2021年 14卷 第1期
2021, 14(1): 1-17.
doi: 10.37188/CO.2020-0176
摘要:
以石墨烯为代表的二维材料因其独特的结构和优异性能而受到广泛关注。随着二维材料在无限小的方向不断发展,二维(材料)量子片逐渐引起人们极大的兴趣。二维量子片不仅保留了二维材料的本征特性,而且表现出量子限域和突出的边缘效应,为二维材料的潜在应用带来全新机遇。本文详细介绍了二维量子片的基本概念,制备现状与光学性能的研究进展,特别强调了二维量子片本征、普适和规模制备的实现及其重大意义。此外,重点关注了二维量子片的光致发光特性以及在非线性光学、固态发光器件等领域的应用。最后,分析了二维量子片的发展趋势以及面临的主要挑战。
以石墨烯为代表的二维材料因其独特的结构和优异性能而受到广泛关注。随着二维材料在无限小的方向不断发展,二维(材料)量子片逐渐引起人们极大的兴趣。二维量子片不仅保留了二维材料的本征特性,而且表现出量子限域和突出的边缘效应,为二维材料的潜在应用带来全新机遇。本文详细介绍了二维量子片的基本概念,制备现状与光学性能的研究进展,特别强调了二维量子片本征、普适和规模制备的实现及其重大意义。此外,重点关注了二维量子片的光致发光特性以及在非线性光学、固态发光器件等领域的应用。最后,分析了二维量子片的发展趋势以及面临的主要挑战。
2021, 14(1): 18-42.
doi: 10.37188/CO.2020-0106
摘要:
原子级厚度的单层或者少层二维过渡金属硫族化合物因其独特的物理特性而被寄希望成为下一代光电子器件的重要组成部分。然而,二维材料的缺陷在很大程度上影响着材料的性质。一方面,缺陷的存在降低了材料的荧光量子效率、载流子迁移率等重要参数,影响了器件的性能。另一方面,合理地调控和利用缺陷催生了单光子源等新的应用,因此,表征、理解、处理和调控二维材料中的缺陷至关重要。本文综述了二维过渡金属硫族化合物中的缺陷以及缺陷相关的载流子动力学研究进展,旨在梳理二维材料中的缺陷及其超快动力学与材料性能之间的关系,为二维过渡金属硫族化合物材料特性和高性能光电子器件的相关研究提供支持。
原子级厚度的单层或者少层二维过渡金属硫族化合物因其独特的物理特性而被寄希望成为下一代光电子器件的重要组成部分。然而,二维材料的缺陷在很大程度上影响着材料的性质。一方面,缺陷的存在降低了材料的荧光量子效率、载流子迁移率等重要参数,影响了器件的性能。另一方面,合理地调控和利用缺陷催生了单光子源等新的应用,因此,表征、理解、处理和调控二维材料中的缺陷至关重要。本文综述了二维过渡金属硫族化合物中的缺陷以及缺陷相关的载流子动力学研究进展,旨在梳理二维材料中的缺陷及其超快动力学与材料性能之间的关系,为二维过渡金属硫族化合物材料特性和高性能光电子器件的相关研究提供支持。
2021, 14(1): 43-65.
doi: 10.37188/CO.2020-0096
摘要:
物质拓扑态的发现是近年来凝聚态物理和材料科学的重大突破。由于存在不同于常规半导体的特殊拓扑量子态(如狄拉克费米子、外尔费米子、马约拉纳费米子等),拓扑量子材料通常能表现出一些新颖的物理特性(如量子反常霍尔效应、三维量子霍尔效应、零带隙的拓扑态、超高的载流子迁移率等),因而在低能耗电子器件和宽光谱光电探测器件领域具有重要的研究价值。本文综述了拓扑量子材料的特性与制备方法以及在光电探测领域的发展现状,重点讨论了拓扑绝缘体与拓扑半金属宽光谱光电探测器的器件结构与性能,同时也对拓扑量子材料在光电探测器领域的发展前景进行了展望。
物质拓扑态的发现是近年来凝聚态物理和材料科学的重大突破。由于存在不同于常规半导体的特殊拓扑量子态(如狄拉克费米子、外尔费米子、马约拉纳费米子等),拓扑量子材料通常能表现出一些新颖的物理特性(如量子反常霍尔效应、三维量子霍尔效应、零带隙的拓扑态、超高的载流子迁移率等),因而在低能耗电子器件和宽光谱光电探测器件领域具有重要的研究价值。本文综述了拓扑量子材料的特性与制备方法以及在光电探测领域的发展现状,重点讨论了拓扑绝缘体与拓扑半金属宽光谱光电探测器的器件结构与性能,同时也对拓扑量子材料在光电探测器领域的发展前景进行了展望。
2021, 14(1): 66-76.
doi: 10.37188/CO.2020-0192
摘要:
具有圆偏振发光(CPL)性质的材料由于在3D显示、光学存储以及光学防伪等领域的重要应用,近年来越来越受到研究人员的关注。超分子策略能够将不同类型的分子组装成具有独特功能的低维(零维、一维和二维等)结构,因而成为构筑CPL活性有机低维材料的最有效方法之一。本文从超分子自组装驱动力的角度综述了近几年自组装CPL活性有机低维材料的研究进展。首先,本文系统地总结了现阶段设计自组装CPL活性有机低维材料的策略,其次重点讨论了这类材料的性能及应用,最后探讨了这一领域未来的发展机遇和挑战。
具有圆偏振发光(CPL)性质的材料由于在3D显示、光学存储以及光学防伪等领域的重要应用,近年来越来越受到研究人员的关注。超分子策略能够将不同类型的分子组装成具有独特功能的低维(零维、一维和二维等)结构,因而成为构筑CPL活性有机低维材料的最有效方法之一。本文从超分子自组装驱动力的角度综述了近几年自组装CPL活性有机低维材料的研究进展。首先,本文系统地总结了现阶段设计自组装CPL活性有机低维材料的策略,其次重点讨论了这类材料的性能及应用,最后探讨了这一领域未来的发展机遇和挑战。
2021, 14(1): 77-86.
doi: 10.37188/CO.2020-0060
摘要:
卤化铅钙钛矿(LHPs)由于具有优异的光电性能和制备成本低等优点,已成为新一代光电器件的有力候选材料。然而,缺陷造成的离子迁移会导致LHPs纳米晶的晶体结构解离分解。因此,稳定性成为LHPs实际应用中亟待解决的问题。本文旨在研究镍离子替位掺杂及卤素空位填补对CsPbBr3纳米晶中的离子迁移抑制作用。通过离子迁移活化能的测定和高分辨透射电镜的原位观察,分析了前驱体掺杂剂对加强LHPs稳定性的作用原理。首先,选用乙酰丙酮镍和溴化镍作为掺杂剂,合成了掺杂LHPs纳米晶。其次,通过吸收-荧光光谱,X射线衍射,X射线光电子衍射,透射电子显微镜等测试手段对掺杂样品的光学及化学组成进行分析。最后,通过纳米晶薄膜电导率的温度依赖关系计算出其离子迁移活化能,并结合高分辨电镜原位观察纳米晶在高能电子束辐照下的形貌演变过程,揭示了不同掺杂剂对合成掺杂LHPs稳定性的影响。实验结果表明:Ni2+掺杂CsPbBr3样品的离子迁移活化能相较本征CsPbBr3样品(0.07 eV)有显著提升,其中乙酰丙酮镍掺杂样品的离子迁移活化能为0.238 eV,溴化镍掺杂样品的离子迁移活化能为0.487 eV。另外,电子束辐照测试表明溴化镍掺杂钙钛矿晶体表现出更高的结构稳定性,这主要归因于掺杂的Ni2+对卤素的强结合和卤素填补空位缺陷的协同钝化作用。Ni2+掺杂和卤素空位填充协同可以有效抑制卤化物钙钛矿纳米晶体中的离子迁移。
卤化铅钙钛矿(LHPs)由于具有优异的光电性能和制备成本低等优点,已成为新一代光电器件的有力候选材料。然而,缺陷造成的离子迁移会导致LHPs纳米晶的晶体结构解离分解。因此,稳定性成为LHPs实际应用中亟待解决的问题。本文旨在研究镍离子替位掺杂及卤素空位填补对CsPbBr3纳米晶中的离子迁移抑制作用。通过离子迁移活化能的测定和高分辨透射电镜的原位观察,分析了前驱体掺杂剂对加强LHPs稳定性的作用原理。首先,选用乙酰丙酮镍和溴化镍作为掺杂剂,合成了掺杂LHPs纳米晶。其次,通过吸收-荧光光谱,X射线衍射,X射线光电子衍射,透射电子显微镜等测试手段对掺杂样品的光学及化学组成进行分析。最后,通过纳米晶薄膜电导率的温度依赖关系计算出其离子迁移活化能,并结合高分辨电镜原位观察纳米晶在高能电子束辐照下的形貌演变过程,揭示了不同掺杂剂对合成掺杂LHPs稳定性的影响。实验结果表明:Ni2+掺杂CsPbBr3样品的离子迁移活化能相较本征CsPbBr3样品(0.07 eV)有显著提升,其中乙酰丙酮镍掺杂样品的离子迁移活化能为0.238 eV,溴化镍掺杂样品的离子迁移活化能为0.487 eV。另外,电子束辐照测试表明溴化镍掺杂钙钛矿晶体表现出更高的结构稳定性,这主要归因于掺杂的Ni2+对卤素的强结合和卤素填补空位缺陷的协同钝化作用。Ni2+掺杂和卤素空位填充协同可以有效抑制卤化物钙钛矿纳米晶体中的离子迁移。
2021, 14(1): 87-99.
doi: 10.37188/CO.2020-0139
摘要:
要想实现弱光探测,需要探测器具有高灵敏度。石墨烯、过渡金属硫化物、黑磷等二维材料因具有宽光谱吸收、带隙可调、高载流子迁移率等良好的光学与电学性能,广泛应用于红外探测器的制作,然而这些材料存在弱光吸收、载流子迁移率低、空气稳定性差等问题,制约了其在高灵敏度红外探测领域的应用。同单一的二维材料相比,二维材料异质结不仅具有各单一材料的特点,而且由于两种材料的结合展现出新颖的物理特性,近年来在高灵敏度红外探测领域得到了广泛研究。本文基于影响灵敏度的主要因素,分析总结了提高红外探测器灵敏度的主要策略,回顾了近几年基于二维材料异质结高灵敏度红外探测器的发展,总结了其主要性能指标,最后指出了进一步提升红外探测灵敏度所面临的挑战,从如何平衡探测器响应度与响应速度、大面积二维异质结制备、异质结界面优化利用等方面展望了如何获得综合性能良好的高灵敏度红外探测器以及实现探测器商业应用,以期对高灵敏度红外探测领域的发展提供一定的指导意见。
要想实现弱光探测,需要探测器具有高灵敏度。石墨烯、过渡金属硫化物、黑磷等二维材料因具有宽光谱吸收、带隙可调、高载流子迁移率等良好的光学与电学性能,广泛应用于红外探测器的制作,然而这些材料存在弱光吸收、载流子迁移率低、空气稳定性差等问题,制约了其在高灵敏度红外探测领域的应用。同单一的二维材料相比,二维材料异质结不仅具有各单一材料的特点,而且由于两种材料的结合展现出新颖的物理特性,近年来在高灵敏度红外探测领域得到了广泛研究。本文基于影响灵敏度的主要因素,分析总结了提高红外探测器灵敏度的主要策略,回顾了近几年基于二维材料异质结高灵敏度红外探测器的发展,总结了其主要性能指标,最后指出了进一步提升红外探测灵敏度所面临的挑战,从如何平衡探测器响应度与响应速度、大面积二维异质结制备、异质结界面优化利用等方面展望了如何获得综合性能良好的高灵敏度红外探测器以及实现探测器商业应用,以期对高灵敏度红外探测领域的发展提供一定的指导意见。
2021, 14(1): 100-116.
doi: 10.37188/CO.2020-0082
摘要:
目前,钙钛矿太阳能电池的光电转换效率已超过25%,飞速提升的效率使得人们越来越期待商业化的应用,但钙钛矿材料的稳定性问题却是其商业化所面临的最大挑战,准二维钙钛矿有望解决这一问题。利用大的有机间隔阳离子的疏水性和热稳定性,以及更高的晶体形成能和更加稳固的结构,准二维钙钛矿能够有效提高钙钛矿的稳定性。此外,准二维钙钛矿对钙钛矿薄膜的形态也具有明显的改善作用,可代替反溶剂工程,简化工艺,满足钙钛矿的工业化生产要求。然而,由于绝缘的有机间隔阳离子导致的相对大的带隙和低的载流子迁移率,阻碍了载流子传输,准二维钙钛矿太阳能电池的效率仍然与三维钙钛矿相差较大。因此,对于准二维钙钛矿,必须对其特性和器件应用等进行深入研究,以进一步优化器件性能。本文总结了准二维钙钛矿太阳能电池的研究进展,归纳了准二维钙钛矿的分子结构、准二维结构提升三维钙钛矿稳定性的方法和原理、准二维钙钛矿的相分布及其载流子传输特性,分析了准二维钙钛矿太阳能电池目前面临的问题并对其前景进行了展望,期望为制备高效稳定的准二维钙钛矿太阳能电池提供参考。
目前,钙钛矿太阳能电池的光电转换效率已超过25%,飞速提升的效率使得人们越来越期待商业化的应用,但钙钛矿材料的稳定性问题却是其商业化所面临的最大挑战,准二维钙钛矿有望解决这一问题。利用大的有机间隔阳离子的疏水性和热稳定性,以及更高的晶体形成能和更加稳固的结构,准二维钙钛矿能够有效提高钙钛矿的稳定性。此外,准二维钙钛矿对钙钛矿薄膜的形态也具有明显的改善作用,可代替反溶剂工程,简化工艺,满足钙钛矿的工业化生产要求。然而,由于绝缘的有机间隔阳离子导致的相对大的带隙和低的载流子迁移率,阻碍了载流子传输,准二维钙钛矿太阳能电池的效率仍然与三维钙钛矿相差较大。因此,对于准二维钙钛矿,必须对其特性和器件应用等进行深入研究,以进一步优化器件性能。本文总结了准二维钙钛矿太阳能电池的研究进展,归纳了准二维钙钛矿的分子结构、准二维结构提升三维钙钛矿稳定性的方法和原理、准二维钙钛矿的相分布及其载流子传输特性,分析了准二维钙钛矿太阳能电池目前面临的问题并对其前景进行了展望,期望为制备高效稳定的准二维钙钛矿太阳能电池提供参考。
2021, 14(1): 117-134.
doi: 10.37188/CO.2020-0184
摘要:
量子点发光二极管(QLEDs)由于具有独特的光电特性,可应用于照明和显示行业,其外量子效率(EQEs)正迅速接近商业化要求。然而,器件的稳定性和工作寿命仍然是QLEDs商业化应用面临的关键问题。本文将影响QLEDs寿命的主要因素分为功能层材料的稳定性和电荷注入不平衡两大方面,从提高量子点、电荷传输层(CTLs)的稳定性以及促进电荷平衡等方面讨论了近年来提高QLEDs稳定性的各种策略。随着人们对QLEDs降解机制认识的加深,更稳定的量子点和QLEDs器件得以开发,但是将QLEDs器件商业化仍存在很大的挑战,比如Cd的高毒性以及蓝光QLEDs的寿命和效率远低于绿光和红光相对应的水平,此外,QLEDs在高亮度(1000 cd m–2)下的稳定性较差,这些因素均限制了QLEDs的发展。因此,应进一步加大QLEDs在光电器件领域的研发力度,克服这些技术劣势,实现QLEDs未来的商业化。
量子点发光二极管(QLEDs)由于具有独特的光电特性,可应用于照明和显示行业,其外量子效率(EQEs)正迅速接近商业化要求。然而,器件的稳定性和工作寿命仍然是QLEDs商业化应用面临的关键问题。本文将影响QLEDs寿命的主要因素分为功能层材料的稳定性和电荷注入不平衡两大方面,从提高量子点、电荷传输层(CTLs)的稳定性以及促进电荷平衡等方面讨论了近年来提高QLEDs稳定性的各种策略。随着人们对QLEDs降解机制认识的加深,更稳定的量子点和QLEDs器件得以开发,但是将QLEDs器件商业化仍存在很大的挑战,比如Cd的高毒性以及蓝光QLEDs的寿命和效率远低于绿光和红光相对应的水平,此外,QLEDs在高亮度(1000 cd m–2)下的稳定性较差,这些因素均限制了QLEDs的发展。因此,应进一步加大QLEDs在光电器件领域的研发力度,克服这些技术劣势,实现QLEDs未来的商业化。
2021, 14(1): 135-144.
doi: 10.37188/CO.2020-0189
摘要:
线偏振光的探测能力是评价偏振光电探测器件的重要指标。黑砷磷(AsP)是一种较为稳定的平面内各向异性材料,由于其面内结构各向异性,其对线偏振光较为敏感,在偏振探测领域有着重要的应用潜力。本文介绍了一种基于AsP/MoS2的高度偏振敏感光电探测器。由于AsP各向异性的光吸收、MoS2有效的载流子收集和输运能力以及范德华异质结对暗电流的抑制作用,该光电探测器实现了大于300的电流开关比,0.27 A/W的电流光响应度以及2×1010 Jones的比探测率。更重要的是,此类光电探测器在638 nm波段实现了高达3.06二向色性比的偏振特性。这些实验结果表明AsP/MoS2异质结构在偏振光电探测领域有着广阔的应用前景。
线偏振光的探测能力是评价偏振光电探测器件的重要指标。黑砷磷(AsP)是一种较为稳定的平面内各向异性材料,由于其面内结构各向异性,其对线偏振光较为敏感,在偏振探测领域有着重要的应用潜力。本文介绍了一种基于AsP/MoS2的高度偏振敏感光电探测器。由于AsP各向异性的光吸收、MoS2有效的载流子收集和输运能力以及范德华异质结对暗电流的抑制作用,该光电探测器实现了大于300的电流开关比,0.27 A/W的电流光响应度以及2×1010 Jones的比探测率。更重要的是,此类光电探测器在638 nm波段实现了高达3.06二向色性比的偏振特性。这些实验结果表明AsP/MoS2异质结构在偏振光电探测领域有着广阔的应用前景。
2021, 14(1): 145-152.
doi: 10.37188/CO.2020-0076
摘要:
本文提出了一种纳流通道-谐振腔耦合结构,用于实现对荧光物质微位移的检测。在本文中,首先,使用时域有限差分法,研究了量子点偏振态及结构参数对荧光与结构耦合效果的影响,进而对结构进行优化;然后,通过测量耦合结构输出光功率的变化,实现对荧光物质微位移的检测;最后,对影响传感灵敏度的因素进行研究。结果表明,相比传统方法,纳流通道-谐振腔耦合结构的折射率处于2.8~3.3之内时,该结构都可以实现对荧光物质微位移的高精度准确传感,并且通过减小纳流通道与谐振腔的间距可进一步提高传感灵敏度。
本文提出了一种纳流通道-谐振腔耦合结构,用于实现对荧光物质微位移的检测。在本文中,首先,使用时域有限差分法,研究了量子点偏振态及结构参数对荧光与结构耦合效果的影响,进而对结构进行优化;然后,通过测量耦合结构输出光功率的变化,实现对荧光物质微位移的检测;最后,对影响传感灵敏度的因素进行研究。结果表明,相比传统方法,纳流通道-谐振腔耦合结构的折射率处于2.8~3.3之内时,该结构都可以实现对荧光物质微位移的高精度准确传感,并且通过减小纳流通道与谐振腔的间距可进一步提高传感灵敏度。
2021, 14(1): 153-162.
doi: 10.37188/CO.2020-0148
摘要:
为提升硅衬底氮化镓基LED(发光二极管)器件的光电性能和出光效率,本文提出了一种利用背后工艺实现的悬空薄膜蓝光LED器件。结合光刻工艺、深反应离子刻蚀和电感耦合等离子体反应离子刻蚀的背后工艺,制备了发光区域和大部分正负电极区域的硅衬底完全掏空,并减薄大部分氮化镓外延层的悬空薄膜LED器件。对悬空薄膜LED器件进行三维形貌表征,发现LED悬空薄膜表面平坦,变形程度小,证明背后工艺很好地解决了氮化镓外延层和硅衬底之间由于应力释放造成的薄膜变形问题。表征了LED器件的电流电压曲线和电致发光光谱等光电特性,对不同结构、不同发光区域尺寸的LED器件进行对比,发现悬空薄膜LED器件的光电性能和出光效率比普通LED器件更优越,且发光区尺寸变化对LED器件性能的影响更明显。在15 V驱动电压下,与普通LED器件相比,发光区直径为80 μm的悬空LED器件的电流从4.3 mA提升至23.9 mA。在3 mA电流的驱动下,峰值光强提升了约5倍,而发光区直径为120 μm的悬空器件与发光区直径为80 μm的悬空器件相比,出光效率提升更为明显。本研究为发展高性能悬空氮化物薄膜LED器件提供了更多可能性。
为提升硅衬底氮化镓基LED(发光二极管)器件的光电性能和出光效率,本文提出了一种利用背后工艺实现的悬空薄膜蓝光LED器件。结合光刻工艺、深反应离子刻蚀和电感耦合等离子体反应离子刻蚀的背后工艺,制备了发光区域和大部分正负电极区域的硅衬底完全掏空,并减薄大部分氮化镓外延层的悬空薄膜LED器件。对悬空薄膜LED器件进行三维形貌表征,发现LED悬空薄膜表面平坦,变形程度小,证明背后工艺很好地解决了氮化镓外延层和硅衬底之间由于应力释放造成的薄膜变形问题。表征了LED器件的电流电压曲线和电致发光光谱等光电特性,对不同结构、不同发光区域尺寸的LED器件进行对比,发现悬空薄膜LED器件的光电性能和出光效率比普通LED器件更优越,且发光区尺寸变化对LED器件性能的影响更明显。在15 V驱动电压下,与普通LED器件相比,发光区直径为80 μm的悬空LED器件的电流从4.3 mA提升至23.9 mA。在3 mA电流的驱动下,峰值光强提升了约5倍,而发光区直径为120 μm的悬空器件与发光区直径为80 μm的悬空器件相比,出光效率提升更为明显。本研究为发展高性能悬空氮化物薄膜LED器件提供了更多可能性。
2021, 14(1): 163-169.
doi: 10.37188/CO.2020-0198
摘要:
为了缩小光谱仪体积使之适用于军事卫星等领域,本文将胶体量子点作为滤光材料,研究了CdSe胶体量子点滤光片的光学特性。本文采用热注入法合成出了高质量的CdSe胶体量子点,经过对苯二胺消光处理制备成CdSe胶体量子点滤光片。利用透射电子显微镜(TEM)进行样品形貌结构的表征及粒径尺寸的测量,并分别在不同温度下进行了紫外-可见吸收测量和紫外-可见透过率测量。实验表明,在室温情况下,CdSe胶体量子点薄膜的吸收和透过率均随粒径尺寸的增加而增加;在给定粒径尺寸的情况下,CdSe胶体量子点薄膜吸收与透过率曲线的第一激子吸收峰峰位随温度升高发生红移,CdSe胶体量子点薄膜吸收曲线温度每增加10 K红移不超过1 nm,且半峰宽增加;此外,经反复实验验证CdSe胶体量子点滤光片的稳定性及可调谐特性,证实其适合作为截止滤光片。上述结果表明,CdSe 胶体量子点滤光片在微型光谱仪方面具有良好的应用价值。
为了缩小光谱仪体积使之适用于军事卫星等领域,本文将胶体量子点作为滤光材料,研究了CdSe胶体量子点滤光片的光学特性。本文采用热注入法合成出了高质量的CdSe胶体量子点,经过对苯二胺消光处理制备成CdSe胶体量子点滤光片。利用透射电子显微镜(TEM)进行样品形貌结构的表征及粒径尺寸的测量,并分别在不同温度下进行了紫外-可见吸收测量和紫外-可见透过率测量。实验表明,在室温情况下,CdSe胶体量子点薄膜的吸收和透过率均随粒径尺寸的增加而增加;在给定粒径尺寸的情况下,CdSe胶体量子点薄膜吸收与透过率曲线的第一激子吸收峰峰位随温度升高发生红移,CdSe胶体量子点薄膜吸收曲线温度每增加10 K红移不超过1 nm,且半峰宽增加;此外,经反复实验验证CdSe胶体量子点滤光片的稳定性及可调谐特性,证实其适合作为截止滤光片。上述结果表明,CdSe 胶体量子点滤光片在微型光谱仪方面具有良好的应用价值。
2021, 14(1): 170-181.
doi: 10.37188/CO.2020-0145
摘要:
近年来,一系列新型低维光电材料相继涌现,展现出优异的性能。这些光电材料与表面增强拉曼散射(SERS)技术相结合,显示出巨大的应用潜力,有望成为高灵敏SERS活性基底。缺陷与界面调控是低维光电材料SERS应用的重要策略,本文将重点介绍新型低维光电材料缺陷与界面增强拉曼散射的种类和增强机理。通过对缺陷与界面增强拉曼散射的应用和研究前景的展望,启发人们对SERS研究的再思考和再认识。
近年来,一系列新型低维光电材料相继涌现,展现出优异的性能。这些光电材料与表面增强拉曼散射(SERS)技术相结合,显示出巨大的应用潜力,有望成为高灵敏SERS活性基底。缺陷与界面调控是低维光电材料SERS应用的重要策略,本文将重点介绍新型低维光电材料缺陷与界面增强拉曼散射的种类和增强机理。通过对缺陷与界面增强拉曼散射的应用和研究前景的展望,启发人们对SERS研究的再思考和再认识。
2021, 14(1): 182-195.
doi: 10.37188/CO.2020-0175
摘要:
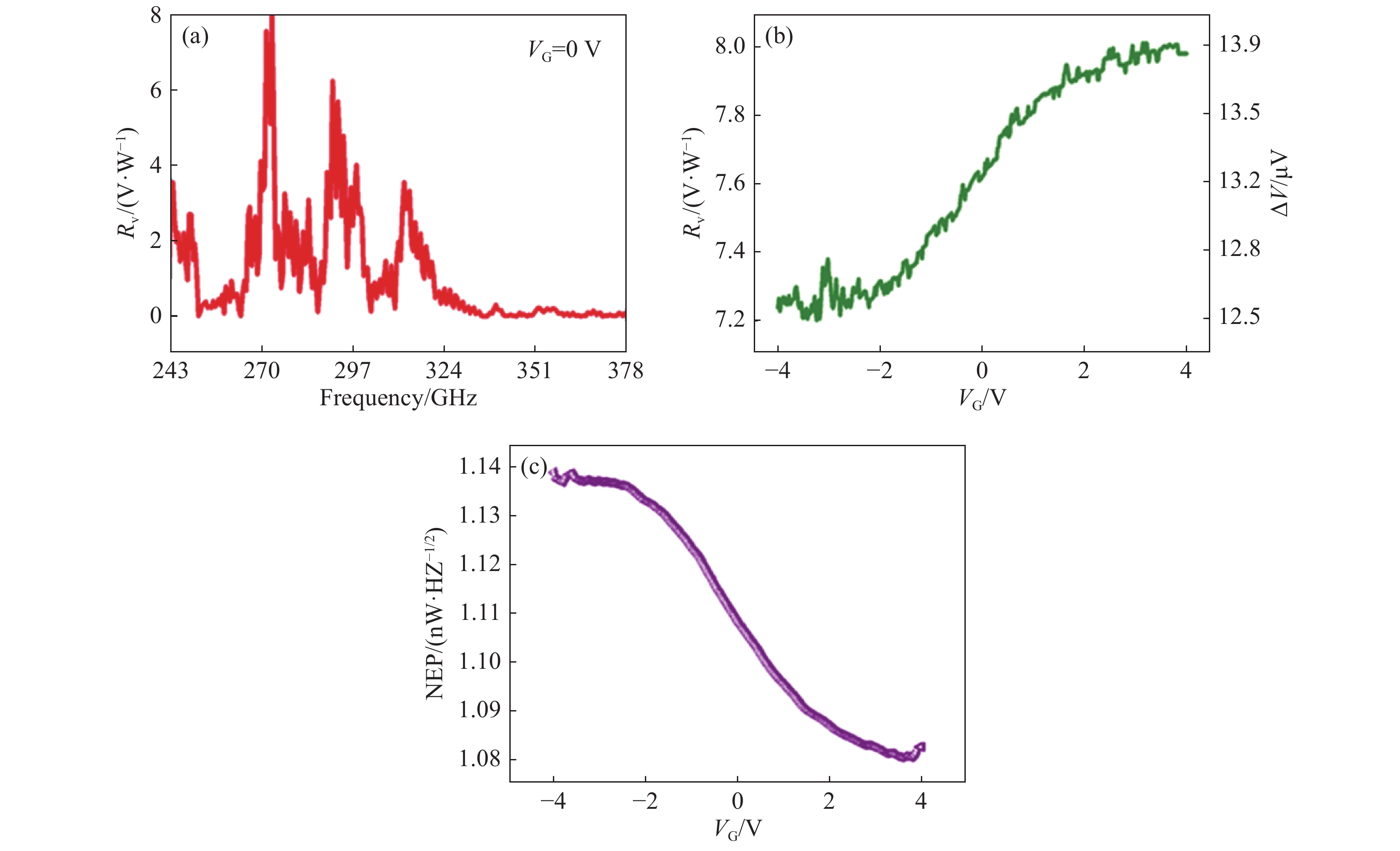
由于太赫兹波与众多物质之间存在着丰富的相互作用,太赫兹技术在众多领域均有应用需求。因此,基于独特物理机制和优异材料特性的高灵敏度、便携式太赫兹探测器的研制刻不容缓。黑砷磷是一种新型二维材料,其带隙和输运特性随化学组分可调,在光电探测领域被广泛关注。目前基于黑砷磷的研究集中在红外探测方面,而对于太赫兹探测的应用未见报道。本文介绍了一种基于黑砷磷的天线耦合太赫兹探测器。实验结果表明,在探测过程中存在两种不同的探测机制,并且两者之间存在竞争关系。通过改变黑砷磷的化学组分可以定制不同的探测机制,使其达到最优响应性能。在平衡材料带隙和载流子迁移率的情况下,探测器实现了室温下对0.37 THz电磁波的灵敏探测,其电压响应度和噪声等效功率分别为28.23 V/W和0.53 nW/Hz1/2。
由于太赫兹波与众多物质之间存在着丰富的相互作用,太赫兹技术在众多领域均有应用需求。因此,基于独特物理机制和优异材料特性的高灵敏度、便携式太赫兹探测器的研制刻不容缓。黑砷磷是一种新型二维材料,其带隙和输运特性随化学组分可调,在光电探测领域被广泛关注。目前基于黑砷磷的研究集中在红外探测方面,而对于太赫兹探测的应用未见报道。本文介绍了一种基于黑砷磷的天线耦合太赫兹探测器。实验结果表明,在探测过程中存在两种不同的探测机制,并且两者之间存在竞争关系。通过改变黑砷磷的化学组分可以定制不同的探测机制,使其达到最优响应性能。在平衡材料带隙和载流子迁移率的情况下,探测器实现了室温下对0.37 THz电磁波的灵敏探测,其电压响应度和噪声等效功率分别为28.23 V/W和0.53 nW/Hz1/2。
2021, 14(1): 196-205.
doi: 10.37188/CO.2020-0062
摘要:
一维(1D)半导体纳米线在纳米电子学和纳米光子学中表现出色。然而,纳米线晶体管的电特性对纳米线与衬底之间的相互作用非常敏感,而优化器件结构可以改善纳米线晶体管的电学和光电检测性能。本文报道了通过一步式光刻技术制造的悬浮式In2O3纳米线晶体管,显示出54.6 cm2V−1s−1的高迁移率和241.5 mVdec−1的低亚阈值摆幅。作为紫外光电探测器,光电晶体管显示出极低的暗电流(~10−13 A)和高响应度1.6×105 A•W−1。悬浮晶体管的沟道材料的这种简单而有效的制备方法可广泛用于制造高性能微纳米器件。
一维(1D)半导体纳米线在纳米电子学和纳米光子学中表现出色。然而,纳米线晶体管的电特性对纳米线与衬底之间的相互作用非常敏感,而优化器件结构可以改善纳米线晶体管的电学和光电检测性能。本文报道了通过一步式光刻技术制造的悬浮式In2O3纳米线晶体管,显示出54.6 cm2V−1s−1的高迁移率和241.5 mVdec−1的低亚阈值摆幅。作为紫外光电探测器,光电晶体管显示出极低的暗电流(~10−13 A)和高响应度1.6×105 A•W−1。悬浮晶体管的沟道材料的这种简单而有效的制备方法可广泛用于制造高性能微纳米器件。
2021, 14(1): 206-212.
doi: 10.37188/CO.2020-0153
摘要:
混合结构的石墨烯/半导体光电晶体管因其超高的响应度而备受关注。然而,该类光电晶体管通过源-漏电极测试得到的比探测率(D*)容易受到1/f噪声的限制。本文制备了混合结构的石墨烯/GaAs光电探测器,通过源-栅电极测得D*大约为1.82×1011 Jones,与通过源-漏电极测量相比,D*提高了约500倍。这可归因于界面上肖特基势垒对载流子俘获和释放过程的屏蔽作用。此外,探测器的上升时间和下降时间分别是4 ms和37 ms,响应速度相应地提高了2个数量级。该工作为制备高比探测率和高速的光电探测器提供了一种新的思路。
混合结构的石墨烯/半导体光电晶体管因其超高的响应度而备受关注。然而,该类光电晶体管通过源-漏电极测试得到的比探测率(D*)容易受到1/f噪声的限制。本文制备了混合结构的石墨烯/GaAs光电探测器,通过源-栅电极测得D*大约为1.82×1011 Jones,与通过源-漏电极测量相比,D*提高了约500倍。这可归因于界面上肖特基势垒对载流子俘获和释放过程的屏蔽作用。此外,探测器的上升时间和下降时间分别是4 ms和37 ms,响应速度相应地提高了2个数量级。该工作为制备高比探测率和高速的光电探测器提供了一种新的思路。
2021, 14(1): 213-225.
doi: 10.37188/CO.2020-0101
摘要:
硫化锌(ZnS)晶体是重要的宽光谱红外窗口材料,高深径比纳米孔的超快金宝搏188软件怎么用 制造技术为中红外波导傅立叶变换光谱仪等光子器件的实现提供了重要的技术途径。本文采用中心波长为1030 nm、重复频率为100 kHz、脉冲宽度为223 fs~20 ps可调的Yb: KGW金宝搏188软件怎么用 光源,用石英锥镜产生高斯-贝塞尔光束,并用4f系统构建了40倍缩束的超快金宝搏188软件怎么用 直写系统。在能量为36~63 μJ,脉宽为12.5~20 ps的情况下,在ZnS晶体上成功刻写了直径为80~320 nm的纳米孔结构。通过聚焦离子束(FIB)剥蚀和扫描电子显微镜(SEM)成像确定了纳米孔隙表面形貌、直径及深度信息。研究了金宝搏188软件怎么用 脉冲能量、脉冲宽度对纳米孔隙的影响。结果表明,在20 ps脉冲宽度、48 µJ脉冲能量的金宝搏188软件怎么用 参数下,纳米孔隙的深度约为270 μm。
硫化锌(ZnS)晶体是重要的宽光谱红外窗口材料,高深径比纳米孔的超快金宝搏188软件怎么用 制造技术为中红外波导傅立叶变换光谱仪等光子器件的实现提供了重要的技术途径。本文采用中心波长为1030 nm、重复频率为100 kHz、脉冲宽度为223 fs~20 ps可调的Yb: KGW金宝搏188软件怎么用 光源,用石英锥镜产生高斯-贝塞尔光束,并用4f系统构建了40倍缩束的超快金宝搏188软件怎么用 直写系统。在能量为36~63 μJ,脉宽为12.5~20 ps的情况下,在ZnS晶体上成功刻写了直径为80~320 nm的纳米孔结构。通过聚焦离子束(FIB)剥蚀和扫描电子显微镜(SEM)成像确定了纳米孔隙表面形貌、直径及深度信息。研究了金宝搏188软件怎么用 脉冲能量、脉冲宽度对纳米孔隙的影响。结果表明,在20 ps脉冲宽度、48 µJ脉冲能量的金宝搏188软件怎么用 参数下,纳米孔隙的深度约为270 μm。
摘要
HTML全文
PDF 225KB