2020 Vol. 13, No. 6
column
2020, 13(6): 1171-1181.
doi: 10.37188/CO.2020-0033
Abstract:
With its high speed, small size, light-weight and low power consumption, space laser communication has become an indispensable and effective means of high-speed communication between satellites, especially in micro-satellite applications, which can benefit more strongly from the advantages of laser communication. This paper provides a detailed introduction of the latest research progress in the field of micro-satellite laser communication technology. On this basis, key techniques such as light miniaturization of identical orbital terminals, light miniaturization of different orbital terminals and turbulence mitigation technologies are summarized, and the development trends of the technology’s applications, duplex communication, single-point to multi-point, localization and batch production capacity are concluded.
With its high speed, small size, light-weight and low power consumption, space laser communication has become an indispensable and effective means of high-speed communication between satellites, especially in micro-satellite applications, which can benefit more strongly from the advantages of laser communication. This paper provides a detailed introduction of the latest research progress in the field of micro-satellite laser communication technology. On this basis, key techniques such as light miniaturization of identical orbital terminals, light miniaturization of different orbital terminals and turbulence mitigation technologies are summarized, and the development trends of the technology’s applications, duplex communication, single-point to multi-point, localization and batch production capacity are concluded.
2020, 13(6): 1182-1193.
doi: 10.37188/CO.2020-0049
Abstract:
Target detection technology based on laser speckles is a kind of laser detection technology that has been ignored for a long time. In this technology, the laser speckle, which is regarded as noise in the traditional laser detection technology, is used as a new source of information. By analyzing the formation mechanism of a laser speckle pattern, the relationship between the statistical characteristics and the physical characteristics of the target is explored, and the effective analysis and inversion methods are combined to obtain the target’s shape, size, surface roughness and dynamic parameters. Compared with traditional laser detection technology, target detection technology based on laser speckles has a simple structure, has low optical system requirements, is sensitive to the physical and fretting characteristics of the target’s surface, and has been widely used in aerospace, medicine, industry, military and other fields. This paper classifies and summarizes the various kinds of speckle-based target detection technologies from recent years, compares and analyzes their applications, advantages and disadvantages, as well as the environmental restrictions. Finally, this paper prospects the trend for the future development of target detection methods based on laser speckles.
Target detection technology based on laser speckles is a kind of laser detection technology that has been ignored for a long time. In this technology, the laser speckle, which is regarded as noise in the traditional laser detection technology, is used as a new source of information. By analyzing the formation mechanism of a laser speckle pattern, the relationship between the statistical characteristics and the physical characteristics of the target is explored, and the effective analysis and inversion methods are combined to obtain the target’s shape, size, surface roughness and dynamic parameters. Compared with traditional laser detection technology, target detection technology based on laser speckles has a simple structure, has low optical system requirements, is sensitive to the physical and fretting characteristics of the target’s surface, and has been widely used in aerospace, medicine, industry, military and other fields. This paper classifies and summarizes the various kinds of speckle-based target detection technologies from recent years, compares and analyzes their applications, advantages and disadvantages, as well as the environmental restrictions. Finally, this paper prospects the trend for the future development of target detection methods based on laser speckles.
2020, 13(6): 1194-1208.
doi: 10.37188/CO.2020-0032
Abstract:
Segmented mirror technology is one of the three ways to realize optical synthetic aperture telescope, and it is an important area of development for future large aperture telescopes. A telescope’s active control system of its segmented mirrors directly determines its large aperture mirror’s optical performance. This paper focuses on the active control technology of large aperture ground telescopes with segmented mirrors. In this paper, we introduce the development process of a segmented mirror telescope and the main structure of the segmented mirror active control system, then summarize and analyze the domestic and foreign development of active control systems of segmented mirrors. In this paper, the key technologies of segmented mirror active control systems and how they achieve active adjustment and active maintenance are summarized. Their applications and the direction of their development are also proposed with respect to deep learning theory in closed-loop control, co-phase detection and correction, system-level simulation modeling technology. This paper provides guidance for the design of a segmented mirror control system in the next generation of ground-based large aperture telescopes in China.
Segmented mirror technology is one of the three ways to realize optical synthetic aperture telescope, and it is an important area of development for future large aperture telescopes. A telescope’s active control system of its segmented mirrors directly determines its large aperture mirror’s optical performance. This paper focuses on the active control technology of large aperture ground telescopes with segmented mirrors. In this paper, we introduce the development process of a segmented mirror telescope and the main structure of the segmented mirror active control system, then summarize and analyze the domestic and foreign development of active control systems of segmented mirrors. In this paper, the key technologies of segmented mirror active control systems and how they achieve active adjustment and active maintenance are summarized. Their applications and the direction of their development are also proposed with respect to deep learning theory in closed-loop control, co-phase detection and correction, system-level simulation modeling technology. This paper provides guidance for the design of a segmented mirror control system in the next generation of ground-based large aperture telescopes in China.
2020, 13(6): 1209-1223.
doi: 10.37188/CO.2020-0131
Abstract:
The development of ultrafast laser technology has continuously injected new impetus into fundamental research and production, promoted the emergence of new disciplines and technologies. As a new materials welding and joining technique developed in recent years, ultrafast laser welding has attracted extensive attention due to the potential application in the fields of aerospace, precision machinery, optoelectronics, biomedical, etc.. Based on the intrinsic characteristic of non-linear space-selective energy deposition, ultrafast laser welding possesses extremely high material applicability and spatial selectivity, and can realize high-quality space-selective welding involving transparent materials with no need inserting an absorption layer. In this paper, we firstly give an overview on the progress of this field. Then, the physical mechanism, key influencing factors, and application scope of ultrafast laser welding are elaborated. At last, the future development and key challenges of ultrafast laser welding are discussed.
The development of ultrafast laser technology has continuously injected new impetus into fundamental research and production, promoted the emergence of new disciplines and technologies. As a new materials welding and joining technique developed in recent years, ultrafast laser welding has attracted extensive attention due to the potential application in the fields of aerospace, precision machinery, optoelectronics, biomedical, etc.. Based on the intrinsic characteristic of non-linear space-selective energy deposition, ultrafast laser welding possesses extremely high material applicability and spatial selectivity, and can realize high-quality space-selective welding involving transparent materials with no need inserting an absorption layer. In this paper, we firstly give an overview on the progress of this field. Then, the physical mechanism, key influencing factors, and application scope of ultrafast laser welding are elaborated. At last, the future development and key challenges of ultrafast laser welding are discussed.
2020, 13(6): 1224-1238.
doi: 10.37188/CO.2020-0237
Abstract:
Ultra-precision displacement measurement technology is not only the basis of precision machining, but also plays a decisive role in the chip manufacturing industry that is rapidly developing in Moore's Law. The grating displacement measurement system based on the grating pitch is widely used in multidimensional measurement system. Compared with the laser displacement measurement system, grating displacement measurement system greatly reduces the environmental requirements for humidity, temperature and pressure. In this paper, the development status of the optical structure of displacement sensing system based on two-dimensional grating in recent years is introduced. The principles of zero-difference and heterodyne grating interferometrys are introduced. The optical structure based on single-block two-dimensional grating is reviewed. The development history of the optical structure in single-block two-dimensional grating to coupling designs of multi-block two-dimensional gratings is summarized, the advantages and disadvantages of several two-dimensional grating displacement measurement systems are compared and analyzed, and the development trend of two-dimensional grating displacement measurement system is prospected. The engineering process of two-dimensional grating displacement measurement system is summarized.
Ultra-precision displacement measurement technology is not only the basis of precision machining, but also plays a decisive role in the chip manufacturing industry that is rapidly developing in Moore's Law. The grating displacement measurement system based on the grating pitch is widely used in multidimensional measurement system. Compared with the laser displacement measurement system, grating displacement measurement system greatly reduces the environmental requirements for humidity, temperature and pressure. In this paper, the development status of the optical structure of displacement sensing system based on two-dimensional grating in recent years is introduced. The principles of zero-difference and heterodyne grating interferometrys are introduced. The optical structure based on single-block two-dimensional grating is reviewed. The development history of the optical structure in single-block two-dimensional grating to coupling designs of multi-block two-dimensional gratings is summarized, the advantages and disadvantages of several two-dimensional grating displacement measurement systems are compared and analyzed, and the development trend of two-dimensional grating displacement measurement system is prospected. The engineering process of two-dimensional grating displacement measurement system is summarized.
2020, 13(6): 1239-1248.
doi: 10.37188/CO.2020-0112
Abstract:
Composition analysis of the surface and depth distribution of bronze artifacts excavated from the Chu Tomb in Guozhuang Shangcai, Henan Province and ceramic tiles of Lingzhaoxuan from the Palace Museum are carried out by laser-induced breakdown spectroscopy and laser scanning confocal microscopy. Studies have shown that the elemental distribution of the corroded layer on the surface of bronze is uneven. This corrosion might originate from the surrounding soil environment and surrounding artifacts or ion migration from the artifacts’ insides to their outsides. Luckily, the composition of bronze is relatively simple. The corrosion mechanism of the corroded layer can be understood by analyzing the depth distribution of the composition in bronze, thereby providing a scientific method for its protection. The elemental distribution of ceramic is homogeneous in transparent and colored glaze. Colored glaze includes Boron (B), which could effectively reduce its melting temperature range and surface tension, but there is no boron (B) in transparent glaze. Furthermore, confocal microscope tests of the depth of erosion combined with its spectra can be used to estimate the approximate thickness of different glaze layers.
Composition analysis of the surface and depth distribution of bronze artifacts excavated from the Chu Tomb in Guozhuang Shangcai, Henan Province and ceramic tiles of Lingzhaoxuan from the Palace Museum are carried out by laser-induced breakdown spectroscopy and laser scanning confocal microscopy. Studies have shown that the elemental distribution of the corroded layer on the surface of bronze is uneven. This corrosion might originate from the surrounding soil environment and surrounding artifacts or ion migration from the artifacts’ insides to their outsides. Luckily, the composition of bronze is relatively simple. The corrosion mechanism of the corroded layer can be understood by analyzing the depth distribution of the composition in bronze, thereby providing a scientific method for its protection. The elemental distribution of ceramic is homogeneous in transparent and colored glaze. Colored glaze includes Boron (B), which could effectively reduce its melting temperature range and surface tension, but there is no boron (B) in transparent glaze. Furthermore, confocal microscope tests of the depth of erosion combined with its spectra can be used to estimate the approximate thickness of different glaze layers.
2020, 13(6): 1249-1256.
doi: 10.37188/CO.2020-0249
Abstract:
In this paper, a narrow linewidth laser with an external grating cavity of 638 nm is described, wherein a reflection holographic grating was used as its external feedback element. The spectrum of the diode lasers with the grating external cavity arranged in a Littrow configuration were measured using a high-resolution monochromator and the characteristics of the threshold and tuning properties were investigated. In the experiment, reflection holographic gratings with 2400 l/mm and 1800 l/mm groove density were studied. At 120 mA injection current, the output power of the external cavity laser was 45.2 mW when the groove density was 2400 l/mm, and the threshold current of the LD was reduced from 60 mA to 51 mA and the descent rate was 11%. When the groove density was 1800 l/mm, the output power was 38.7 mW, the threshold current of the LD was reduced from 60 mA to 47 mA, and the descent rate was 24%. Furthermore, the linewidths were suppressed to within 3.5 pm, and the tuning ranges were 9.4 nm and 10.5 nm in wavelength. The experimental results showed that the performance of semiconductor lasers was improved greatly using the Littrow configuration with a reflective holographic grating.
In this paper, a narrow linewidth laser with an external grating cavity of 638 nm is described, wherein a reflection holographic grating was used as its external feedback element. The spectrum of the diode lasers with the grating external cavity arranged in a Littrow configuration were measured using a high-resolution monochromator and the characteristics of the threshold and tuning properties were investigated. In the experiment, reflection holographic gratings with 2400 l/mm and 1800 l/mm groove density were studied. At 120 mA injection current, the output power of the external cavity laser was 45.2 mW when the groove density was 2400 l/mm, and the threshold current of the LD was reduced from 60 mA to 51 mA and the descent rate was 11%. When the groove density was 1800 l/mm, the output power was 38.7 mW, the threshold current of the LD was reduced from 60 mA to 47 mA, and the descent rate was 24%. Furthermore, the linewidths were suppressed to within 3.5 pm, and the tuning ranges were 9.4 nm and 10.5 nm in wavelength. The experimental results showed that the performance of semiconductor lasers was improved greatly using the Littrow configuration with a reflective holographic grating.
2020, 13(6): 1257-1266.
doi: 10.37188/CO.2020-0075
Abstract:
In order to achieve the implantation of the ZnO nanorod arrays in the nanostructured solar cells, it is necessary to tailor and control the nanorods’ morphology, optical and electrical properties. ZnO nanorods arrays were fabricated by electrodeposition. The physical properties such as the crystalline quality, diameter, density, distance, Al doping concentration, optical band gap energy, near band emission and stokes shift can be adjusted by using Al(NO3)3 and NH4NO3. The ZnO nanorods’ diameter can be adjusted from 28 nm to 102 nm. The nanorod arrays’ density can be reduced to 2.7×109 /cm2 by using NH4NO3, resulting in an increase in the distance between nanorods to 164 nm. The Al/Zn weight ratio was increased to 2.92% by using NH4NO3, indicating that NH4NO3 can boost Al doping in ZnO nanorods. The ZnO nanorods’ optical band gap energy can be tailored from 3.36 eV to 3.55 eV by using Al(NO3)3 and NH4NO3 and the near band edge emission can also be adjusted. The use of Al(NO3)3 led to the increase of the Stokes shift to 200 meV, but it can be greatly reduced to 26 meV as a result of the NH4NO3. The use of Al(NO3)3 and NH4NO3 resulted in the fabrication of high-quality ZnO nanorod arrays with effectively tailored morphology and optical properties.
In order to achieve the implantation of the ZnO nanorod arrays in the nanostructured solar cells, it is necessary to tailor and control the nanorods’ morphology, optical and electrical properties. ZnO nanorods arrays were fabricated by electrodeposition. The physical properties such as the crystalline quality, diameter, density, distance, Al doping concentration, optical band gap energy, near band emission and stokes shift can be adjusted by using Al(NO3)3 and NH4NO3. The ZnO nanorods’ diameter can be adjusted from 28 nm to 102 nm. The nanorod arrays’ density can be reduced to 2.7×109 /cm2 by using NH4NO3, resulting in an increase in the distance between nanorods to 164 nm. The Al/Zn weight ratio was increased to 2.92% by using NH4NO3, indicating that NH4NO3 can boost Al doping in ZnO nanorods. The ZnO nanorods’ optical band gap energy can be tailored from 3.36 eV to 3.55 eV by using Al(NO3)3 and NH4NO3 and the near band edge emission can also be adjusted. The use of Al(NO3)3 led to the increase of the Stokes shift to 200 meV, but it can be greatly reduced to 26 meV as a result of the NH4NO3. The use of Al(NO3)3 and NH4NO3 resulted in the fabrication of high-quality ZnO nanorod arrays with effectively tailored morphology and optical properties.
2020, 13(6): 1267-1275.
doi: 10.37188/CO.2020-0053
Abstract:
To obtain the energy coupling characteristic of materials under strong explosive thermal radiation, a physical model for calculating radiation source parameters and atmospheric transmission is constructed, and the characteristics of the radiation spectrum at the target location under different conditions are obtained. The energy coupling coefficients of several kinds of materials are produced by spectral reflectance measurement and by calculating the average absorption coefficient of thermal radiation. The coupling coefficients of metal and ceramic materials are relatively small while it can be as high as 0.92 for carbon fiber epoxy composites. The coupling coefficient calculated from the actual thermal radiation spectrum is higher than that calculated from 6000 K blackbody radiation spectrum, and the maximum difference is about 14%. Taking aluminum material as an example, the coupling coefficient of thermal radiation decreases gradually with the increase of explosion yield and distance, but the overall variation is small.
To obtain the energy coupling characteristic of materials under strong explosive thermal radiation, a physical model for calculating radiation source parameters and atmospheric transmission is constructed, and the characteristics of the radiation spectrum at the target location under different conditions are obtained. The energy coupling coefficients of several kinds of materials are produced by spectral reflectance measurement and by calculating the average absorption coefficient of thermal radiation. The coupling coefficients of metal and ceramic materials are relatively small while it can be as high as 0.92 for carbon fiber epoxy composites. The coupling coefficient calculated from the actual thermal radiation spectrum is higher than that calculated from 6000 K blackbody radiation spectrum, and the maximum difference is about 14%. Taking aluminum material as an example, the coupling coefficient of thermal radiation decreases gradually with the increase of explosion yield and distance, but the overall variation is small.
2020, 13(6): 1276-1284.
doi: 10.37188/CO.2020-0089
Abstract:
According to the imaging principles and characteristics of a shutter CMOS image sensor, the shutter effect introduced by a shutter CMOS image detector operating on a star map is analyzed, and an image shift compensation method is proposed to rectify the image distortion introduced by this kind of imaging method. With the known frame frequency of the star images and the exposure time interval of the adjacent rows of the CMOS graphic sensor, this method can achieve high-speed calculation of star motion by extracting and matching the centroid of the star points in an adjacent star map. The centroid of the star points in a global image is calculated by combining the speed value with the row exposure time interval of the CMOS image sensor. The effect of the algorithm is tested on actual star images. The experimental results show that with the compensated star map, angle errors between the star sensors are smaller than 0.5″ when a satellite is in non-maneuver mode, and angle errors between either of the star sensors are about 0.6″ when the satellite is in maneuver mode. The experimental results not only prove the effectiveness of the algorithm, but also broaden the applications of shutter CMOS detectors to some extent, especially in aerospace engineering.
According to the imaging principles and characteristics of a shutter CMOS image sensor, the shutter effect introduced by a shutter CMOS image detector operating on a star map is analyzed, and an image shift compensation method is proposed to rectify the image distortion introduced by this kind of imaging method. With the known frame frequency of the star images and the exposure time interval of the adjacent rows of the CMOS graphic sensor, this method can achieve high-speed calculation of star motion by extracting and matching the centroid of the star points in an adjacent star map. The centroid of the star points in a global image is calculated by combining the speed value with the row exposure time interval of the CMOS image sensor. The effect of the algorithm is tested on actual star images. The experimental results show that with the compensated star map, angle errors between the star sensors are smaller than 0.5″ when a satellite is in non-maneuver mode, and angle errors between either of the star sensors are about 0.6″ when the satellite is in maneuver mode. The experimental results not only prove the effectiveness of the algorithm, but also broaden the applications of shutter CMOS detectors to some extent, especially in aerospace engineering.
2020, 13(6): 1285-1292.
doi: 10.37188/CO.2020-0054
Abstract:
In view of the complex design of light sources and the poor illumination uniformity in cylinder block transverse hole detection by using machine vision, a double light source method is provided for the detection of transverse holes. In this method, an integrating sphere is used as the background light source and an LED is used as the direct light source. To achieve uniformity of illumination on the cylinder transverse hole, a mathematical model of the light source radiation response is established in this paper. Using this imaging method, a relationship between the size of the light source, its distance and the position of the reflection point and illumination uniformity is proposed. Finally, a controlled experiment was performed to reveal the illumination uniformity developed in different light sources: an optical fiber source, an LED source, and an LED + integrating sphere source. The results of the experiment show that the non-uniformity is up to 10% with an LED light source emitting from outside the hole, and it becomes 5% when the LED light is moved to the inside of the hole; the non-uniformity of an internal optical fiber light source is 4.6%. In particular, the double light source, wherein the integrating sphere is used as a background light outside the cylinder block and the LED is used as a direct light inside the cylinder block has a non-uniformity of 0.6%. The uniformity illumination surpasses 99%, which can be obtained by using an integrating sphere and LED dual light source, meeting our requirements for machine vision detection.
In view of the complex design of light sources and the poor illumination uniformity in cylinder block transverse hole detection by using machine vision, a double light source method is provided for the detection of transverse holes. In this method, an integrating sphere is used as the background light source and an LED is used as the direct light source. To achieve uniformity of illumination on the cylinder transverse hole, a mathematical model of the light source radiation response is established in this paper. Using this imaging method, a relationship between the size of the light source, its distance and the position of the reflection point and illumination uniformity is proposed. Finally, a controlled experiment was performed to reveal the illumination uniformity developed in different light sources: an optical fiber source, an LED source, and an LED + integrating sphere source. The results of the experiment show that the non-uniformity is up to 10% with an LED light source emitting from outside the hole, and it becomes 5% when the LED light is moved to the inside of the hole; the non-uniformity of an internal optical fiber light source is 4.6%. In particular, the double light source, wherein the integrating sphere is used as a background light outside the cylinder block and the LED is used as a direct light inside the cylinder block has a non-uniformity of 0.6%. The uniformity illumination surpasses 99%, which can be obtained by using an integrating sphere and LED dual light source, meeting our requirements for machine vision detection.
2020, 13(6): 1293-1301.
doi: 10.37188/CO.2020-0041
Abstract:
In pavement detection, the small sample of road crack image data makes it difficult for neural networks to extract useful features from images. To solve this problem, this paper proposes a Gabor Filter Convolutional Neural Network (GF-CNN) model. The GF-CNN model first inputs a road surface image into a small parameter prediction network, adaptively selects the parameters of the Gabor filter bank according to the input, and constructs a filter bank according to the predicted parameters, and then filters the initial road surface image to obtain the Gabor texture feature map. The texture feature map is inputted into a feature classification network constructed by the residual network to extract deep features, at the same time, to judge whether a crack exists. Test results on the GAPs pavement image dataset show that the F1 score of the GF-CNN model reaches 0.7137, which is superior to other pavement image detection methods. This model improves the feature extraction ability of CNNs by fusing texture features, and reduces the sensitivity of Gabor filter parameters to improve its ability to make generalizations. It has good applicability to pavement crack image detection.
In pavement detection, the small sample of road crack image data makes it difficult for neural networks to extract useful features from images. To solve this problem, this paper proposes a Gabor Filter Convolutional Neural Network (GF-CNN) model. The GF-CNN model first inputs a road surface image into a small parameter prediction network, adaptively selects the parameters of the Gabor filter bank according to the input, and constructs a filter bank according to the predicted parameters, and then filters the initial road surface image to obtain the Gabor texture feature map. The texture feature map is inputted into a feature classification network constructed by the residual network to extract deep features, at the same time, to judge whether a crack exists. Test results on the GAPs pavement image dataset show that the F1 score of the GF-CNN model reaches 0.7137, which is superior to other pavement image detection methods. This model improves the feature extraction ability of CNNs by fusing texture features, and reduces the sensitivity of Gabor filter parameters to improve its ability to make generalizations. It has good applicability to pavement crack image detection.
2020, 13(6): 1302-1313.
doi: 10.37188/CO.2020-0057
Abstract:
To improve the detection accuracy and reduce the complexity of optical remote sensing of target images with a complex background, a global context detection model based on optical remote sensing of targets is proposed. First, a feature encoder-feature decoder network is used for feature extraction. Then, to improve the positioning ability of multi-scale targets, a method that combines global-contextual features and target center local features is used to generate high-resolution heat maps. The global features are used to achieve the pre-classification of targets. Finally, a positioning loss function at different scales is proposed to enhance the regression ability of the model. Experimental results show that the mean average precision of the proposed model reaches 97.6% AP50 and 83.4% AP75 on the NWPU VHR-10 public remote sensing data set, and the speed reaches 16 PFS. This design can achieve an effective balance between accuracy and speed. It facilitates subsequent porting and application of the algorithm on the mobile device side, which meets design requirements.
To improve the detection accuracy and reduce the complexity of optical remote sensing of target images with a complex background, a global context detection model based on optical remote sensing of targets is proposed. First, a feature encoder-feature decoder network is used for feature extraction. Then, to improve the positioning ability of multi-scale targets, a method that combines global-contextual features and target center local features is used to generate high-resolution heat maps. The global features are used to achieve the pre-classification of targets. Finally, a positioning loss function at different scales is proposed to enhance the regression ability of the model. Experimental results show that the mean average precision of the proposed model reaches 97.6% AP50 and 83.4% AP75 on the NWPU VHR-10 public remote sensing data set, and the speed reaches 16 PFS. This design can achieve an effective balance between accuracy and speed. It facilitates subsequent porting and application of the algorithm on the mobile device side, which meets design requirements.
2020, 13(6): 1314-1323.
doi: 10.37188/CO.2020-0021
Abstract:
In this paper, an identification method based on an improved differential evolution algorithm is proposed for laser communication fine tracking systems. Firstly, the basic principle and calculation steps of the traditional differential evolution algorithm are introduced. Based on this, an improved algorithm is proposed, and the algorithm’s parameters are optimized . Then, the dynamic characteristics of a controlled object in the fine tracking system are simulated by a sweep signal, and the positional feed back information of the camera is collected. Finally, based on the experimental data, the differential evolution algorithm is used to identify the system, and the control model of the fine tracking system is obtained. The experimental results show that the improved differential evolution algorithm has faster convergence speed and accurate identification results. In general, this method has engineering value in the field of optoelectronic tracking.
In this paper, an identification method based on an improved differential evolution algorithm is proposed for laser communication fine tracking systems. Firstly, the basic principle and calculation steps of the traditional differential evolution algorithm are introduced. Based on this, an improved algorithm is proposed, and the algorithm’s parameters are optimized . Then, the dynamic characteristics of a controlled object in the fine tracking system are simulated by a sweep signal, and the positional feed back information of the camera is collected. Finally, based on the experimental data, the differential evolution algorithm is used to identify the system, and the control model of the fine tracking system is obtained. The experimental results show that the improved differential evolution algorithm has faster convergence speed and accurate identification results. In general, this method has engineering value in the field of optoelectronic tracking.
2020, 13(6): 1324-1331.
doi: 10.37188/CO.2020-0058
Abstract:
Offner imaging spectrometers consist of a convex grating and two concave mirrors. The concentric characteristics of the optical structure allow it to have a large relative aperture, small distortion and a compact structure. In order to reduce the difficulty of aligning an Offner imaging spectrometer and improve its efficiency, this paper presents a fast alignment method for Offner imaging spectrometers based on the concentric characteristic and spherical autostigmatic method. Firstly, a spherical autostigmatic device is built, which can generate a point source. When the point source is located at the spherical mirror’s center of curvature (CoC), its reflection image point and the point source coincide. By measuring the distance between the reflection image point and the point source, the positional deviation of the spherical mirror’s CoC can be determined. The Offner imaging spectrometer is completed by locating the CoC of its primary mirror, convex grating and tertiary mirror. The results show that the location error of the two off-axis concave mirrors’ CoC can be controlled within 10 μm, and our imaging performance requirements for the imaging spectral system are satisfied. Compared with pre-existing methods, this method is easier to operate, lower in cost and has faster alignment capabilities.
Offner imaging spectrometers consist of a convex grating and two concave mirrors. The concentric characteristics of the optical structure allow it to have a large relative aperture, small distortion and a compact structure. In order to reduce the difficulty of aligning an Offner imaging spectrometer and improve its efficiency, this paper presents a fast alignment method for Offner imaging spectrometers based on the concentric characteristic and spherical autostigmatic method. Firstly, a spherical autostigmatic device is built, which can generate a point source. When the point source is located at the spherical mirror’s center of curvature (CoC), its reflection image point and the point source coincide. By measuring the distance between the reflection image point and the point source, the positional deviation of the spherical mirror’s CoC can be determined. The Offner imaging spectrometer is completed by locating the CoC of its primary mirror, convex grating and tertiary mirror. The results show that the location error of the two off-axis concave mirrors’ CoC can be controlled within 10 μm, and our imaging performance requirements for the imaging spectral system are satisfied. Compared with pre-existing methods, this method is easier to operate, lower in cost and has faster alignment capabilities.
2020, 13(6): 1332-1342.
doi: 10.37188/CO.2020-0043
Abstract:
At present, it is difficult to obtain target distance information in image guidance. In order to apply modern guidance laws to image guidance technology and improve its performance, a target ranging algorithm using light field imaging is proposed. The algorithm decodes and tunes light field data to extract sub-aperture images from an original image. Bilinear interpolation is then performed on the two sub-aperture images to improve the image’s spatial resolution, and two sub-aperture images are selected as calibration data to obtain the corresponding internal and external parameters. The parameters are used to correct the sub-aperture images, which aligns them and makes them coplanar. Finally, a semi-global matching method is used to match the images to obtain the disparity value of the target. Then, 3D transformation of parallax can be used to get the target distance. The experimental results show that the average measurement errors of the algorithm are 28.54 mm and 14.96 mm, respectively, before and after improvement. This algorithm can effectively extract target distance information in complex scenes, which has value in theoretical and real-world applications.
At present, it is difficult to obtain target distance information in image guidance. In order to apply modern guidance laws to image guidance technology and improve its performance, a target ranging algorithm using light field imaging is proposed. The algorithm decodes and tunes light field data to extract sub-aperture images from an original image. Bilinear interpolation is then performed on the two sub-aperture images to improve the image’s spatial resolution, and two sub-aperture images are selected as calibration data to obtain the corresponding internal and external parameters. The parameters are used to correct the sub-aperture images, which aligns them and makes them coplanar. Finally, a semi-global matching method is used to match the images to obtain the disparity value of the target. Then, 3D transformation of parallax can be used to get the target distance. The experimental results show that the average measurement errors of the algorithm are 28.54 mm and 14.96 mm, respectively, before and after improvement. This algorithm can effectively extract target distance information in complex scenes, which has value in theoretical and real-world applications.
2020, 13(6): 1343-1351.
doi: 10.37188/CO.2020-0024
Abstract:
In order to achieve high-precision ground calibration of star sensors and meet the needs of a high-precision multi-star simulator with a wide field of view, a high-precision star simulator which can accurately simulate the position and magnitude of 65 stars in the 20° × 40° field of view was developed. Based on the principles of star simulators and the transformation of the space coordinate systems of star simulators, a simulation star bracket was designed. By the analysis and calculation of errors that affect the pointing error of star simulations, the high-precision simulation star system was designed using key technologies such as "integrated installation of primary and secondary mirrors", "all-aluminum simulation star systems" and "star point position compensation". A space-position model of each simulation star in the o-x'y'z' coordinate system was established, and the mathematical models of pitch, yaw, single star direction and star angular distance were derived. Also, the theoretical errors in single-star direction and star angular distance, which were used as the theoretical basis for adjustment and testing, were calculated. The single-star direction error of all simulated stars was better than 1.914", and the angular distance error of any two simulated stars was better than 4.3". The accuracy of the designed high-precision wide-field-of-view multi-star simulator meets the requirements. It can be used as an important piece of equipment for ground calibration of high-precision star sensors.
In order to achieve high-precision ground calibration of star sensors and meet the needs of a high-precision multi-star simulator with a wide field of view, a high-precision star simulator which can accurately simulate the position and magnitude of 65 stars in the 20° × 40° field of view was developed. Based on the principles of star simulators and the transformation of the space coordinate systems of star simulators, a simulation star bracket was designed. By the analysis and calculation of errors that affect the pointing error of star simulations, the high-precision simulation star system was designed using key technologies such as "integrated installation of primary and secondary mirrors", "all-aluminum simulation star systems" and "star point position compensation". A space-position model of each simulation star in the o-x'y'z' coordinate system was established, and the mathematical models of pitch, yaw, single star direction and star angular distance were derived. Also, the theoretical errors in single-star direction and star angular distance, which were used as the theoretical basis for adjustment and testing, were calculated. The single-star direction error of all simulated stars was better than 1.914", and the angular distance error of any two simulated stars was better than 4.3". The accuracy of the designed high-precision wide-field-of-view multi-star simulator meets the requirements. It can be used as an important piece of equipment for ground calibration of high-precision star sensors.
2020, 13(6): 1352-1361.
doi: 10.37188/CO.2019-0201
Abstract:
To meet the performance requirements of ultra-lightweight Φ500 mm-reflector optical system in near diffraction limit, the structure of the reflector is studied using advanced CAE simulation and modern high-performance SiC fabrication technology. Firstly, mirror materials were selected by comparing the common materials and manufacturing processes of existing mirrors. Then, with regards to the structural characteristics of circular symmetrical reflectors, the structure of proposed reflector was designed based on integrated optimization of the full stiffness method. Finally, the reflector assembly was designed with a back-support structure. The simulation results show that the mass of proposed primary mirror is less than 5 kg and the surface density is less than 20 kg/m2. The surface errors (RMS value) of the three directions of dead weight deformation at 4 ℃ temperature rise are less than λ/50. The first-order resonance frequency of the primary mirror assembly is no less than 120 Hz and the stress at the weakest point as measured by dynamic response analysis is less than 100 MPa. The structural optimization of the mirror meets its design requirements, with a remarkable lightweight effect and a structure that is both stable and reliable.
To meet the performance requirements of ultra-lightweight Φ500 mm-reflector optical system in near diffraction limit, the structure of the reflector is studied using advanced CAE simulation and modern high-performance SiC fabrication technology. Firstly, mirror materials were selected by comparing the common materials and manufacturing processes of existing mirrors. Then, with regards to the structural characteristics of circular symmetrical reflectors, the structure of proposed reflector was designed based on integrated optimization of the full stiffness method. Finally, the reflector assembly was designed with a back-support structure. The simulation results show that the mass of proposed primary mirror is less than 5 kg and the surface density is less than 20 kg/m2. The surface errors (RMS value) of the three directions of dead weight deformation at 4 ℃ temperature rise are less than λ/50. The first-order resonance frequency of the primary mirror assembly is no less than 120 Hz and the stress at the weakest point as measured by dynamic response analysis is less than 100 MPa. The structural optimization of the mirror meets its design requirements, with a remarkable lightweight effect and a structure that is both stable and reliable.
2020, 13(6): 1362-1384.
doi: 10.37188/CO.2020-0056
Abstract:
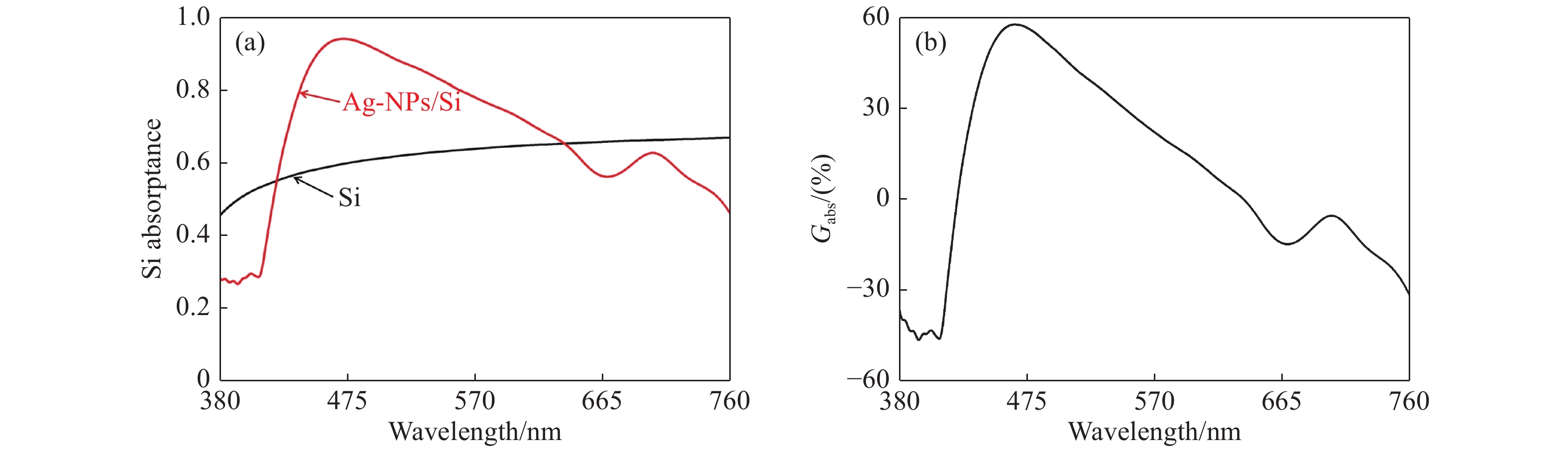
To enhance the blue light absorption of silicon, an array of silver nanoparticles(Ag-NPs) was designed so that they create Localized Surface Plasmon Resonance(LSPR) near the surface of silicon(Si). The properties of the enhanced optical absorption of silicon in the blue band were then observed and researched. The blue-light absorption characteristic of silicon in the Ag-NPs/Silicon composite structure were calculated using the Finite-Difference-Time-Domain (FDTD) method. The results indicated that the metallic nanoparticles' extinction capability was related to its geometric parameters and the resonance intensity and peak wavelength can be tuned according to different geometric parameters of Ag-NPs including radius, height and period. At a resonance peak wavelength of 465 nm, the optical absorption of Si in the composite structure (Ag-NPs/Si) rises from 59% to 94% with an array of radius r = 18.5 nm, a height H = 45.0 nm and a period P = 49.0 nm. It concluded that the light absorption gain was 0.57 and photogenerated carriers had a gain factor of 0.53 due to the enhanced light absorption of Si via LSPR in blue band. The results provide a significant reference for the enhancement of the blue-light absorption properties in silicon based on the LSPR effect and the design of a silicon-photodetector with a visible wide spectral resoponse.
To enhance the blue light absorption of silicon, an array of silver nanoparticles(Ag-NPs) was designed so that they create Localized Surface Plasmon Resonance(LSPR) near the surface of silicon(Si). The properties of the enhanced optical absorption of silicon in the blue band were then observed and researched. The blue-light absorption characteristic of silicon in the Ag-NPs/Silicon composite structure were calculated using the Finite-Difference-Time-Domain (FDTD) method. The results indicated that the metallic nanoparticles' extinction capability was related to its geometric parameters and the resonance intensity and peak wavelength can be tuned according to different geometric parameters of Ag-NPs including radius, height and period. At a resonance peak wavelength of 465 nm, the optical absorption of Si in the composite structure (Ag-NPs/Si) rises from 59% to 94% with an array of radius r = 18.5 nm, a height H = 45.0 nm and a period P = 49.0 nm. It concluded that the light absorption gain was 0.57 and photogenerated carriers had a gain factor of 0.53 due to the enhanced light absorption of Si via LSPR in blue band. The results provide a significant reference for the enhancement of the blue-light absorption properties in silicon based on the LSPR effect and the design of a silicon-photodetector with a visible wide spectral resoponse.
2020, 13(6): 1385-1400.
doi: 10.37188/CO.2020-0071
Abstract:
In order to obtain the first ionization threshold of Sm atom, the photoionization signal, autoionization signal and field ionization signal generated by the Sm atom under multi-step excitation were distinguished, and the influence of the Rydberg state of the Sm atom with different magnetic quantum numbers on the first ionization threshold was studied. At first, by use of multi-step resonance excitation combined with polarization technology, the rare-earth Sm atoms were excited to the autoionization or bound Rydberg state with a specific magnetic quantum number near the first ionization threshold. Then the ions generated by photoionization and autoionization were pushed out of the action zone by the reverse electrostatic field, and a delayed pulsed electric field was applied to detect the Sm atoms of bound Rydberg state. Finally, the relationship between the first ionization threshold of Sm atom and the varying intensity of electrostatic field was acquired, and the first ionization threshold of the Sm atom with different magnetic quantum numbers under zero field was determined by fitting. The experimental results show that the first ionization threshold of Sm atom is 45519.69±0.17 cm−1, which has been compared with the results obtained by other methods. The effectiveness of the delayed field ionization technique in measuring the first ionization threshold of Sm atom has been verified.
In order to obtain the first ionization threshold of Sm atom, the photoionization signal, autoionization signal and field ionization signal generated by the Sm atom under multi-step excitation were distinguished, and the influence of the Rydberg state of the Sm atom with different magnetic quantum numbers on the first ionization threshold was studied. At first, by use of multi-step resonance excitation combined with polarization technology, the rare-earth Sm atoms were excited to the autoionization or bound Rydberg state with a specific magnetic quantum number near the first ionization threshold. Then the ions generated by photoionization and autoionization were pushed out of the action zone by the reverse electrostatic field, and a delayed pulsed electric field was applied to detect the Sm atoms of bound Rydberg state. Finally, the relationship between the first ionization threshold of Sm atom and the varying intensity of electrostatic field was acquired, and the first ionization threshold of the Sm atom with different magnetic quantum numbers under zero field was determined by fitting. The experimental results show that the first ionization threshold of Sm atom is 45519.69±0.17 cm−1, which has been compared with the results obtained by other methods. The effectiveness of the delayed field ionization technique in measuring the first ionization threshold of Sm atom has been verified.
2020, 13(6): 1401-1410.
doi: 10.37188/CO.2020-0059
Abstract:
Laser-Induced Fluorescence(LIF) has become a powerful technology for quantitative analysis of Polycyclic Aromatic Hydrocarbons(PAHs) in soils due to its fast detection speed and low operational cost, without sample preparation. However, there are many types of PAHs in soils, and their similar structures lead to overlapped issues in their laser-induced fluorescence spectra. It is challenging to quantify a single PAH in complicated soil without the chemical separation. In this paper, fluorescence spectra of PAHs in agricultural soil are obtained by a 266 nm mobile LIF system, and quantification methods are investigated for PAHs, based on univariate linear regression, weighted non-negative least squares Multivariate Linear Regression(MRL) and Support Vector Regression(SVR). The results show that the correlation coefficients of anthracene and phenanthrene are both less than 0.90, and the average relative errors are both more than 20% by using univariate linear regression. Compared with univariate linear regression, MLR improves the prediction accuracy of anthracene and phenanthrene in the soil contaminated with bi-component PAHs. However, the average relative errors are still over 20% in the soil contaminated with multicomponent PAHs. Finally, a SVR model optimized by grey wolf optimization combined with differential evolution(GWO-DE) is applied for concentration measurement of anthracene and phenanthrene in agricultural soil contaminated with multicomponent PAHs. The average relative error of anthracene decreases from 23.1% (MLR) to 5.02%, while in the case of phenanthrene decreases from 20.8% (MLR) to 4.83%. This study provides an efficient method to improve the accuracy of LIF in quantifying multicomponent PAHs in soils.
Laser-Induced Fluorescence(LIF) has become a powerful technology for quantitative analysis of Polycyclic Aromatic Hydrocarbons(PAHs) in soils due to its fast detection speed and low operational cost, without sample preparation. However, there are many types of PAHs in soils, and their similar structures lead to overlapped issues in their laser-induced fluorescence spectra. It is challenging to quantify a single PAH in complicated soil without the chemical separation. In this paper, fluorescence spectra of PAHs in agricultural soil are obtained by a 266 nm mobile LIF system, and quantification methods are investigated for PAHs, based on univariate linear regression, weighted non-negative least squares Multivariate Linear Regression(MRL) and Support Vector Regression(SVR). The results show that the correlation coefficients of anthracene and phenanthrene are both less than 0.90, and the average relative errors are both more than 20% by using univariate linear regression. Compared with univariate linear regression, MLR improves the prediction accuracy of anthracene and phenanthrene in the soil contaminated with bi-component PAHs. However, the average relative errors are still over 20% in the soil contaminated with multicomponent PAHs. Finally, a SVR model optimized by grey wolf optimization combined with differential evolution(GWO-DE) is applied for concentration measurement of anthracene and phenanthrene in agricultural soil contaminated with multicomponent PAHs. The average relative error of anthracene decreases from 23.1% (MLR) to 5.02%, while in the case of phenanthrene decreases from 20.8% (MLR) to 4.83%. This study provides an efficient method to improve the accuracy of LIF in quantifying multicomponent PAHs in soils.
Abstract
FullText HTML
PDF 7413KB