留言板

尊敬的读者、作者、审稿人, 关于本刊的投稿、审稿、编辑和出版的任何问题, 您可以本页添加留言。我们将尽快给您答复。谢谢您的支持!

姓名
邮箱
手机号码
标题
留言内容
验证码

Broadband high-coherence supercontinuum in Al0.24Ga0.76As photonic crystal fibers

XIA Yong-tao HOU Shang-lin FENG Yun-long XIE Cai-jian LEI Jing-li WU Gang YAN Zu-yong

夏镛涛, 侯尚林, 冯云龙, 谢彩健, 雷景丽, 武刚, 晏祖勇. Al0.24Ga0.76As光子晶体光纤中的宽带高相干性超连续谱[J]. 188bet网站真的吗 . doi: 10.37188/CO.EN-2025-0011
引用本文: 夏镛涛, 侯尚林, 冯云龙, 谢彩健, 雷景丽, 武刚, 晏祖勇. Al0.24Ga0.76As光子晶体光纤中的宽带高相干性超连续谱[J]. 188bet网站真的吗 . doi: 10.37188/CO.EN-2025-0011
XIA Yong-tao, HOU Shang-lin, FENG Yun-long, XIE Cai-jian, LEI Jing-li, WU Gang, YAN Zu-yong. Broadband high-coherence supercontinuum in Al0.24Ga0.76As photonic crystal fibers[J]. Chinese Optics. doi: 10.37188/CO.EN-2025-0011
Citation: XIA Yong-tao, HOU Shang-lin, FENG Yun-long, XIE Cai-jian, LEI Jing-li, WU Gang, YAN Zu-yong. Broadband high-coherence supercontinuum in Al0.24Ga0.76As photonic crystal fibers[J]. Chinese Optics. doi: 10.37188/CO.EN-2025-0011

Al0.24Ga0.76As光子晶体光纤中的宽带高相干性超连续谱

详细信息
  • 中图分类号: O437.3;

Broadband high-coherence supercontinuum in Al0.24Ga0.76As photonic crystal fibers

doi: 10.37188/CO.EN-2025-0011
Funds: Supported by National Natural Science Foundation of China (No. 61665005); Natural Science Foundation of Gansu Province (No. 24JRRA208)
More Information
    Author Bio:

    XIA Yong-tao (1998—), male, born in Tianshui, Gansu Province, master student. He received his bachelor's degree from Lanzhou University of Technology in 2020. He is mainly engaged in research on guided-wave optics and optical fiber communication technologies. E-mail:15117207213@163.com

    HOU Shang-lin (1970—), male, born in Tianshui, Gansu Province, Ph.D., professor and doctoral supervisor. He received his Ph.D. from Beijing University of Posts and Telecommunications in 2008. He is mainly engaged in research on novel optical fibers and high-speed optoelectronic devices, next-generation high-speed all-optical communication networks, as well as fiber optic sensors and sensing network technologies. E-mail: houshanglin@vip.163.com

    Corresponding author: houshanglin@vip.163.com
  • 摘要:

    提出了一种可替代的椭圆形和圆形空气孔辅助型Al0.24Ga0.76As光子晶体光纤来产生宽带高相干性中红外超连续谱,利用有限元法对其色散、有效模场面积和非线性系数进行了研究,模拟了光脉冲沿光纤的演化过程,分析和评估了不同泵浦条件下的超连续谱及其相干性。结果表明当光纤占空比d1/Λ为0.125、d2/Λ为0.583并且零色散波长为3.228 μm时,通过在3.3μm处以峰值功率800 W、半高全宽20 fs的高斯脉冲泵浦10 mm光纤,可获得谱宽为4.852 μm的超连续谱。在反常色散区泵浦脉冲波长为4.0 μm、峰值功率为2000 W、半高全宽为80 fs时,调制不稳定性效应被明显抑制,可获得从1.1 μm扩展到8.99 μm的宽带高相干性超连续谱。在正常色散区2.8 μm处泵浦该光纤,可使部分脉冲能量转移到反常色散区,可在10 mm光纤输出端得到了从0.8 μm扩展到9.8 μm的宽带高相干性超连续谱。本文在Al0.24Ga0.76As光子晶体光纤中引入了椭圆气孔,为调整超连续谱的性能增加了灵活度,实现了用最短的光纤获得了最宽的超连续谱。

     

  • 图 1  所提出PCF的(a)横截面示意图和(b)电场分布图

    Figure 1.  (a)The cross-sectional schematic and (b) the electric field distribution of the proposed PCF.

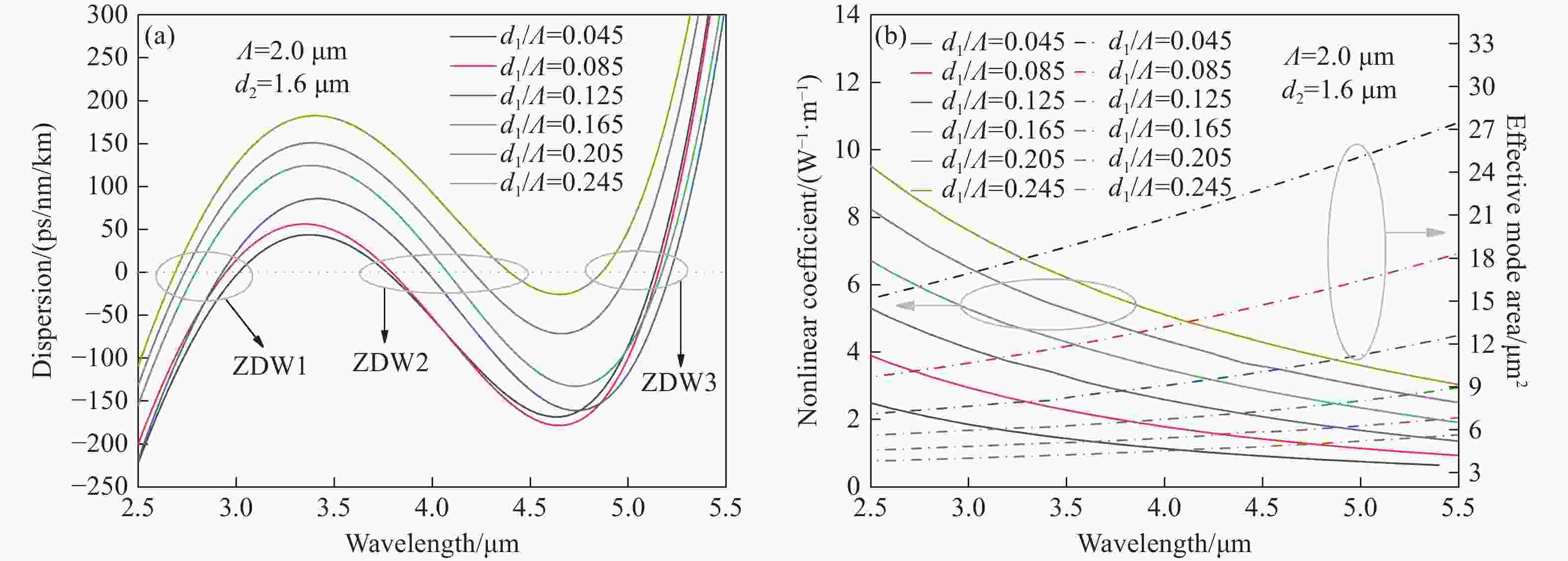
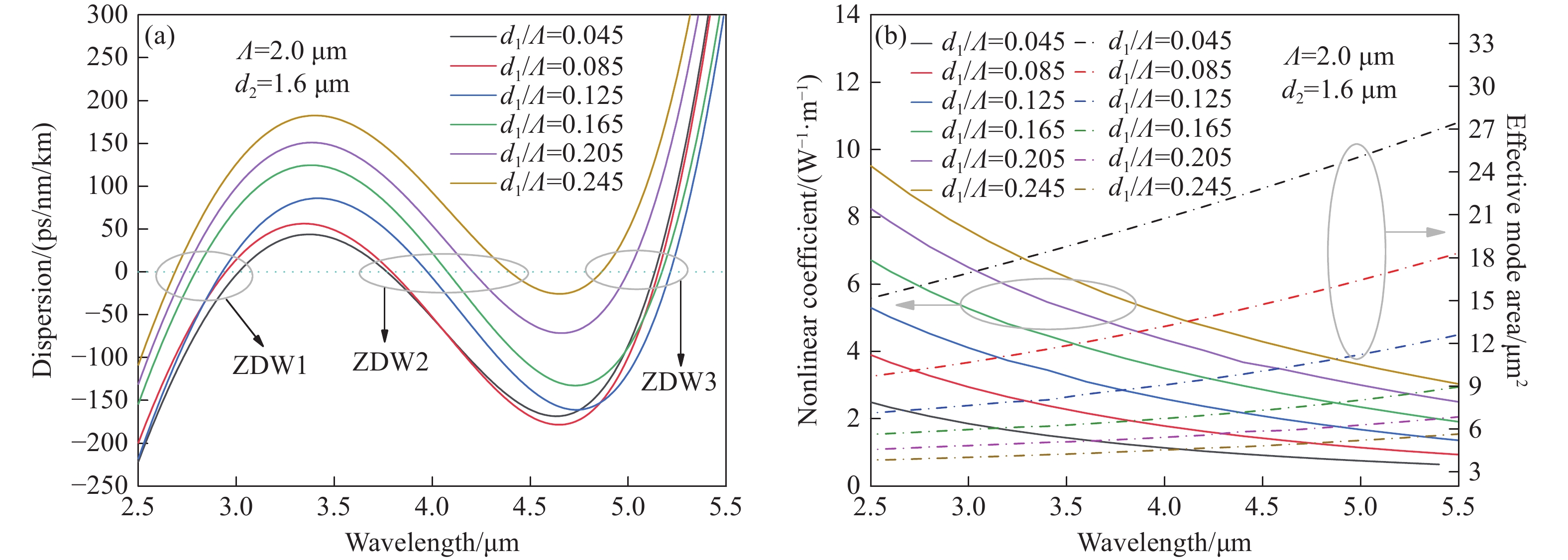
    图 2  不同d1/Λ下(a)色散参量和(b)非线性系数与有效模场面积随着波长的变化

    Figure 2.  (a) Dispersion parameter and (b) Nonlinear coefficient and effective mode area as functions of wavelength for different d1/Λ.

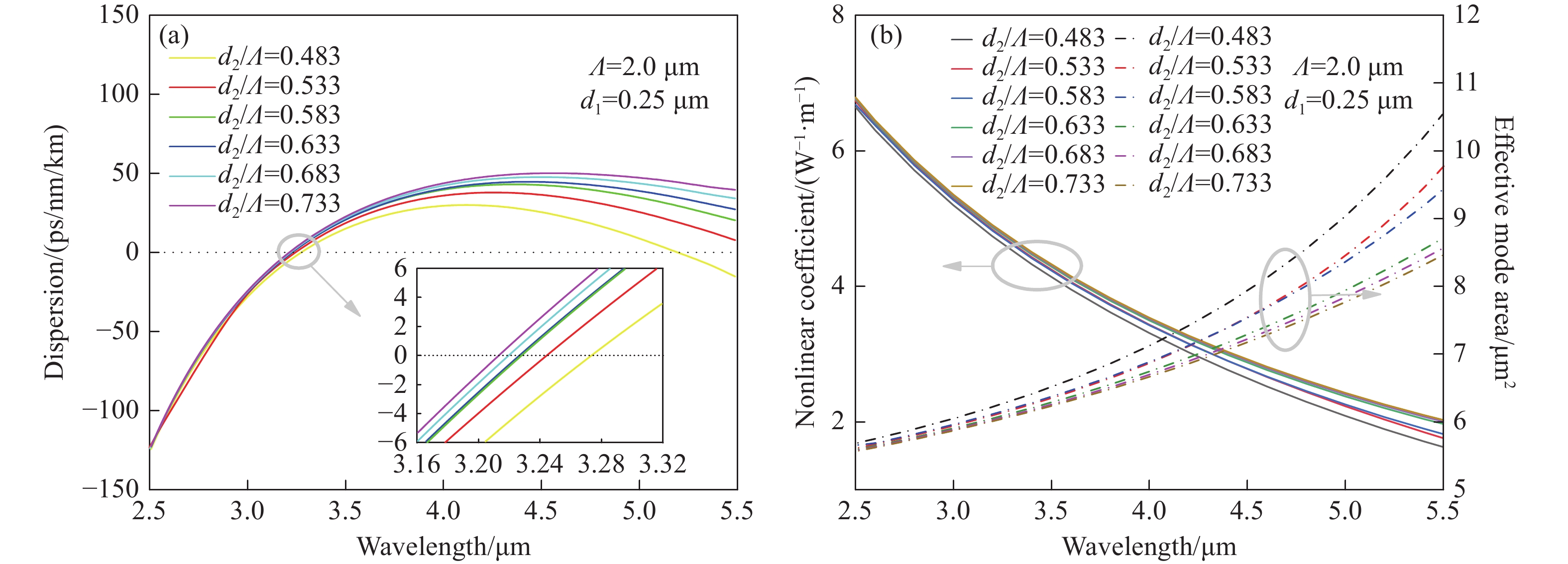
    图 3  不同d2/Λ下(a)色散参量和(b)非线性系数与有效模场面积随着波长的变化

    Figure 3.  (a) Dispersion parameter and (b) Nonlinear coefficient and effective mode area as functions of wavelength for different d2/Λ.

    图 4  不同(a~f) d1/Λ和(g~l) d2/Λ下PCF中产生的SC

    Figure 4.  SC generated by the PCF for different (a-f) d1/Λ and (g-l) d2/Λ.

    图 5  在反常色散区不同泵浦条件下产生的SC

    Figure 5.  SC generated under different pumping conditions in the anomalous dispersion region.

    图 6  泵浦波长3.3 μm处SC的(a)频域和(b)时域演化

    Figure 6.  SC evolution at a pump wavelength of 3.3 μm in the (a) frequency domain and (b) time domain.

    图 7  泵浦波长4.0 μm处SC的(a)频域和(b)时域演化

    Figure 7.  SC evolution at a pump wavelength of 4.0 μm in the (a) frequency domain and (b) time domain.

    图 8  泵浦波长为(a) 3.3 μm和(b) 4.0 μm时SC的相干性变化

    Figure 8.  Coherence variation of SC at pump wavelengths of (a) 3.3 μm and (b) 4.0 μm.

    图 9  正常色散区光纤输出端的(a~c)SC及其(d~f)相干性随着波长的变化

    Figure 9.  (a−c) SC and (d−f) coherence at the fiber output in the normal dispersion region as a function of wavelength.

    图 10  泵浦波长2.8 μm处SC的(a)频域和(b)时域演化

    Figure 10.  SC evolution at a pump wavelength of 2.8 μm in the (a) frequency domain and (b) time domain.

    表  1  Soliton order and characteristic lengths for different pulses at a pump wavelength of 3.3 μm.

    Table  1.   Soliton order and characteristic lengths for different pulses at a pump wavelength of 3.3 μm.

    λpump=3.3 μm TFWHM=20 fs TFWHM=50 fs TFWHM=80 fs
    P0=800 W N=6.50 N=16.20 N=25.86
    Lfiss=1.65 mm Lfiss=4.12 mm Lfiss=6.60 mm
    LMI=4.08 mm LMI=4.08 mm LMI=4.08 mm
    P0=1500 W N=8.85 N=22.00 N=35.40
    Lfiss=1.20 mm Lfiss=3.00 mm Lfiss=4.80 mm
    LMI=2.18 mm LMI=2.18 mm LMI=2.18 mm
    P0=2000 W N=10.20 N=25.56 N=40.90
    Lfiss=1.04 mm Lfiss=2.61 mm Lfiss=4.2 mm
    LMI=1.60 mm LMI=1.60 mm LMI=1.60 mm
    下载: 导出CSV

    表  2  Soliton order and characteristic lengths for different pulses at a pump wavelength of 4.0 μm.

    Table  2.   Soliton order and characteristic lengths for different pulses at a pump wavelength of 4.0 μm.

    λpump=4.0 μm TFWHM=20 fs TFWHM=50 fs TFWHM=80 fs
    P0=800 WN=0.95N=2.40N=3.80
    Lfiss=0.34 mmLfiss=0.85 mmLfiss=1.36 mm
    LMI=5.70 mmLMI=5.70 mmLMI=5.70 mm
    P0=1500 WN=1.30N=3.30N=5.20
    Lfiss=0.25 mmLfiss=0.62 mmLfiss=0.99 mm
    LMI=3.05 mmLMI=3.05 mmLMI=3.05 mm
    P0=2000 WN=1.50N=3.76N=6.01
    Lfiss=0.20 mmLfiss=0.54 mmLfiss=0.86 mm
    LMI=2.30 mmLMI=2.30 mmLMI=2.30 mm
    下载: 导出CSV

    表  3  Comparison of SC generated in different PCFs in recent years.

    Table  3.   Comparison of SC generated in different PCFs in recent years.

    Researches Material used Publication Year Wavelength range Peak Power(kW) SC Span(nm) Fiber length(mm)
    [55] AsSe2 and As2S5 2020 Near and Mid-infrared 10.120 2100 30
    [29] Ge20Sb15Se65 2021 Mid-infrared 1.000 4257 1
    [56] Si and MgF2 2021 Near and Mid-infrared 1.000 2700 10
    [57] As2Se3 and As2S5 2022 Mid-infrared 10.000 8000 34
    [58] Ge20Sb15Se65 2023 Near and Mid-infrared 0.500 6020 25
    [59] As2S3 2023 Mid-infrared 1.000 3260 45
    [60] As38Se62 2024 Mid-infrared 1.800 6500 28
    [61] As2Se3 2024 Mid-infrared 2.778 5944 100
    [44] Al0.24Ga0.76As 2021 Near and Mid-infrared 2.500 6000 50
    [45] Al0.24Ga0.76As 2023 Near and Mid-infrared 2.500 6800 50
    This
    Study
    Al0.24Ga0.76As
    (anomalous dispersion region)
    —— Near and Mid-infrared 2.000 7890 10
    This
    Study
    Al0.24Ga0.76As
    (normal dispersion region)
    —— Near and Mid-infrared 2.000 9000 10
    下载: 导出CSV
    Baidu
  • [1] AGRAWAL G P. Nonlinear Fiber Optics[M]. 6th ed. Amsterdam: Elsevier, 2019.
    [2] STOICHEFF B P. Characteristics of stimulated Raman radiation generated by coherent light[J]. Physics Letters, 1963, 7(3): 186-188. doi: 10.1016/0031-9163(63)90377-9
    [3] ALFANO R R, SHAPIRO S L. Emission in the region 4000 to 7000 Å via four-photon coupling in glass[J]. Physical Review Letters, 1970, 24(11): 584-587. doi: 10.1103/PhysRevLett.24.584
    [4] BONDARENKO N G, EREMINA I V, TALANOV V I. Broadening of spectrum in self focusing of light in crystals[J]. Journal of Experimental and Theoretical Physics Letters, 1970, 12: 85.
    [5] WERNCKE W, LAU A, PFEIFFER M, et al. An anomalous frequency broadening in water[J]. Optics Communications, 1972, 4(6): 413-415. doi: 10.1016/0030-4018(72)90113-7
    [6] FORK R L, SHANK C V, HIRLIMANN C, et al. Femtosecond white-light continuum pulses[J]. Optics Letters, 1983, 8(1): 1-3. doi: 10.1364/OL.8.000001
    [7] MANASSAH J, HO P, KATZ A, et al. Ultrafast supercontinuum laser source[J]. Photonics Spectra, 1984, 18(11): 53. (查阅网上资料, 未找到本条文献信息, 请确认).
    [8] SCHLIESSER A, PICQUÉ N, HÄNSCH T W. Mid-infrared frequency combs[J]. Nature Photonics, 2012, 6(7): 440-449. doi: 10.1038/nphoton.2012.142
    [9] JAHROMI K E, PAN Q, HØGSTEDT L, et al. Mid-infrared supercontinuum-based upconversion detection for trace gas sensing[J]. Optics Express, 2019, 27(17): 24469-24480. doi: 10.1364/OE.27.024469
    [10] HUANG Y S, KARASHIMA T, YAMAMOTO M, et al. Molecular-level investigation of the structure, transformation, and bioactivity of single living fission yeast cells by time- and space-resolved Raman spectroscopy[J]. Biochemistry, 2005, 44(30): 10009-10019. doi: 10.1021/bi050179w
    [11] UDEM T, HOLZWARTH R, HÄNSCH T W. Optical frequency metrology[J]. Nature, 2002, 416(6877): 233-237. doi: 10.1038/416233a
    [12] ADAMU A I, DASA M K, BANG O, et al. Multispecies continuous gas detection with supercontinuum laser at telecommunication wavelength[J]. IEEE Sensors Journal, 2020, 20(18): 10591-10597. doi: 10.1109/JSEN.2020.2993549
    [13] SU R, KIRILLIN M, CHANG E W, et al. Perspectives of mid-infrared optical coherence tomography for inspection and micrometrology of industrial ceramics[J]. Optics Express, 2014, 22(13): 15804-15819. doi: 10.1364/OE.22.015804
    [14] GAETA A L. Catastrophic collapse of ultrashort pulses[J]. Physical Review Letters, 2000, 84(16): 3582-3585. doi: 10.1103/PhysRevLett.84.3582
    [15] AKÖZBEK N, SCALORA M, BOWDEN C M, et al. White-light continuum generation and filamentation during the propagation of ultra-short laser pulses in air[J]. Optics Communications, 2001, 191(3-6): 353-362. doi: 10.1016/S0030-4018(01)01113-0
    [16] DUDLEY J M, GENTY G, COEN S. Supercontinuum generation in photonic crystal fiber[J]. Reviews of Modern Physics, 2006, 78(4): 1135-1184. doi: 10.1103/RevModPhys.78.1135
    [17] LIN C, STOLEN R H. New nanosecond continuum for excited-state spectroscopy[J]. Applied Physics Letters, 1976, 28(4): 216-218. doi: 10.1063/1.88702
    [18] NAYAK S K, AHMED M S, MURALI R, et al. All-optical modulation and photonic diode based on spatial self-phase modulation in porphyrin–napthalimide molecules[J]. Journal of Materials Chemistry C, 2024, 12(26): 9841-9852. doi: 10.1039/D4TC00600C
    [19] CUI CH H, ZHANG L, FAN L R. Reconfigurable self-phase modulation enabled by cascaded nonlinear backaction in integrated photonics[J]. Physical Review Letters, 2025, 134(10): 103803. doi: 10.1103/PhysRevLett.134.103803
    [20] RANJAN R, SIRLETO L. Stimulated raman scattering microscopy: a review[J]. Photonics, 2024, 11(6): 489. doi: 10.3390/photonics11060489
    [21] FENG Y L, JIE D, HOU SH L, et al. Analysis on acoustic modes and Brillouin gain spectra of backward stimulated Brillouin scattering in W-type acoustic waveguide optical fibers[J]. Optics Express, 2024, 32(21): 36434-36452. doi: 10.1364/OE.531916
    [22] HASEGAWA A, TAPPERT F. Transmission of stationary nonlinear optical pulses in dispersive dielectric fibers. I. Anomalous dispersion[J]. Applied Physics Letters, 1973, 23(3): 142-144. doi: 10.1063/1.1654836
    [23] MOLLENAUER L F, STOLEN R H, GORDON J P. Experimental observation of picosecond pulse narrowing and solitons in optical fibers[J]. Physical Review Letters, 1980, 45(13): 1095-1098. doi: 10.1103/PhysRevLett.45.1095
    [24] KNIGHT J C, BIRKS T A, RUSSELL P S J, et al. All-silica single-mode optical fiber with photonic crystal cladding[J]. Optics Letters, 1996, 21(19): 1547-1549. doi: 10.1364/OL.21.001547
    [25] THI T N, TRONG D H, VAN L C. Comparison of supercontinuum spectral widths in CCl4-core PCF with square and circular lattices in the claddings[J]. Laser Physics, 2023, 33(5): 055102. doi: 10.1088/1555-6611/acc240
    [26] THI T N, TRONG D H, VAN L C. Supercontinuum generation in ultra-flattened near-zero dispersion PCF with C7H8 infiltration[J]. Optical and Quantum Electronics, 2023, 55(1): 93. doi: 10.1007/s11082-022-04351-x
    [27] TRAN B T L, VAN L C. A new type of supercontinuum generation in hexagonal lattice C6H6-core PCF with broadband and low-power pump[J]. International Journal of Modern Physics B, 2024, 38(26): 2450353. doi: 10.1142/S0217979224503533
    [28] BI W J, GAO J J, LI X, et al. Mid-infrared supercontinuum generation in silica photonic crystal fibers[J]. Applied Optics, 2016, 55(23): 6355-6362. doi: 10.1364/AO.55.006355
    [29] HOSSAIN S, SHAH S, FAISAL M. Ultra-high birefringent, highly nonlinear Ge20Sb15Se65 chalcogenide glass photonic crystal fiber with zero dispersion wavelength for mid-infrared applications[J]. Optik, 2021, 225: 165753. doi: 10.1016/j.ijleo.2020.165753
    [30] SEDDON A B, FARRIES M C, NUNES J J, et al. Short review and prospective: chalcogenide glass mid-infrared fibre lasers[J]. The European Physical Journal Plus, 2024, 139(2): 142. doi: 10.1140/epjp/s13360-023-04841-1
    [31] SAINI S, KRITIKA K, DEVVRAT D, et al. Survey of chalcogenide glasses for engineering applications[J]. Materials Today: Proceedings, 2021, 45: 5523-5528. doi: 10.1016/j.matpr.2021.02.297
    [32] CHENG T L, KAWASHIMA H, XUE X J, et al. Fabrication of a chalcogenide-tellurite hybrid microstructured optical fiber for flattened and broadband supercontinuum generation[J]. Journal of Lightwave Technology, 2015, 33(2): 333-338. doi: 10.1109/JLT.2014.2379912
    [33] PATRA P, ANNAPURNA K. Transparent tellurite glass-ceramics for photonics applications: a comprehensive review on crystalline phases and crystallization mechanisms[J]. Progress in Materials Science, 2022, 125: 100890. doi: 10.1016/j.pmatsci.2021.100890
    [34] MHAREB M H A, SAYYED M I, ALONIZAN N, et al. Radiation shielding, optical, structural, morphological, and thermal features for tellurite glass ceramics[J]. Nuclear Engineering and Technology, 2024, 56(11): 4708-4715. doi: 10.1016/j.net.2024.06.034
    [35] MEDJOURI A, MERAGHNI E B, HATHROUBI H, et al. Design of ZBLAN photonic crystal fiber with nearly zero ultra-flattened chromatic dispersion for supercontinuum generation[J]. Optik, 2017, 135: 417-425. doi: 10.1016/j.ijleo.2017.01.082
    [36] TANG Y T, LUO X, DONG F L, et al. All-fiber mid-infrared enhanced supercontinuum generation in an erbium-doped ZBLAN fiber amplifier[J]. Journal of Lightwave Technology, 2023, 41(9): 2855-2861.
    [37] GUO CH Y, SHEN P SH, RUAN SH CH, et al. Dual-wavelength pumped 2.8 μm Er-doped ZBLAN fiber laser with high overall optical efficiency[J]. Infrared Physics & Technology, 2023, 132: 104739.
    [38] AITCHISON J S, HUTCHINGS D C, KANG J U, et al. The nonlinear optical properties of AlGaAs at the half band gap[J]. IEEE Journal of Quantum Electronics, 1997, 33(3): 341-348. doi: 10.1109/3.556002
    [39] FAN H, YUE H CH, MAO J M, et al. Modelling and fabrication of wide temperature range Al0.24Ga0.76As/GaAs hall magnetic sensors[J]. Journal of Semiconductors, 2022, 43(3): 034101. doi: 10.1088/1674-4926/43/3/034101
    [40] KUMAR A, GUPTA P K, MISHRA M, et al. Raman response function of AlGaAs doped glass[J]. Nanoscience & Nanotechnology-Asia, 2022, 12(6): e150622205993.
    [41] GEHRSITZ S, REINHART F K, GOURGON C, et al. The refractive index of AlxGa1−xAs below the band gap: accurate determination and empirical modeling[J]. Journal of Applied Physics, 2000, 87(11): 7825-7837. doi: 10.1063/1.373462
    [42] SAVANIER M, ANDRONICO A, LEMAÎTRE A, et al. Large second-harmonic generation at 1.55 μm in oxidized AlGaAs waveguides[J]. Optics Letters, 2011, 36(15): 2955-2957. doi: 10.1364/OL.36.002955
    [43] SHARMA M, DHASARATHAN V, SKIBINA J S, et al. Giant nonlinear AlGaAs-doped glass photonic crystal fibers for efficient soliton generation at femtojoule energy[J]. IEEE Photonics Journal, 2019, 11(4): 7102411.
    [44] KIRORIWAL M, SINGAL P. Numerical analysis on the supercontinuum generation through Al0.24Ga0.76As based photonic crystal fiber[J]. Sādhanā, 2021, 46(3): 167.
    [45] JAIN S K, SHARMA R, AMRIT P, et al. Semiconductor material photonic crystal fiber for mid-infrared supercontinuum generation[J]. Materials Today: Proceedings, 2023, 74: 255-258. doi: 10.1016/j.matpr.2022.08.117
    [46] WAGHMARE M, REDDY K T V. A novel structure of photonic crystal fibre for dispersion compensation over broadband range[J]. Sādhanā, 2017, 42(11): 1883-1887.
    [47] XIE Y H, PEI L, ZHENG J J, et al. Design of steering wheel-type ring depressed-core 10-mode fiber with fully improved mode spacing[J]. Optics Express, 2021, 29(10): 15067-15077. doi: 10.1364/OE.424554
    [48] WANG W CH, WANG N, JIA H ZH. Research on the dispersion characteristics of silica-based ring-core photonic crystal fiber used to transmit orbital angular momentum modes[J]. Optik, 2021, 241: 166935. doi: 10.1016/j.ijleo.2021.166935
    [49] SAGHAEI H, EBNALI-HEIDARI M, MORAVVEJ-FARSHI M K. Midinfrared supercontinuum generation via As2Se3 chalcogenide photonic crystal fibers[J]. Applied Optics, 2015, 54(8): 2072-2079. doi: 10.1364/AO.54.002072
    [50] CHAUHAN P, KUMAR A, KALRA Y. Computational modeling of tellurite based photonic crystal fiber for infrared supercontinuum generation[J]. Optik, 2019, 187: 92-97. doi: 10.1016/j.ijleo.2019.03.106
    [51] LIN D, XU D Y, HE J, et al. The generation of 1.2 μJ pulses from a Mamyshev oscillator based on a high concentration, large-mode-area Yb-doped fiber[J]. Journal of Lightwave Technology, 2022, 40(21): 7175-7179. doi: 10.1109/JLT.2022.3198737
    [52] YU Y, LIAN Y D, HU Q, et al. Design of PCF supporting 86 OAM modes with high mode quality and low nonlinear coefficient[J]. Photonics, 2022, 9(4): 266. doi: 10.3390/photonics9040266
    [53] HULT J. A fourth-order Runge-Kutta in the interaction picture method for simulating supercontinuum generation in optical fibers[J]. Journal of Lightwave Technology, 2007, 25(12): 3770-3775. doi: 10.1109/JLT.2007.909373
    [54] SHAMIM M H M, BRILLAND L, CHAHAL R, et al. All-fiber coherent supercontinuum generation in a cascade of silica, fluoride, and chalcogenide fibers[J]. Journal of Physics: Photonics, 2024, 6(4): 045018. doi: 10.1088/2515-7647/ad819e
    [55] SAINI T S, TUAN T H, SUZUKI T, et al. Coherent mid-IR supercontinuum generation using tapered chalcogenide step-index optical fiber: experiment and modelling[J]. Scientific Reports, 2020, 10(1): 2236. doi: 10.1038/s41598-020-59288-6
    [56] DASHTBAN Z, SALEHI M R, ABIRI E. Supercontinuum generation in near- and mid-infrared spectral region using highly nonlinear silicon-core photonic crystal fiber for sensing applications[J]. Photonics and Nanostructures - Fundamentals and Applications, 2021, 46: 100942. doi: 10.1016/j.photonics.2021.100942
    [57] TONG H T, KOUMURA A, NAKATANI A, et al. Chalcogenide all-solid hybrid microstructured optical fiber with polarization maintaining properties and its mid-infrared supercontinuum generation[J]. Optics Express, 2022, 30(14): 25433-25449. doi: 10.1364/OE.459745
    [58] SHAHRIAR T A M R, ISLAM O, TAHMID M I, et al. Highly coherent supercontinuum generation in circular lattice photonic crystal fibers using low-power pulses[J]. Optik, 2023, 272: 170258. doi: 10.1016/j.ijleo.2022.170258
    [59] XIE SH Y, ZHOU J M, NIE CH, et al. Mid-infrared supercontinuum generation of orbital angular momentum modes based on ring-core As2S3 photonic crystal fiber[J]. Optical Fiber Technology, 2023, 81: 103522. doi: 10.1016/j.yofte.2023.103522
    [60] KHAMARU A, KUMAR A. As38Se62 based segmented clad-graded index photonic crystal fiber for supercontinuum generation covering 3-9.5 μm with moderate peak power[J]. Optical and Quantum Electronics, 2024, 56(7): 1246. doi: 10.1007/s11082-024-07176-y
    [61] THI T N, TRONG D H, VAN L C. Broadband supercontinuum generation in different lattices of As2Se3-photonic crystal fibers with all-normal dispersion and low peak power[J]. Optical and Quantum Electronics, 2024, 56(3): 367. doi: 10.1007/s11082-023-06043-6
  • 加载中
图(10) / 表(3)
计量
  • 文章访问数:  91
  • HTML全文浏览量:  52
  • PDF下载量:  2
  • 被引次数: 0
出版历程
  • 收稿日期:  2025-02-26
  • 录用日期:  2025-04-29
  • 网络出版日期:  2025-09-27

目录

    /

    返回文章
    返回
    Baidu
    map