留言板

尊敬的读者、作者、审稿人, 关于本刊的投稿、审稿、编辑和出版的任何问题, 您可以本页添加留言。我们将尽快给您答复。谢谢您的支持!

姓名
邮箱
手机号码
标题
留言内容
验证码

Design of high-speed MUTC-PD with electric field regulation layer

XU Jian-bo LIU Kai DONG Xiao-wen DUAN Xiao-feng HUANG Yong-qing WANG Qi REN Xiao-min

徐建波, 刘凯, 董晓雯, 段晓峰, 黄永清, 王琦, 任晓敏. 具有电场调控层的高速MUTC-PD设计[J]. 188bet网站真的吗 , 2025, 18(2): 393-400. doi: 10.37188/CO.EN-2024-0030
引用本文: 徐建波, 刘凯, 董晓雯, 段晓峰, 黄永清, 王琦, 任晓敏. 具有电场调控层的高速MUTC-PD设计[J]. 188bet网站真的吗 , 2025, 18(2): 393-400. doi: 10.37188/CO.EN-2024-0030
XU Jian-bo, LIU Kai, DONG Xiao-wen, DUAN Xiao-feng, HUANG Yong-qing, WANG Qi, REN Xiao-min. Design of high-speed MUTC-PD with electric field regulation layer[J]. Chinese Optics, 2025, 18(2): 393-400. doi: 10.37188/CO.EN-2024-0030
Citation: XU Jian-bo, LIU Kai, DONG Xiao-wen, DUAN Xiao-feng, HUANG Yong-qing, WANG Qi, REN Xiao-min. Design of high-speed MUTC-PD with electric field regulation layer[J]. Chinese Optics, 2025, 18(2): 393-400. doi: 10.37188/CO.EN-2024-0030

具有电场调控层的高速MUTC-PD设计

详细信息
  • 中图分类号: TN215

Design of high-speed MUTC-PD with electric field regulation layer

doi: 10.37188/CO.EN-2024-0030
Funds: Supported by National Natural Science Foundation of China (No. 62374020); Zibo Science and Technology SMEs Innovation Capacity Improvement Project (No. 2022TSGC0046); Shandong Provincial Science and Technology SMEs Innovation Capacity Improvement Project (No. 2022TSGC2290)
More Information
    Author Bio:

    LIU Kai (1972—), male, from Beijing, doctoral supervisor, received a bachelor's degree in applied electronic technology and a Ph.D. in fiber optic communications and optoelectronics from the Beijing University of Posts and Telecommunications (BUPT), China, in 1994 and 1999, respectively. He wrote a postdoctoral project on the research of optical pumped 1.3 μm VCSEL at the University of Southern California, Los Angeles, CA, USA, in 2000 and 2001. He is an Associate Professor at the School of Electrical Engineering, BUPT. He is the author of more than twenty refereed journal articles and conference papers on optoelectronic technology. His research interests include optical interconnects, optoelectronics integration, and photonic devices for optical fiber communications. He has recently contributed to the single-mode VCSEL for optical interconnects and high-speed, high-power UTC-PD for radio on fiber systems. E-mail: kliu@bupt.edu.cn

    Corresponding author: kliu@bupt.edu.cn
  • 摘要:

    本文提出了一种具有电场调控层的新型改进型单行载流子光探测器(MUTC-PD)。该光探测器中,崖层后新增的p型掺杂电场调控层能够优化收集层中的电场强度,从而使光生电子在收集层中以峰值漂移速度输运,同时能够增强耗尽吸收层中的电场强度,优化其中光生载流子饱和速度输运特性。此外,器件收集层中光生电子的峰值漂移速度输运特性可以进一步优化其寄生电容特性,从而显著提升光探测器的3 dB响应带宽。经过仿真优化设计,获得了响应度为0.502 A/W,3-dB带宽为68 GHz的MUTC-PD,可应用于100 Gbit/s光接收机。

     

  • Figure 1.  Epitaxial layer scheme

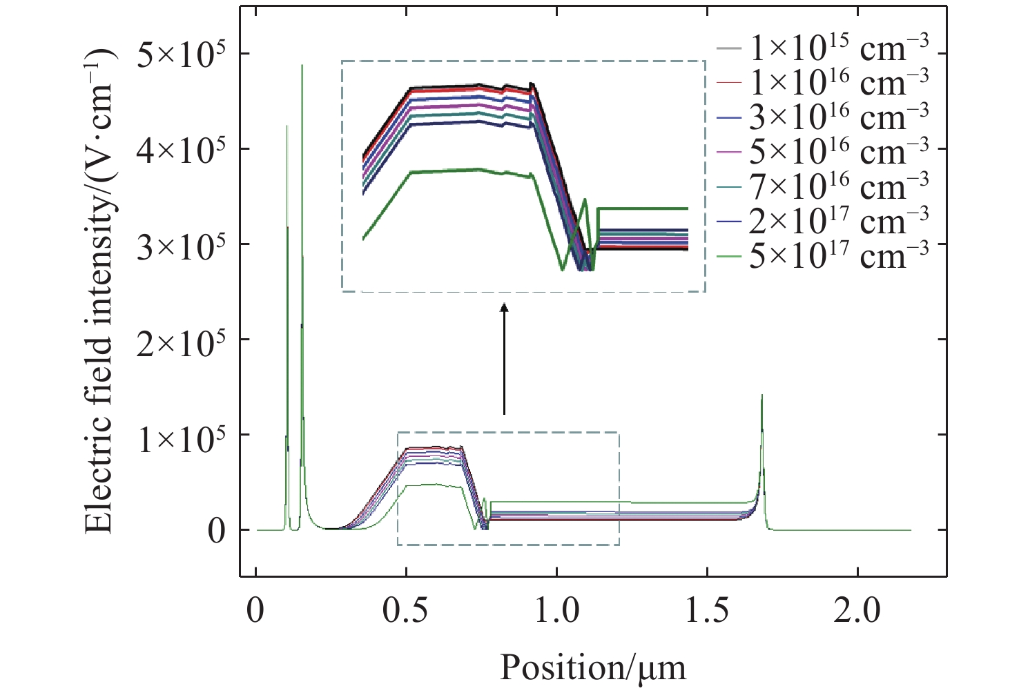
    Figure 2.  SMUTC-PD’s electric field intensity distribution at different doping concentrations in the electric field regulation layer

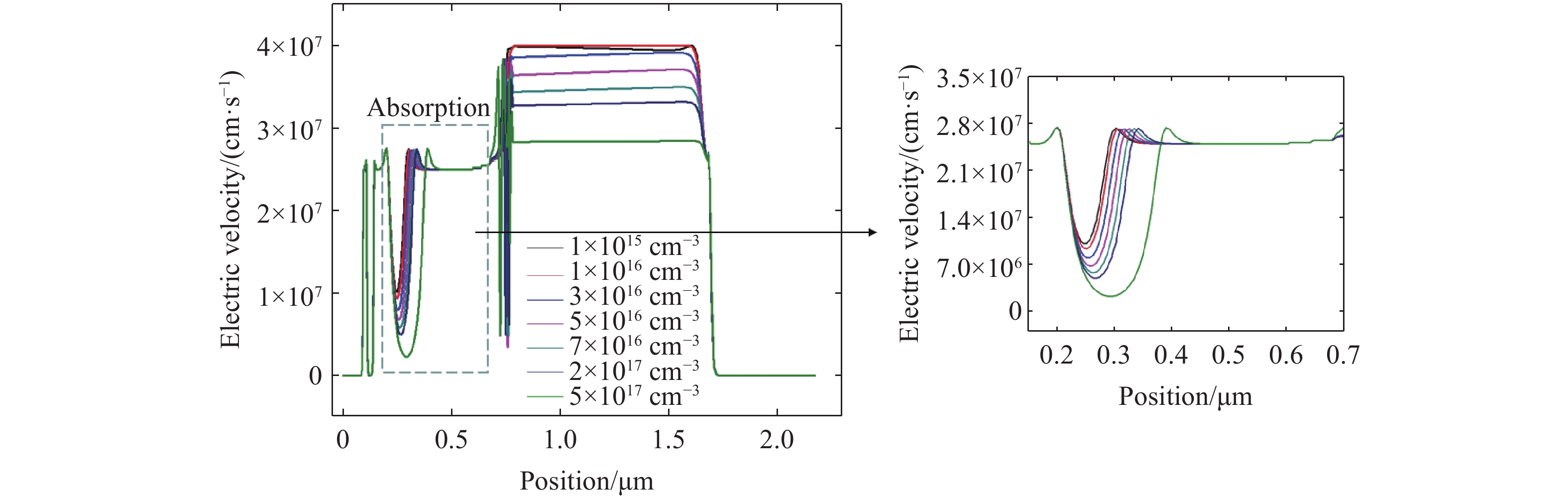
    Figure 3.  SMUTC-PD’s electron velocity distributions at different doping concentrations in the electric field regulation layer

    Figure 4.  SMUTC-PD’s hole velocity distributions at different doping concentrations in the electric field regulation layer

    Figure 5.  SMUTC-PD’s frequency response and parasitic capacitance with different collector layer thicknesses

    Figure 6.  SMUTC-PD’s photo-response bandwidth and parasitic capacitance with different doping concentrations in the p-doped absorption region

    Figure 7.  SMUTC-PD’s photo-response bandwidth and parasitic capacitance with different thicknesses of the p-doped absorption region

    Figure 8.  SMUTC-PD’s frequency response

    Figure 9.  SMUTC-PD’s responsivity

    Table  1.   Material parameters of the simulation

    Parameter InP InGaAs
    Electron mobility, μn 5400 cm2/Vs 12000 cm2/Vs
    Hole mobility, μp 200 cm2/Vs 300 cm2/Vs
    Conduction band density of states, Nc 1.1×1019 cm−3 7.7×1018 cm−3
    Valence band density of states, Nv 5.7×1017 cm−3 2.1×1017 cm−3
    Electron saturation velocity 2.6×107 cm/s 2.5×107 cm/s
    Hole saturation velocity 5×106 cm/s 5×106 cm/s
    Electron and hole lifetime 2×10−9 s 1×10−7 s
    Electron auger coefficient 3.7×10−31 cm6/s 3.2×10−28 cm6/s
    Hole auger coefficient 8.7×10−30 cm6/s 3.2×10−28 cm6/s
    Real refractive index 3.2 3.51
    Imaginary refractive index 0 0.106
    下载: 导出CSV
    Baidu
  • [1] PAOLUCCI F, SGAMBELLURI A, EMMERICH R, et al. Openconfig control of 100G/400G filterless metro networks with configurable modulation format and FEC[C]. 2019 Optical Fiber Communications Conference and Exhibition (OFC), IEEE, 2019: 1-3, doi: 10.1364/OFC.2019.Tu3H.4.
    [2] ZHANG K R, HUANG Y Q, DUAN X F. Design and analysis of hybrid integrated high-speed mushroom vertical PIN photodetector[J]. Applied Mechanics and Materials, 2013, 411-414: 1455-1458. doi: 10.4028/www.scientific.net/AMM.411-414.1455
    [3] EFFENBERGER F J, JOSHI A M. Ultrafast, dual-depletion region, InGaAs/InP p-i-n detector[J]. Journal of Lightwave Technology, 1996, 14(8): 1859-1864. doi: 10.1109/50.532024
    [4] KATO K, HATA S, KAWANO K, et al. Design of ultrawide-band, high-sensitivity p-i-n photodetectors[J]. IEICE Transactions on Electronics, 1993, E76-C(2): 214-221.
    [5] LI X, DEMIGUEL S, LI N, et al. Backside illuminated high saturation current partially depleted absorber photodetecters[J]. Electronics Letters, 2003, 39(20): 1466-1467. doi: 10.1049/el:20030927
    [6] ISHIBASHI T, ITO H. Uni-traveling-carrier photodiodes[J]. Journal of Applied Physics, 2020, 127(3): 031101. doi: 10.1063/1.5128444
    [7] LI Q L, LI K J, FU Y, et al. High-power flip-chip bonded photodiode with 110 GHz bandwidth[J]. Journal of Lightwave Technology, 2016, 34(9): 2139-2144. doi: 10.1109/jlt.2016.2520826
    [8] SRIVASTAVA S. Simulation study of InP-based uni-traveling carrier photodiode[D]. Cincinnati: University of Cincinnati, 2003.
    [9] LI J, XIONG B, LUO Y, et al. Ultrafast dual-drifting layer uni-traveling carrier photodiode with high saturation current[J]. Optics Express, 2016, 24(8): 8420-8428. doi: 10.1364/OE.24.008420
    [10] CHAO E F, XIONG B, SUN CH ZH, et al. D-band MUTC photodiodes with flat frequency response[J]. IEEE Journal of Selected Topics in Quantum Electronics, 2022, 28(2): 3802208. doi: 10.1109/JSTQE.2021.3115488
    [11] ZHEN ZH, HAO R, XING D, et al. Nearly-ballistic optimization design of high-speed uni-traveling-carrier photodiodes[J]. Chinese Journal of Lasers, 2020, 47(10): 1006003. (in Chinese). doi: 10.3788/CJL202047.1006003
    [12] ADACHI S. Physical Properties of III-V Semiconductor Compounds[M]. New York: John Wiley & Sons, 1992.
    [13] SHRESTHA Y R. Numerical simulation of GaAsSb/InP uni-traveling carrier photodiode[D]. Cincinnati: University of Cincinnati, 2005.
    [14] ISHIBASHI T, FURUTA T, FUSHIMI H, et al. InP/InGaAs uni-traveling-carrier photodiodes[J]. IEICE Transactions on Electronics, 2000, E83-C(6): 938-949.
    [15] FRIESE S. Atlas.ti 8 Mac-user Manual Updated for Program Version 8.4[M]. Berlin: ATLAS.ti, 2019.
    [16] ZHANG P, ZHANG X P, ZHANG R. Design of broadband and high-output power uni-traveling-carrier photodiodes[J]. Optics Communications, 2016, 365: 194-207. doi: 10.1016/j.optcom.2015.11.075
    [17] ZHOU G, RUNGE P. Nonlinearities of high-speed p-i-n photodiodes and MUTC photodiodes[J]. IEEE Transactions on Microwave Theory and Techniques, 2017, 65(6): 2063-2072. doi: 10.1109/TMTT.2016.2645152
    [18] DONG X W, LIU K, HUANG Y Q, et al. Design of high-speed UTC-PD with optimization of its electron transit performance and parasitic capacitance[J]. IEEE Photonics Journal, 2023, 15(1): 1-9. doi: 10.1109/JPHOT.2023.3234063
    [19] SAKAI K, ISHIMURA E, NAKAJI M, et al. High-current back-illuminated partially depleted-absorber p-i-n photodiode with depleted nonabsorbing region[J]. IEEE Transactions on Microwave Theory and Techniques, 2010, 58(11): 3154-3160. doi: 10.1109/TMTT.2010.2075470
  • 加载中
图(9) / 表(1)
计量
  • 文章访问数:  282
  • HTML全文浏览量:  160
  • PDF下载量:  85
  • 被引次数: 0
出版历程
  • 收稿日期:  2024-09-26
  • 修回日期:  2024-11-05
  • 录用日期:  2024-12-10
  • 网络出版日期:  2025-01-03

目录

    /

    返回文章
    返回
    Baidu
    map