2022年 15卷 第6期
传统光学成像实质上是场景强度信号在空间维度上的直接均匀采样记录与再现的过程。在此过程中,成像的分辨率与信息量不可避免地受到光学衍射极限、探测离散器采样、成像系统空间带宽积等若干物理条件制约。如何突破这些物理限制,获得分辨率更高,视场更宽广的图像信息,是该领域的永恒课题。本文概括性地介绍了分辨率、超分辨率与空间带宽积拓展的相关基础理论,核心机理及其在计算光学成像中的若干实例。通过将这些具体个案置入“计算光学成像”这个更高维度的体系框架去分析与探讨,揭示了它们大多数都可以被理解为一种可称作“空间带宽积调控”策略,即利用成像系统的可用自由度,在成像系统有限空间带宽积的限制下,以最佳方式进行编解码和传递信息的过程,或者形象地说——“戴着脚镣跳舞”。这实质上是一种在物理限制下,在“得”与“失”之间所作出的符合规律的权衡与选择。本文的结论有望为设计和探索面向各类复杂现实成像应用的新型成像机理与方法提供有益启示。
双光子显微镜在厚生物组织中依然可以保持良好的空间分辨率,这一优点使得其诞生不久就被应用于在体脑成像研究。而神经网络在时空多个维度均具有跨尺度的特点,为满足脑科学研究中在体跨尺度脑成像的需求,双光子显微镜近年来有了快速且显著的发展。本文首先介绍了双光子显微镜的工作原理,然后在成像视野、成像通量、成像深度、分辨率、微型化5个方面详细综述了双光子显微镜研究的新进展,并深入分析了跨尺度双光子在体显微成像技术的难点及未来挑战。
光学成像已成为跨尺度表征生物系统信息的主要方法之一,近年来生物样本的快速、无损且全面表征对成像系统的可解析量提出了更高的要求。数字全息通过干涉成像方式,可准确重构光波前的振幅和相位信息,具有快速、无损、三维成像等优势,在数字病理诊断、细胞无标记观察和实时监测等方面得到了广泛的研究和应用。本文首先介绍了实现高通量成像的主要方式,并分析了数字全息的优势及空间带宽变化,展示了基于希尔伯特变换的面向高通量多通道复用数字全息技术的理论框架,并介绍了基于该理论框架设计的拓展视场双通道复用数字全息显微成像系统。该系统在不牺牲空间和时间分辨率的情况下,可实现超越传统离轴全息显微镜8倍的空间带宽积。所介绍的数字全息复用技术可充分利用单幅强度图像的冗余空间带宽,可用于高通量多通道复用数字全息成像。
光学显微成像技术具有实时性、高分辨率和非侵入性等特点,其成像尺度可跨越细胞、组织乃至生命体,极大地拓展了人们对生命本质的认识边界。然而,受限于光学显微成像系统有限的空间带宽积(Space-Bandwidth Product,SBP),常规的光学显微镜难以同时兼具大视场和高分辨率,使得显微成像在大视场生物成像应用中受到较大的限制,例如,对脑神经网络以突触为单位的神经回路成像。近年来,大视场光学显微成像技术得到不断的发展,其SBP的视场相较于传统的光学显微镜有了十倍甚至百倍的提升,在保持高分辨率的基础上拓展了成像视场,从而可以满足生物医学领域重大问题的研究需求。本文介绍了近年来几种典型的大视场光学显微成像技术及其生物医学应用,并对其未来发展做了展望。
作为现代超分辨成像技术的早期组成部分,结构照明显微镜(SIM)已经发展了近20年。其近期在活细胞中实现了高达60 nm和564 Hz的最佳时空分辨率组合,但也存在一些源于内在重建过程的缺点。本文综述了SIM技术的最新进展,包括超分辨率(SR)重建算法、性能评估及SIM与其他成像技术的集成,以便为生物学家提供实用指导。
脂滴是真核细胞中必不可少的一种球形细胞器,与很多细胞生理学过程息息相关。荧光成像技术是观察研究脂滴最有力的工具之一。受光学衍射极限的限制,传统的宽场以及共聚焦显微镜所能达到的成像分辨率约为250 nm左右,这对于观测小脂滴,尤其是新生脂滴(尺寸约30~60 nm)来说是远远不够的。在这种情况下,近年来新兴的各种能够打破衍射极限的超分辨荧光显微镜(如受激发射损耗显微镜、结构光照明显微镜以及光激活定位显微镜等)逐渐吸引了科研人员的兴趣。为了得到高分辨率脂滴荧光图像,除了上述超分辨显微镜之外,还需要具有与之相匹配的高性能荧光探针。本文将简要介绍这几种超分辨显微镜的工作原理,讨论其对荧光探针光物理性质的特殊要求,并进一步系统总结脂滴超分辨成像荧光探针的研究进展。与此同时,本文将分析对比不同超分辨显微镜在脂滴荧光成像方面的优势与不足,并对其发展趋势进行展望。
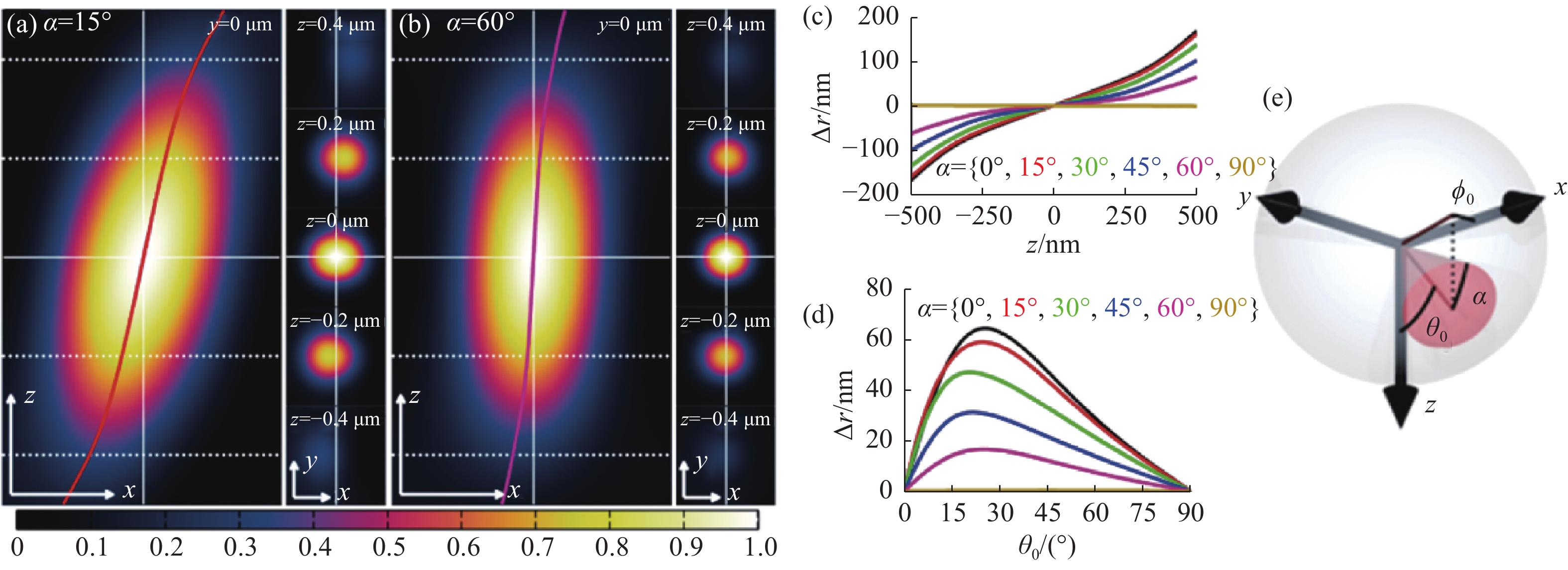
单分子成像方法被广泛应用于亚细胞结构的三维空间定位。点扩散函数是分析单分子信息的重要窗口,除了能反映空间坐标外还蕴含着丰富的额外信息。本文介绍了从点扩散函数中解析空间位置、荧光波长、偶极子朝向及干涉相位等多维度单分子成像研究进展,简要地概括了目前主流定位方法,并对该技术的发展方向进行了展望。
数字病理凭借其便捷的存储、管理、浏览、传输等特点,为远程病理会诊及联合会诊带来了新契机。然而,显微镜的视场有限,在保证分辨率的前提下,无法兼顾全景成像。全景数字病理的提出弥补了这一缺陷,其在保证分辨率的同时可兼顾全景成像。但单张切片仅能实现单靶点检测,而疾病诊断需同时观测多个靶点的表达情况。近年来,多靶点全景数字病理技术发展迅速,因其在药物研发、临床科研以及基础科研等领域有巨大的应用潜力而广受关注。该系统凭借视场大、颜色多、通量高的特点,可在短时间内原位检测整张组织切片上的多种生物标记物的表达情况,借以识别组织上每个细胞表型、丰度、状态及其相互关系。本文首先梳理了数字病理、全景数字病理以及多靶点全景数字病理的发展过程,并简要介绍发展过程中技术的更新迭代,以及发展多靶点全景数字病理的重要性。然后,分别从生物样本准备、多色光学成像以及图像处理3个部分重点介绍多靶点全景数字病理。接下来,阐述了多靶点全景数字病理在肿瘤微环境与肿瘤分子分型等生物医学领域的应用情况。最后,对多靶点全景数字病理的技术优势、目前面临的挑战及其未来的发展趋势进行了总结。
冷冻电子断层扫描成像(cryo-ET)是细胞原位解析生物大分子结构的核心技术,cryo-ET的样品厚度需要小于300 nm,冷冻样品聚焦离子束减薄(FIB)是样品制备流程中的必要环节。当前,FIB存在难以迅速精确定位目标区域的问题,原位冷冻光电关联技术(cryo-CLEM)是一项新兴的技术,对原位冷冻样品分别进行冷冻光镜成像和电镜成像,结合了荧光成像的定位优势和电镜成像的分辨率优势,通过将光镜和电镜图像进行配准,指导FIB对原位冷冻样品减薄,能够极大地提高cryo-ET的样品制备效率。本文介绍了cryo-CLEM中的原位冷冻技术和光电关联成像技术的最新进展和应用情况,重点讨论了超分辨cryo-CLEM成像技术以及嵌入式cryo-CLEM技术,分析了各种方法的优缺点和适用范围,并对cryo-CLEM技术当前面临的主要限制和未来的发展方向进行了展望。
光学成像技术具备高分辨、多尺度、多维度、易集成以及低辐射等优势,在生物医学领域发挥重要的作用。在内窥镜领域,如何进行内窥图像信息的获取、处理及可视化是光学成像技术要解决的核心问题,在医学临床中获取内窥镜所观察部位的跨尺度图像有利于医师对于患者病情的诊断以及提升术中操作的精确程度。本文从跨尺度光学成像技术在内窥镜领域的应用入手,重点阐述了目前内窥镜临床中用于获取跨尺度图像的光学系统类型,包括跨尺度变焦光学系统、光纤扫描成像系统、多通道成像系统等,说明了这些跨尺度光学内窥镜系统如何获取跨尺度图像,并对跨尺度光学成像在内窥镜领域的未来发展做了展望。
现代生物学和生物医学领域迫切需要研制兼顾大视场、高分辨率的显微成像技术和仪器以对生物样品实现跨尺度观测,满足重大科学问题的研究需求。受限于系统的空间带宽积,传统商业显微镜无法满足这一需求,且现有高空间带宽积显微成像系统存在体积庞大、实施成本高昂等问题。本文基于HiLo光切片技术和自主设计的大视场高分辨显微物镜,研发了具有高空间带宽积特点的大视场高分辨HiLo光切片显微成像系统,测试了系统的成像视场和分辨率。应用该系统对小鼠脑切片开展了白光照明明场成像实验,并与OLYMPUS商业显微镜成像结果做了对比;对小麦种子荧光切片开展了光切片成像和宽场荧光成像对比实验。实验结果表明, 大视场高分辨HiLo光切片显微成像系统的成像视场达到4.8 mm×3.6 mm (对角视场为6.0 mm),横向分辨率达到0.74 μm,轴向分辨率达到4.16 μm。大视场高分辨HiLo光切片显微成像系统兼有大视场和高分辨率成像的优势和快速光切片成像的能力,能够对大体积生物样本开展快速三维成像,将为胚胎发育、脑成像、数字病理诊断等研究提供有力的技术支撑。
近年来,太赫兹技术在检测、安保等诸多领域变得日益重要。如何扩大视场和提高成像质量是太赫兹成像的关键。针对以上问题,本文基于单相机扫描方式搭建了一个太赫兹光场成像系统以同时实现对太赫兹波空间和角度分布信息的利用。基于四维全光函数和双平面参数化方法,利用太赫兹光场传播过程中的强度一致性进行了重聚焦运算,通过对光场进行积分即可得到一系列对应不同视角、不同成像距离的结果。与初始的太赫兹成像结果相比,所搭建成像系统的视场和成像质量都得到了有效提升。在本文实验中,视场扩大了1.84倍,分辨率从1.3 mm提高到了0.7 mm。此外,部分被遮挡的目标信息也可通过使遮挡物离焦得到恢复。结果证明所搭系统能够提高太赫兹成像质量并拓展其功能,从而为太赫兹无损测量和安全检测提供了新的思路。
本文提出了一种无衍射光片荧光显微成像技术,可以方便地对从微米到厘米各种尺寸的多种生物样本进行多尺度三维荧光成像。提出一种双环调控方法以解决传统贝塞尔光片旁瓣过重的问题,该方法能够可调节地产生0.4~5 μm之间不同厚度类型的无衍射光片,同时其旁瓣占比被压低到30%以下。基于这种新的调控手段设计搭建了一套多尺度光片荧光显微成像系统。该系统展示出适用性极强的多尺度成像能力,例如:活细胞双色三维动态成像、膨胀细胞三维超分辨成像以及介观尺度下全器官的高通量三维成像。证明该多尺度成像模式能够显著提升光片荧光显微镜的成像效率,由此可以推进细胞生物学、组织病理学、神经科学等多种生物医学相关研究的发展。
荧光辐射差分显微成像是一种荧光染料普适性强、光毒性较低的超分辨成像技术。然而传统荧光辐射差分成像由于受其成像原理限制,系统复杂度较高、稳定性低且成像速度受限。针对上述问题,本文设计搭建了一套多色虚拟荧光差分显微系统,并对该系统的成像方法和参数间的制约关系进行了分析,基于已有的多色虚拟荧光辐射差分显微术原理,进一步考虑了信噪比和背景噪声等的影响,建立了可通过实验验证的虚拟荧光辐射差分显微成像模型。实验表明,本系统与方法具有结构简单、背景去噪能力强、荧光染料普适性强以及光毒性低等特性,成像分辨率较共聚焦系统提升了1.9倍,成像速度较传统的荧光辐射差分显微系统提升一倍,在3个波长上均获得了良好的成像效果,并在生物细胞成像中得到实验验证。
针对脑肿瘤良恶性分类过程复杂、分类准确率不高等问题,提出了一种基于多尺度特征与通道特征融合的分类模型。该模型以ResNeXt网络为主干网络,首先,将基于空洞卷积的多尺度特征提取模块代替第一层卷积层,利用膨胀率获取不同感受野的图像信息,将全局特征与局部显著特征相结合;其次,添加通道注意力机制模块,融合特征通道信息,提高对肿瘤区域的关注度,降低对冗余信息的关注度;最后,采用学习率的线性衰减策略、图像的标签平滑策略以及基于医学图像的迁移学习策略的组合优化提高模型的学习能力和泛化能力。在BraTS2017和BraTS2019数据集中进行实验,准确率分别达到98.11%和98.72%。与经典模型和其他先进方法相比,该分类模型能够有效地减少分类过程的复杂度,提高脑肿瘤良恶性分类的准确率。
为了实现非接触式的日常精神压力检测,本文提出了一种基于成像式光体积描记术的精神压力检测方法。首先,通过手机摄像头记录受试者面部视频,再采用本文所提出的基于Face Mesh的动态感兴趣区域(Region of Interest,ROI)提取方法获得心率波动引起的皮肤微弱颜色变化。接下来,将快速独立成分分析(FastICA)算法、小波变换和窄带带通滤波相结合,提取基于图像的光体积描记术信号和心率变异性信息。然后,对30名受试者进行了压力诱导实验,通过比较受试者正常和应激状态下心率变异性参数的差异,筛选了用于精神压力检测的14个特征,并探讨了压力诱导的短期精神压力和日常精神压力之间的关系。最后,另外选取67名受试者进行日常精神压力检测,使用机器学习算法建立了精神压力检测的三分类器。实验结果表明:精神压力三分类准确率达到95.2%。鉴于这种方法不需要长期测量,仅使用智能手机就可以准确检测人类精神压力水平,而且测量方法简单,测量时间短,易操作,不会影响受试者的正常心理和精神状态,因此可以作为一种有效的心理学研究工具。
 
		         
	         
  
					      			 	 摘要
摘要 HTML全文
HTML全文 PDF 19381KB
PDF 19381KB 
					      			 	 
					      			 	 
					      			 	 
					      			 	 
					      			 	 
					      			 	 
					      			 	 
					      			 	 
					      			 	 
					      			 	 
					      			 	 
					      			 	 
					      			 	 
					      			 	 
					      			 	 
		    		 
			 
			 
			 
		
		 
			