留言板

尊敬的读者、作者、审稿人, 关于本刊的投稿、审稿、编辑和出版的任何问题, 您可以本页添加留言。我们将尽快给您答复。谢谢您的支持!

姓名
邮箱
手机号码
标题
留言内容
验证码

非富勒烯掺杂对平面异质结有机光电探测器的光电特性影响

单正叶 刘頔 张侃 倪程鹏 孙金芳 程斌

单正叶, 刘頔, 张侃, 倪程鹏, 孙金芳, 程斌. 非富勒烯掺杂对平面异质结有机光电探测器的光电特性影响[J]. 188bet网站真的吗 , 2026, 19(1): 19-28. doi: 10.37188/CO.2025-0114
引用本文: 单正叶, 刘頔, 张侃, 倪程鹏, 孙金芳, 程斌. 非富勒烯掺杂对平面异质结有机光电探测器的光电特性影响[J]. 188bet网站真的吗 , 2026, 19(1): 19-28. doi: 10.37188/CO.2025-0114
SHAN Zheng-ye, LIU Di, ZHANG Kan, NI Cheng-peng, SUN Jin-fang, CHENG Bin. Effect of non-fullerene doping on the photoelectric properties of planar heterojunction organic photodetectors[J]. Chinese Optics, 2026, 19(1): 19-28. doi: 10.37188/CO.2025-0114
Citation: SHAN Zheng-ye, LIU Di, ZHANG Kan, NI Cheng-peng, SUN Jin-fang, CHENG Bin. Effect of non-fullerene doping on the photoelectric properties of planar heterojunction organic photodetectors[J]. Chinese Optics, 2026, 19(1): 19-28. doi: 10.37188/CO.2025-0114

非富勒烯掺杂对平面异质结有机光电探测器的光电特性影响

cstr: 32171.14.CO.2025-0114
基金项目: 安徽省高等学校科学研究项目(自然科学)(No. 2024AH050645,No. 2025AHGXZK30157);安徽省高等学校省级质量工程项目(No. 2024dzxkc147)资助的课题
详细信息
    作者简介:

    单正叶(1991—),男,安徽滁州人,硕士,讲师,2016年于安徽师范大学获得硕士学位,主要从事光电材料与器件方面的研究。E-mail:1214187490@qq.com1214187490@qq.com

  • 中图分类号: TP394.1;TH691.9

Effect of non-fullerene doping on the photoelectric properties of planar heterojunction organic photodetectors

Funds: Supported by the Natural Science Foundation of the Higher Education Institutions of Anhui Province, China (No. 2024AH050645, No. 2025AHGXZK30157); the Quality Project for Higher Education Institutions of Anhui Province, China (No. 2024dzxkc147)
More Information
  • 摘要:

    研究了在P3HT : PC71BM 的平面异质结有机光电探测器体系中掺杂非富勒烯小分子IEICO-4F到受体部分对该器件光电特性的影响。采用溶液法制备不同掺杂比例的活性层薄膜,通过电流-电压特性、外量子效率、紫外-可见-近红外吸收光谱及光致发光光谱等表征手段,结合原子力显微镜分析形貌演变规律。实验结果表明,IEICO-4F 的引入显著拓宽活性层吸收光谱,拓宽至近红外区域(700~900 nm),并通过互补吸收光谱提升光量子捕获效率。当优化掺杂比例为30% 时,器件的光电流密度从19.17 mA/cm2提升至27.25 mA/cm2,比探测率从0.78×1012 Jones 提升到1.45×1012 Jones。形貌分析证实 IEICO-4F 优化了 PC71BM 的相分布,形成更精细的互穿网络结构,促进电荷转移并降低串联电阻,研究同时发现过量掺杂会破坏相分离平衡,影响载流子分离和流入,导致电子-空穴的传输不平衡。该工作揭示了非富勒烯受体掺杂对传统聚合物——富勒烯体系的多重调控作用。研究发现通过光谱拓宽与形貌优化的协同机制可有效提升器件光电性能,为有机光电探测材料体系的设计提供了新思路。

     

  • 图 1  器件结构图

    Figure 1.  The OPDs structure

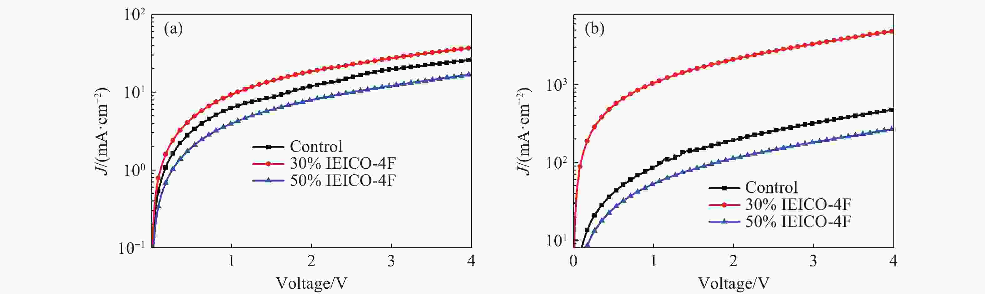
    图 2  (a) 活性层三种材料的归一化吸收;(b) 器件活性层的归一化吸收;(c) 在光照条件下,不同IEICO-4F掺杂浓度的器件所呈现的电流密度-电压响应特性;(d) 在暗条件下,不同IEICO-4F掺杂浓度的器件所呈现的电流密度-电压响应特性

    Figure 2.  (a) Normalized absorption of the three materials in the active layer; (b) normalized absorption of the device's active layer; (c) current density-voltage characteristics of devices with different IEICO-4F doping concentrations under illumination; (d) current density-voltage characteristics of devices with different IEICO-4F doping concentrations under dark condition

    图 3  −0.1 V 偏压下不同 IEICO-4F掺杂比例器件的(a) EQEs、(b) 响应度及(c) 探测率

    Figure 3.  (a) EQEs, (b) responsivity and (c) detectivity of devices with different IEICO-4F doping ratios at −0.1 V bias

    图 4  在无光照条件下器件的阻抗图

    Figure 4.  Impedance plot of the device under dark conditions

    图 5  (a) 活性层材料的能级图以及激子的扩散路径图;(b) 在 500 nm 波长光的激发下,器件中不同IEICO-4F掺杂比例的稳态光致发光光谱

    Figure 5.  (a) Active layer energy levels and exciton diffusion pathways; (b) steady-state photoluminescence (PL) spectra of films with varying IEICO-4F doping ratios under 500 nm excitation

    图 6  (a) 无掺杂的RMS图;(b) 30%的IEICO-4F掺杂下的RMS图;(c) 50%的IEICO-4F掺杂下的RMS图;(d) 无掺杂的相图;(e) 30%的IEICO-4F掺杂下的相图;(f) 50%的IEICO-4F掺杂下的相图

    Figure 6.  (a) RMS map of undoped system; (b) RMS map with 30% IEICO-4F doping; (c) RMS map with 50% IEICO-4F doping; (d) phase diagram of the undoped system; (e) phase diagram with 30% IEICO-4F doping; (f) phase diagram with 50% IEICO-4F doping

    图 7  (a) 不同IEICO-4F掺杂比例下单电子器件的 J-V 特性曲线;(b) 不同IEICO-4F掺杂比例下单空穴器件的J-V 特性曲线

    Figure 7.  (a) The J-V characteristic curves of single-electron devices with different IEICO-4F doping ratios; (b) the J-V characteristic curves for hole-only devices with different IEICO-4F doping ratios

    图 8  基于无掺杂和30%掺杂器件的稳定性测试

    Figure 8.  Stability tests of undoped and 30% doped devices

    表  1  在−0.1 V下,不同IEICO-4F掺杂比例时器件的性能参数

    Table  1.   Performance parameters of the device under different doping ratios of IEICO-4F at −0.1 V

    Jph
    (mA/cm2)
    Jd
    (×10−4 mA/cm2)
    R
    (mA/W)
    D*
    (×1012 Jones)
    Control 19.17 (±0.35) 3.81 (±0.32) 323.1 (±0.01) 0.78 (±0.18)
    10% 24.36 (±0.42) 4.06 (±0.27) 354.5 (±0.03) 1.13 (±0.25)
    30% 27.25 (±0.39) 1.70 (±0.18) 409.9 (±0.01) 1.45 (±0.14)
    50% 9.07 (±0.34) 7.85 (±0.22) 30.1 (±0.02) 0.09 (±0.11)
    下载: 导出CSV

    表  2  不同IEICO-4F掺杂比例下的器件阻抗参数

    Table  2.   Device’s impedance parameters under different IEICO-4F doping ratios

    R1 R2 C/F
    Control 83.24 2.66×105 1.28×10−9
    30% 77.31 2.01×105 1.34×10−9
    下载: 导出CSV

    表  3  不同IEICO-4F掺杂比例下的器件载流子迁移率

    Table  3.   Device carrier mobility under different IEICO-4F doping ratios

    µh(cm2/Vs)µe(cm2/Vs)µe/µh
    Control2.38×10−41.35×10−40.57
    30%2.79×10−41.72×10−40.62
    下载: 导出CSV
    Baidu
  • [1] ZOU J T, ZHANG SH, TANG X. Recent advances in organic photodetectors[J]. Photonics, 2024, 11(11): 1014. doi: 10.3390/photonics11111014
    [2] 葛宇涛, 王薇, 贺紫晗, 等. 视觉感知功能化有机光电器件研究进展[J]. 中国科学: 化学, 2024, 54(4): 537-551.

    GE Y T, WANG W, HE Z H, et al. Development of organic optoelectronic devices towards visual perception[J]. Scientia Sinica Chimica, 2024, 54(4): 537-551. (in Chinese).
    [3] LI ZH J, KONG X Y, LIU Y H, et al. Progress of additives for morphology control in organic photovoltaics[J]. Chinese Chemical Letters, 2024, 35(6): 109378. doi: 10.1016/j.cclet.2023.109378
    [4] CHEN X, JIA Z Y, CHEN Z, et al. Efficient and reproducible monolithic perovskite/organic tandem solar cells with low-loss interconnecting layers[J]. Joule, 2020, 4(7): 1594-1606. doi: 10.1016/j.joule.2020.06.006
    [5] ZHANG B, AN N, WU H B, et al. The first application of isoindigo-based polymers in non-fullerene organic solar cells[J]. Science China Chemistry, 2020, 63(9): 1262-1271. doi: 10.1007/s11426-020-9777-1
    [6] 常铭茹, 石林林, 滑羽璐, 等. 无机纳米颗粒及界面层协同改善倍增型近红外有机光电探测器性能[J]. 发光学报, 2024, 45(6): 986-995. doi: 10.37188/CJL.20240056

    CHANG M R, SHI L L, HUA Y L, et al. Inorganic nanoparticles and interface layer synergistically improve performance of near-infrared organic photomultiplication photodetector[J]. Chinese Journal of Luminescence, 2024, 45(6): 986-995. (in Chinese). doi: 10.37188/CJL.20240056
    [7] ZHANG CH Y, LIU Y Q, LI H X, et al. Stretchable all-small-molecule organic solar cells enabled by polymer elastomer confinement[J]. Chinese Journal of Polymer Science, 2025, 43(2): 271-277. doi: 10.1007/s10118-025-3265-2
    [8] LI CH, ZHOU J D, SONG J L, et al. Non-fullerene acceptors with branched side chains and improved molecular packing to exceed 18% efficiency in organic solar cells[J]. Nature Energy, 2021, 6(6): 605-613. doi: 10.1038/s41560-021-00820-x
    [9] WU J P, WANG X, TANG X, et al. Low-power and multimodal organic photoelectric synaptic transistors modulated by photoisomerization for UV damage perception and artificial visual recognition[J]. Advanced Functional Materials, 2025, 35(25): 2420073. doi: 10.1002/adfm.202420073
    [10] ZHANG X N, LI Y X, ZHANG D Y, et al. Molecular dispersion enhances photovoltaic efficiency and thermal stability in quasi-bilayer organic solar cells[J]. Science China Chemistry, 2021, 64(1): 116-126. doi: 10.1007/s11426-020-9837-y
    [11] LI D H, CHEN X L, CAI J L, et al. Non-fullerene acceptor fibrils enable efficient ternary organic solar cells with 16.6% efficiency[J]. Science China Chemistry, 2020, 63(10): 1461-1468. doi: 10.1007/s11426-019-9681-8
    [12] KABIR S, TAKAYASHIKI Y, OHNO A, et al. Near-infrared organic photodetectors with a soluble Alkoxy-Phthalocyanine derivative[J]. Optical Materials, 2022, 126: 112209. doi: 10.1016/j.optmat.2022.112209
    [13] 王其, 延玲玲, 陈兵兵, 等. 钙钛矿/硅异质结叠层太阳电池: 光学模拟的研究进展[J]. 物理学报, 2021, 70(5): 057802. doi: 10.7498/aps.70.20201585

    WANG Q, YAN L L, CHEN B B, et al. Perovskite/silicon heterojunction tandem solar cells: advances in optical simulation[J]. Acta Physica Sinica, 2021, 70(5): 057802. (in Chinese). doi: 10.7498/aps.70.20201585
    [14] GAO Y, YANG X R, SUN R, et al. All-small-molecule organic solar cells with 18.1% efficiency and enhanced stability enabled by improving light harvesting and nanoscale microstructure[J]. Joule, 2023, 7(12): 2845-2858. doi: 10.1016/j.joule.2023.10.006
    [15] WANG H Y, ZHENG Y F, QIN R H, et al. Highly sensitive panchromatic ternary polymer photodetectors enabled by Förster resonance energy transfer and post solvent treatment[J]. Journal of Physics D: Applied Physics, 2018, 51(10): 104002. doi: 10.1088/1361-6463/aaab34
    [16] RODRÍGUEZ-MAS F, GONZÁLEZ P C, GARCÍA D V, et al. Reuse of P3HT: PCBM-based organic solar cells as photodetectors: extending lifetime in optoelectronic applications[J]. Results in Engineering, 2025, 26: 105255. doi: 10.1016/j.rineng.2025.105255
    [17] KONG T Y, WANG H Y, LIU X Y, et al. Improving the efficiency of bulk heterojunction polymer solar cells via binary-solvent treatment[J]. IEEE Journal of Photovoltaics, 2017, 7(1): 214-220. doi: 10.1109/JPHOTOV.2016.2627400
    [18] 李小丽, 李艳莉, 李冬. 阳离子交换法可控制备CdS@PbS核壳量子点及其近红外探测器性能[J]. 应用化学, 2025, 42(8): 1078-1086. doi: 10.19894/j.issn.1000-0518.250035

    LI X L, LI Y L, LI D. Controllable preparation of CdS@PbS core/shell quantum dots via cation exchange and their near-infrared photodetector[J]. Chinese Journal of Applied Chemistry, 2025, 42(8): 1078-1086. (in Chinese). doi: 10.19894/j.issn.1000-0518.250035
    [19] WANG H Y, XING SH, ZHENG Y F, et al. Three-phase morphology evolution in sequentially solution-processed polymer photodetector: toward low dark current and high photodetectivity[J]. ACS Applied Materials & Interfaces, 2018, 10(4): 3856-3864.
    [20] ZHANG T Y, WINKLER L C, WOLANSKY J, et al. High-performance filterless blue narrowband organic photodetectors[J]. Advanced Functional Materials, 2024, 34(2): 2308719. doi: 10.1002/adfm.202308719
    [21] WANG H Y, ZHENG Y F, ZHANG L, et al. Effect of two-step annealing on the performance of ternary polymer solar cells based on P3HT: PC71BM: SQ[J]. Solar Energy Materials and Solar Cells, 2014, 128: 215-220. doi: 10.1016/j.solmat.2014.05.026
    [22] PARK J S, KIM G U, LEE S, et al. Material design and device fabrication strategies for stretchable organic solar cells[J]. Advanced Materials, 2022, 34(31): 2201623. doi: 10.1002/adma.202201623
    [23] WANG X, WANG H Y, HUANG W, et al. Realization of high detectivity organic ultraviolet photodetectors by modifying polymer active layer[J]. Organic Electronics, 2014, 15(11): 3000-3005. doi: 10.1016/j.orgel.2014.08.045
    [24] 王一铭, 杨博翔, 张华久, 等. 机器学习驱动的钙钛矿发光材料研究进展: 智能设计、性能优化与产业化应用[J]. 应用化学, 2025, 42(6): 757-775. doi: 10.19894/j.issn.1000-0518.250064

    WANG Y M, YANG B X, ZHANG H J, et al. Research progress of machine learning-driven perovskite luminescent materials: intelligent design, performance optimization and industrial application[J]. Chinese Journal of Applied Chemistry, 2025, 42(6): 757-775. (in Chinese). doi: 10.19894/j.issn.1000-0518.250064
    [25] LI W, XU Y L, MENG X Y, et al. Visible to near-infrared photodetection based on ternary organic heterojunctions[J]. Advanced Functional Materials, 2019, 29(20): 1808948. doi: 10.1002/adfm.201808948
    [26] HUO Y, GONG X T, LAU T K, et al. Dual-accepting-unit design of donor material for all-small-molecule organic solar cells with efficiency approaching 11%[J]. Chemistry of Materials, 2018, 30(23): 8661-8668. doi: 10.1021/acs.chemmater.8b03980
  • 加载中
图(8) / 表(3)
计量
  • 文章访问数:  313
  • HTML全文浏览量:  210
  • PDF下载量:  16
  • 被引次数: 0
出版历程
  • 收稿日期:  2025-09-01
  • 修回日期:  2025-09-28
  • 录用日期:  2025-11-18
  • 网络出版日期:  2025-12-03

目录

    /

    返回文章
    返回
    Baidu
    map