算了靶材在金宝搏188软件怎么用 辐照过程中吸收率的动态变化;最后,利用优化后的模型分析了不同光斑尺寸下,金宝搏188软件怎么用 辐照靶材的温升特点。研究结果表明:在1000 W/cm2的金宝搏188软件怎么用 辐照条件下,材料的吸收率随着温度的升高而升高;由于金宝搏188软件怎么用 加载的局域化特征,横向热扩散影响纵向温升,光斑足够大时该影响变小,这与其热扩散长度有关;对于4 mm厚的6061铝合金材料,当光斑尺寸大于10 cm时,光斑影响可以忽略,靶材背表面发生熔融损伤时间阈值保持2.6 s不变。
为了探究不同光斑尺寸连续金宝搏188软件怎么用 辐照6061铝合金的温度响应及热致损伤问题,基于ANSYS有限元软件建立了金宝搏188软件怎么用 辐照下的三维物理模型;使用不同的金宝搏188软件怎么用 参数进行金宝搏188软件怎么用 辐照实验,根据所采集的温度和前表面散射光强度数据,反演计算了靶材在金宝搏188软件怎么用 辐照过程中吸收率的动态变化;最后,利用优化后的模型分析了不同光斑尺寸下,金宝搏188软件怎么用 辐照靶材的温升特点。研究结果表明:在1000 W/cm2的金宝搏188软件怎么用 辐照条件下,材料的吸收率随着温度的升高而升高;由于金宝搏188软件怎么用 加载的局域化特征,横向热扩散影响纵向温升,光斑足够大时该影响变小,这与其热扩散长度有关;对于4 mm厚的6061铝合金材料,当光斑尺寸大于10 cm时,光斑影响可以忽略,靶材背表面发生熔融损伤时间阈值保持2.6 s不变。
2020, 13(5): 1032-1043.
doi: 10.37188/CO.2020-0027
摘要:
针对目前农业种植选种应用对于带稃壳水稻种子活力分级检测的迫切需求,以及现有通用的糙米检测技术存在的问题,本文提出一种基于近红外超连续金宝搏188软件怎么用 光谱的水稻种子活力透射光谱检测方法。首先,设计了种子活力近红外吸收光谱检测系统,测量了3种不同年份的带稃壳的水稻种子的近红外吸收光谱,结果显示,水稻种子的活力梯度与近红外吸收光谱的特征吸收峰值相关。然后,采用归一化、二阶导数校正法和正交信号校正相结合优化了种子光谱的预处理算法。最后,建立主成分分析(PCA)模型,对光谱进行降维,确定最佳主成分数目,应用偏最小二乘判别分析(PLS-DA)建立了水稻种子活力分析鉴别模型。分析结果表明,本文设计的透射式吸收光谱检测系统结合PLS-DA判别模型可对不同活力的水稻种子进行分类,校正集和验证集的准确率分别为94.44%和95.92%,筛选后水稻种子的发芽率可达97.17%。研究结果表明,本文提出的基于近红外光谱信息实现水稻种子活力无损分级的方法可行,且具有较高的预测精度。
针对目前农业种植选种应用对于带稃壳水稻种子活力分级检测的迫切需求,以及现有通用的糙米检测技术存在的问题,本文提出一种基于近红外超连续金宝搏188软件怎么用 光谱的水稻种子活力透射光谱检测方法。首先,设计了种子活力近红外吸收光谱检测系统,测量了3种不同年份的带稃壳的水稻种子的近红外吸收光谱,结果显示,水稻种子的活力梯度与近红外吸收光谱的特征吸收峰值相关。然后,采用归一化、二阶导数校正法和正交信号校正相结合优化了种子光谱的预处理算法。最后,建立主成分分析(PCA)模型,对光谱进行降维,确定最佳主成分数目,应用偏最小二乘判别分析(PLS-DA)建立了水稻种子活力分析鉴别模型。分析结果表明,本文设计的透射式吸收光谱检测系统结合PLS-DA判别模型可对不同活力的水稻种子进行分类,校正集和验证集的准确率分别为94.44%和95.92%,筛选后水稻种子的发芽率可达97.17%。研究结果表明,本文提出的基于近红外光谱信息实现水稻种子活力无损分级的方法可行,且具有较高的预测精度。
2020, 13(5): 1044-1054.
doi: 10.37188/CO.2019-0203
摘要:
本文针对化工过程中在线检测丙烯的需求,研究了基于调制吸收光谱技术(TDLAS)的检测技术,提出了一种独立于光谱线型特征的数值仿真方法,考虑实际金宝搏188软件怎么用 光源宽线宽对吸光度的影响,通过对比仿真和实验的光谱幅度变化规律,确定了丙烯气体分析装置的设计参数和技术方案,选择中心波长为1 628.5 nm的宽调谐DFB金宝搏188软件怎么用 器,采用差分方案去除解调光谱的直流偏置,采用多元回归模型降低化工过程的背景气体光谱干扰。在模拟实际环境的气体实验中,该装置在0~1% 量程内的最大相对误差为0.55%。对0.2% 的丙烯进行3小时连续测量,标准差为9.3×10−6;Allen方差分析发现在积分时间为221.9 s 时,极限标准差可达1.33×10−6。在抗干扰测试中,当背景气体甲烷、乙烯的浓度变化时,丙烯的测量误差最大仅为19.17×10−6。调制吸收光谱技术克服了色谱和软测量等传统方法的不足,TDLAS装置可检测有复杂光谱特征的重烃分子,展示了测量精度高、稳定性好、抗背景光谱干扰能力强等优点。
本文针对化工过程中在线检测丙烯的需求,研究了基于调制吸收光谱技术(TDLAS)的检测技术,提出了一种独立于光谱线型特征的数值仿真方法,考虑实际金宝搏188软件怎么用 光源宽线宽对吸光度的影响,通过对比仿真和实验的光谱幅度变化规律,确定了丙烯气体分析装置的设计参数和技术方案,选择中心波长为1 628.5 nm的宽调谐DFB金宝搏188软件怎么用 器,采用差分方案去除解调光谱的直流偏置,采用多元回归模型降低化工过程的背景气体光谱干扰。在模拟实际环境的气体实验中,该装置在0~1% 量程内的最大相对误差为0.55%。对0.2% 的丙烯进行3小时连续测量,标准差为9.3×10−6;Allen方差分析发现在积分时间为221.9 s 时,极限标准差可达1.33×10−6。在抗干扰测试中,当背景气体甲烷、乙烯的浓度变化时,丙烯的测量误差最大仅为19.17×10−6。调制吸收光谱技术克服了色谱和软测量等传统方法的不足,TDLAS装置可检测有复杂光谱特征的重烃分子,展示了测量精度高、稳定性好、抗背景光谱干扰能力强等优点。
2020, 13(5): 1055-1064.
doi: 10.37188/CO.2020-0034
摘要:
针对双目立体视觉重建点云模型与高分辨率纹理图像的融合问题,本文提出了一种新的纹理映射方法。在双目立体视觉系统上增设长焦纹理相机拍摄高分辨率纹理图像,利用高分辨率纹理图像与双目图像的二维特征匹配,以双目图像为桥梁,得到纹理图像与三维点云模型的匹配关系,进而实现高分辨率纹理图像到三维点云模型的映射。同时,针对映射过程中多视纹理图像重叠部分的数据冗余,提出一种引导线点云数据分区方法,有效解决了多视纹理图像重叠部分的映射问题。通过实验验证,所提方法能够方便准确地实现多视纹理图像与双目三维点云模型的纹理映射。在本文实验条件下,三维模型的纹理可分辨原始线宽为0.157 mm的线对,与双目系统直接产生的三维模型相比,其纹理分辨率提高了1倍,验证了所提出的多视高分辨率纹理映射方法的有效性。
针对双目立体视觉重建点云模型与高分辨率纹理图像的融合问题,本文提出了一种新的纹理映射方法。在双目立体视觉系统上增设长焦纹理相机拍摄高分辨率纹理图像,利用高分辨率纹理图像与双目图像的二维特征匹配,以双目图像为桥梁,得到纹理图像与三维点云模型的匹配关系,进而实现高分辨率纹理图像到三维点云模型的映射。同时,针对映射过程中多视纹理图像重叠部分的数据冗余,提出一种引导线点云数据分区方法,有效解决了多视纹理图像重叠部分的映射问题。通过实验验证,所提方法能够方便准确地实现多视纹理图像与双目三维点云模型的纹理映射。在本文实验条件下,三维模型的纹理可分辨原始线宽为0.157 mm的线对,与双目系统直接产生的三维模型相比,其纹理分辨率提高了1倍,验证了所提出的多视高分辨率纹理映射方法的有效性。
2020, 13(5): 1065-1074.
doi: 10.37188/CO.2020-0003
摘要:
本文建立了一种三维压缩感知模型以实现对高密度荧光分子图像的快速三维定位。首先,根据荧光显微的三维点扩展函数成像理论,设计测量矩阵,并建立压缩感知模型。接着,对荧光显微成像过程进行了模拟,并采用凸优化方法(CVX)、正交匹配追踪(Orthogonal Matching Pursuit,OMP)算法和同伦算法对建立的压缩感知模型中模拟生成的图像进行了定位分析,分别从恢复率、定位精度、重构时间几方面进行了对比。最后,采用同伦算法对模拟的生物样品和实验室采集的细胞进行了三维定位,并获得了三维超分辨图像。对比结果表明:在重构密度和定位精度接近的情况下,同伦算法比CVX方法的重构速度快2个数量级。同伦算法较OMP算法的定位精度要高一倍。采用同伦算法来实现三维的超分辨荧光显微成像在节约计算时间、实现实时成像方面具有一定的意义。
本文建立了一种三维压缩感知模型以实现对高密度荧光分子图像的快速三维定位。首先,根据荧光显微的三维点扩展函数成像理论,设计测量矩阵,并建立压缩感知模型。接着,对荧光显微成像过程进行了模拟,并采用凸优化方法(CVX)、正交匹配追踪(Orthogonal Matching Pursuit,OMP)算法和同伦算法对建立的压缩感知模型中模拟生成的图像进行了定位分析,分别从恢复率、定位精度、重构时间几方面进行了对比。最后,采用同伦算法对模拟的生物样品和实验室采集的细胞进行了三维定位,并获得了三维超分辨图像。对比结果表明:在重构密度和定位精度接近的情况下,同伦算法比CVX方法的重构速度快2个数量级。同伦算法较OMP算法的定位精度要高一倍。采用同伦算法来实现三维的超分辨荧光显微成像在节约计算时间、实现实时成像方面具有一定的意义。
2020, 13(5): 1075-1084.
doi: 10.37188/CO.2020-0025
摘要:
针对超声图像边缘较弱且不连续、图像灰度分布不均的特点,提出一种基于多方向、多频率的Gabor滤波融合多尺度水平集的边缘提取算法。将超声图像成像的不连续性看作随机方向的纹理,利用Gabor滤波的方向性进行不同角度的滤波,通过最大值融合多图像,得到待分割区域和背景之间的差异且最大程度地保留原图像信息的中间图像。同时,使用多中心频率的Gabor滤波核以满足超声图像复杂的频率分布特性,并通过均值融合的方式减弱噪声的影响。再针对融合图像边缘较弱且灰度变化不均的缺陷,改进传统的局部聚类水平集方法,采用不同方差大小的高斯卷积核来适应图像不同部分的灰度变化情况,通过均值融合构造多尺度能量函数。通过在增强图像上迭代改进后的多尺度水平集函数,获取最终边缘。为验证算法的有效性,对胃部超声图像进行测试,分割结果的相关性系数和敏感性系数分别达到了0.856和0.910,相比传统局部强度聚类水平集方法分别提升了20.7%和5%。实验结果表明,该算法可以显著提高超声图像边缘提取的连续性和准确性,有效降低因超声图像灰度不均和边缘较弱造成的过分割现象。
针对超声图像边缘较弱且不连续、图像灰度分布不均的特点,提出一种基于多方向、多频率的Gabor滤波融合多尺度水平集的边缘提取算法。将超声图像成像的不连续性看作随机方向的纹理,利用Gabor滤波的方向性进行不同角度的滤波,通过最大值融合多图像,得到待分割区域和背景之间的差异且最大程度地保留原图像信息的中间图像。同时,使用多中心频率的Gabor滤波核以满足超声图像复杂的频率分布特性,并通过均值融合的方式减弱噪声的影响。再针对融合图像边缘较弱且灰度变化不均的缺陷,改进传统的局部聚类水平集方法,采用不同方差大小的高斯卷积核来适应图像不同部分的灰度变化情况,通过均值融合构造多尺度能量函数。通过在增强图像上迭代改进后的多尺度水平集函数,获取最终边缘。为验证算法的有效性,对胃部超声图像进行测试,分割结果的相关性系数和敏感性系数分别达到了0.856和0.910,相比传统局部强度聚类水平集方法分别提升了20.7%和5%。实验结果表明,该算法可以显著提高超声图像边缘提取的连续性和准确性,有效降低因超声图像灰度不均和边缘较弱造成的过分割现象。
2020, 13(5): 1085-1093.
doi: 10.37188/CO.2019-0221
摘要:
为满足在各种谱线分布下对遥感仪器的光谱辐射定标,减小辐射定标光源对空间光学遥感仪器定标系数的影响,解决目前辐射定标光源光谱模拟精度低、光谱动态调节范围小的技术难题,本文从光谱叠加理论出发,根据多光谱合成原理,提出一种凸面光栅的Offner型宽动态范围辐射定标系统的设计方法。通过推导Offner型光谱成像光学结构的消像散条件,设计了一种柱面镜Offner型光谱成像光学系统,实现了宽光谱光束的精确细分,建立了数字微镜与其阵列面空间光谱辐射分布的映射关系。利用数字微镜的空间光调制特性,实现了辐射定标光源光谱分布大动态范围模拟。实验表明,辐射定标光源相邻单位阵列微镜的输出光谱峰值间隔小于0.5 nm,3种典型色温T=3000 K、T=5000 K和T=7000 K光谱模拟精度分别为5.2%、4.1%和3.2%。本文提出的设计方法有效提高了辐射定标光源的光谱模拟精度,减小了光谱不匹配对空间光学遥感仪器定标系数的影响。
为满足在各种谱线分布下对遥感仪器的光谱辐射定标,减小辐射定标光源对空间光学遥感仪器定标系数的影响,解决目前辐射定标光源光谱模拟精度低、光谱动态调节范围小的技术难题,本文从光谱叠加理论出发,根据多光谱合成原理,提出一种凸面光栅的Offner型宽动态范围辐射定标系统的设计方法。通过推导Offner型光谱成像光学结构的消像散条件,设计了一种柱面镜Offner型光谱成像光学系统,实现了宽光谱光束的精确细分,建立了数字微镜与其阵列面空间光谱辐射分布的映射关系。利用数字微镜的空间光调制特性,实现了辐射定标光源光谱分布大动态范围模拟。实验表明,辐射定标光源相邻单位阵列微镜的输出光谱峰值间隔小于0.5 nm,3种典型色温T=3000 K、T=5000 K和T=7000 K光谱模拟精度分别为5.2%、4.1%和3.2%。本文提出的设计方法有效提高了辐射定标光源的光谱模拟精度,减小了光谱不匹配对空间光学遥感仪器定标系数的影响。
2020, 13(5): 1094-1102.
doi: 10.37188/CO.2019-0252
摘要:
大口径空间巡天望远镜的精确平场定标是实现既定科学目标的重要前提。目前普遍是通过平场屏幕或大口径积分球提供均匀平场基准来检验像面响应一致性。针对平场屏幕照明均匀性差,超大口径积分球制备困难等问题,本文提出了一种基于子孔径扫描的平场定标方法,以改善平场基准的均匀性及杂散光导致的定标不确定度。首先,完成子孔径平场定标理论分析,建立子孔径平场定标数学模型,规划子孔径扫描路线及扫描孔径大小,进行标定用准直系统参数的初设计。其次,完成像面照度仿真验证实验。最后,搭建实验平台,对规划的子孔径进行扫描,构建全口径照度数据,验证上述大口径空间巡天望远镜子孔径拼接平场定标方案的可行性。实验结果表明:以全口径为基准,用子孔径拼接法扫描待测系统像面能量叠加对比全口径像面照度,能够恢复全口径的照度信息,全口径像面灰度值为231.085,单个子孔径叠加灰度值为233.350,误差为1%,本文研究表明子孔径拼接法可用于大口径巡天望远镜的平场定标,具有实际应用价值。
大口径空间巡天望远镜的精确平场定标是实现既定科学目标的重要前提。目前普遍是通过平场屏幕或大口径积分球提供均匀平场基准来检验像面响应一致性。针对平场屏幕照明均匀性差,超大口径积分球制备困难等问题,本文提出了一种基于子孔径扫描的平场定标方法,以改善平场基准的均匀性及杂散光导致的定标不确定度。首先,完成子孔径平场定标理论分析,建立子孔径平场定标数学模型,规划子孔径扫描路线及扫描孔径大小,进行标定用准直系统参数的初设计。其次,完成像面照度仿真验证实验。最后,搭建实验平台,对规划的子孔径进行扫描,构建全口径照度数据,验证上述大口径空间巡天望远镜子孔径拼接平场定标方案的可行性。实验结果表明:以全口径为基准,用子孔径拼接法扫描待测系统像面能量叠加对比全口径像面照度,能够恢复全口径的照度信息,全口径像面灰度值为231.085,单个子孔径叠加灰度值为233.350,误差为1%,本文研究表明子孔径拼接法可用于大口径巡天望远镜的平场定标,具有实际应用价值。
2020, 13(5): 1103-1114.
doi: 10.37188/CO.2020-0029
摘要:
为了满足大范围表面粗糙度测量评定的需求,本文介绍了一种基于彩色共聚焦传感器的差动式非接触测量评定系统和方法。在所提出的系统中,两个彩色共聚焦传感器和一个光学平晶构成差动式测量系统,并通过球头球窝连接方式与机械运动平台耦合。使用这种差动式结构可以补偿机械运动平台的直线度误差,并可以有效地提高测量评定精度。在此基础上,本文建立了表面粗糙度测量、误差补偿和测量性能评估的方法。为了验证所提出系统的性能,对标准高度台阶量块和粗糙度量块进行了测量评定实验。台阶高度的测量实验结果表明,在60 mm的行程范围内,所提出系统6次重复测量的标准偏差s为0.16 μm,相对标准偏差RSD为0.054%,机械运动平台的直线度误差得到了有效补偿;在测量粗糙度量块时,粗糙度参数Ra和Rq的测量误差分别为0.032 μm和0.073 μm。所提出系统的粗糙度测量评定能力满足大多数工程应用的需求。
为了满足大范围表面粗糙度测量评定的需求,本文介绍了一种基于彩色共聚焦传感器的差动式非接触测量评定系统和方法。在所提出的系统中,两个彩色共聚焦传感器和一个光学平晶构成差动式测量系统,并通过球头球窝连接方式与机械运动平台耦合。使用这种差动式结构可以补偿机械运动平台的直线度误差,并可以有效地提高测量评定精度。在此基础上,本文建立了表面粗糙度测量、误差补偿和测量性能评估的方法。为了验证所提出系统的性能,对标准高度台阶量块和粗糙度量块进行了测量评定实验。台阶高度的测量实验结果表明,在60 mm的行程范围内,所提出系统6次重复测量的标准偏差s为0.16 μm,相对标准偏差RSD为0.054%,机械运动平台的直线度误差得到了有效补偿;在测量粗糙度量块时,粗糙度参数Ra和Rq的测量误差分别为0.032 μm和0.073 μm。所提出系统的粗糙度测量评定能力满足大多数工程应用的需求。
2020, 13(5): 1115-1123.
doi: 10.37188/CO.2019-0256
摘要:
基于自行研制的双向反射分布函数(BRDF)测量装置,采用绝对测量方法在20~800 ℃的温度范围内测量了粗糙黄铜表面在近红外波段下的光谱偏振双向反射分布函数,分析了温度对BRDF的影响。结果表明,温度对黄铜表面的BRDF有明显的影响,随着温度的升高,BRDF整体呈现出稳定-增大-减小的变化趋势。对不同温度下材料表面的场扫描电镜、粗糙度和X射线衍射测试表明,温度对样品表面BRDF产生影响的主要原因是表面形貌和化学成分的改变。
基于自行研制的双向反射分布函数(BRDF)测量装置,采用绝对测量方法在20~800 ℃的温度范围内测量了粗糙黄铜表面在近红外波段下的光谱偏振双向反射分布函数,分析了温度对BRDF的影响。结果表明,温度对黄铜表面的BRDF有明显的影响,随着温度的升高,BRDF整体呈现出稳定-增大-减小的变化趋势。对不同温度下材料表面的场扫描电镜、粗糙度和X射线衍射测试表明,温度对样品表面BRDF产生影响的主要原因是表面形貌和化学成分的改变。
2020, 13(5): 1124-1137.
doi: 10.37188/CO.2020-0109
摘要:
机载红外点目标探测系统在搭载飞机飞行中探测系统的环境参数会发生变化,导致通过传统地面标定方法获取的非均匀性校正参数的准确性有所降低,故有必要进行机上基于场景的非均匀性校正。本文提出了一种基于帧间配准的机上非均匀性校正算法,首先对图像进行预处理,滤除探测器坏点影响,然后用两帧邻近图像计算互功率谱,求出互相关函数,确定配准位移。两帧连续图像完成配准后,通过误差函数最小化来实现校正参数的更新,最后对整个图像序列进行上述迭代计算,获取最终校正参数。本文模拟了一组非均匀性场景图像序列作为实验图像序列,通过实验分析,提出了帧间图像变化(平移、旋转、缩放)对本算法校正效果的影响,然后采用两个具有代表性的算法与本文提出的算法分别对该图像序列进行处理,并从图像质量和收敛速度两方面比较算法性能。结果表明:与其他两种算法相比,本文提出的算法非均匀性校正效果较好,峰值信噪比提高了20 dB以上,结构相似性则突破了0.99。本文提出的算法虽然比较复杂,但校正参数收敛速度较快,易于在硬件平台上实现,具有一定的工程应用前景。
机载红外点目标探测系统在搭载飞机飞行中探测系统的环境参数会发生变化,导致通过传统地面标定方法获取的非均匀性校正参数的准确性有所降低,故有必要进行机上基于场景的非均匀性校正。本文提出了一种基于帧间配准的机上非均匀性校正算法,首先对图像进行预处理,滤除探测器坏点影响,然后用两帧邻近图像计算互功率谱,求出互相关函数,确定配准位移。两帧连续图像完成配准后,通过误差函数最小化来实现校正参数的更新,最后对整个图像序列进行上述迭代计算,获取最终校正参数。本文模拟了一组非均匀性场景图像序列作为实验图像序列,通过实验分析,提出了帧间图像变化(平移、旋转、缩放)对本算法校正效果的影响,然后采用两个具有代表性的算法与本文提出的算法分别对该图像序列进行处理,并从图像质量和收敛速度两方面比较算法性能。结果表明:与其他两种算法相比,本文提出的算法非均匀性校正效果较好,峰值信噪比提高了20 dB以上,结构相似性则突破了0.99。本文提出的算法虽然比较复杂,但校正参数收敛速度较快,易于在硬件平台上实现,具有一定的工程应用前景。
2020, 13(5): 1138-1146.
doi: 10.37188/CO.2020-0073
摘要:
针对主动视觉安检方法准确率低、速度慢,不适用于实时交通安检的问题,提出了八度卷积(OctConv)和注意力机制双向门控循环单元(GRU)神经网络相结合的X光安检图像分类方法。首先,利用八度卷积代替传统卷积,对输入的特征向量进行高低分频,并降低低频特征的分辨率,在有效提取X光安检图像特征的同时,减少了空间冗余。其次,通过注意力机制双向GRU,动态学习调整特征权重,提高危险品分类准确率。最后,在通用SIXRay数据集上的实验表明,对8000幅测试样本的整体分类准确率(ACC)、特征曲线下方面积(AUC)、正类分类准确率(PRE)分别为98.73%、91.39%、85.44%,检测时间为36.80 s。相对于目前主流模型,本文方法有效提高了X光安检图像危险品分类的准确率和速度。
针对主动视觉安检方法准确率低、速度慢,不适用于实时交通安检的问题,提出了八度卷积(OctConv)和注意力机制双向门控循环单元(GRU)神经网络相结合的X光安检图像分类方法。首先,利用八度卷积代替传统卷积,对输入的特征向量进行高低分频,并降低低频特征的分辨率,在有效提取X光安检图像特征的同时,减少了空间冗余。其次,通过注意力机制双向GRU,动态学习调整特征权重,提高危险品分类准确率。最后,在通用SIXRay数据集上的实验表明,对8000幅测试样本的整体分类准确率(ACC)、特征曲线下方面积(AUC)、正类分类准确率(PRE)分别为98.73%、91.39%、85.44%,检测时间为36.80 s。相对于目前主流模型,本文方法有效提高了X光安检图像危险品分类的准确率和速度。
2020, 13(5): 1147-1157.
doi: 10.37188/CO.2020-0072
摘要:
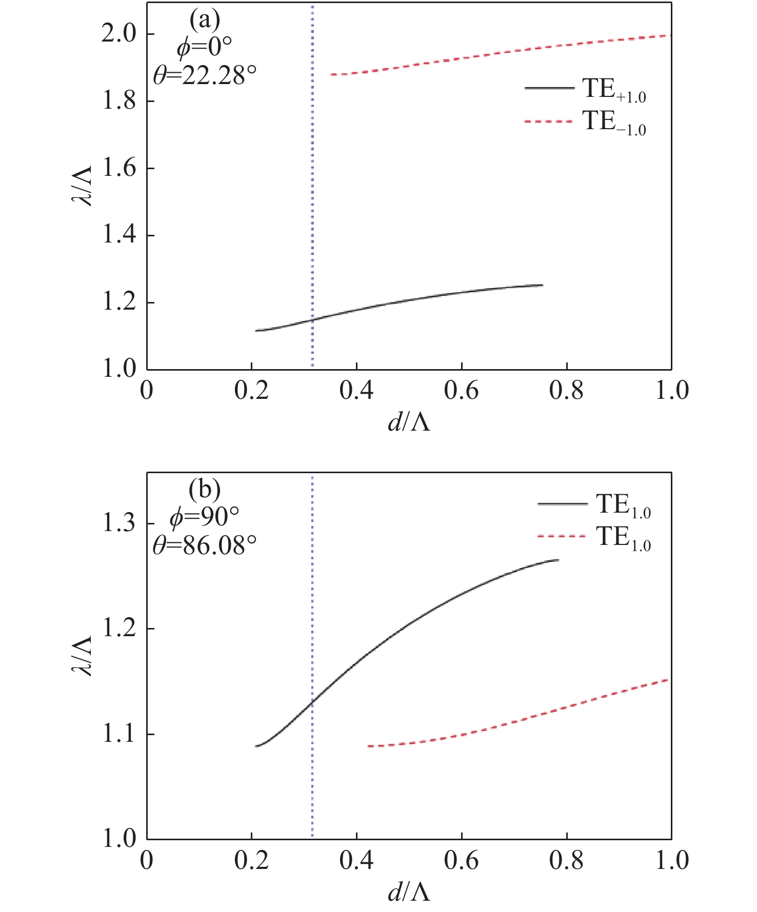
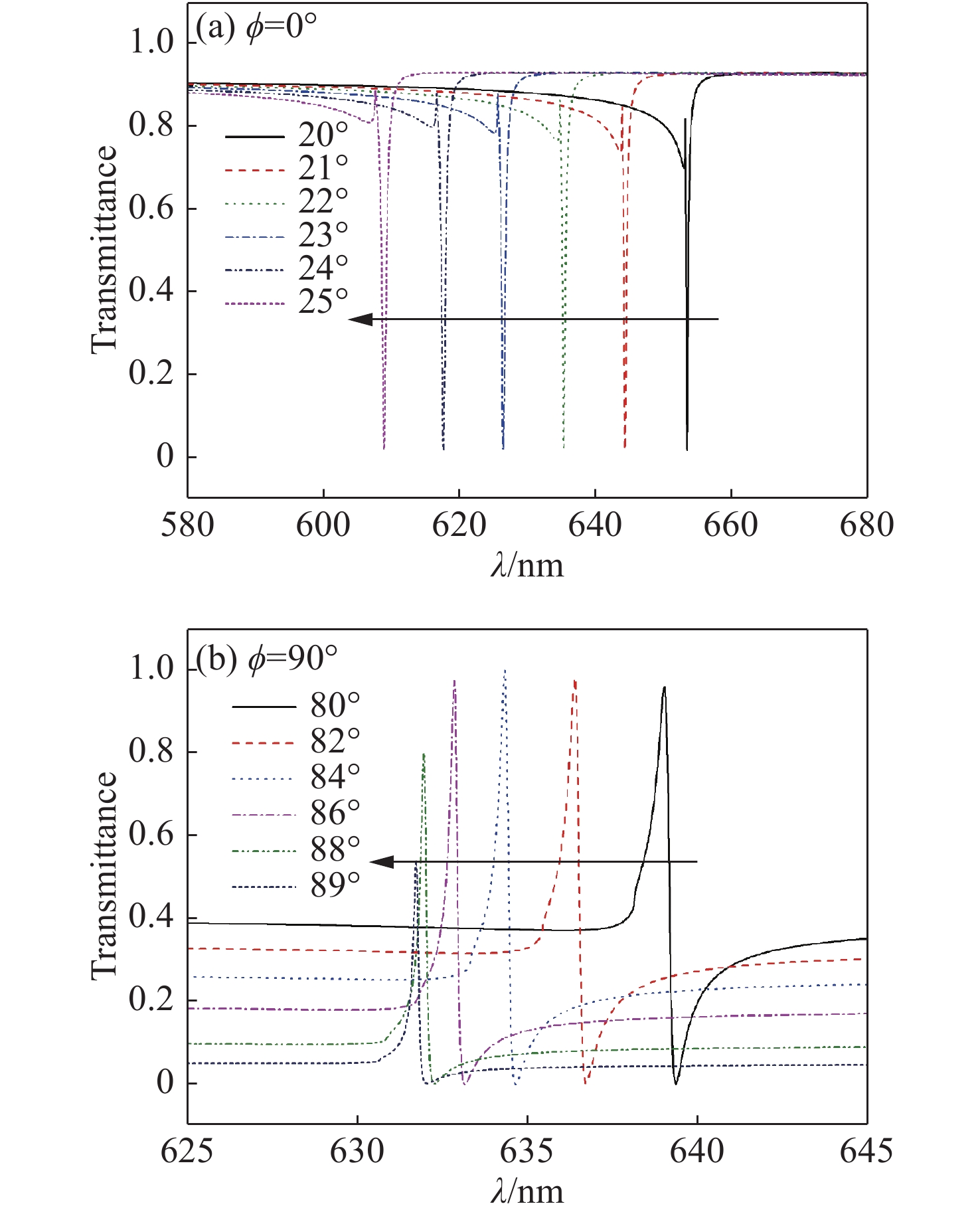
目前,应用于生物传感系统的共振波导光栅窄带滤波器仅能实现反射或透射的单一滤波模式。为了扩展被检样品的种类和提高样品的检测准确度,本文基于导模共振效应设计了兼具反射和透射模式的共振波导光栅滤波器。首先,基于经典的一维共振波导光栅结构,通过调节入射条件,设计了在同一波长(632.8 nm)处反射-透射模式可转换的滤波器,该滤波器在两种模式下均具有优良的滤波性能,光谱效率高于98%,Q因子大于1000。然后,从物理机制层面出发,分析了同一器件实现两种滤波模式的共振机理。结果表明:不同入射条件下,同一共振波导光栅结构在设计波长处可实现反射-透射窄带滤波模式的转换。
目前,应用于生物传感系统的共振波导光栅窄带滤波器仅能实现反射或透射的单一滤波模式。为了扩展被检样品的种类和提高样品的检测准确度,本文基于导模共振效应设计了兼具反射和透射模式的共振波导光栅滤波器。首先,基于经典的一维共振波导光栅结构,通过调节入射条件,设计了在同一波长(632.8 nm)处反射-透射模式可转换的滤波器,该滤波器在两种模式下均具有优良的滤波性能,光谱效率高于98%,Q因子大于1000。然后,从物理机制层面出发,分析了同一器件实现两种滤波模式的共振机理。结果表明:不同入射条件下,同一共振波导光栅结构在设计波长处可实现反射-透射窄带滤波模式的转换。
2020, 13(5): 1158-1170.
doi: 10.37188/CO.2020-0020
摘要:
上转换发光纳米材料由于其特有的光学性质而一直备受关注,但常见的上转换发光纳米材料多为单色发光,为了实现上转换多色正交发光,同时避免多种掺杂剂离子的合成复杂性以及相互间的干扰性,利用Er3+的2H11/2,4S3/2→4I15/2能级跃迁产生的绿色发光和4F9/2→4I15/2能级跃迁产生的红色发光,设计出由Er3+单个激活剂离子掺杂的双激发上转换纳米颗粒。通过热分解法一步步合成出NaErF4:Yb(19.5%)/Tm(0.5%)@NaYF4:Yb(10%)@NaNdF4:Yb(10%)三层结构的上转换纳米颗粒。此方法合成出来的颗粒大小均一、结构稳定、分散性好。该双激发纳米颗粒能够在980 nm和808 nm的激发光下实现红色和绿色的正交发射光,且其单独发光不受影响。在980 nm激发下,红色光中650 nm处的发射峰强度大约能达到540 nm处发射峰的9.46倍;在808 nm激发下,绿色光中540 nm处发射峰强度大约能达到650 nm处发射峰强度的5.39倍。
上转换发光纳米材料由于其特有的光学性质而一直备受关注,但常见的上转换发光纳米材料多为单色发光,为了实现上转换多色正交发光,同时避免多种掺杂剂离子的合成复杂性以及相互间的干扰性,利用Er3+的2H11/2,4S3/2→4I15/2能级跃迁产生的绿色发光和4F9/2→4I15/2能级跃迁产生的红色发光,设计出由Er3+单个激活剂离子掺杂的双激发上转换纳米颗粒。通过热分解法一步步合成出NaErF4:Yb(19.5%)/Tm(0.5%)@NaYF4:Yb(10%)@NaNdF4:Yb(10%)三层结构的上转换纳米颗粒。此方法合成出来的颗粒大小均一、结构稳定、分散性好。该双激发纳米颗粒能够在980 nm和808 nm的激发光下实现红色和绿色的正交发射光,且其单独发光不受影响。在980 nm激发下,红色光中650 nm处的发射峰强度大约能达到540 nm处发射峰的9.46倍;在808 nm激发下,绿色光中540 nm处发射峰强度大约能达到650 nm处发射峰强度的5.39倍。
摘要
HTML全文
PDF 2407KB