留言板

尊敬的读者、作者、审稿人, 关于本刊的投稿、审稿、编辑和出版的任何问题, 您可以本页添加留言。我们将尽快给您答复。谢谢您的支持!

姓名
邮箱
手机号码
标题
留言内容
验证码

Multi-Fano resonances sensing based on a non-through metal-insulator-metal waveguide coupling D-shaped cavity

ZHAO Xiao-long CHANG Xu-yan LIU Yan-li ZHANG Yan-Jun ZHANG Zhi-dong

赵小龙, 常旭艳, 刘艳莉, 张彦军, 张志东. 基于非连通金属−介质−金属波导耦合D形谐振腔的多法诺共振传感器[J]. 188bet网站真的吗 , 2025, 18(6): 1484-1494. doi: 10.37188/CO.EN-2025-0017
引用本文: 赵小龙, 常旭艳, 刘艳莉, 张彦军, 张志东. 基于非连通金属−介质−金属波导耦合D形谐振腔的多法诺共振传感器[J]. 188bet网站真的吗 , 2025, 18(6): 1484-1494. doi: 10.37188/CO.EN-2025-0017
ZHAO Xiao-long, CHANG Xu-yan, LIU Yan-li, ZHANG Yan-Jun, ZHANG Zhi-dong. Multi-Fano resonances sensing based on a non-through metal-insulator-metal waveguide coupling D-shaped cavity[J]. Chinese Optics, 2025, 18(6): 1484-1494. doi: 10.37188/CO.EN-2025-0017
Citation: ZHAO Xiao-long, CHANG Xu-yan, LIU Yan-li, ZHANG Yan-Jun, ZHANG Zhi-dong. Multi-Fano resonances sensing based on a non-through metal-insulator-metal waveguide coupling D-shaped cavity[J]. Chinese Optics, 2025, 18(6): 1484-1494. doi: 10.37188/CO.EN-2025-0017

基于非连通金属−介质−金属波导耦合D形谐振腔的多法诺共振传感器

详细信息
  • 中图分类号: O482.31

Multi-Fano resonances sensing based on a non-through metal-insulator-metal waveguide coupling D-shaped cavity

doi: 10.37188/CO.EN-2025-0017
Funds: Supported by Key Research and Development Program of Shanxi Province (No. 202102020101010)
More Information
    Author Bio:

    ZHAO Xiao-long (1986—), male, born in Heishan, Liaoning Province, Doctor, associate professor, received her PhD degree from North University of China. He is an Associate Professor in the School of Electrical and Control Engineering of North University of China. His current research interests include micro/nano-photonics sensors. E-mail: zhaoxiaolong@nuc.edu.cn

    CHANG Xu-yan (2000—), female, born in Xinzhou, Shanxi Province. She is a current master's student at North China University, majoring in Instrumentation Engineering. E-mail: 1927744674@qq.com

    LIU Yan-li (1985—), female, born in huaibei, Anhui Province, Doctor, associate professor, received her PhD degree from North University of China. She is an Associate Professor in the School of Information and Communication Engineering, of North University of China. Her current research interests include micro/nano-photonics. E-mail: 565347436@qq.com

    ZHANG Zhi-dong (1985—), male, born in Jingle, Shanxi Province, Doctor, Professor, graduate student supervisor, received his PhD from Southwest Jiaotong University. He is currently an Professor in the school of Instrumentation and Electronics of North University of China. His research interests include micro/nanosensors and nanophotonics. E-mail: zdzhang@nuc.edu.cn

    Corresponding author: liuyanli0561@126.comzdzhang@nuc.edu.cn
  • 摘要:

    本文设计了一种由两个一端封堵的金属-绝缘体-金属(MIM)波导与一个D形腔耦合组成的表面等离激元波导结构。使用有限元方法(FEM)模拟了该结构的传输特性、磁场分布以及折射率传感特性。在透射光谱中可以明显观察到多Fano共振现象。这些Fano共振源于D形谐振腔产生的共振离散态与一端封堵的MIM波导产生的连续态之间的相互耦合。通过系统地调整结构参数,研究了其对Fano共振调制的影响。此外,通过改变MIM波导中绝缘层的折射率,研究了基于Fano共振折射率传感特性。结果表明,该结构实现的最大折射率灵敏度和品质因子(FOM)分别为1155 RIU/nm和40。这些研究对高灵敏度光子器件、微型传感器、未来新型片上传感的设计和研究提供了新的途径。

     

  • Figure 1.  Two-dimensional schematic for the non-through MIM waveguide and a D-shaped cavity

    Figure 2.  Transmission spectra for three distinct configurations

    Figure 3.  Contour profiles of the normalized Hz field distributions of the non-through MIM waveguide D-shape cavity. (a) λ = 0.455 μm, (b) λ = 0.465 μm, (c) λ = 0.595 μm, and (d) λ =0.62 μm, (e) λ = 1.185 μm, and (f) λ =1.22 μm

    Figure 4.  (a) Transmission spectra of the non-through MIM waveguide D-shape cavity with changing r; (b) the shift of resonance peak with changing r

    Figure 5.  (a) Transmission spectra of the non-through MIM waveguide D-shape cavity with changing l; (b) the shift of resonance peak with changing l

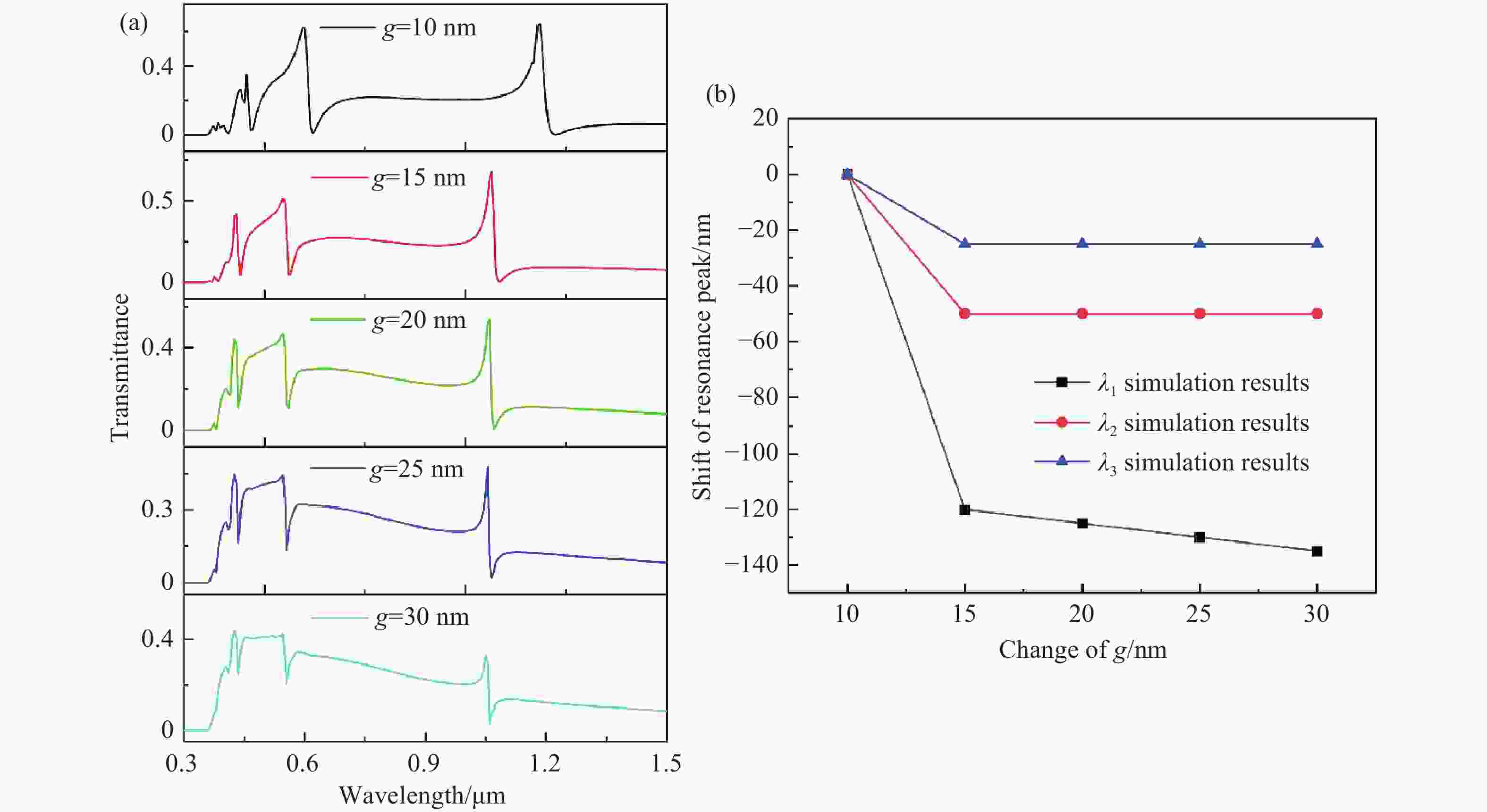
    Figure 6.  (a) Transmission spectra of the non-through MIM waveguide D-shape cavity with changing g; (b) the shift of resonance peak with changing g

    Figure 7.  (a) Transmission spectra of the non-through MIM waveguide D-shape cavity with changing d; (b) the relationship between the resonance peak with changing d, and (c) the shift of resonance peak with changing d

    Figure 8.  (a) Transmission spectra of the non-through MIM waveguide-coupled D-shape cavity with changing n; (b) shift of the Fano resonance peak as a function of the refractive index change n

    Baidu
  • [1] ZAYATS A V, SMOLYANINOV I I. Near-field photonics: surface plasmon polaritons and localized surface plasmons[J]. Journal of Optics A: Pure and Applied Optics, 2003, 5(4): S16-S50.
    [2] PEI J H , QI X H, ZOU M Q, et al. Advances in Surface-Enhanced Raman Spectroscopy for the Detection of Veterinary Drug Residues in Foods of Animal Origin[J]. Chinese Journal of Applied Chemistry, 2024, 41(4): 459-471. (in Chinese).
    [3] LIU J, LIU J, WANG Y T, et al. Resonant properties of sub-wavelength metallic gratings[J]. Chinese Optics, 2011, 4(4): 363-368. (in Chinese).
    [4] CHEN S Y, ZHANG X Y, LIU B, et al. Classification and Application of Surface-enhanced Raman Spectroscopy Substrates[J]. Chinese Journal of Analytical Chemistry, 2024, 52(7): 910-924. (in Chinese).
    [5] GONG H B, HU W Y, HUANG Q T, et al. Highly Sensitive Qualitative Analysis of Electronegative Molecules Based on Surface-enhanced Raman Spectroscopy[J]. Chinese Journal of Analytical Chemistry, 2023, 51(7): 1213-1221. (in Chinese).
    [6] ZHU J, LI Z Q. Characteristics of transmission and attenuation of surface plasmon polaritons in Otto structure loaded MIM wave guide[J]. Chinese Journal of Luminescence, 2013, 34(11): 1533-1537. (in Chinese).
    [7] LI M, CUSHING S K, WU N Q. Plasmon-enhanced optical sensors: a review[J]. Analyst, 2015, 140(2): 386-406.
    [8] LEI J G, LIU T H, LIN J Q, et al. New applications of surface plasmon polaritons[J]. Chinese Journal of Optics and Applied Optics, 2010, 3(5): 432-439. (in Chinese).
    [9] YUE S Q, MO Z H, ZHAO J Q, et al. Detection of Haptoglobin by Surface-Enhanced Raman Scattering Based on the Shift of Characteristic Peak[J]. Chinese Journal of Analytical Chemistry, 2024, 52(2): 231-239. (in Chinese).
    [10] HONG L, DONG W N, WU Z N, et al. Application of Photoresponsive Behavior of Metal Nanoclusters in Biomedical Diagnostics and Therapy[J]. Chinese Journal of Applied Chemistry, 2024, 41(9): 1238-1247. (in Chinese).
    [11] BUTT M A. Review of innovative cavity designs in metal–insulator-metal waveguide-based plasmonic sensors[J]. Plasmonics, 2024, 20(6): 4257-4276. doi: 10.1007/s11468-024-02562-4
    [12] CHEN J J, GAN F Y, WANG Y J, et al. Plasmonic sensing and modulation based on fano resonances[J]. Advanced Optical Materials, 2018, 6(9): 1701152.
    [13] KONG Y, CAO J J, QIAN W C, et al. Multiple Fano resonance based optical refractive index sensor composed of micro-cavity and micro-structure[J]. IEEE Photonics Journal, 2018, 10(6): 6804410.
    [14] BORETTI A. A perspective on the use of perovskite luminophores for solar windows[J]. Advanced Sensor and Energy Materials, 2024, 3(1): 100060.
    [15] SHU Y, YANG M, LI Z H, et, al. MicroRNA Sensing Based on Gold Nanoparticle Aggregation and Hybridization Chain Amplification[J]. Chinese Journal of Applied Chemistry, 2024, 41(1): 109-117. (in Chinese).
    [16] GUO H Y, FANG W J, PANG J L, et al. Multiple Fano resonances based on all-dielectric metastructure for refractive index sensing[J]. Infrared Physics & Technology, 2024, 139: 105284.
    [17] ROHIMAH S, TIAN H, WANG J F, et al. Fano resonance in the plasmonic structure of MIM waveguide with r-shaped resonator for refractive index sensor[J]. Plasmonics, 2022, 17(4): 1681-1689.
    [18] ZHANG Z D, ZHANG H N, LIANG J, et al. Double Fano resonance and refractive index sensors based on parallel-arranged Au nanorod dimer metasurface arrays[J]. Chinese Optics, 2023, 16(4): 961-971. (in Chinese). doi: 10.37188/CO.EN-2023-0008
    [19] ZHU J, WU C S. Optical refractive index sensor with Fano resonance based on original MIM waveguide structure[J]. Results in Physics, 2021, 21: 103858.
    [20] RAHAD R, HOSSAIN N, HOSSAIN A. Enhanced alcohol detection using surface plasmon polariton dependent MIM plasmonic sensor[J]. Plasmonics, 2025, 20: 1331-1340. doi: 10.1007/s11468-024-02360-y
    [21] BUTT M A, KAZANSKIY N L, KHONINA S N. Tapered waveguide mode converters for metal-insulator-metal waveguide plasmonic sensors[J]. Measurement, 2023, 211: 112601.
    [22] BUTT M A, PIRAMIDOWICZ R. Orthogonal mode couplers for plasmonic chip based on metal–insulator–metal waveguide for temperature sensing application[J]. Scientific reports, 2024, 14(1): 3474.
    [23] BUTT M A. Plasmonic sensors based on a metal–insulator–metal waveguide—what do we know so far[J]. Sensors, 2024, 24(22): 7158.
    [24] XIANG X X, SUN H Y, CHAI H N, et al. Advances in smartphone-based visual biosensors for immediate detection[J]. Analytical Chemistry, 2024(2): 145-156. (in Chinese).
    [25] ZHANG Z D, LUO L, XUE C Y, et al. Fano resonance based on metal-insulator-metal waveguide-coupled double rectangular cavities for plasmonic nanosensors[J]. Sensors, 2016, 16(5): 642.
    [26] ZHANG Z Y, WANG J D, ZHAO Y N, et al. Numerical investigation of a branch-shaped filter based on metal-insulator-metal waveguide[J]. Plasmonics, 2011, 6(4): 773-778.
    [27] KEKATPURE R D, HRYCIW A C, BARNARD E S, et al. Solving dielectric and plasmonic waveguide dispersion relations on a pocket calculator[J]. Optics Express, 2009, 17(26): 24112-24129.
  • 加载中
图(8)
计量
  • 文章访问数:  172
  • HTML全文浏览量:  79
  • PDF下载量:  28
  • 被引次数: 0
出版历程
  • 收稿日期:  2025-03-06
  • 修回日期:  2025-03-13
  • 录用日期:  2025-04-08
  • 网络出版日期:  2025-05-21

目录

    /

    返回文章
    返回
    Baidu
    map