2021年 14卷 第5期
2021, 14(5): 1039-1055.
doi: 10.37188/CO.2021-0003
摘要:
二维材料因其独特的结构和优异的电子和光电性能,为硅基光电子集成器件提供了新的发展机遇。近年来,面向硅基光电子混合集成的二维材料探测器已被广泛研究。本文梳理了构建光电探测器的几种二维材料基本特性及其探测机制,回顾了基于二维材料的硅光子集成光电探测器研究进展,总结了其器件结构和主要性能指标。最后,讨论了进一步提升硅光子集成二维材料光电探测器性能的策略,包括大规模二维材料集成器件的制备、器件结构与金属接触界面的优化以及新兴二维材料光电探测器的探索,以期推动二维材料在硅基光电子混合集成探测器领域的商业化应用。
二维材料因其独特的结构和优异的电子和光电性能,为硅基光电子集成器件提供了新的发展机遇。近年来,面向硅基光电子混合集成的二维材料探测器已被广泛研究。本文梳理了构建光电探测器的几种二维材料基本特性及其探测机制,回顾了基于二维材料的硅光子集成光电探测器研究进展,总结了其器件结构和主要性能指标。最后,讨论了进一步提升硅光子集成二维材料光电探测器性能的策略,包括大规模二维材料集成器件的制备、器件结构与金属接触界面的优化以及新兴二维材料光电探测器的探索,以期推动二维材料在硅基光电子混合集成探测器领域的商业化应用。
2021, 14(5): 1056-1068.
doi: 10.37188/CO.2021-0071
摘要:
光学频率梳(光频梳)具有脉冲宽度窄、频率精度高、频率梳齿稳定以及相干性好等优良的时频域特性,近年来成为超快金宝搏188软件怎么用 技术及计量科学等领域的研究热点,并发展成为一种重要的科研工具。近期,一类基于光频梳相干合成的新型光源,可实现对光的偏振或轨道角动量进行射频波段的周期性且高速稳定的调制。本文从光频梳的基本概念出发,分别就偏振调制和轨道角动量调制两个方面,详细介绍了基于光频梳相干合成新型光源的基本原理、实验技术以及表征手段等的最新研究进展。最后简要讨论光频梳相干合成技术在固体光谱学、光学操控、光与物质相互作用等领域的应用前景。
光学频率梳(光频梳)具有脉冲宽度窄、频率精度高、频率梳齿稳定以及相干性好等优良的时频域特性,近年来成为超快金宝搏188软件怎么用 技术及计量科学等领域的研究热点,并发展成为一种重要的科研工具。近期,一类基于光频梳相干合成的新型光源,可实现对光的偏振或轨道角动量进行射频波段的周期性且高速稳定的调制。本文从光频梳的基本概念出发,分别就偏振调制和轨道角动量调制两个方面,详细介绍了基于光频梳相干合成新型光源的基本原理、实验技术以及表征手段等的最新研究进展。最后简要讨论光频梳相干合成技术在固体光谱学、光学操控、光与物质相互作用等领域的应用前景。
2021, 14(5): 1069-1088.
doi: 10.37188/CO.2021-0044
摘要:
传统的光谱成像系统体积较大、工作模式固定,难以满足日益复杂的应用需要。可调微纳滤波结构赋予了微型光谱成像系统轻量、灵活的独特优势,有望实现自适应、智能化的技术目标。本文综述了近些年来国内外已有的可调滤波方法和工作原理;论述了采用液晶及其他相变材料、诱导化学反应等静态式的可调方法,珐珀腔、微纳可调光栅等动态式的滤波结构以及机械拉伸、静电驱动、光驱动等实现手段;介绍了基于微流控芯片、石墨烯实现可调滤波的前沿工作;探讨了可调微纳滤波芯片面临的难题、挑战和未来的发展趋势。
传统的光谱成像系统体积较大、工作模式固定,难以满足日益复杂的应用需要。可调微纳滤波结构赋予了微型光谱成像系统轻量、灵活的独特优势,有望实现自适应、智能化的技术目标。本文综述了近些年来国内外已有的可调滤波方法和工作原理;论述了采用液晶及其他相变材料、诱导化学反应等静态式的可调方法,珐珀腔、微纳可调光栅等动态式的滤波结构以及机械拉伸、静电驱动、光驱动等实现手段;介绍了基于微流控芯片、石墨烯实现可调滤波的前沿工作;探讨了可调微纳滤波芯片面临的难题、挑战和未来的发展趋势。
2021, 14(5): 1089-1103.
doi: 10.37188/CO.2021-0022
摘要:
深紫外光刻、极紫外光刻和先进光源等现代光学工程需求牵引先进光学制造技术持续发展,要求超光滑光学元件表面粗糙度达到原子级水平以及表面全频段面形误差达到RMS(Root Mean Square)亚纳米量级甚至几十皮米,推动超光滑光学元件制造要求不断逼近物理极限。目前,对于如何实现上述超高精度要求的超光滑加工技术及装备仍然存在技术挑战。尤其对如何实现柱面,椭球面,超环面等复杂曲面的原子量级超光滑加工仍是国内外前沿研究方向。弹性发射加工技术是一种去除函数稳定,超低亚表面缺陷,面向原子级的超光滑加工方法,可以作为加工上述精度要求光学元件的手段。本文总结了弹性发射加工技术的国内外研究现状及最新进展,归纳了弹性发射加工技术的原理,包含流体特性、抛光颗粒运动特性和化学特性,弹性发射加工装备,影响弹性发射加工技术表面粗糙度提升和材料去除效率的因素,分析了弹性发射加工技术面临的问题,展望了未来的发展方向,期望为弹性发射加工技术进一步发展和应用提供一定的参考。
深紫外光刻、极紫外光刻和先进光源等现代光学工程需求牵引先进光学制造技术持续发展,要求超光滑光学元件表面粗糙度达到原子级水平以及表面全频段面形误差达到RMS(Root Mean Square)亚纳米量级甚至几十皮米,推动超光滑光学元件制造要求不断逼近物理极限。目前,对于如何实现上述超高精度要求的超光滑加工技术及装备仍然存在技术挑战。尤其对如何实现柱面,椭球面,超环面等复杂曲面的原子量级超光滑加工仍是国内外前沿研究方向。弹性发射加工技术是一种去除函数稳定,超低亚表面缺陷,面向原子级的超光滑加工方法,可以作为加工上述精度要求光学元件的手段。本文总结了弹性发射加工技术的国内外研究现状及最新进展,归纳了弹性发射加工技术的原理,包含流体特性、抛光颗粒运动特性和化学特性,弹性发射加工装备,影响弹性发射加工技术表面粗糙度提升和材料去除效率的因素,分析了弹性发射加工技术面临的问题,展望了未来的发展方向,期望为弹性发射加工技术进一步发展和应用提供一定的参考。
2021, 14(5): 1104-1119.
doi: 10.37188/CO.2021-0033
摘要:
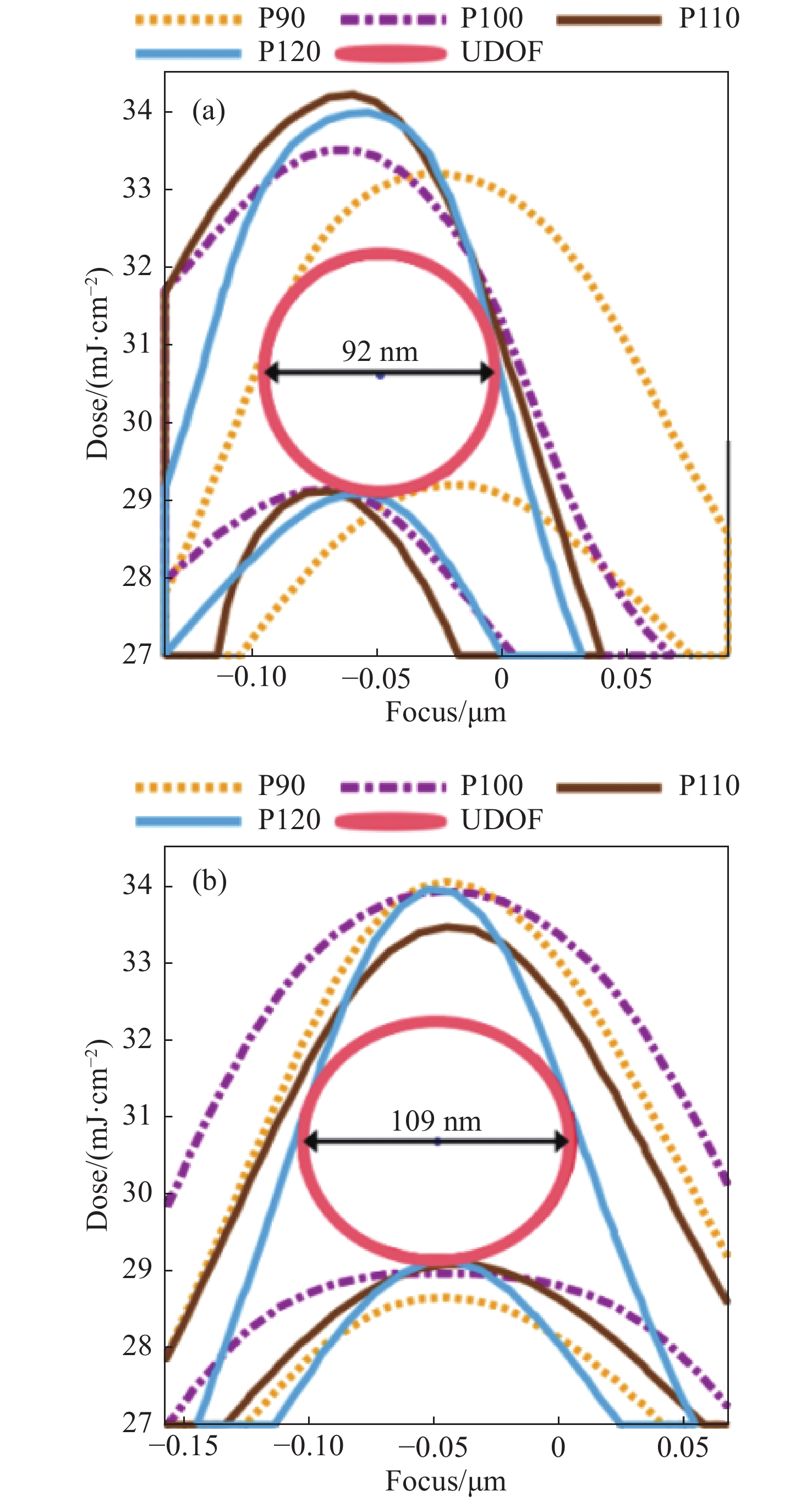
随着大规模集成电路芯片制造的技术节点不断缩小,光刻机的聚焦控制变得尤为困难。为了保证硅片曝光的质量,需要快速、准确地将硅片在几十纳米的聚焦深度范围(DOF)内进行快速调整。因此,需要仔细分析光刻过程中导致焦点偏移或工艺窗口变化的各种因素,制定合理的聚焦控制预算,将各种误差因素控制在一定范围内。本文聚焦极紫外(EUV)光刻,综述包含EUV在内的先进光刻机中光路部分对聚焦控制有影响的各种因素,总结它们产生的原理及仿真、实验结果,为开展先进光刻聚焦控制预算研究提供参考。
随着大规模集成电路芯片制造的技术节点不断缩小,光刻机的聚焦控制变得尤为困难。为了保证硅片曝光的质量,需要快速、准确地将硅片在几十纳米的聚焦深度范围(DOF)内进行快速调整。因此,需要仔细分析光刻过程中导致焦点偏移或工艺窗口变化的各种因素,制定合理的聚焦控制预算,将各种误差因素控制在一定范围内。本文聚焦极紫外(EUV)光刻,综述包含EUV在内的先进光刻机中光路部分对聚焦控制有影响的各种因素,总结它们产生的原理及仿真、实验结果,为开展先进光刻聚焦控制预算研究提供参考。
2021, 14(5): 1120-1132.
doi: 10.37188/CO.2021-0125
摘要:
近1 μm波段的可调谐光纤光源在光纤传感、金宝搏188软件怎么用 冷却、光化学、光谱学以及医疗等领域具有广泛应用,近年来成为光纤光源领域的一个研究热点。本文首先系统回顾了能够实现波长调谐的4类光纤光源的发展历程,然后分析了它们存在的问题及可能的解决思路,最后对近1 μm波段可调谐光纤光源进行了总结和展望。
近1 μm波段的可调谐光纤光源在光纤传感、金宝搏188软件怎么用 冷却、光化学、光谱学以及医疗等领域具有广泛应用,近年来成为光纤光源领域的一个研究热点。本文首先系统回顾了能够实现波长调谐的4类光纤光源的发展历程,然后分析了它们存在的问题及可能的解决思路,最后对近1 μm波段可调谐光纤光源进行了总结和展望。
2021, 14(5): 1133-1145.
doi: 10.37188/CO.2020-0216
摘要:
混沌金宝搏188软件怎么用 由于其类噪声的随机性和优良的抗干扰性,广泛应用于混沌保密通讯、金宝搏188软件怎么用 雷达、光学检测等方面,而且半导体金宝搏188软件怎么用 器自身体积小且结构稳定,成为产生混沌金宝搏188软件怎么用 的主要金宝搏188软件怎么用 器之一。但是,常规光反馈结构的半导体金宝搏188软件怎么用 器系统输出的混沌金宝搏188软件怎么用 信号带宽较窄且存在延时特征,这严重影响了混沌金宝搏188软件怎么用 的应用。针对半导体金宝搏188软件怎么用 器系统的上述问题,本文综合介绍了降低延时特征和优化混沌金宝搏188软件怎么用 带宽的研究进展,对混沌保密通讯十分重要的混沌金宝搏188软件怎么用 的同步性研究进展和半导体金宝搏188软件怎么用 器系统输出的混沌金宝搏188软件怎么用 在应用方面的研究进行了总结,并最终对半导体金宝搏188软件怎么用 器系统输出的混沌金宝搏188软件怎么用 的未来发展与应用前景进行展望。
混沌金宝搏188软件怎么用 由于其类噪声的随机性和优良的抗干扰性,广泛应用于混沌保密通讯、金宝搏188软件怎么用 雷达、光学检测等方面,而且半导体金宝搏188软件怎么用 器自身体积小且结构稳定,成为产生混沌金宝搏188软件怎么用 的主要金宝搏188软件怎么用 器之一。但是,常规光反馈结构的半导体金宝搏188软件怎么用 器系统输出的混沌金宝搏188软件怎么用 信号带宽较窄且存在延时特征,这严重影响了混沌金宝搏188软件怎么用 的应用。针对半导体金宝搏188软件怎么用 器系统的上述问题,本文综合介绍了降低延时特征和优化混沌金宝搏188软件怎么用 带宽的研究进展,对混沌保密通讯十分重要的混沌金宝搏188软件怎么用 的同步性研究进展和半导体金宝搏188软件怎么用 器系统输出的混沌金宝搏188软件怎么用 在应用方面的研究进行了总结,并最终对半导体金宝搏188软件怎么用 器系统输出的混沌金宝搏188软件怎么用 的未来发展与应用前景进行展望。
2021, 14(5): 1146-1161.
doi: 10.37188/CO.2021-0032
摘要:
增强现实显示技术近年来发展迅速,已成为全球信息技术及产业的研究热点和发展重点,有望彻底改变人们感知和处理各种数字信息的方式。同时,微显示技术和光学技术的最新进展为增强现实显示技术的进一步发展指明了方向。本文分析了人眼视觉系统对增强现实头戴式显示器的光学性能要求,将目前增强现实头戴式显示器可实现的规格与之进行比较,说明了现阶段增强现实显示技术的发展水平和面临的主要挑战;重点阐述了增强现实显示技术中各种微显示器和光学组合器的基本原理和所能达到的参数指标,说明了它们的技术先进性和可实现性,同时对它们的发展前景进行了展望。
增强现实显示技术近年来发展迅速,已成为全球信息技术及产业的研究热点和发展重点,有望彻底改变人们感知和处理各种数字信息的方式。同时,微显示技术和光学技术的最新进展为增强现实显示技术的进一步发展指明了方向。本文分析了人眼视觉系统对增强现实头戴式显示器的光学性能要求,将目前增强现实头戴式显示器可实现的规格与之进行比较,说明了现阶段增强现实显示技术的发展水平和面临的主要挑战;重点阐述了增强现实显示技术中各种微显示器和光学组合器的基本原理和所能达到的参数指标,说明了它们的技术先进性和可实现性,同时对它们的发展前景进行了展望。
2021, 14(5): 1162-1168.
doi: 10.37188/CO.2021-0001
摘要:
为了实现穿刺过程中的精准定位,设计研制了一款视场角为90°,焦距为0.67 mm的高分辨率可视穿刺针光学系统。为使光学系统的光轴垂直于穿刺针的倾斜刃面,利用反射棱镜对光束进行转折,实现45°视向角。光学系统采用反远结构,并对初始结构参数的计算公式进行推导。经过优化设计后,系统成像质量接近衍射极限,最大光学元件尺寸小于1.5 mm。利用研制的光学系统和微型CMOS图像传感器,装配完成了一款直径为4 mm的可视穿刺针。对该可视穿刺针分别进行调制传递函数(MTF)测试和成像试验,测试结果表明,研制的光学系统具有较好的成像质量,物方分辨率优于18.03 lp/mm,能够实现清晰成像。
为了实现穿刺过程中的精准定位,设计研制了一款视场角为90°,焦距为0.67 mm的高分辨率可视穿刺针光学系统。为使光学系统的光轴垂直于穿刺针的倾斜刃面,利用反射棱镜对光束进行转折,实现45°视向角。光学系统采用反远结构,并对初始结构参数的计算公式进行推导。经过优化设计后,系统成像质量接近衍射极限,最大光学元件尺寸小于1.5 mm。利用研制的光学系统和微型CMOS图像传感器,装配完成了一款直径为4 mm的可视穿刺针。对该可视穿刺针分别进行调制传递函数(MTF)测试和成像试验,测试结果表明,研制的光学系统具有较好的成像质量,物方分辨率优于18.03 lp/mm,能够实现清晰成像。
2021, 14(5): 1169-1176.
doi: 10.37188/CO.2021-0005
摘要:
为了提高胶囊内窥镜天线的工作性能,提高天线抗干扰能力和兼容性,进一步缩小尺寸,设计了一种基于石墨烯的用于胶囊内窥镜的宽频圆极化天线。该天线由3层辐射单元和地板构成,利用石墨烯薄膜优良的导电性能,制作天线的各层辐射单元和地板以有效增强胶囊天线的工作带宽与增益,提高传输效率并降低损耗。通过4个短路探针使第1层与第2层辐射单元相连接,构成复合螺旋天线,进而产生圆极化特性,既能减少误码率又能抑制多径干扰,并且能够更加高效地耦合电磁能量,有效改善阻抗匹配并调节圆极化纯度。详细分析了第1层、第2层和第3层辐射单元开口圆环尺寸、石墨烯薄膜厚度、天线摄入环境(胃、小肠、结肠等)对天线性能的影响。测试结果表明,设计的体积仅为π×4.52×1.905 mm3,阻抗带宽为2.2~2.78 GHz,轴比带宽为2.26~2.66 GHz,增益为−22.9 dBi,实际测量与仿真结果吻合良好,工作频段内辐射特性稳定,与现有技术相比,本文设计天线外形兼容性强,功能带宽更宽,具有宽频带、圆极化、抗干扰、电磁兼容性好、体积小等特点。该天线适用于ISM 2.4 GHz频段,能满足胶囊内窥镜摄入不同消化器官的工作要求。
为了提高胶囊内窥镜天线的工作性能,提高天线抗干扰能力和兼容性,进一步缩小尺寸,设计了一种基于石墨烯的用于胶囊内窥镜的宽频圆极化天线。该天线由3层辐射单元和地板构成,利用石墨烯薄膜优良的导电性能,制作天线的各层辐射单元和地板以有效增强胶囊天线的工作带宽与增益,提高传输效率并降低损耗。通过4个短路探针使第1层与第2层辐射单元相连接,构成复合螺旋天线,进而产生圆极化特性,既能减少误码率又能抑制多径干扰,并且能够更加高效地耦合电磁能量,有效改善阻抗匹配并调节圆极化纯度。详细分析了第1层、第2层和第3层辐射单元开口圆环尺寸、石墨烯薄膜厚度、天线摄入环境(胃、小肠、结肠等)对天线性能的影响。测试结果表明,设计的体积仅为π×4.52×1.905 mm3,阻抗带宽为2.2~2.78 GHz,轴比带宽为2.26~2.66 GHz,增益为−22.9 dBi,实际测量与仿真结果吻合良好,工作频段内辐射特性稳定,与现有技术相比,本文设计天线外形兼容性强,功能带宽更宽,具有宽频带、圆极化、抗干扰、电磁兼容性好、体积小等特点。该天线适用于ISM 2.4 GHz频段,能满足胶囊内窥镜摄入不同消化器官的工作要求。
2021, 14(5): 1177-1183.
doi: 10.37188/CO.2021-0020
摘要:
大视场生物成像分析仪能够满足对于稀有细胞和痕量病原微生物等待测样本量大,目标物稀少情况下的快速和准确检测需求,在生命科学、食品药品检测、环境安全等领域中有极其重要的作用。针对其核心部分,本文以同轴三反成像理论为基础,采用视场离轴的方式设计了离轴三反显微物镜,并进行光学仿真分析。该系统光谱范围为350~1100 nm、放大倍数β=−1,视场范围为150 mm×20 mm,数值孔径为0.1,点列图直径的均方根小于3.5 μm,在空间截止频率178 lp/mm处,全视场的MTF均值大于0.35,畸变为0。实验结果表明:该成像系统视场大、分辨率高,大视场生物成像分析仪系统检出率为98%。本文设计的离轴三反显微物镜成像质量良好,可满足应用需求。
大视场生物成像分析仪能够满足对于稀有细胞和痕量病原微生物等待测样本量大,目标物稀少情况下的快速和准确检测需求,在生命科学、食品药品检测、环境安全等领域中有极其重要的作用。针对其核心部分,本文以同轴三反成像理论为基础,采用视场离轴的方式设计了离轴三反显微物镜,并进行光学仿真分析。该系统光谱范围为350~1100 nm、放大倍数β=−1,视场范围为150 mm×20 mm,数值孔径为0.1,点列图直径的均方根小于3.5 μm,在空间截止频率178 lp/mm处,全视场的MTF均值大于0.35,畸变为0。实验结果表明:该成像系统视场大、分辨率高,大视场生物成像分析仪系统检出率为98%。本文设计的离轴三反显微物镜成像质量良好,可满足应用需求。
2021, 14(5): 1184-1193.
doi: 10.37188/CO.2020-0218
摘要:
为了实现大口径、长焦距、批量化离轴镜面的高精度面形检验,本文提出了一种零位反衍补偿检测方案,采用计算全息和球面反射镜共同对离轴镜面法向像差进行补偿,检测光路波像差残差接近于零。检测方案为非轴对称离轴结构,设计了相应的全息对准光路,以保证检测光路装调切实可行。不同离轴量子镜检测光路参数完全一致,仅需更换相应位置计算全息片、调整待测镜空间姿态,即可实现不同类型镜面的快速批量化检验。误差分析结果表明,由补偿元件制造误差、光路失调、干涉仪面形测量重复性以及干涉仪标准球面波偏差引起的待测镜面形误差小于λ/40 (RMS值,λ=632.8 nm)。
为了实现大口径、长焦距、批量化离轴镜面的高精度面形检验,本文提出了一种零位反衍补偿检测方案,采用计算全息和球面反射镜共同对离轴镜面法向像差进行补偿,检测光路波像差残差接近于零。检测方案为非轴对称离轴结构,设计了相应的全息对准光路,以保证检测光路装调切实可行。不同离轴量子镜检测光路参数完全一致,仅需更换相应位置计算全息片、调整待测镜空间姿态,即可实现不同类型镜面的快速批量化检验。误差分析结果表明,由补偿元件制造误差、光路失调、干涉仪面形测量重复性以及干涉仪标准球面波偏差引起的待测镜面形误差小于λ/40 (RMS值,λ=632.8 nm)。
2021, 14(5): 1194-1201.
doi: 10.37188/CO.2020-0220
摘要:
目前对于超分辨成像技术的研究主要集中在超分辨重建算法方面,光学系统本身的装调误差对超分辨成像结果的影响尚未见报道。针对这一问题,开展了装调误差对超分辨成像影响的研究,建立了基于数字微镜器件(DMD)的超分辨成像光学系统的基本成像模型,设计了一个工作波段为8~12 μm的DMD超分辨成像光学系统,提出了装调误差对超分辨成像质量影响的分析方法。在成像模型中分别引入适当的偏心、倾斜、镜片间隔误差、离焦等装调误差,对超分辨重建结果进行仿真分析,得出了该超分辨成像光学系统装调时的公差范围:该系统在加工装调时X方向总体偏心误差控制在±0.07 mm以内,Y方向总体偏心误差控制在±0.05 mm以内,X方向和Y方向的总体倾斜误差控制在±0.06°以内,总体镜片间隔误差控制在±0.02 mm以内,成像物镜的离焦量控制在±0.04 mm以内,投影物镜的离焦量控制在±0.05 mm以内,在此范围内超分辨成像光学系统可以保证超分辨成像的质量。
目前对于超分辨成像技术的研究主要集中在超分辨重建算法方面,光学系统本身的装调误差对超分辨成像结果的影响尚未见报道。针对这一问题,开展了装调误差对超分辨成像影响的研究,建立了基于数字微镜器件(DMD)的超分辨成像光学系统的基本成像模型,设计了一个工作波段为8~12 μm的DMD超分辨成像光学系统,提出了装调误差对超分辨成像质量影响的分析方法。在成像模型中分别引入适当的偏心、倾斜、镜片间隔误差、离焦等装调误差,对超分辨重建结果进行仿真分析,得出了该超分辨成像光学系统装调时的公差范围:该系统在加工装调时X方向总体偏心误差控制在±0.07 mm以内,Y方向总体偏心误差控制在±0.05 mm以内,X方向和Y方向的总体倾斜误差控制在±0.06°以内,总体镜片间隔误差控制在±0.02 mm以内,成像物镜的离焦量控制在±0.04 mm以内,投影物镜的离焦量控制在±0.05 mm以内,在此范围内超分辨成像光学系统可以保证超分辨成像的质量。
2021, 14(5): 1202-1211.
doi: 10.37188/CO.2020-0214
摘要:
本文提出一种基于机器学习的抛撒地雷的夜视智能探测方法。首先,根据YOLO系列机器学习算法,设计并优化了抛撒地雷的智能检测网络模型;其次,根据几何光学成像的相似性原理,研究抛撒地雷的测距模型。最后,搭建抛撒地雷的夜视智能探测系统进行实验测试分析。实验结果显示,优化后抛撒地雷智能探测网络模型的准确度达到98.97%、召回率达到99.22%、均值平均精度为99.2%;在给定的实验条件下,利用优化后的抛撒地雷测距模型,对抛撒地雷的距离测算误差为±10 cm,表明利用机器学习可以用于对抛撒地雷进行智能探测。
本文提出一种基于机器学习的抛撒地雷的夜视智能探测方法。首先,根据YOLO系列机器学习算法,设计并优化了抛撒地雷的智能检测网络模型;其次,根据几何光学成像的相似性原理,研究抛撒地雷的测距模型。最后,搭建抛撒地雷的夜视智能探测系统进行实验测试分析。实验结果显示,优化后抛撒地雷智能探测网络模型的准确度达到98.97%、召回率达到99.22%、均值平均精度为99.2%;在给定的实验条件下,利用优化后的抛撒地雷测距模型,对抛撒地雷的距离测算误差为±10 cm,表明利用机器学习可以用于对抛撒地雷进行智能探测。
2021, 14(5): 1212-1223.
doi: 10.37188/CO.2020-0219
摘要:
随着道路上汽车的增多,汽车制动系统的可靠性受到越来越多的关注,基于机器视觉的汽车制动主缸补偿孔参数检测精度,是决定汽车安全性和停车可靠性的关键技术,补偿孔作为汽车制动主缸的重要组成部分,可以起到调节汽车制动主缸储液罐与压力室中制动液的重要作用,其尺寸精度和加工质量受到严格的控制,因此如何准确的获取补偿孔的图像是补偿孔参数检测的首要问题。通过将飞机钻铆孔法线找正的方法引入到图像获取中,将四点微平面法线检测方法与图像处理相结合,实现高效高精度的法线找正。实验表明,本文算法法线找正精度高于0.05°,优于传统检测精度的0.5°,检测时间小于1 s。本文提出的算法在满足精度要求的情况下,算法简单,实时性高,同时具有较好的鲁棒性,满足制动主缸生产工业现场对于检测速度和精度的要求。
随着道路上汽车的增多,汽车制动系统的可靠性受到越来越多的关注,基于机器视觉的汽车制动主缸补偿孔参数检测精度,是决定汽车安全性和停车可靠性的关键技术,补偿孔作为汽车制动主缸的重要组成部分,可以起到调节汽车制动主缸储液罐与压力室中制动液的重要作用,其尺寸精度和加工质量受到严格的控制,因此如何准确的获取补偿孔的图像是补偿孔参数检测的首要问题。通过将飞机钻铆孔法线找正的方法引入到图像获取中,将四点微平面法线检测方法与图像处理相结合,实现高效高精度的法线找正。实验表明,本文算法法线找正精度高于0.05°,优于传统检测精度的0.5°,检测时间小于1 s。本文提出的算法在满足精度要求的情况下,算法简单,实时性高,同时具有较好的鲁棒性,满足制动主缸生产工业现场对于检测速度和精度的要求。
2021, 14(5): 1224-1230.
doi: 10.37188/CO.2021-0008
摘要:
温度和压力是石油开采过程中重要的参数,但油气井下高温高压环境苛刻,传统电子传感器很难实现长期稳定的工作。本文提出了一种基于碳纤维管增敏型的光纤光栅温度压力传感器。该传感器是以碳纤维丝编织成的中空管状结构作为骨架,通过耐高温环氧树脂固化成复合碳纤维管作为弹性体,并将表面嵌入耐高温光纤布拉格光栅作为感知元件,实现了井下温度和压力的同时测量。实验结果表明,该传感器可以在0~150 ℃和0~80 MPa环境下稳定工作,压力灵敏度最大可达到−50.02 pm/MPa,同时表现出很好的线性响应。通过外加参考光栅作为温度补偿光栅,解决了温度和压力同时测量过程中的交叉敏感问题,满足了井下开采过程中的精度要求,为油气井下高温高压光纤传感器的设计提供了实验依据。
温度和压力是石油开采过程中重要的参数,但油气井下高温高压环境苛刻,传统电子传感器很难实现长期稳定的工作。本文提出了一种基于碳纤维管增敏型的光纤光栅温度压力传感器。该传感器是以碳纤维丝编织成的中空管状结构作为骨架,通过耐高温环氧树脂固化成复合碳纤维管作为弹性体,并将表面嵌入耐高温光纤布拉格光栅作为感知元件,实现了井下温度和压力的同时测量。实验结果表明,该传感器可以在0~150 ℃和0~80 MPa环境下稳定工作,压力灵敏度最大可达到−50.02 pm/MPa,同时表现出很好的线性响应。通过外加参考光栅作为温度补偿光栅,解决了温度和压力同时测量过程中的交叉敏感问题,满足了井下开采过程中的精度要求,为油气井下高温高压光纤传感器的设计提供了实验依据。
2021, 14(5): 1231-1242.
doi: 10.37188/CO.2020-0129
摘要:
为有效评估集热塔散射辐射对敦煌场区光环境的影响程度,本文采用Monte Carlo三维辐射传输模型模拟与CE318多通道光度计等高线实测分析相结合的定量分析方法,以解决散射辐射交融于背景辐射中难以定量评估的问题。通过使用新型的ASC200云量自动观测仪,提高晴空辩识精度。通过开发CE318四象限定位修正算法,有效提高观测数据质量。2020年1~3月收集到的有效数据显示除了550 nm通道,集热塔未对天空漫射辐射产生明显影响。对于500 nm通道,在有效数据对应的观测几何下(距离0.87~3.07 km,观测天顶角为77.30°~51.32°),集热塔吸热器对天空漫射辐射的影响不超过0.93%。与模型模拟结果相结合进行分析,得出如下结论:当距离电站2 km时大电站散射辐射带来的天空漫射辐射相对变化<1.62%;当与电站距离≥3 km时相对变化<0.93%。本项研究成果对利用敦煌场开展遥感定量化应用、准确评估发电站引进的不确定度因素具有积极意义。
为有效评估集热塔散射辐射对敦煌场区光环境的影响程度,本文采用Monte Carlo三维辐射传输模型模拟与CE318多通道光度计等高线实测分析相结合的定量分析方法,以解决散射辐射交融于背景辐射中难以定量评估的问题。通过使用新型的ASC200云量自动观测仪,提高晴空辩识精度。通过开发CE318四象限定位修正算法,有效提高观测数据质量。2020年1~3月收集到的有效数据显示除了550 nm通道,集热塔未对天空漫射辐射产生明显影响。对于500 nm通道,在有效数据对应的观测几何下(距离0.87~3.07 km,观测天顶角为77.30°~51.32°),集热塔吸热器对天空漫射辐射的影响不超过0.93%。与模型模拟结果相结合进行分析,得出如下结论:当距离电站2 km时大电站散射辐射带来的天空漫射辐射相对变化<1.62%;当与电站距离≥3 km时相对变化<0.93%。本项研究成果对利用敦煌场开展遥感定量化应用、准确评估发电站引进的不确定度因素具有积极意义。
2021, 14(5): 1243-1250.
doi: 10.37188/CO.2021-0018
摘要:
利用光谱范围为400~1000 nm的无狭缝光栅光谱仪记录了云对地闪电放电光谱,在可见光谱的低频段观测到丰富的一价氮离子谱线,没有明显观测到其他重要的离子谱线。闪电通道内大量电子在电场作用下向地面倾泻使通道快速加热,沿通道径向温度降低,通道表面附近氮离子与电子的相互作用增强从而产生连续辐射。闪电的连续辐射机制主要包括轫致辐射和复合辐射,对应于氮离子与自由电子的库仑碰撞和对自由电子的捕获。当等离子体温度低于10000 K时,轫致连续辐射谱为平坦谱,其对连续谱在可见光范围内的轮廓特征没有明显影响。复合辐射方面,以类氢离子经典辐射理论为基础,引入非类氢的复杂离子近似计算方法,用Gaunt因子进行量子力学修正,分析氮离子的复合辐射过程。据此导出连续光谱复合辐射系数与波长的函数关系,由关系式绘制氮等离子体连续辐射光谱的特征曲线,与闪电连续光谱观测结果进行比较,发现等离子体表面电子温度与连续辐射光谱谱峰的位置密切相关;引入氮离子的有效核电荷数Z*对连续谱的阶跃特征和谱翼展宽特性有显著影响。对比发现,当Z*为3时,理论曲线与连续光谱的轮廓特征高度一致。Z*的取值范围由离子种类决定,有效荷电荷数Z*能很好地解释闪电等离子体在给定波长下连续光谱的阶跃特征。
利用光谱范围为400~1000 nm的无狭缝光栅光谱仪记录了云对地闪电放电光谱,在可见光谱的低频段观测到丰富的一价氮离子谱线,没有明显观测到其他重要的离子谱线。闪电通道内大量电子在电场作用下向地面倾泻使通道快速加热,沿通道径向温度降低,通道表面附近氮离子与电子的相互作用增强从而产生连续辐射。闪电的连续辐射机制主要包括轫致辐射和复合辐射,对应于氮离子与自由电子的库仑碰撞和对自由电子的捕获。当等离子体温度低于10000 K时,轫致连续辐射谱为平坦谱,其对连续谱在可见光范围内的轮廓特征没有明显影响。复合辐射方面,以类氢离子经典辐射理论为基础,引入非类氢的复杂离子近似计算方法,用Gaunt因子进行量子力学修正,分析氮离子的复合辐射过程。据此导出连续光谱复合辐射系数与波长的函数关系,由关系式绘制氮等离子体连续辐射光谱的特征曲线,与闪电连续光谱观测结果进行比较,发现等离子体表面电子温度与连续辐射光谱谱峰的位置密切相关;引入氮离子的有效核电荷数Z*对连续谱的阶跃特征和谱翼展宽特性有显著影响。对比发现,当Z*为3时,理论曲线与连续光谱的轮廓特征高度一致。Z*的取值范围由离子种类决定,有效荷电荷数Z*能很好地解释闪电等离子体在给定波长下连续光谱的阶跃特征。
2021, 14(5): 1251-1258.
doi: 10.37188/CO.2020-0068
摘要:
周期双阱势的光学性质是金宝搏188软件怎么用 物理和量子光学的前沿研究领域之一。该文研究了具有时间周期双阱势的石墨烯系统中光子辅助狄拉克电子的Fano型共振隧穿。利用双量子阱结构,电子通过两量子阱之间的薄势垒的共振隧穿将导致束缚态能级的分裂,Fano型共振谱将分裂为两个不对称共振峰。通过改变相位、频率和振幅来调制Fano峰的形状,可以用来调制Dirac在石墨烯中的电子输运性质。数值分析表明,两个振荡场的相对相位可以调节非对称Fano型共振峰的形状。当相对相位从0增加到${\text{π}}$ 时,共振峰谷从峰的一侧移到另一侧;在临界相位${{3{\text{π}} }/{11}}$ 处,不对称共振峰变得对称。此外,还可以通过改变振荡场的频率和振幅以及静态势阱的结构来调制Fano峰的分布。这些有趣的物理性质可以用来调节石墨烯中Dirac的电子输运性质。
周期双阱势的光学性质是金宝搏188软件怎么用 物理和量子光学的前沿研究领域之一。该文研究了具有时间周期双阱势的石墨烯系统中光子辅助狄拉克电子的Fano型共振隧穿。利用双量子阱结构,电子通过两量子阱之间的薄势垒的共振隧穿将导致束缚态能级的分裂,Fano型共振谱将分裂为两个不对称共振峰。通过改变相位、频率和振幅来调制Fano峰的形状,可以用来调制Dirac在石墨烯中的电子输运性质。数值分析表明,两个振荡场的相对相位可以调节非对称Fano型共振峰的形状。当相对相位从0增加到
2021, 14(5): 1259-1272.
doi: 10.37188/CO.2020-0204
摘要:
为了实现光纤法布里-珀罗(简称法珀)传感器腔长的解调,提出一种新型光楔式非扫描相关解调系统,对该系统所采用的器件特性及结构进行分析研究。首先,通过模拟不同光谱分布的光源及不同表面反射率的光楔,分析其相关干涉信号并给出系统器件的最优化结构参数。接着通过对比鲍威尔棱镜与柱透镜在线阵CCD上的光强分布特性,实现更均匀的光谱分布。最后,给出解调系统的具体实施方案及数据处理方法。实验结果表明:光源光谱具有高斯分布且谱宽较大及光楔表面反射率$ R = 0.5$ 时,相关干涉信号特征明显,便于解调。最终解调系统实现在60~100 μm腔长范围内误差小于0.025%的解调。这种光楔式非扫描相关解调方案可以实现光纤法珀腔的传感解调,并可以提高不同类型光纤法珀传感器功率适应性。
为了实现光纤法布里-珀罗(简称法珀)传感器腔长的解调,提出一种新型光楔式非扫描相关解调系统,对该系统所采用的器件特性及结构进行分析研究。首先,通过模拟不同光谱分布的光源及不同表面反射率的光楔,分析其相关干涉信号并给出系统器件的最优化结构参数。接着通过对比鲍威尔棱镜与柱透镜在线阵CCD上的光强分布特性,实现更均匀的光谱分布。最后,给出解调系统的具体实施方案及数据处理方法。实验结果表明:光源光谱具有高斯分布且谱宽较大及光楔表面反射率
2021, 14(5): 1273-1287.
doi: 10.37188/CO.2021-0015
摘要:
为了实现外周血有核红细胞的分离与释放,开发安全有效的非侵入式技术分离有核红细胞以用于产前胎儿疾病诊断,本文以水凝胶材料为基底建立自动化细胞涂片制备系统,并构建用于识别释放有核红细胞的金宝搏188软件怎么用 会聚和显微成像系统。首先,设计了细胞涂片制备机的机械结构,基于单片机制作上位机控制软件,优化推片角度和速度参数制备水凝胶膜基底涂片,在温敏水凝胶明胶中引入二维材料MXene,结合MXene的近红外光热转换特性,在水凝胶膜表面实现近红外光响应。然后,在水凝胶基底膜表面进行全血推片实验,优化血液推片参数,制备得到单层细胞涂片。最后,建立金宝搏188软件怎么用 会聚和显微成像光路,对有核红细胞进行识别定位。808 nm金宝搏188软件怎么用 器的光源经过准直镜和会聚镜聚焦到细胞涂片表面,产生光热效应进行细胞释放。此项工作实现了单层细胞涂片的加工制备,在808 nm近红外光下产生光热效应,经过金宝搏188软件怎么用 会聚系统的调控,最终得到了光斑直径为300 μm的细胞定点释放区域。本文将自动推片技术应用于以水凝胶膜为基底的单层细胞涂片的制备,建立金宝搏188软件怎么用 会聚与显微成像光路,通过水凝胶膜的近红外响应以及热响应特性,实现了有核红细胞的识别与定点释放,提高了有核红细胞分离富集效率,在产前筛选诊断领域中具备广阔的应用前景。
为了实现外周血有核红细胞的分离与释放,开发安全有效的非侵入式技术分离有核红细胞以用于产前胎儿疾病诊断,本文以水凝胶材料为基底建立自动化细胞涂片制备系统,并构建用于识别释放有核红细胞的金宝搏188软件怎么用 会聚和显微成像系统。首先,设计了细胞涂片制备机的机械结构,基于单片机制作上位机控制软件,优化推片角度和速度参数制备水凝胶膜基底涂片,在温敏水凝胶明胶中引入二维材料MXene,结合MXene的近红外光热转换特性,在水凝胶膜表面实现近红外光响应。然后,在水凝胶基底膜表面进行全血推片实验,优化血液推片参数,制备得到单层细胞涂片。最后,建立金宝搏188软件怎么用 会聚和显微成像光路,对有核红细胞进行识别定位。808 nm金宝搏188软件怎么用 器的光源经过准直镜和会聚镜聚焦到细胞涂片表面,产生光热效应进行细胞释放。此项工作实现了单层细胞涂片的加工制备,在808 nm近红外光下产生光热效应,经过金宝搏188软件怎么用 会聚系统的调控,最终得到了光斑直径为300 μm的细胞定点释放区域。本文将自动推片技术应用于以水凝胶膜为基底的单层细胞涂片的制备,建立金宝搏188软件怎么用 会聚与显微成像光路,通过水凝胶膜的近红外响应以及热响应特性,实现了有核红细胞的识别与定点释放,提高了有核红细胞分离富集效率,在产前筛选诊断领域中具备广阔的应用前景。
2021, 14(5): 1288-1304.
doi: 10.37188/CO.2021-0004
摘要:
相对于有限元、有限时域差分等常用的仿真算法,边界元算法具有精度高、占用内存少、善于处理复杂结构的优点。本文给出了三维边界元算法的基本原理,编写了基于C++语言的三维边界元算法程序,并用其研究了石墨烯纳米圆盘结构的表面等离子体共振特性;计算了石墨烯纳米圆盘在不同化学势下的散射截面谱线及共振波长下电磁场分布等物理量,分析了石墨烯纳米圆盘在红外波段的电磁响应性质。考虑到加工过程中产生的缺陷会导致石墨烯材料出现褶皱,故又研究了石墨烯纳米圆盘中心处产生凸起后,凸起结构的几何参数对共振强度、波长等参量的影响,并采用电荷运动的弹簧振子模型对仿真结果进行了解释。
相对于有限元、有限时域差分等常用的仿真算法,边界元算法具有精度高、占用内存少、善于处理复杂结构的优点。本文给出了三维边界元算法的基本原理,编写了基于C++语言的三维边界元算法程序,并用其研究了石墨烯纳米圆盘结构的表面等离子体共振特性;计算了石墨烯纳米圆盘在不同化学势下的散射截面谱线及共振波长下电磁场分布等物理量,分析了石墨烯纳米圆盘在红外波段的电磁响应性质。考虑到加工过程中产生的缺陷会导致石墨烯材料出现褶皱,故又研究了石墨烯纳米圆盘中心处产生凸起后,凸起结构的几何参数对共振强度、波长等参量的影响,并采用电荷运动的弹簧振子模型对仿真结果进行了解释。
摘要
HTML全文
PDF 10280KB


