2020 Vol. 13, No. 3
column
2020, 13(3): 427-441.
doi: 10.3788/CO.2020-0028
Abstract:
All-solid-state deep ultraviolet coherent light sources have important applications in frontier science, high technology and many other fields. An effective and feasible technical approach is to use commercially available visible and near-infrared all-solid-state lasers as the fundamental frequency light source to generate a deep ultraviolet laser through cascaded frequency conversion using nonlinear optical crystals. This paper reviews the research progress of deep ultraviolet nonlinear optical crystals and all-solid-state deep ultraviolet coherent light sources. Taking KBBF crystals as the representative example, their discovery, crystal growth, corresponding prism-coupled device technology, main optical properties, and ability to generate deep ultraviolet coherent light are each introduced. It was proven that KBBF crystals are excellent nonlinear optical crystals that can achieve deep ultraviolet laser output through direct frequency doubling. The applications of deep ultraviolet coherent light sources based on KBBF crystals and prism-coupled technology are discussed, with special focus given to ultra-high resolution photoelectron spectrometers. Finally, the future direction of the development of deep ultraviolet nonlinear optical crystals and all-solid-state deep ultraviolet laser technology are given.
All-solid-state deep ultraviolet coherent light sources have important applications in frontier science, high technology and many other fields. An effective and feasible technical approach is to use commercially available visible and near-infrared all-solid-state lasers as the fundamental frequency light source to generate a deep ultraviolet laser through cascaded frequency conversion using nonlinear optical crystals. This paper reviews the research progress of deep ultraviolet nonlinear optical crystals and all-solid-state deep ultraviolet coherent light sources. Taking KBBF crystals as the representative example, their discovery, crystal growth, corresponding prism-coupled device technology, main optical properties, and ability to generate deep ultraviolet coherent light are each introduced. It was proven that KBBF crystals are excellent nonlinear optical crystals that can achieve deep ultraviolet laser output through direct frequency doubling. The applications of deep ultraviolet coherent light sources based on KBBF crystals and prism-coupled technology are discussed, with special focus given to ultra-high resolution photoelectron spectrometers. Finally, the future direction of the development of deep ultraviolet nonlinear optical crystals and all-solid-state deep ultraviolet laser technology are given.
2020, 13(3): 442-450.
doi: 10.3788/CO.2019-0161
Abstract:
A primary mirror for a high-power laser incoherent combining system was designed and analyzed. Firstly, the material and the thickness of the primary mirror, it's supporting way and it's lightweight scheme were determined through theoretical analysis. Then, the thermal deformation of the primary mirror was calculated by the finite element method, and the topology optimization was executed according to thermal deformation results. Finally, the impact of gravity, base frequency and ambient temperature on the P-V value of the primary mirror was analyzed. The calculation results show that the temperature rise ΔT and the P-V value of the primary mirror gradually increase when irradiated by six lasers with a power of 10 kW over a greater amount of time. When laser irradiation time reaches 3 min, the temperature rise ΔT and the P-V value of the unoptimized primary mirror are 83.4 ℃ and 155 nm respectively, resulting in thermal deformation values in the irradiated area that are inconsistently affecting by the structure. Its D-value was about 1/6 that of the primary mirror. After topology optimization, the lightweight rate of the primary mirror was 54.5%, the thermal deformation value in the laser-irradiated area was consistent, and the P-V value of the primary mirror reduced to 1/3. The gravity deformation value of the primary mirror at different pitching angles was basically the same and the maximum P-V value was less than 10 nm. The ambient temperature causes distortion and defocus aberration, and with an increase in ambient temperature, the aberration grows. Modal analysis shows that the base frequency of the primary mirror meets the system requirement. These conclusions have a referential value for high power laser incoherent combining systems.
A primary mirror for a high-power laser incoherent combining system was designed and analyzed. Firstly, the material and the thickness of the primary mirror, it's supporting way and it's lightweight scheme were determined through theoretical analysis. Then, the thermal deformation of the primary mirror was calculated by the finite element method, and the topology optimization was executed according to thermal deformation results. Finally, the impact of gravity, base frequency and ambient temperature on the P-V value of the primary mirror was analyzed. The calculation results show that the temperature rise ΔT and the P-V value of the primary mirror gradually increase when irradiated by six lasers with a power of 10 kW over a greater amount of time. When laser irradiation time reaches 3 min, the temperature rise ΔT and the P-V value of the unoptimized primary mirror are 83.4 ℃ and 155 nm respectively, resulting in thermal deformation values in the irradiated area that are inconsistently affecting by the structure. Its D-value was about 1/6 that of the primary mirror. After topology optimization, the lightweight rate of the primary mirror was 54.5%, the thermal deformation value in the laser-irradiated area was consistent, and the P-V value of the primary mirror reduced to 1/3. The gravity deformation value of the primary mirror at different pitching angles was basically the same and the maximum P-V value was less than 10 nm. The ambient temperature causes distortion and defocus aberration, and with an increase in ambient temperature, the aberration grows. Modal analysis shows that the base frequency of the primary mirror meets the system requirement. These conclusions have a referential value for high power laser incoherent combining systems.
2020, 13(3): 451-458.
doi: 10.3788/CO.2019-0152
Abstract:
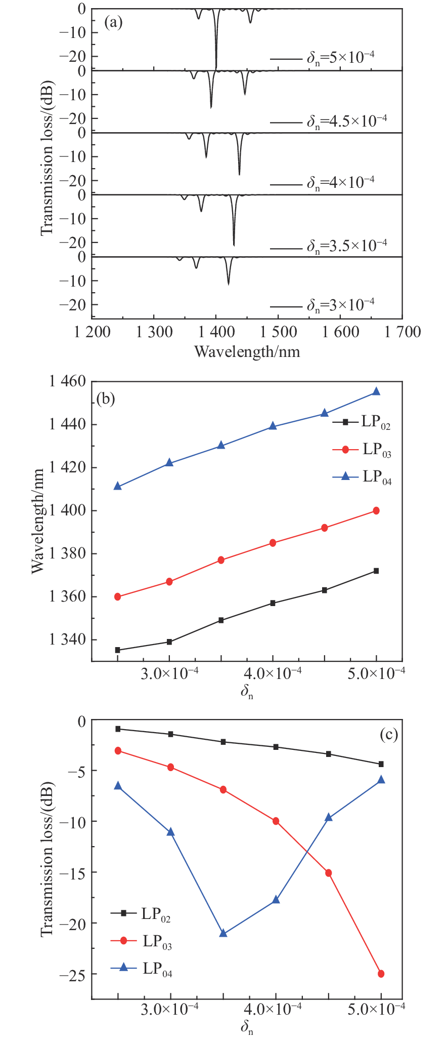
Based on the coupled-mode theory, the equation for the transmission spectrum of Long Period Fiber Gratings (LPFGs) is solved by using the transmission matrix method and the relationship between the spectral characteristics of LPFGs and grating parameters (such as grating period, writing length and the depth of refractive index modulation) is simulated. The results show that the resonant wavelength of LPFGs is red-shifted with an increase in the grating period and refractive index modulation depth, and that the resonant wavelength with higher-order mode is relatively more sensitive on the grating period. At the same time, the change in the spectral bandwidth mainly depends on the writing length of the grating. The bandwidth narrows gradually with an increase in the length of the grating and over-coupling occurs when the grating length is higher than 5.2 cm. With an increase in the refractive index modulation depth, the grating has the phenomena of incomplete coupling, complete coupling and over-coupling, and the position of the maximum resonance loss will gradually transfer to the lower-order mode. The results of this research have important referential significance for the theoretical research of LPFGs and parameter designs in practical applications.
Based on the coupled-mode theory, the equation for the transmission spectrum of Long Period Fiber Gratings (LPFGs) is solved by using the transmission matrix method and the relationship between the spectral characteristics of LPFGs and grating parameters (such as grating period, writing length and the depth of refractive index modulation) is simulated. The results show that the resonant wavelength of LPFGs is red-shifted with an increase in the grating period and refractive index modulation depth, and that the resonant wavelength with higher-order mode is relatively more sensitive on the grating period. At the same time, the change in the spectral bandwidth mainly depends on the writing length of the grating. The bandwidth narrows gradually with an increase in the length of the grating and over-coupling occurs when the grating length is higher than 5.2 cm. With an increase in the refractive index modulation depth, the grating has the phenomena of incomplete coupling, complete coupling and over-coupling, and the position of the maximum resonance loss will gradually transfer to the lower-order mode. The results of this research have important referential significance for the theoretical research of LPFGs and parameter designs in practical applications.
2020, 13(3): 459-471.
doi: 10.3788/CO.2019-0123
Abstract:
Infrared polarization imaging is advantageous for its ability to enhance image contrast and identify true-false targets. In order to improve detection and identification probability, it is necessary to accurately obtain the infrared radiation polarization properties of the targets. However, the traditional analytical model of infrared radiation polarization ignores the shadowing effect caused by rough surfaces. Based on the surface microelement bidirectional reflectance distribution function and by using a Muller matrix, the stocks analytical model of the infrared radiation polarization degree of the rough surface is constructed with a shadowing function. The effects of the incident angle and the surface roughness on the polarization of the metallic and nonmetallic targets are analyzed quantitatively. The analysis results show that the polarization degree of infrared spontaneous radiation decreases with an increase in the roughness of both the metal and the nonmetal, and the decrease of polarization degree of nonmetallic is greater than that of metal. Under the same roughness and temperature, the degree of polarization of the infrared radiation of the metal is always greater than that of the nonmetal. The polarization degree of infrared radiation firstly increases with the incident angle, and reaches a peak value within a specific range of incident angle, and then decreases dramatically. The difference in the degree of polarization between the metallic and nonmetallic infrared radiation reaches a maximum within a certain range of incident angle. This property is useful for distinguishing the metal and nonmetal. Finally, a long-wave infrared micro-polarization imaging system and near-infrared polarization imaging system are used to collect different images. The infrared radiation polarization properties of the targets are reasonably consistent with the results of the theoretical analysis. This research is of great significance for analyzing the polarization properties of real targets, designing infrared polarization systems and processing polarization images.
Infrared polarization imaging is advantageous for its ability to enhance image contrast and identify true-false targets. In order to improve detection and identification probability, it is necessary to accurately obtain the infrared radiation polarization properties of the targets. However, the traditional analytical model of infrared radiation polarization ignores the shadowing effect caused by rough surfaces. Based on the surface microelement bidirectional reflectance distribution function and by using a Muller matrix, the stocks analytical model of the infrared radiation polarization degree of the rough surface is constructed with a shadowing function. The effects of the incident angle and the surface roughness on the polarization of the metallic and nonmetallic targets are analyzed quantitatively. The analysis results show that the polarization degree of infrared spontaneous radiation decreases with an increase in the roughness of both the metal and the nonmetal, and the decrease of polarization degree of nonmetallic is greater than that of metal. Under the same roughness and temperature, the degree of polarization of the infrared radiation of the metal is always greater than that of the nonmetal. The polarization degree of infrared radiation firstly increases with the incident angle, and reaches a peak value within a specific range of incident angle, and then decreases dramatically. The difference in the degree of polarization between the metallic and nonmetallic infrared radiation reaches a maximum within a certain range of incident angle. This property is useful for distinguishing the metal and nonmetal. Finally, a long-wave infrared micro-polarization imaging system and near-infrared polarization imaging system are used to collect different images. The infrared radiation polarization properties of the targets are reasonably consistent with the results of the theoretical analysis. This research is of great significance for analyzing the polarization properties of real targets, designing infrared polarization systems and processing polarization images.
2020, 13(3): 472-481.
doi: 10.3788/CO.2019-0154
Abstract:
The distance between a laser communication ground test platform and the terminal under test is far less than the actual communication distance due to space limitations. As a result, the backscattered stray light generated by the test platform optical device will enter the terminal under test, and the signal will seriously affect the performance of the terminal under test. Aiming at this problem, we research the isolation relationship between the tested terminal and the test platform based on the optical interference problem. The Cassegrain and off-axis three-mirror optical antenna are designed respectively. According to astigmatic transmission model, the stray light analysis software is employed to analyze the influence of optical antenna's structure and surface roughness on the isolation. The results of the analysis show that the isolation when applying the off-axis three-mirror optical antenna is significantly higher than that applying the Cassegrain optical antenna, and that this isolation increases with a decrease in the roughness of the optical surface. When the optical surface's roughness reaches 0.892 nm, the isolation is −86.22 dB. Finally, the relationship between the ABg model and the Harvey model parameters is derived. According to calculation formula of the roughness and TIS, the ABg model parameters with roughness of 0.7 nm and 0.5 nm are theoretically obtained. The isolation between the terminals is −94.39 dB and −97.3 dB, achieving an isolation rating of −90 dB.
The distance between a laser communication ground test platform and the terminal under test is far less than the actual communication distance due to space limitations. As a result, the backscattered stray light generated by the test platform optical device will enter the terminal under test, and the signal will seriously affect the performance of the terminal under test. Aiming at this problem, we research the isolation relationship between the tested terminal and the test platform based on the optical interference problem. The Cassegrain and off-axis three-mirror optical antenna are designed respectively. According to astigmatic transmission model, the stray light analysis software is employed to analyze the influence of optical antenna's structure and surface roughness on the isolation. The results of the analysis show that the isolation when applying the off-axis three-mirror optical antenna is significantly higher than that applying the Cassegrain optical antenna, and that this isolation increases with a decrease in the roughness of the optical surface. When the optical surface's roughness reaches 0.892 nm, the isolation is −86.22 dB. Finally, the relationship between the ABg model and the Harvey model parameters is derived. According to calculation formula of the roughness and TIS, the ABg model parameters with roughness of 0.7 nm and 0.5 nm are theoretically obtained. The isolation between the terminals is −94.39 dB and −97.3 dB, achieving an isolation rating of −90 dB.
2020, 13(3): 482-491.
doi: 10.3788/CO.2019-0128
Abstract:
In order to realize fast, on-line, non-destructive testing of the Soluble Solids Content (SSC) of apples from different origins, and to reduce the effect of origin variability on NIR models, a universal model for predicting the SSC of apples from different origins is established. Firstly, the diffuse transmission spectra of Fuji apples from Qixia, Luochuan and Huining are collected with fruit dynamic online detection equipment. Then, 58 characteristic variables are selected and a UVE-PLS universal model for predicting the SSC of apples is established using the Partial Least Squares (PLS) algorithm combined with Uninformative Variable Elimination (UVE). The root mean square errors of single-origin prediction sets and the total-origin prediction set are 0.50~0.74° Brix and 0.63° Brix, respectively, which increase by 23.2%~44.4% and 35.7% respectively compared to the original individual model. Finally, a new external sample set is used to assess the performance of the model, showing a residual prediction deviation of 2.33 and ratios of the predicted values within the error range of ±1.0° Brix and ±1.5° Brix of 85% and 100%, respectively. Experimental results indicate that the establishment of a universal model for on-line detection of the SSC of apples, including those from multiple origins can improve the robustness of predicting the SSC of the samples from other origins. The results also show that an appropriate wavelength screening method can simplify the model. The development of a common model for the internal quality of fruit from different origins has strong potential for applications in wavelength-limited spectroscopy equipment.
In order to realize fast, on-line, non-destructive testing of the Soluble Solids Content (SSC) of apples from different origins, and to reduce the effect of origin variability on NIR models, a universal model for predicting the SSC of apples from different origins is established. Firstly, the diffuse transmission spectra of Fuji apples from Qixia, Luochuan and Huining are collected with fruit dynamic online detection equipment. Then, 58 characteristic variables are selected and a UVE-PLS universal model for predicting the SSC of apples is established using the Partial Least Squares (PLS) algorithm combined with Uninformative Variable Elimination (UVE). The root mean square errors of single-origin prediction sets and the total-origin prediction set are 0.50~0.74° Brix and 0.63° Brix, respectively, which increase by 23.2%~44.4% and 35.7% respectively compared to the original individual model. Finally, a new external sample set is used to assess the performance of the model, showing a residual prediction deviation of 2.33 and ratios of the predicted values within the error range of ±1.0° Brix and ±1.5° Brix of 85% and 100%, respectively. Experimental results indicate that the establishment of a universal model for on-line detection of the SSC of apples, including those from multiple origins can improve the robustness of predicting the SSC of the samples from other origins. The results also show that an appropriate wavelength screening method can simplify the model. The development of a common model for the internal quality of fruit from different origins has strong potential for applications in wavelength-limited spectroscopy equipment.
2020, 13(3): 492-500.
doi: 10.3788/CO.2019-0112
Abstract:
Under simulated physiological conditions (pH=7.40), the interaction between tyrosine (Tyr) residue and tryptophan (Trp) residue in lysozyme (LYSO) and cefoxitin sodium (CFXS) was studied using synchronous fluorescence spectroscopy. The results showed that CFXS quenched the fluorescence of Tyr and Trp residue in LYSO by static quenching, and that the number of binding sites n was nearly 1. At 310 K, the fluorescence quenching ratio of CFXS with Trp residue NSFQR(Trp)(60.25%) was higher than that of NSFQR(Tyr)(39.75%), indicating that the binding position was closer to the Trp residue. The Hill coefficient nH was about 1, indicating that the binding of CFXS to the Tyr and Trp residues in LYSO did not affect the binding of subsequent ligands to proteins. The drug binding rate of CFXS to Tyr residue in LYSO was 0.19% to 0.13%, and the drug′s binding rate to Trp residue was 0.23% to 0.14%, respectively. The content of the free drug was almost unchanged. The results showed that the combination of Tyr and Trp residue in LYSO and CFXS did not affect the efficacy of the drug. The protein binding rate of Tyr residue was 52.69% to 54.67%, and the protein binding rate of Trp residue was 67.67% to 69.39%, implying the amount of free amino acid residue in the protein decreased significantly. The main force of the CFXS-LYSO binding system was a hydrophobic interaction. The results of molecular docking showed that there was still a hydrogen bond between the CFXS and LYSO, and the best binding position was near to the active center of the LYSO. The combination of the two substances changed the microenvironment for the amino acid residue at the active center.
Under simulated physiological conditions (pH=7.40), the interaction between tyrosine (Tyr) residue and tryptophan (Trp) residue in lysozyme (LYSO) and cefoxitin sodium (CFXS) was studied using synchronous fluorescence spectroscopy. The results showed that CFXS quenched the fluorescence of Tyr and Trp residue in LYSO by static quenching, and that the number of binding sites n was nearly 1. At 310 K, the fluorescence quenching ratio of CFXS with Trp residue NSFQR(Trp)(60.25%) was higher than that of NSFQR(Tyr)(39.75%), indicating that the binding position was closer to the Trp residue. The Hill coefficient nH was about 1, indicating that the binding of CFXS to the Tyr and Trp residues in LYSO did not affect the binding of subsequent ligands to proteins. The drug binding rate of CFXS to Tyr residue in LYSO was 0.19% to 0.13%, and the drug′s binding rate to Trp residue was 0.23% to 0.14%, respectively. The content of the free drug was almost unchanged. The results showed that the combination of Tyr and Trp residue in LYSO and CFXS did not affect the efficacy of the drug. The protein binding rate of Tyr residue was 52.69% to 54.67%, and the protein binding rate of Trp residue was 67.67% to 69.39%, implying the amount of free amino acid residue in the protein decreased significantly. The main force of the CFXS-LYSO binding system was a hydrophobic interaction. The results of molecular docking showed that there was still a hydrogen bond between the CFXS and LYSO, and the best binding position was near to the active center of the LYSO. The combination of the two substances changed the microenvironment for the amino acid residue at the active center.
2020, 13(3): 501-509.
doi: 10.3788/CO.2019-0174
Abstract:
To achieve accurate alignment of the imaging keratometer along the optical axis and improve the measurement accuracy of corneal curvature, we design a high precision imaging corneal curvature measurement system. The imaging light source, imaging optical system and interferometry system of the measurement system are studied. A light source is formed using uniform irradiation of the target ring with an LED array; The imaging objective lens adopts a double telephoto lens to enlarge the depth of its field, which is conducive to the measurement of alignment. Meanwhile, the magnification of the imaging objective lens are not affected by the depth of field. By using low coherent interferometry, the distance between the corneal vertex and the measured light source is accurately measured using a grating ruler to monitor the position of the scanning mirror. In this paper, the stability of the imaging objective magnification and the error of the corneal curvature measurement of the system are analyzed, and an experimental prototype is made based on the theory. The designed prototype is used to test the standard corneal simulators and the measurement accuracy of the system is up to ±0.02 mm, which basically meets the requirements of corneal curvature measurement.
To achieve accurate alignment of the imaging keratometer along the optical axis and improve the measurement accuracy of corneal curvature, we design a high precision imaging corneal curvature measurement system. The imaging light source, imaging optical system and interferometry system of the measurement system are studied. A light source is formed using uniform irradiation of the target ring with an LED array; The imaging objective lens adopts a double telephoto lens to enlarge the depth of its field, which is conducive to the measurement of alignment. Meanwhile, the magnification of the imaging objective lens are not affected by the depth of field. By using low coherent interferometry, the distance between the corneal vertex and the measured light source is accurately measured using a grating ruler to monitor the position of the scanning mirror. In this paper, the stability of the imaging objective magnification and the error of the corneal curvature measurement of the system are analyzed, and an experimental prototype is made based on the theory. The designed prototype is used to test the standard corneal simulators and the measurement accuracy of the system is up to ±0.02 mm, which basically meets the requirements of corneal curvature measurement.
2020, 13(3): 510-516.
doi: 10.3788/CO.2019-0107
Abstract:
The angular displacement measurement technology based on image detector is a hot research to realize high-precision and high-resolution angular displacement measurement. In order to improve the robustness of the angular displacement measuring devices, a high precision image displacement measurement device with self-adaptive installation techniques is designed in this paper. The installation and adjustment processes are very simple, and high resolution and high precision measurement output can be guaranteed in the presence of eccentricity in the calibration grating. Firstly, the angle measurement device using dual linear imaging sensors is proposed and a single-ring absolute grating is designed. Then, a high-resolution subdivision algorithm based on a centroid algorithm is used to subdivide the image, and dual linear image sensors are used to compensate for the angle measurement error. Finally, an experimental device is designed to test the performance of the adaptive installation. Experiments show that when the eccentricity of the grating is within ±1 mm, the designed device can achieve highly precise angular displacement measurements with high resolution. The device designed in this paper guarantee the output accuracy when the grating has an installation eccentricity of ±1 mm, which lays a foundation for improving the adaptability of small angular displacement measuring devices.
The angular displacement measurement technology based on image detector is a hot research to realize high-precision and high-resolution angular displacement measurement. In order to improve the robustness of the angular displacement measuring devices, a high precision image displacement measurement device with self-adaptive installation techniques is designed in this paper. The installation and adjustment processes are very simple, and high resolution and high precision measurement output can be guaranteed in the presence of eccentricity in the calibration grating. Firstly, the angle measurement device using dual linear imaging sensors is proposed and a single-ring absolute grating is designed. Then, a high-resolution subdivision algorithm based on a centroid algorithm is used to subdivide the image, and dual linear image sensors are used to compensate for the angle measurement error. Finally, an experimental device is designed to test the performance of the adaptive installation. Experiments show that when the eccentricity of the grating is within ±1 mm, the designed device can achieve highly precise angular displacement measurements with high resolution. The device designed in this paper guarantee the output accuracy when the grating has an installation eccentricity of ±1 mm, which lays a foundation for improving the adaptability of small angular displacement measuring devices.
2020, 13(3): 517-526.
doi: 10.3788/CO.2019-0166
Abstract:
With regards to the safety of solid-state area array lidars, in order to improve the energy uniformity of imaging plane and increase the energy received by the optical system, this paper works to ensure a low signal-to-noise ratio and the detectability of a target. The optical parameters are given by modeling the emitted and received laser energy. The factors affecting the image plane's illumination in the optical receiver are studied and the design elements of optical systems with large fields of view, large relative aperture, and high illumination uniformity are described. Through ZEMAX optimization analysis, a detailed implementation process is then provided. A lidar receiving lens with λ = 905 (±5) nm, a focal length of 15 mm, a relative aperture of 1/1.4, and a field of view 2ω = 76° was designed. The total system length was less than 77 mm, and the MTF value at the spatial frequency of 20 lp/mm was greater than 0.5. The relative distortion at the 0.85 field of view was less than 8% and the unevenness of the image plane illumination was less than 7.2%.This design meets the requirements for lidar detection.
With regards to the safety of solid-state area array lidars, in order to improve the energy uniformity of imaging plane and increase the energy received by the optical system, this paper works to ensure a low signal-to-noise ratio and the detectability of a target. The optical parameters are given by modeling the emitted and received laser energy. The factors affecting the image plane's illumination in the optical receiver are studied and the design elements of optical systems with large fields of view, large relative aperture, and high illumination uniformity are described. Through ZEMAX optimization analysis, a detailed implementation process is then provided. A lidar receiving lens with λ = 905 (±5) nm, a focal length of 15 mm, a relative aperture of 1/1.4, and a field of view 2ω = 76° was designed. The total system length was less than 77 mm, and the MTF value at the spatial frequency of 20 lp/mm was greater than 0.5. The relative distortion at the 0.85 field of view was less than 8% and the unevenness of the image plane illumination was less than 7.2%.This design meets the requirements for lidar detection.
2020, 13(3): 527-536.
doi: 10.3788/CO.2019-0120
Abstract:
Aiming at the problems of low accuracy, high artificial interference and high data quality requirements of the current spatial infrared dim target state perception, a new deep learning-based discrimination algorithm is proposed. Firstly, the state change of weak spatial infrared dim target is analyzed and a special data set is established. Then, a convolutional neural network dedicated to target state perception is established and adjustments are made in its local annotations and adaptive threshold. Finally, simulation data is generated from the target's radiation intensity information that was collected in the laboratory and is used to train and test the algorithm. A target state perception evaluation indexing system is established to evaluate the experimental results. The experimental results show that the accuracy of this method is 98.27% when the continuous complete radiation intensity information is inputted. When the radiation intensity information of the segment is inputted, the accuracy of each state is greater than 90%. This algorithm makes up for the shortcomings of current methods, which are not sensitive to low false alarm rates and incomplete target information. It improves detection speed and accuracy and better satisfies the demand for spatial infrared weak target sensing tasks.
Aiming at the problems of low accuracy, high artificial interference and high data quality requirements of the current spatial infrared dim target state perception, a new deep learning-based discrimination algorithm is proposed. Firstly, the state change of weak spatial infrared dim target is analyzed and a special data set is established. Then, a convolutional neural network dedicated to target state perception is established and adjustments are made in its local annotations and adaptive threshold. Finally, simulation data is generated from the target's radiation intensity information that was collected in the laboratory and is used to train and test the algorithm. A target state perception evaluation indexing system is established to evaluate the experimental results. The experimental results show that the accuracy of this method is 98.27% when the continuous complete radiation intensity information is inputted. When the radiation intensity information of the segment is inputted, the accuracy of each state is greater than 90%. This algorithm makes up for the shortcomings of current methods, which are not sensitive to low false alarm rates and incomplete target information. It improves detection speed and accuracy and better satisfies the demand for spatial infrared weak target sensing tasks.
2020, 13(3): 537-546.
doi: 10.3788/CO.2019-0176
Abstract:
In order to improve the energy utilization efficiency of the optical antenna and realize the space laser communication networking, we study the mirror linkage tracking control technology. The principle of system composition is described, and a mirror linkage tracking control strategy based on a single-detector multi-actuator is discussed in detail. By analyzing the energy of a laser link, its linkage tracking constraints and error requirements are obtained. A mathematical model of double mirror linkage tracking is established. The servo controller is designed and simulated, and the prototype is built to test its tracking performance. The experimental results show that the system can track the target stably, the tracking target accuracy is better than 83 μrad, the double mirror linkage accuracy is better than 26 μrad and the received optical power of the system is significantly improved. The research in this paper lays a foundation for space one-to-many laser communication link networking.
In order to improve the energy utilization efficiency of the optical antenna and realize the space laser communication networking, we study the mirror linkage tracking control technology. The principle of system composition is described, and a mirror linkage tracking control strategy based on a single-detector multi-actuator is discussed in detail. By analyzing the energy of a laser link, its linkage tracking constraints and error requirements are obtained. A mathematical model of double mirror linkage tracking is established. The servo controller is designed and simulated, and the prototype is built to test its tracking performance. The experimental results show that the system can track the target stably, the tracking target accuracy is better than 83 μrad, the double mirror linkage accuracy is better than 26 μrad and the received optical power of the system is significantly improved. The research in this paper lays a foundation for space one-to-many laser communication link networking.
2020, 13(3): 547-557.
doi: 10.3788/CO.2019-0157
Abstract:
We propose a design for a large-field two-mirror afocal optical antenna based on an off-axis freeform surface to improve the working range of space laser communication systems and simplify the structure of optical systems. The optical antenna adopts an afocal structure without using collimating lens elements, which can greatly simplify the system structure, overcome the problems of traditional focusing optical antennae such as them being too large in volume or having a power density that is too high at the focus when using high power light source. First, based on third-order aberration theory, the aberration-free formula of this class of two-mirror afocal optical antenna is derived, and relative results are analyzed. Then, an afocal optical antenna is designed according to the analyzed results and practical requirements. The effective aperture of the system is 100 mm, the magnification is 5, the range of the wavelength is 500~1 100 nm, the full field of view is 0.6°, the primary mirror is part of the concave paraboloid and the secondary mirror is a freeform surface characterized by XY polynomials. MATLAB software is used to simulate the freeform surface of the secondary mirror. The design results show that the total field of view wavefront error of the optical system is better than λ/14 (λ=500 nm), the Strehl ratio is greater than 0.8, the system has a higher energy concentration, and the image quality is close to the diffraction limit. The field of view of the freeform surface optical system increased by 26.7% compared with that using traditional conic surface system. Therefore, this antenna structure is highly applicable and shows strong prospects for development in the field of laser communication.
We propose a design for a large-field two-mirror afocal optical antenna based on an off-axis freeform surface to improve the working range of space laser communication systems and simplify the structure of optical systems. The optical antenna adopts an afocal structure without using collimating lens elements, which can greatly simplify the system structure, overcome the problems of traditional focusing optical antennae such as them being too large in volume or having a power density that is too high at the focus when using high power light source. First, based on third-order aberration theory, the aberration-free formula of this class of two-mirror afocal optical antenna is derived, and relative results are analyzed. Then, an afocal optical antenna is designed according to the analyzed results and practical requirements. The effective aperture of the system is 100 mm, the magnification is 5, the range of the wavelength is 500~1 100 nm, the full field of view is 0.6°, the primary mirror is part of the concave paraboloid and the secondary mirror is a freeform surface characterized by XY polynomials. MATLAB software is used to simulate the freeform surface of the secondary mirror. The design results show that the total field of view wavefront error of the optical system is better than λ/14 (λ=500 nm), the Strehl ratio is greater than 0.8, the system has a higher energy concentration, and the image quality is close to the diffraction limit. The field of view of the freeform surface optical system increased by 26.7% compared with that using traditional conic surface system. Therefore, this antenna structure is highly applicable and shows strong prospects for development in the field of laser communication.
2020, 13(3): 558-567.
doi: 10.3788/CO.2019-0207
Abstract:
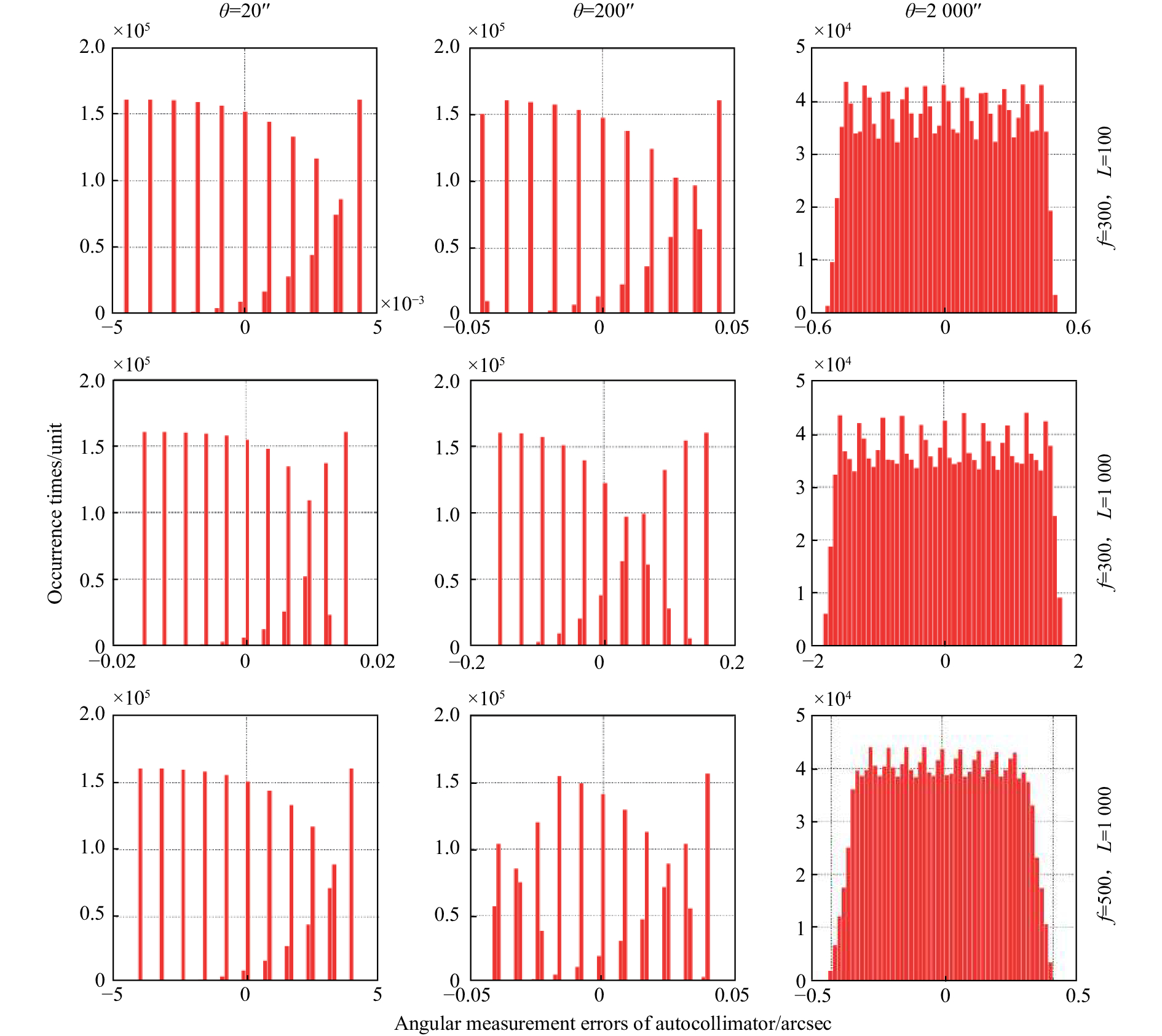
As one of the key errors in autocollimators, misalignment of the photodetector is analyzed and modeled carefully in this paper. Effect of misalignment of the photodetector on angle measurements is characterized, when the photodetector in any position and orientation in space with respect to the theoretical image plane of autocollimators. It is shown that the angular measurement errors of autocollimators induced by a misaligned photodetector increase with greater measuring range L, larger angle θ and smaller focal length f of the collimating object lens. When f=300 mm, L=100 mm, θ=20″, the angular measurement error caused by a misaligned photodetector is 0.004 5″. The effects of each photodetector misalignment error on angle measurements in autocollimators are characterized. The model proposed in this paper is validated. Among all kinds of photodetector misalignment errors, the defocusing error has the greatest influences on autocollimators. Hence, it is critical to choose an imaging objective with longer focal length, reduce the measurement distance, and improve the installation accuracy of the photodetector along the axis. The model proposed in this paper helps to systematically obtain the angular measurement errors caused by a misaligned photodetector, which will play a key role in building a better error analysis model for autocollimators.
As one of the key errors in autocollimators, misalignment of the photodetector is analyzed and modeled carefully in this paper. Effect of misalignment of the photodetector on angle measurements is characterized, when the photodetector in any position and orientation in space with respect to the theoretical image plane of autocollimators. It is shown that the angular measurement errors of autocollimators induced by a misaligned photodetector increase with greater measuring range L, larger angle θ and smaller focal length f of the collimating object lens. When f=300 mm, L=100 mm, θ=20″, the angular measurement error caused by a misaligned photodetector is 0.004 5″. The effects of each photodetector misalignment error on angle measurements in autocollimators are characterized. The model proposed in this paper is validated. Among all kinds of photodetector misalignment errors, the defocusing error has the greatest influences on autocollimators. Hence, it is critical to choose an imaging objective with longer focal length, reduce the measurement distance, and improve the installation accuracy of the photodetector along the axis. The model proposed in this paper helps to systematically obtain the angular measurement errors caused by a misaligned photodetector, which will play a key role in building a better error analysis model for autocollimators.
2020, 13(3): 568-576.
doi: 10.3788/CO.2019-0215
Abstract:
The general cross-calibration method uses the ordinary least square method to regress the calibration coefficient by data points selected after time, spatial, observation geometrics and spectral collocation. However, the ordinary least square algorithm would reduce the validity of the regressed result because of ignoring the differences in quality between each data point. An optimized method based on the calculation of uncertainty was proposed. This uncertainty analysis method was used to quantify the uncertainty of the radiation standard value for each data point, and their weight factors were calculated. The weighted least square method was used to regress the calibration coefficient. Using HYPERION as a radiance standard, the calibration coefficients of MODIS channels 1 to 7 were each regressed using the ordinary least squares method and the weighted least squares method. The regressed coefficients were compared with the official calibration coefficient. The results show that the calibration coefficients calculated using the weighted least squares method were closer to the official coefficients of MODIS channels 1, 2, 4, 5, 6, and 7. The maximum relative error reduced to 3%~5% and the average relative error decreased to 0.5%~1.5% compared with the ordinary least squares method, which indicates that the weighted least squares method proposed in this paper can further improve the calculation accuracy of cross-calibration.
The general cross-calibration method uses the ordinary least square method to regress the calibration coefficient by data points selected after time, spatial, observation geometrics and spectral collocation. However, the ordinary least square algorithm would reduce the validity of the regressed result because of ignoring the differences in quality between each data point. An optimized method based on the calculation of uncertainty was proposed. This uncertainty analysis method was used to quantify the uncertainty of the radiation standard value for each data point, and their weight factors were calculated. The weighted least square method was used to regress the calibration coefficient. Using HYPERION as a radiance standard, the calibration coefficients of MODIS channels 1 to 7 were each regressed using the ordinary least squares method and the weighted least squares method. The regressed coefficients were compared with the official calibration coefficient. The results show that the calibration coefficients calculated using the weighted least squares method were closer to the official coefficients of MODIS channels 1, 2, 4, 5, 6, and 7. The maximum relative error reduced to 3%~5% and the average relative error decreased to 0.5%~1.5% compared with the ordinary least squares method, which indicates that the weighted least squares method proposed in this paper can further improve the calculation accuracy of cross-calibration.
2020, 13(3): 577-585.
doi: 10.3788/CO.2019-0159
Abstract:
The physical mechanism are studied for ultra-short pulse CO2 laser output realized by semiconductor switching technology. Firstly, based on the analysis of the generation, recombination and diffusion mechanism of laser-produced carriers, we introduce direct absorption, Auger recombination, plasmon-assisted recombination, an ambipolar diffusion process and according to Drude theory, we improve the theoretical model of semiconductor switching. Secondly, we simulate and analyze the generation of ultra-short CO2 pulses by two-stage semiconductor optical switches employing this model. The results show that the model is in good agreement with the latest experimental results reported abroad, which implies the rationality and correctness of the model. Finally, the model is used to analyze the effect of control pulse duration on the efficiency of the two-stage switching. It is found that a short control pulse is more conducive to intercepting high-quality ultra-short CO2 pulses accurately and efficiently. Semiconductor switching is an effective technique to realize the output of an ultra-short CO2 laser with an adjustable pulse width.
The physical mechanism are studied for ultra-short pulse CO2 laser output realized by semiconductor switching technology. Firstly, based on the analysis of the generation, recombination and diffusion mechanism of laser-produced carriers, we introduce direct absorption, Auger recombination, plasmon-assisted recombination, an ambipolar diffusion process and according to Drude theory, we improve the theoretical model of semiconductor switching. Secondly, we simulate and analyze the generation of ultra-short CO2 pulses by two-stage semiconductor optical switches employing this model. The results show that the model is in good agreement with the latest experimental results reported abroad, which implies the rationality and correctness of the model. Finally, the model is used to analyze the effect of control pulse duration on the efficiency of the two-stage switching. It is found that a short control pulse is more conducive to intercepting high-quality ultra-short CO2 pulses accurately and efficiently. Semiconductor switching is an effective technique to realize the output of an ultra-short CO2 laser with an adjustable pulse width.
2020, 13(3): 586-594.
doi: 10.3788/CO.2019-0139
Abstract:
For large-aperture ground-based open-structure solar telescopes, an increase in heat-stop temperature will result in deterioration of image quality. In particular, heat-stop, located closely to the light-passing hole, has a great influence on image quality. This is one of the problems for the Chinese Giant Solar Telescope (CGST) development plan. For solving the heat-stop temperature control problem, the overall cooling efficiency should be high and further strengthen is implemented at key locations to achieve uniform temperature control. According to the above problem, an Inverted-Cone Diversion Type (ICDT) heat-stop design is proposed, which can reduce the temperature of the light-passing hole and make the hottest area away from the light-passing hole. The simulation results of cooling efficiency and heat-stop temperature field show that this scheme is obviously superior to its predecessor. The temperature of ICDT′s heat-stop is up to 3 ℃ above ambient, which is better than GREGO′s temperature difference of 7 ℃. The research team also carried out the heat-stop temperature field measurement experiment and verified the accuracy of the temperature field simulation′s results showing that ICDT heat-stop design has good temperature control capability.
For large-aperture ground-based open-structure solar telescopes, an increase in heat-stop temperature will result in deterioration of image quality. In particular, heat-stop, located closely to the light-passing hole, has a great influence on image quality. This is one of the problems for the Chinese Giant Solar Telescope (CGST) development plan. For solving the heat-stop temperature control problem, the overall cooling efficiency should be high and further strengthen is implemented at key locations to achieve uniform temperature control. According to the above problem, an Inverted-Cone Diversion Type (ICDT) heat-stop design is proposed, which can reduce the temperature of the light-passing hole and make the hottest area away from the light-passing hole. The simulation results of cooling efficiency and heat-stop temperature field show that this scheme is obviously superior to its predecessor. The temperature of ICDT′s heat-stop is up to 3 ℃ above ambient, which is better than GREGO′s temperature difference of 7 ℃. The research team also carried out the heat-stop temperature field measurement experiment and verified the accuracy of the temperature field simulation′s results showing that ICDT heat-stop design has good temperature control capability.
2020, 13(3): 595-604.
doi: 10.3788/CO.2019-0160
Abstract:
In order to adapt to increasingly complex detection environments and detection requirements, airborne detection platforms often integrate multiple detection systems. As an ideal integration method, the common aperture composite not only combines the advantages of various types of detection systems, but also reduces the total volume of the system and reduces the burden on the platform. In this paper, a Cassegrain-type common-aperture antenna of infrared and Synthetic Aperture Radars (SAR) is calculated and designed. Firstly, the primary mirror is calculated according to the radar design requirements; then, the Cassegrain structure is designed by equations consisting of aberration coefficients and aspheric parameters; next, under the limitation of the front Cassegrain structure, the cold stop parameters and infrared system parameters, the lens parameters of the infrared system are calculated by the aberration formula in PW form. The proposed radar antenna has a diameter of 1.22 m and a gain of 40.9 dB. The infrared system has a focal length of −1 000 mm and a full field of view of 0.704°. The obscuration ratio of the secondary mirror is less than 0.33, and the MTF value is greater than 0.4 for each temperature level at 33 lp/mm. All the parameters of the proposed co-aperture antenna meet the requirements of expected applications.
In order to adapt to increasingly complex detection environments and detection requirements, airborne detection platforms often integrate multiple detection systems. As an ideal integration method, the common aperture composite not only combines the advantages of various types of detection systems, but also reduces the total volume of the system and reduces the burden on the platform. In this paper, a Cassegrain-type common-aperture antenna of infrared and Synthetic Aperture Radars (SAR) is calculated and designed. Firstly, the primary mirror is calculated according to the radar design requirements; then, the Cassegrain structure is designed by equations consisting of aberration coefficients and aspheric parameters; next, under the limitation of the front Cassegrain structure, the cold stop parameters and infrared system parameters, the lens parameters of the infrared system are calculated by the aberration formula in PW form. The proposed radar antenna has a diameter of 1.22 m and a gain of 40.9 dB. The infrared system has a focal length of −1 000 mm and a full field of view of 0.704°. The obscuration ratio of the secondary mirror is less than 0.33, and the MTF value is greater than 0.4 for each temperature level at 33 lp/mm. All the parameters of the proposed co-aperture antenna meet the requirements of expected applications.
2020, 13(3): 605-615.
doi: 10.3788/CO.2019-0147
Abstract:
To meet the requirements of terahertz spectral imaging for wide spectral range, high efficiency and real-time detection of spectrometers, a Multi-depth Phase Modulation Grating (MPMG) in terahertz band is proposed. The phase modulation of incident light is realized by introducing optical path difference resulted from the change of groove depth, so that different regions of reflecting terahertz wave front have different phase information. Based on the analysis of the intensity distribution of the diffraction field of the MPMG, the influence of grating parameters on the distribution of the diffraction field is discussed. The diffraction characteristics of the MPMG are verified by experiments. The experiment results indicate that the measurements of the 0th- and ±1st-order diffraction efficiency at 0.5 and 0.34 THz obtained by experiment and simulation are in good agreement. It suggests that 0th order diffraction of the MPMG has the ability of splitting light.
To meet the requirements of terahertz spectral imaging for wide spectral range, high efficiency and real-time detection of spectrometers, a Multi-depth Phase Modulation Grating (MPMG) in terahertz band is proposed. The phase modulation of incident light is realized by introducing optical path difference resulted from the change of groove depth, so that different regions of reflecting terahertz wave front have different phase information. Based on the analysis of the intensity distribution of the diffraction field of the MPMG, the influence of grating parameters on the distribution of the diffraction field is discussed. The diffraction characteristics of the MPMG are verified by experiments. The experiment results indicate that the measurements of the 0th- and ±1st-order diffraction efficiency at 0.5 and 0.34 THz obtained by experiment and simulation are in good agreement. It suggests that 0th order diffraction of the MPMG has the ability of splitting light.
2020, 13(3): 616-626.
doi: 10.3788/CO.2019-0127
Abstract:
In order to improve the photographic resolution of aerial remote sensing cameras and obtain high-resolution aerial images, besides optical system with high modulation transfer function and high-quality imaging medium, the exposure time of shutter should be controlled correctly to ensure that the detector can obtain an appropriate image motion value. Based on the structure and working principle of the lens shutter of an aerial mapping camera, we establish the matrix relationship between the ground object and the image through coordinate transformation method, that is, the relationship between the exposure time of the shutter and the image motion value is determined. The image motion value and residual error of the image motion are analyzed by combining the parameters of the camera speed-height ratio and the pixel size. According to the different installation modes of the aerial camera, when the residual error of the image motion value is more than 1/3 of a pixel in size, the Image Motion Compensation (IMC) mechanism is necessary to the imaging system. Thus a theoretical basis for the design of the IMC mechanism in an aerial camera is provided. The analysis is validated by a static test and flight test. The test results show that the aerial camera clearly captures images and the spatial resolution of its images reaches 36.8 lp/mm, which meets the requirements of our technical index.
In order to improve the photographic resolution of aerial remote sensing cameras and obtain high-resolution aerial images, besides optical system with high modulation transfer function and high-quality imaging medium, the exposure time of shutter should be controlled correctly to ensure that the detector can obtain an appropriate image motion value. Based on the structure and working principle of the lens shutter of an aerial mapping camera, we establish the matrix relationship between the ground object and the image through coordinate transformation method, that is, the relationship between the exposure time of the shutter and the image motion value is determined. The image motion value and residual error of the image motion are analyzed by combining the parameters of the camera speed-height ratio and the pixel size. According to the different installation modes of the aerial camera, when the residual error of the image motion value is more than 1/3 of a pixel in size, the Image Motion Compensation (IMC) mechanism is necessary to the imaging system. Thus a theoretical basis for the design of the IMC mechanism in an aerial camera is provided. The analysis is validated by a static test and flight test. The test results show that the aerial camera clearly captures images and the spatial resolution of its images reaches 36.8 lp/mm, which meets the requirements of our technical index.
2020, 13(3): 627-636.
doi: 10.3788/CO.2019-0185
Abstract:
Surface plasmon can be produced in graphene in the mid-infrared and terahertz waveband regimes, and the regulation for surface plasmon can be achieved by a reasonable design. On the basis of above, a resonant tunable structure was designed. By depositing single layers of graphene ribbons with different widths on a dielectric substrate, discontinuities in nanoscale were introduced, thereby effectively controlling the interaction of graphene with light. The spectral and electromagnetic field distributions of the structure were theoretically studied using the finite difference time domain method. The results showed that when the designed structure was coupled with the incident light, there would be multiple resonance enhanced absorption peaks. By changing the number, width and distance of the graphene ribbons in each period, the number, position, intensity of the resonance peak can be controlled. In addition, the Fermi energy level of graphene can be changed by applying different bias voltages, so the position and intensity of resonance peak can be adjusted dynamically. Therefore, with this structure graphene plasmon resonance can be regulated over a wide spectral range. This study provides a theoretical basis for the design of the graphene-based sensors, filters and absorbers in infrared regime.
Surface plasmon can be produced in graphene in the mid-infrared and terahertz waveband regimes, and the regulation for surface plasmon can be achieved by a reasonable design. On the basis of above, a resonant tunable structure was designed. By depositing single layers of graphene ribbons with different widths on a dielectric substrate, discontinuities in nanoscale were introduced, thereby effectively controlling the interaction of graphene with light. The spectral and electromagnetic field distributions of the structure were theoretically studied using the finite difference time domain method. The results showed that when the designed structure was coupled with the incident light, there would be multiple resonance enhanced absorption peaks. By changing the number, width and distance of the graphene ribbons in each period, the number, position, intensity of the resonance peak can be controlled. In addition, the Fermi energy level of graphene can be changed by applying different bias voltages, so the position and intensity of resonance peak can be adjusted dynamically. Therefore, with this structure graphene plasmon resonance can be regulated over a wide spectral range. This study provides a theoretical basis for the design of the graphene-based sensors, filters and absorbers in infrared regime.
2020, 13(3): 637-645.
doi: 10.3788/CO.2019-0163
Abstract:
A differential generalized Jones matrix method (dGJM) was recently introduced by Ortega-Quijano and colleagues to derive the GJM for modelling uniaxial and biaxial crystals with arbitrary orientations in laboratory coordinate systems. Later, we propose an eigen generalized Jones matrix method to simulate the phase and polarization of fully polarized light propagating in an anisotropic crystal when the optical axis orientations and light directions are both arbitrary. In our method, we use physics that are equivalent in principle to those of Ortega-Quijano, but we use a modified mathematical technique. We introduce the eigen generalized Jones matrix in the intrinsic coordinate system to precisely calculate the phase and polarization of the light, which overcomes the limitations of the differential generalized Jones matrix method. The simulation results indicate that our method can be used to calculate the polarization distribution, regardless of how the light beam and optical axis positioned, or whether the light beam has a vortex.
A differential generalized Jones matrix method (dGJM) was recently introduced by Ortega-Quijano and colleagues to derive the GJM for modelling uniaxial and biaxial crystals with arbitrary orientations in laboratory coordinate systems. Later, we propose an eigen generalized Jones matrix method to simulate the phase and polarization of fully polarized light propagating in an anisotropic crystal when the optical axis orientations and light directions are both arbitrary. In our method, we use physics that are equivalent in principle to those of Ortega-Quijano, but we use a modified mathematical technique. We introduce the eigen generalized Jones matrix in the intrinsic coordinate system to precisely calculate the phase and polarization of the light, which overcomes the limitations of the differential generalized Jones matrix method. The simulation results indicate that our method can be used to calculate the polarization distribution, regardless of how the light beam and optical axis positioned, or whether the light beam has a vortex.
Abstract
FullText HTML
PDF 2774KB