Volume 19 Issue 1
Jan.  2026
Turn off MathJax
Article Contents
XU Ze-kun, LI Xiang-jun, YAN De-xian. Enhancement of terahertz absorption spectrum by stacking one-dimensional photonic crystal defect cavities[J]. Chinese Optics, 2026, 19(1): 1-9. doi: 10.37188/CO.2025-0106
Citation: XU Ze-kun, LI Xiang-jun, YAN De-xian. Enhancement of terahertz absorption spectrum by stacking one-dimensional photonic crystal defect cavities[J]. Chinese Optics, 2026, 19(1): 1-9. doi: 10.37188/CO.2025-0106

Enhancement of terahertz absorption spectrum by stacking one-dimensional photonic crystal defect cavities

cstr: 32171.14.CO.2025-0106
Funds:  Supported by Basic Public Welfare Research Project of Zhejiang Province (No. LTGN23C180003)
More Information
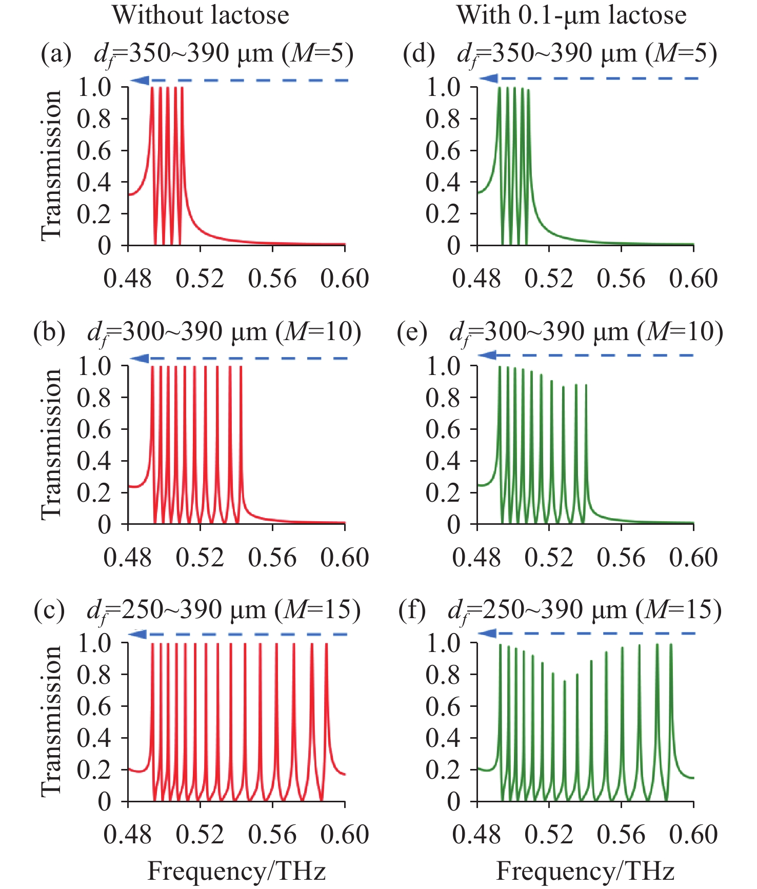
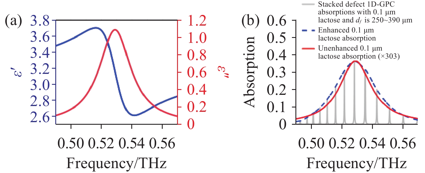
  • Terahertz (THz) spectroscopy technology has demonstrated great application value in the field of organic and biological macromolecule detection. However, the traditional sample pressing method cannot be applied in the actual detection of trace analytes, and additional structures are required to enhance the interaction between the analytes and THz waves. To solve this problem, we propose a terahertz absorption spectrum enhancement structure based on stacked one-dimensional photonic crystals (1D-PCs) defect cavities. The structure employs metal parallel-plate waveguides to separate a series of one-dimensional photonic crystals (1D-PCs) with defect cavities of varying widths, and coats the sample film on a substrate that penetrates all defect cavities. The incident broadband terahertz wave can simultaneously excite multiple resonant peaks at different frequencies corresponding to the photonic crystal defect modes in different layers. The enhanced terahertz absorption spectrum of the analyte can be obtained by linking the envelope formed by these resonant absorption peaks. The simulation results show that a 0.1 μm α-lactose sample can accomplish an absorption enhancement factor of approximately 303 times in the frequency range of 0.49 to 0.57 THz. This method offers fast measurement speed and maintains a relatively low sample amount, providing an effective strategy for the enhancement detection of trace analytes by terahertz absorption spectrum.

     

  • loading
  • [1]
    ZHONG SH C. Progress in terahertz nondestructive testing: a review[J]. Frontiers of Mechanical Engineering, 2019, 14(3): 273-281. doi: 10.1007/s11465-018-0495-9
    [2]
    SHEN S L, LIU X D, SHEN Y CH, et al. Recent advances in the development of materials for terahertz metamaterial sensing[J]. Advanced Optical Materials, 2022, 10(1): 2101008. doi: 10.1002/adom.202101008
    [3]
    LEITENSTORFER A, MOSKALENKO A S, KAMPFRATH T, et al. The 2023 terahertz science and technology roadmap[J]. Journal of Physics D: Applied Physics, 2023, 56(22): 223001. doi: 10.1088/1361-6463/acbe4c
    [4]
    JIANG Y Y, LI G M, GE H Y, et al. Machine learning and application in terahertz technology: a review on achievements and future challenges[J]. IEEE Access, 2022, 10: 53761-53776. doi: 10.1109/ACCESS.2022.3174595
    [5]
    ZHU J F, JIANG SH, XIE Y N, et al. Enhancing terahertz molecular fingerprint detection by a dielectric metagrating[J]. Optics Letters, 2020, 45(8): 2335-2338. doi: 10.1364/OL.389045
    [6]
    XIE Y N, MA Y J, LIU X Y, et al. Dual-degree-of-freedom multiplexed metasensor based on quasi-BICs for boosting broadband trace isomer detection by THz molecular fingerprint[J]. IEEE Journal of Selected Topics in Quantum Electronics, 2023, 29(5: Terahertz Photonics): 8600110.
    [7]
    ABD EL-GHANY S E S, NOUMAN W M, MATAR Z S, et al. Optimized bio-photonic sensor using 1D-photonic crystals as a blood hemoglobin sensor[J]. Physica Scripta, 2020, 96(3): 035501. doi: 10.1088/1402-4896/abd49c
    [8]
    ZHANG J T, RAO S S, ZHANG H F. Dual-mode high-Q multiphysics sensor based on the evanescent wave in the InSb photonic crystals[J]. IEEE Sensors Journal, 2023, 23(3): 2346-2353. doi: 10.1109/JSEN.2022.3229320
    [9]
    谢明真, 张阳, 府伟灵, 等. 基于太赫兹超材料的微流体折射率传感器[J]. 光谱学与光谱分析, 2021, 41(4): 1039-1043.

    XIE M ZH, ZHANG Y, FU W L, et al. Microfludic refractive index sensor based on terahertz metamaterials[J]. Spectroscopy and Spectral Analysis, 2021, 41(4): 1039-1043. (in Chinese).
    [10]
    KE L, WU Q Y S, ZHANG N, et al. Ex vivo sensing and imaging of corneal scar tissues using terahertz time domain spectroscopy[J]. Spectrochimica Acta Part A: Molecular and Biomolecular Spectroscopy, 2021, 255: 119667.
    [11]
    XIE Y N, LIU X Y, LI F J, et al. Ultra-wideband enhancement on mid-infrared fingerprint sensing for 2D materials and analytes of monolayers by a metagrating[J]. Nanophotonics, 2020, 9(9): 2927-2935. doi: 10.1515/nanoph-2020-0180
    [12]
    LI X J, NIE L, WU H, et al. Enhancing THz fingerprint detection by the stretchable substrate with a dielectric metagrating[J]. Applied Optics, 2023, 62(34): 9028-9035. doi: 10.1364/AO.501933
    [13]
    DING SH, OU J Y, DU L H, et al. Enhancing ultra-wideband THz fingerprint sensing of unpatterned 2D carbon-based nanomaterials[J]. Carbon, 2021, 179: 666-676. doi: 10.1016/j.carbon.2021.04.084
    [14]
    LI X J, MA CH, YAN D X, et al. Enhanced trace-amount terahertz vibrational absorption spectroscopy using surface spoof polarization in metasurface structures[J]. Optics Letters, 2022, 47(10): 2446-2449. doi: 10.1364/OL.452131
    [15]
    LI X J, YANG J, YAN D X, et al. Highly enhanced trace amount terahertz fingerprint spectroscopy by multiplexing surface spoof Plasmon metasurfaces in a single layer[J]. Optics Communications, 2022, 525: 128777. doi: 10.1016/j.optcom.2022.128777
    [16]
    ZHU J X, LI X J, YAN D X, et al. Parameter multiplexing-based terahertz enhanced absorption spectra using ultrathin metal groove array[J]. Plasmonics, 2024, 19(6): 3359-3366. doi: 10.1007/s11468-024-02250-3
    [17]
    TITTL A, LEITIS A, LIU M K, et al. Imaging-based molecular barcoding with pixelated dielectric metasurfaces[J]. Science, 2018, 360(6393): 1105-1109. doi: 10.1126/science.aas9768
    [18]
    LIU X Y, CHEN W, MA Y J, et al. Enhancing THz fingerprint detection on the planar surface of an inverted dielectric metagrating[J]. Photonics Research, 2022, 10(12): 2836-2845. doi: 10.1364/PRJ.472114
    [19]
    LI X J, WU H, YAN D X, et al. Enhancement of the terahertz absorption spectroscopy based on the stretchable dielectric metasurface[J]. Applied Physics A, 2024, 130(1): 50. doi: 10.1007/s00339-023-07205-9
    [20]
    WANG Y, ZHANG X J, ZHOU T, et al. Properties and sensing performance of THz metasurface based on carbon nanotube and microfluidic channel[J]. Frontiers in Physics, 2021, 9: 749501. doi: 10.3389/fphy.2021.749501
    [21]
    YAN D X, FENG Q Y, YANG J, et al. Boosting the terahertz absorption spectroscopy based on the stretchable metasurface[J]. Physical Chemistry Chemical Physics, 2023, 25(1): 612-616. doi: 10.1039/D2CP04618K
    [22]
    LEITIS A, TITTL A, LIU M K, et al. Angle-multiplexed all-dielectric metasurfaces for broadband molecular fingerprint retrieval[J]. Science Advances, 2019, 5(5): eaaw2871. doi: 10.1126/sciadv.aaw2871
    [23]
    李向军, 马婵, 严德贤, 等. 基于介质超表面角度复用的太赫兹增强吸收谱[J]. 中国光学(中英文), 2022, 15(4): 731-739. doi: 10.37188/CO.2021-0197

    LI X J, MA CH, YAN D X, et al. Enhancement of terahertz absorption spectrum based on the angle multiplexing of the dielectric metasurface[J]. Chinese Optics, 2022, 15(4): 731-739. (in Chinese). doi: 10.37188/CO.2021-0197
    [24]
    LIU P A, LI W P, CHEN N CH, et al. Enhancing the terahertz absorption spectrum based on the low refractive index all-dielectric metasurface[J]. Photonics, 2022, 9(11): 848.
    [25]
    XU J J, LIAO D G, GUPTA M, et al. Terahertz microfluidic sensing with dual-torus toroidal metasurfaces[J]. Advanced Optical Materials, 2021, 9(15): 2100024. doi: 10.1002/adom.202100024
    [26]
    SHI X M, HAN ZH H. Enhanced terahertz fingerprint detection with ultrahigh sensitivity using the cavity defect modes[J]. Scientific Reports, 2017, 7(1): 13147. doi: 10.1038/s41598-017-13612-9
    [27]
    YAN D X, WANG Z H, LI X J, et al. Highly boosted trace-amount terahertz vibrational absorption spectroscopy based on defect one-dimensional photonic crystal[J]. Optics Letters, 2023, 48(7): 1654-1657. doi: 10.1364/OL.486433
    [28]
    LI X J, DING D, YAN D X, et al. Boosting of the terahertz absorption spectrum based on one-dimensional plastic photonic crystals[J]. Physical Chemistry Chemical Physics, 2023, 25(32): 21324-21330. doi: 10.1039/D3CP02809G
    [29]
    白乙艳, 王晨阳, 谈颖, 等. 基于单颗粒碰撞电分析化学双模表征银包金核壳纳米材料的合成过程[J]. 分析化学, 2024, 52(12): 1823-1833.

    BAI Y Y, WANG CH Y, TAN Y, et al. Single nanoparticle collision electrochemistry for dual-mode characterization of synthesis process of silver-coated gold core-shell nanomaterials[J]. Chinese Journal of Analytical Chemistry, 2024, 52(12): 1823-1833. (in Chinese).
    [30]
    SOMMER S, RAIDT T, FISCHER B M, et al. THz-spectroscopy on high density polyethylene with different crystallinity[J]. Journal of Infrared, Millimeter, and Terahertz Waves, 2016, 37(2): 189-197. doi: 10.1007/s10762-015-0219-8
    [31]
    陈宪锋, 蒋美萍, 沈小明, 等. 一维多缺陷光子晶体的缺陷模[J]. 物理学报, 2008, 57(9): 5709-5712. doi: 10.7498/aps.57.5709

    CHEN X F, JIANG M P, SHEN X M, et al. The defect modes in one-dimensional photonic crystal with multiple defects[J]. Acta Physica Sinica, 2008, 57(9): 5709-5712. (in Chinese). doi: 10.7498/aps.57.5709
  • 加载中

Catalog

    通讯作者: 陈斌, bchen63@163.com
    • 1. 

      沈阳化工大学材料科学与工程学院 沈阳 110142

    1. 本站搜索
    2. 百度学术搜索
    3. 万方数据库搜索
    4. CNKI搜索

    Figures(9)  / Tables(1)

    Article views(397) PDF downloads(43) Cited by()
    Proportional views
    Related

    /

    DownLoad:  Full-Size Img  PowerPoint
    Return
    Return
    Baidu
    map