留言板

尊敬的读者、作者、审稿人, 关于本刊的投稿、审稿、编辑和出版的任何问题, 您可以本页添加留言。我们将尽快给您答复。谢谢您的支持!

姓名
邮箱
手机号码
标题
留言内容
验证码

2022年  15卷  第4期

综述
光纤法布里-珀罗干涉仪高温传感器研究进展
李爱武, 单天奇, 国旗, 潘学鹏, 刘善仁, 陈超, 于永森
2022, 15(4): 609-624. doi: 10.37188/CO.2021-0219
摘要:

光纤法布里-珀罗干涉仪高温传感器具有体积小、制作简单、灵敏度高、耐高温和抗电磁干扰等优点,广泛应用于航空航天、能源工业及环境监测等领域。本文首先介绍了光纤法布里-珀罗干涉仪高温传感器的传感原理、传感性能、传感特性和制备方法。然后对其温度、压力和应变的灵敏度和测量范围等特征参数进行了归纳。总结了光纤法布里-珀罗干涉仪高温传感器的国内外研究进展及性能参数。介绍了光纤法布里-珀罗干涉仪传感器温度和压力的交叉敏感问题及解决方法和基于不同种类光纤的法布里-珀罗干涉仪高温传感特性。针对近几年光纤法布里-珀罗干涉仪高温传感器的研究进展,介绍了多种用于双参数测量的光纤法布里-珀罗干涉仪高温传感器。最后对光纤法布里-珀罗干涉仪高温传感器的未来发展趋势和前景进行了展望。

非线性光限幅材料原理、性能表征及研究进展
吕泽, 方佑, 冯迢, 宗楠, 李云飞, 张申金, 谢政, 彭钦军
2022, 15(4): 625-639. doi: 10.37188/CO.2021-0195
摘要:

金宝搏188软件怎么用 防护材料在保护人眼和光学器件免受强金宝搏188软件怎么用 破坏方面具有重要意义,其中基于非线性光学原理工作的固态光限幅材料有望成为未来金宝搏188软件怎么用 防护的主体。本文介绍了光限幅材料的研究背景、工作机理、参数指标以及测试技术,综述了目前具有实用前景的多类光限幅材料的研究进展,对无机半导体材料、共轭有机高分子、无机金属团簇、碳纳米材料、二维材料等5类材料做了重点介绍,探讨这些光限幅材料的发展前景,并介绍了相关材料在固态基质中器件化的研究现状。

聚偏二氟乙烯及其共聚物薄膜非线性光学研究进展
刘勇, 刘卫国, 牛小玲, 惠迎雪, 戴中华, 王之恒, 郭文浩
2022, 15(4): 640-659. doi: 10.37188/CO.2021-0191
摘要:

聚偏二氟乙烯(PVDF)及其共聚物薄膜拥有极佳的电活性、较高的衍射效率、显著的非线性光学效应,广泛应用于光电转换、光调控、光开关等光电功能器件等。本文简要介绍了近年来PVDF及其共聚物薄膜非线性光学研究方面的主要进展,指出该类薄膜共混、纳米掺杂、超薄化的发展方向。同时指出需从第一性原理-光子带隙计算着手研究其非线性光学性质,以高灵敏度Z-扫描及马克条纹法结合椭偏为主要测量方式。本综述将为该类薄膜的非线性光学研究及制备提供一定的参考。

原创文章
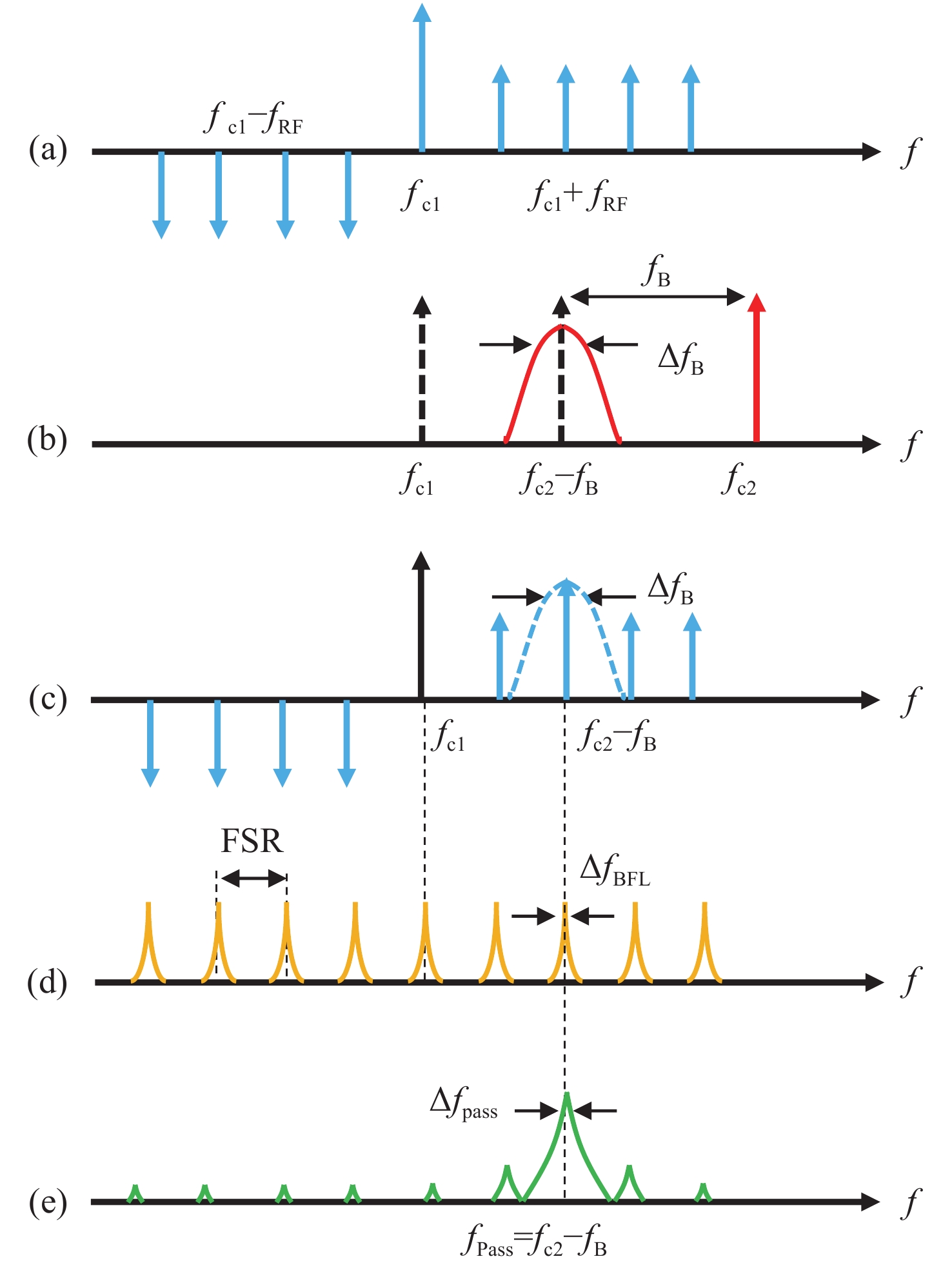
基于布里渊光纤振荡器的可调谐窄带微波光子滤波器研究
游亚军, 许鑫, 王琳毅, 冯刘艳, 刘毅, 耿文平, 贺文君
2022, 15(4): 660-667. doi: 10.37188/CO.2022-0057
摘要:

为了使微波光子滤波器兼具宽调谐范围与高频率选择性,本文基于窄线宽单纵模光纤受激布里渊振荡器首次提出并验证了一种具有宽调谐范围、窄滤波带宽特性的微波光子滤波器。该滤波器的核心是腔长为10 m的布里渊光纤振荡器,受激布里渊散射泵浦光与光载波信号分别由两个不同的可调谐金宝搏188软件怎么用 器提供,布里渊增益与光调制信号相互作用后,利用该布里渊光纤振荡器压缩光谱线宽,实现窄带微波光子滤波;通过简单地改变泵浦光波长,实现滤波器通带大范围稳定调谐。实验结果表明,该微波光子滤波器在0~20 GHz的频率范围内可稳定调谐,带外抑制比约为20 dB,其3-dB带宽和最大Q值分别为6.2 kHz和3.222×106。本文提出的单通带微波光子滤波器不仅具有目前已知的最高Q值,同时具有宽可调性、高带外抑制和结构简单等优势。

光损伤肖特基钙钛矿探测器的光电特性分析
曲家沂, 王云鹏, 孙俊杰, 陈飞, 赵东旭, 田灿灿
2022, 15(4): 668-674. doi: 10.37188/CO.2021-0196
摘要:

为了研究飞秒金宝搏188软件怎么用 对光电探测器光学性能的影响,本文对飞秒脉冲金宝搏188软件怎么用 辐照CsPbBr3背靠背肖特基光电探测器的损伤特性,以及不同金宝搏188软件怎么用 功率密度下的光电性能进行了研究。利用化学气相沉积法在ITO叉指电极上沉积CsPbBr3微米晶薄膜,制备了背靠背肖特基型全无机钙钛矿光电探测器。利用脉冲宽度为35 fs的钛宝石飞秒金宝搏188软件怎么用 器辐照CsPbBr3光电探测器,通过显微镜观察不同金宝搏188软件怎么用 功率密度下CsPbBr3多晶薄膜的损伤形貌,并研究了不同功率密度损伤下肖特基结构的钙钛矿光电探测器的光电性能变化。结果表明:自制的全无机金属卤化物肖特基光电探测器具有较高的损伤阈值,达到了2.1 W/cm2,并且在样品轻度损伤的情况下,样品的光电特性出现了一定程度的提升,光谱响应度出现了50 nm的展宽,并且在部分薄膜受热脱落后,器件仍然保持一定的光电探测性能。

基于视觉显著性加权与梯度奇异值最大的红外与可见光图像融合
程博阳, 李婷, 王喻林
2022, 15(4): 675-688. doi: 10.37188/CO.2022-0124
摘要:

为了综合利用红外与可见光图像的光谱显著性信息,同时提高融合图像的视觉对比度,本文提出了一种基于视觉显著性加权与梯度奇异值最大的红外与可见光图像融合方法。首先,该全新算法通过滚动引导剪切波变换作为多尺度分析工具,来获取图像的近似层分量与多方向细节层分量。其次,针对反映图像主体能量特征的近似层分量,采用视觉显著性加权融合作为其融合规则,该方法利用显著性加权系数矩阵指导图像内的光谱显著性信息有效融合,提高了融合图像的视觉观察度。此外,采用基于梯度奇异值最大原则来指导细节层分量的融合,该方法可以极大程度地将隐藏在两种源图像内的梯度特征还原到融合图像中,使融合图像具有更加清晰的边缘细节。为了验证本文算法的有效性,进行了5组独立的融合实验,最终的实验结果表明,本文算法融合图像的对比度更高,边缘细节更加丰富,并且相较于其它现有典型方法,AVG、IE、QE、SF、SD、SCD等客观参数指标分别提高了16.4%、3.9%、11.8%、17.1%、21.4%、10.1%,因此具有更加优良的视觉效果。

海底主动光学探测影像亮度校正与色彩恢复
刘镕滔, 柳稼航
2022, 15(4): 689-702. doi: 10.37188/CO.2021-0211
摘要:

主动光学成像探测是海底形貌与环境探测的重要方式,广泛应用于大洋勘探、海底探测等领域。然而,由于海水对光的衰减作用,造成光学影像照度不均、颜色失真、对比度低等质量退化问题。本文依据水下主动光学成像探测的特点,提出了一种基于相对辐射校正原理的水下图像增强方法。该方法将增强过程分为亮度补偿和色彩恢复两个阶段。在亮度补偿阶段,依据水下点光源的成像特点和辐射衰减机制,采用相对辐射校正原理对水下图像分通道进行补偿,消除因光源不均、光程不同等因素造成的亮度畸变。在色彩恢复阶段,首先对红通道图像进行自适应补偿和色彩粗平衡,在此基础上进一步利用Retinex模型对图像进行色彩恢复。利用实际的海底勘探图像进行实验验证,结果表明本文方法的增强结果亮度均匀、色彩自然,有效提升了图像质量。相较现有方法,本文方法的结果无论主观感受还是客观评价整体更优。同时,由于本文方法不需要光源、相机等特性参数,仅利用实际观测图像本身进行校正,因而具有更好的适应性。

基于机器学习的过焦扫描显微测量方法研究
李冠楠, 石俊凯, 陈晓梅, 高超, 姜行健, 崔成君, 朱强, 霍树春, 周维虎
2022, 15(4): 703-711. doi: 10.37188/CO.2022-0009
摘要:

微电子机械系统(Micro-Electro-Mechanical System,MEMS)具有小型化、高集成度的特点,随着MEMS结构深宽比的不断增大,对MEMS结构尺寸的测量提出更高的要求。过焦扫描光学显微技术(Through-focus Scanning Optical Microscopy,TSOM)是一种高精度无损的光学测量方法,通过采集一组离焦图并沿扫描方向截取TSOM图像,利用库匹配的方法从中提取待测结构的尺寸信息。该方法对于纳米级结构测量有着极高的灵敏度,然而对于微米级特征尺寸存在建库困难且易受环境干扰的问题。本文针对微米级MEMS沟槽结构,在传统的光学显微镜基础上进行改造,建立了TSOM光学系统采集离焦图像,利用图像特征提取方法生成TSOM特征向量集,结合机器学习的方法建立不同槽宽尺寸的回归预测模型,对微米级MEMS槽宽尺寸实现纳米级测量精度,单点重复性测量2 μm槽宽的相对标准差(Relative Standard Deviation,RSD)在1%左右,10 μm和30 μm槽宽RSD分别低于0.2%和0.35%,结果表明该方法对于微米级MEMS沟槽测量具有极高的应用前景。

金宝搏188软件怎么用 诱导击穿光谱法测定稀土矿区土壤中钐含量
刘小亮, 孙少华, 孟祥厅, 李小燕, 刘云海
2022, 15(4): 712-721. doi: 10.37188/CO.2022-0042
摘要:

为了满足现代分析检测技术发展的新要求,促进金宝搏188软件怎么用 诱导击穿光谱技术(LIBS)在元素分析中的应用,本文利用LIBS结合定标曲线法对内蒙古白云鄂博稀土矿区土壤中的稀土元素钐(Sm)进行了定量分析,初步检验了LIBS对稀土矿样元素成分的检测能力。首先,以编号为GBW07402a国家标准物质土壤为基底,采用标准加样法制备了Sm2O3含量分别为1%、5%、10%和20%的待分析样品。其次,通过调节金宝搏188软件怎么用 脉冲能量参数对基底样品进行激发,探究了金宝搏188软件怎么用 能量参数对谱线强度和信背比的影响,得出最优化的实验条件后,对所有待分析样品进行激发以获取等离子体光谱信息。接着,分别采用多峰Lorentz拟合扣除背底法(MFM)和级联积分保留背底法(CIM)对光谱信息进行处理,构建以谱线积分强度与元素含量为关联量的定标曲线。最后,根据定标曲线进行含量预测,初步评估了LIBS用于稀土矿区土壤样品中Sm元素的检测性能。研究结果表明:受稀土矿区土壤基体效应的影响,Sm元素的谱线出现了强烈的展宽而导致无法进行有效分辨,而钠(Na)、钾(K)、钛(Ti)和铁(Fe)等元素的谱线没有呈现出明显的展宽。通过对比不同含量下的光谱信息,选取410 nm-band和470.44 nm为Sm元素分析谱线用于定量分析。基于积分强度和元素含量构建的定标曲线都有着较好的线性相关度,拟合系数(R2)值大都在0.99以上;相比而言,采用CIM处理光谱信息,可以获取更好的线性相关度,最大值为0.99927。以Sm含量为4.310%的3#样品为未知待测样品,采用留一法构建定标曲线对其含量进行预测分析,结果显示CIM法使得分析线具有极佳的预测性能,两条分析线对3#样品含量的预测相对误差均在1%以内。实验结果说明LIBS能够实现稀土矿区土壤中稀土元素Sm含量的检测分析,满足现代分析技术的新要求,为开发便携式稀土元素检测仪提供了实验依据。

氧化型垂直腔面发射金宝搏188软件怎么用 器的静电放电失效特性
张玉岐, 阚强, 赵佳
2022, 15(4): 722-730. doi: 10.37188/CO.2021-0226
摘要:

氧化型垂直腔面发射金宝搏188软件怎么用 器(VCSEL)在数据通信等领域具有广泛的应用,然而氧化型VCSEL是一种静电敏感型器件,静电放电(ESD)是导致其失效的主要原因之一,并且器件失效后很难判断问题的原因。本文对氧化型VCSEL进行了包括人体模式(HBM)、机器模式(MM)和元件充电模式(CDM)3种不同的ESD模式和过度电应力(EOS)冲击,以分析其具体失效原因。其中,在HBM模式中研究了不同极性的电压冲击对应的失效特征,然后分别采用反向I-V、正向L-I-V测试、发光显微镜(EMMI)和透射电子显微镜(TEM)等手段进行表征。结果表明,不同ESD模式表现出截然不同的损伤电压阈值,氧化型VCSEL容易遭受HBM和MM损伤,而对CDM模式不敏感。研究发现和ESD失效关联的特性及缺陷特征包括反向漏电增加、出光功率衰减、EMMI亮点等,而TEM作为最为直接有效的分析手段,不同ESD模式表现出不同的缺陷大小和位置等性质。这些研究结果有助于区分ESD故障和其它故障机制,并且能够精确地判断出引起失效的具体ESD模式,具有重要的意义。

基于介质超表面角度复用的太赫兹增强吸收谱
李向军, 马婵, 严德贤, 裘国华, 赵杨, 杨佶, 郭世辉
2022, 15(4): 731-739. doi: 10.37188/CO.2021-0197
摘要:

利用太赫兹波段独特的指纹谱可以实现有机大分子的快速检测识别,然而微量物质的太赫兹吸收谱测量仍非常有挑战性。本文针对微量有机物,提出了一种基于介质超表面角度复用的太赫兹吸收谱增强检测方案。其中超表面衬底和十字单元结构均为高阻硅,具有高Q谐振特性。不同太赫兹波入射角对应的超表面响应曲线上的谐振峰频率可覆盖0.50~0.57 THz。超表面上覆盖0.5~2.5 µm乳糖薄膜作为待测物时,各入射角度对应的谐振峰幅度随待测物的吸收谱大幅度改变,其包络线组成的吸收谱峰值比没有十字单元结构时最多增强可达82.59倍。仿真结果表明该介质超表面经过角度复用可在宽带范围内有效增强太赫兹吸收谱,经过优化设计可用于检测不同特征峰微量有机物质。

深紫外大口径非球面反射膜的均匀性研究
潘永刚, 林兆文, 王奔, 付秀华
2022, 15(4): 740-746. doi: 10.37188/CO.2022-0005
摘要:

膜厚均匀性作为高精度光学薄膜的重要参数,对光学薄膜的性能起到至关重要的作用,特别是大尺寸高精度反射膜,对膜厚均匀性的要求极高。本文通过研究蒸发源的发射特性与膜厚分布,结合Mathcad软件建立精准数学及物理模型,编写自动程序,模拟修正挡板形状,极大地提高了薄膜制备均匀性修正的效率与准确性。通过该方法,在公自转行星蒸发沉积设备上制备了直径为320 mm的非球面深紫外反射镜,在紫外(240~300 nm)波段平均反射率大于97.5%,均匀性优于0.5%。本研究对大口径非球面薄膜的均匀性修正提供了理论基础与技术支撑。

离轴三反望远镜轴向与横向失调量像差耦合特性
白晓泉, 郭良, 马宏财, 许博谦, 鞠国浩, 徐抒岩
2022, 15(4): 747-760. doi: 10.37188/CO.2021-0164
摘要:

为了保证离轴三反空间望远镜地面装调阶段及在轨调整阶段的成像质量,本文基于矢量像差理论从内在机理层面揭示了轴向失调与横向失调对像差影响的耦合特性,重点分析了两类失调耦合特性产生的补偿关系:(1)针对轴向失调补偿横向失调,揭示了装调过程中系统像质可能处于局部极值的一类工况;(2)针对横向失调补偿轴向失调,提出利用在轨横向失调引入的像散、彗差补偿轴向失调引入的像散、彗差的补偿策略(离焦不能补偿)。本文以实验室现有的一套离轴三反系统为例,充分验证了解析关系的准确性。仿真和实验证明:当系统同时存在轴向失调和横向失调时,系统成像质量也可能达到衍射极限(1/14λ),但系统像质处于局部极小值;望远镜在轨处于失调状态且离焦较小时,可以优先通过校正横向失调以完成系统像质校正,RMS波前误差改变量小于0.02λ。

空间引力波探测望远镜光学系统设计
李建聪, 林宏安, 罗佳雄, 伍雁雄, 王智
2022, 15(4): 761-769. doi: 10.37188/CO.2022-0018
摘要:

在空间引力波探测中,望远镜是空间金宝搏188软件怎么用 干涉测量系统的重要组成部分,其出瞳处波前误差与抖动光程(Tilt-To-Length, TTL)噪声间的耦合,是影响空间引力波探测的主要噪声源。首先,基于平顶光束与高斯光束的干涉模型,采用Fringe Zernike多项式表征望远镜出瞳处的波前误差,运用LISA Pathfinder(LPF)信号分析出瞳处波前误差与TTL噪声的耦合机理。其次,采用蒙特卡洛分析方法,研究不同数值波前误差下低阶像差占比对TTL耦合噪声的影响,确定了不同数值波前误差下,望远镜光学系统出瞳处满足TTL耦合噪声控制要求的低阶像差设计比例。最后,基于上述理论分析结果与像差控制要求,完成了空间引力波探测望远镜光学系统设计,望远镜入瞳直径为200 mm,出瞳处波前误差RMS值为0.01908λ,低阶像差占比不高于50%。分析结果表明,当光束抖动在±300 μrad以内,TTL耦合噪声不超过8.25 pm/μrad;通过公差分析得知,TTL耦合噪声最大值为15.50 pm/μrad,满足空间引力波的探测要求。

手机嵌入式快照成像光谱仪的研制
田久谊
2022, 15(4): 770-779. doi: 10.37188/CO.2021-0209
摘要:

目前手机摄像头已经具备在空间(x-y方向)和深度(z方向)维度上获取成像信息的能力,而在光谱维度的信息获取上一直停留在RGB三色上,受困于手机平台的尺寸限制,传统的成像光谱仪很难嵌入。本文基于多通道阵列滤光片、微透镜阵列成像和一体化集成制造技术,完成了系统整体设计、关键部件设计制造、整体装配,并实验验证了光谱成像。系统整体物理尺寸小于Φ6×6 mm,光谱分辨率为8 nm,光谱范围为0.53~0.68 μm。实验研究表明,对不同颜色的实物成像,可以获得物体任意部位的光谱曲线,验证了快照式光谱仪的设计指标。该光谱仪具备了嵌入手机的基本条件,此研究有望推动成像光谱仪在手机上集成应用。

高精度辐射热流计的不确定度分析与评价
郑翔远, 叶新, 罗志涛, 王阔传, 宋宝奇
2022, 15(4): 780-788. doi: 10.37188/CO.2022-0023
摘要:

为满足实验室条件下长时间、高精度的热流密度测量要求,基于电替代测量原理研制了一种新型辐射热流计,该型辐射热流计可通过自校准的方式溯源至国际单位制单位。本文简述了辐射热流计的系统构成,结合辐射热流计的测量原理,分析并计算了辐射热流计自校准过程中9项影响量的测量不确定度和合成标准不确定度。通过与中国计量科学院所标定的标准探测器比对,计算了辐射热流计的不确定度,最后根据实验数据及分析结果为该型热流计的优化设计提供了参考。实验结果表明:辐射热流计的相对标准不确定度优于0.26%,与标准探测器的归一化偏差为0.60,验证了不确定度评估结果。实验结果将为辐射热流计下一阶段的研制提供有效参考。

基于最小偏向角法的高精度液体折射率测量装置的优化设计与测量研究
付兴丽, 冯杰, 范晓辉, 潘梦芸, 韦秋叶
2022, 15(4): 789-796. doi: 10.37188/CO.2022-0064
摘要:

为了实现利用最小偏向角法对无定形流体的高精度折射率测量,设计了一种全新的恒温空心三棱镜装置,对该装置的光路和恒温组件进行精确设计,将其应用于测量液体折射率,对测量结果和不确定度进行定量分析。首先,通过对三棱镜光学平面的精确设计和加工,实现对测量光线的精准控制。其次,通过对恒温夹套内空心管路的迂回设计,使测量池内液体的温度波动和温场均匀性满足高精度折射率测量要求。最后,将该装置应用于液体折射率测量,定量分析了各影响因素的测量不确定度。实验结果表明:对于水、异辛烷、四氯乙烯3种液体,其折射率测量精度达到10−7,测量不确定度可低至10−5。实现了用最小偏向角法对液体折射率的高精度测量。

基于宽波段光源拼接镜新型共相检测技术研究
李斌, 杨阿坤, 邹吉平
2022, 15(4): 797-805. doi: 10.37188/CO.2021-0234
摘要:

鉴于单块口径的光学望远镜不能无限增大,采用拼接镜技术才能造出10 m以上口径的光学望远镜,因此,拼接镜的共相检测技术成为了拼接过程和维持镜面质量的关键技术。针对目前最被接受的宽窄带夏克哈特曼法,本文提出使用宽波段(400~700 nm)光源的非相干性和相干性相结合方式实现250 nm粗共相,以及10 nm精共相,以此解决由于目标流量过低而引起测量时间过长的问题。即在粗共相时,以两个半圆孔的非相干衍射图样为模板,白光为光源,采用互相关算法计算互相关系数的值,通过设置合理的互相关系数阈值,以实现无限制的检测范围和0.25 μm 的检测精度;精共相时,以白光为光源、采用以一幅相干衍射图案(理想白光艾里斑)为模板的方式替代多幅不同平移误差下的相干衍射图案为模板方式,实现0.27 μm量程、0.01 μm以上精度的共相检测。对该共相方法进行了理论和仿真分析,结果表明:该新型共相检测方法的检测量程为无限量程,检测精度能达到 10 nm以上,该方法适用于拼接镜粗精共相的检测。

无刷直流力矩电机驱动控制设计和验证
李禹希, 邓永停, 赵金宇, 张刘
2022, 15(4): 806-811. doi: 10.37188/CO.2022-0112
摘要:

本文在无刷直流力矩电机的性能测试基础上,优化设计了基于C8051F120和CPLD单片机的驱动控制电路,通过采用PWM_ON的转矩脉动最小控制模式,实现了无刷直流电机的转速闭环和位置闭环控制。实验结果表明:所设计的无刷直流电机控制系统具有响应快速、定点精度高等特点。当电机以1°/s低速转动时,速度波动小于7%,大角度调转位置闭合定点精度小于1个码值,实现了无刷电机的宽调速范围和高精度控制,验证了设计的无刷直流电机驱动和算法的有效性。

雷体罩模态振型与金宝搏188软件怎么用 散斑干涉信号的关系解析
张小青, 王驰, 李金辉, 罗欣宇, 于瀛洁
2022, 15(4): 812-824. doi: 10.37188/CO.EN.2022-0001
摘要:

本文研究了塑壳雷体罩的振型与金宝搏188软件怎么用 散斑干涉信号之间的映射关系。根据薄圆板的振动方程,建立了地雷上壳体的振型函数。基于金宝搏188软件怎么用 剪切散斑干涉原理和CCD相机的时间平均法,将振型的离面位移映射到干涉金宝搏188软件怎么用 的相位。建立的映射关系表明地雷的不同振型对应于独特的贝塞尔条纹。此外,还模拟分析了两种模式的贝塞尔条纹,并进行了实验验证,数值计算和实验结果均验证了理论结论。本文研究为实现声光探雷的快速扫描技术提供了理论依据。

400~1300 nm波段的卤钨灯光谱辐照度衰减模型
张亚超, 叶新, 夏志伟, 隋龙, 方伟
2022, 15(4): 825-834. doi: 10.37188/CO.EN.2021-0011
摘要:

卤钨灯光谱辐照度衰减会增加灯-板系统的光谱辐亮度不确定度,因此,有必要对卤钨灯的衰减特性展开研究,以提高灯-板系统光谱辐亮度精度。首先,根据黑体辐射定律和维尔斯特拉斯定理,在400~1300 nm波段,提出了一种包含待定阶数的卤钨灯光谱辐照度衰减模型。然后,实验测量卤钨灯的光谱辐照度衰减曲线,分别利用不同阶数的模型对其光谱辐照度衰减曲线进行最小二乘拟合。最后,以满足重建精度要求的最低阶数作为卤钨灯光谱照度模型的阶数。对于本文所用型号的卤钨灯,当模型阶数为二阶时卤钨灯光谱辐照度衰减曲线的重建精度优于0.25%。本文给出的光谱辐照度衰减模型为提高灯-板系统的光谱辐亮度精度奠定了理论基础。

中红外波段As2S3光子晶体光纤中受激布里渊散射的研究
孙慧杰, 侯尚林, 雷景丽
2022, 15(4): 835-844. doi: 10.37188/CO.EN.2022-0003
摘要:

通过有限元方法研究了As2S3光子晶体光纤在2 μm至6 μm波段的受激布里渊散射。数值结果表明,当空气占空比小于0.6时,所提出的光子晶体光纤可保持单模工作。布里渊频移主要受泵浦波长和光纤结构的影响,泵浦波长从2 μm增加到6 μm时,布里渊频移减小了4.16 GHz;而当空气占空比由0.5增加到0.6时,布里渊频移变化量仅为兆赫兹量级。布里渊增益谱的半高全宽取决于声子寿命,泵浦波长为2 μm时布里渊增益谱的半高全宽是泵浦波长为6 μm时的9倍。在空气填充率为0.5和0.6的情况下,提出的光子晶体光纤的最大布里渊增益分别为2.413×10−10 m/W和2.429×10−10 m/W。在光纤有效长度相同的条件下,布里渊阈值与泵浦波长正相关,在空气填充率为0.5和0.6的光子晶体光纤中,使用6 μm泵浦时的布里渊阈值比使用2 μm时分别增大了27.8%和19.6%。这些数值结果对于中红外波段设计和制造基于所提出光纤的光学设备或光学传感器具有重要意义。

石墨烯等离激元时间晶体中的慢光
何真, 卓立强, 李志, 庄凤江, 苏少坚, 林志立, 邱伟彬
2022, 15(4): 845-861. doi: 10.37188/CO.2021-0201
摘要:

为了实现对慢光群速度的控制,构建了石墨烯等离激元时间晶体慢光波导。对波导采用石墨烯等离激元时间晶体来构造用于传输的Zigzag拓扑界面通道,当结构一定时动态调节石墨烯纳米盘的外加偏置电压,即可获得若干不同时刻的色散曲线,并对相应的群速度进行研究。首先,通过对蜂窝状排列的石墨烯纳米盘的不同区域施加随时间周期性变化的偏置电压,来获得石墨烯等离激元时间晶体。当晶体时间平移对称性遭到破坏时,晶体带隙会随着时间周期性出现及消失,进而呈现出能带拓扑效应。接着,构造Zigzag拓扑界面分析不同时刻下存在的拓扑界面态及其慢光模式。然后,根据该色散曲线计算出对应的群速度。最后,通过数值仿真建立慢光波导模型,并在波导光能捕获点检测场增强过程。模拟结果表明:基于石墨烯等离激元时间晶体所设计的波导可以实现很好的慢光传输效果,在波导结构固定时可以动态调节光的群速度。慢光传输下光能捕获点实现了场增强效应。该慢光波导结构简单,可动态调谐,在慢光调制器件和光储存器件中具有广阔的应用前景。

约稿信
Baidu
map