Volume 19 Issue 1
Jan.  2026
Turn off MathJax
Article Contents
ZHAI Yi-lin, XIN Shi-cheng, SUN Jia-ze, LI Zhao-yu, CUI Jian-feng, DAI Qin. Parameter optimization of Gaussian unstable resonator and laser output characteristics[J]. Chinese Optics, 2026, 19(1): 123-132. doi: 10.37188/CO.2025-0110
Citation: ZHAI Yi-lin, XIN Shi-cheng, SUN Jia-ze, LI Zhao-yu, CUI Jian-feng, DAI Qin. Parameter optimization of Gaussian unstable resonator and laser output characteristics[J]. Chinese Optics, 2026, 19(1): 123-132. doi: 10.37188/CO.2025-0110

Parameter optimization of Gaussian unstable resonator and laser output characteristics

cstr: 32171.14.CO.2025-0110
Funds:  Supported by National Key R&D Program (No. 2022YFB4601603); Funded by the Optical Selection Research Team Construction Project of Shenyang Ligong University
More Information
  • Corresponding author: daiqin2003@126.com
  • Received Date: 24 Aug 2025
  • Rev Recd Date: 22 Sep 2025
  • Accepted Date: 29 Oct 2025
  • Available Online: 11 Nov 2025
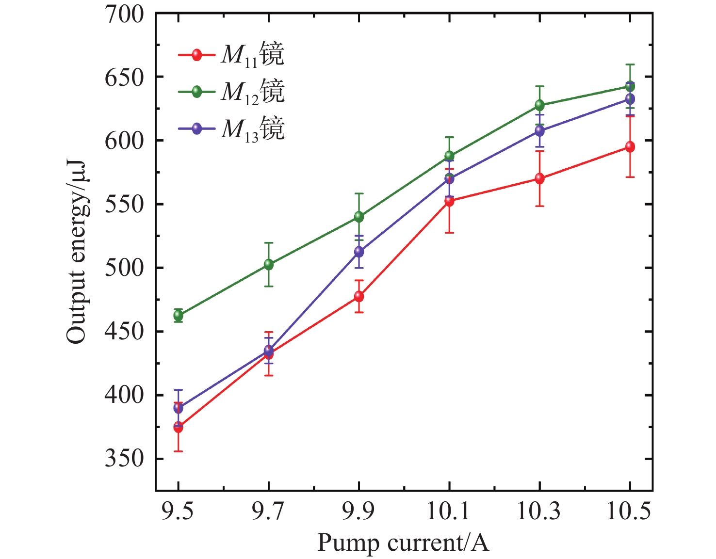
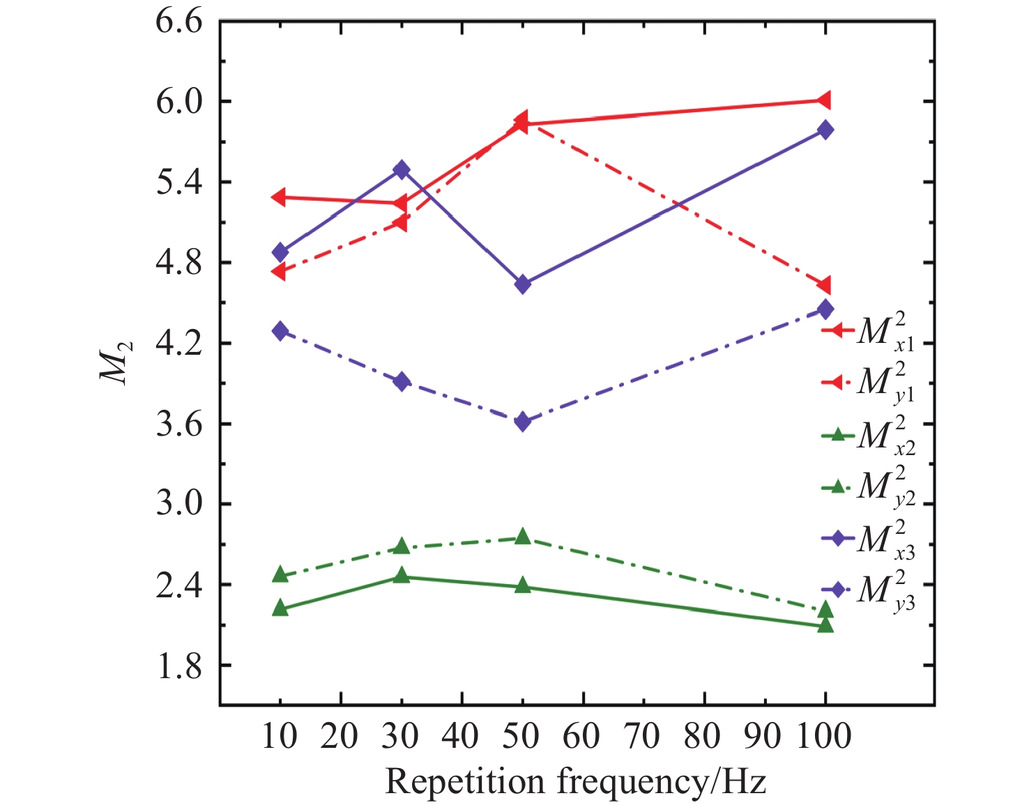
  • To achieve high-power and high-beam-quality laser output from a laser-diode (LD) side-pumped solid-state laser, we investigate an unstable resonator incorporating a Gaussian output mirror. The boundary finite element method was utilized to analyze the effects of the resonant cavity length, Gaussian mirror membrane spot radius, and curvature radius on high-order mode suppression. The functional theory of mode loss difference was applied to determine the mode-matching range and the optimal parameters for the spot radius. Furthermore, an output power model was established to derive the theoretical optimal central transmittance for compensating loss. Based on the theoretical and simulation results, the resonator parameters were optimized, and the output beam’s mode distribution and quality were experimentally characterized using different Gaussian mirrors. Under the operational conditions of a 400 mm resonator length, 7.3 A pump current, and 100 Hz repetition frequency, the implementation of a Gaussian mirror with a 3 mm spot radius, 1.5 m curvature radius, and 17% central transmittance produced a high-quality 1064 nm laser output with beam quality factors of Mx2=2.09 and My2=2.20.

     

  • loading
  • [1]
    QIAO SH D, HE Y, SUN H Y, et al. Ultra-highly sensitive dual gases detection based on photoacoustic spectroscopy by exploiting a long-wave, high-power, wide-tunable, single-longitudinal-mode solid-state laser[J]. Light: Science & Applications, 2024, 13(1): 100.
    [2]
    LIANG M ZH, MINASSIAN A, DAMZEN M J. High-energy acousto-optic Q-switched alexandrite laser with wavelength tunable fundamental and UV second harmonic generation[J]. Optics Express, 2023, 31(25): 42428-42438. doi: 10.1364/OE.505385
    [3]
    SAWRUK N W, BURNS P M, EDWARDS R E, et al. ICESat-2 laser Nd: YVO4 amplifier[J]. Proceedings of SPIE, 2018, 10513: 105130X.
    [4]
    SINGH N, LORENZEN J, SINOBAD M, et al. Silicon photonics-based high-energy passively Q-switched laser[J]. Nature Photonics, 2024, 18(5): 485-491. doi: 10.1038/s41566-024-01388-0
    [5]
    宋骁钊, 朱强, 康惠, 等. 2μm固体金宝搏188软件怎么用 器多维度调控研究进展[J]. 发光学报, 2025, 46(8): 1468-1484.

    SONG X ZH, ZHU Q, KANG H, et al. Research Progress on Multi-dimensional Manipulation of 2 μm Solid-state Lasers[J]. Chinese Journal of Luminescence, 2025, 46(8): 1468-1484. (in Chinese).
    [6]
    王帅坤, 仲莉, 林楠, 等. SESAM锁模全保偏皮秒脉冲光纤金宝搏188软件怎么用 器输出特性[J]. 发光学报, 2024, 45(1): 149-156.

    WANG SH K, ZHONG L, LIN N, et al. Output Characteristics of SESAM Mode-locked All-polarization-maintaining (PM) Picosecond Fiber Laser[J]. Chinese Journal of Luminescence, 2024, 45(1): 149-156. (in Chinese).
    [7]
    尚佩瑾. 固体金宝搏188软件怎么用 器热效应及应用技术研究[D]. 西安: 西安电子科技大学, 2023.

    SHANG P J. Study on thermal effect and applied technology of solid-state laser[D]. Xi’an: Xidian University, 2023. (in Chinese).
    [8]
    PUSHKIN A V, SLOVINSKII I A, POTEMKIN F V. Megawatt-level repetitively pulsed erbium 3-µm laser with strong thermal lens compensation[J]. JETP Letters, 2020, 112(8): 478-484. doi: 10.1134/S0021364020200023
    [9]
    闫钰锋, 于洋, 白素平, 等. 板条金宝搏188软件怎么用 器光束质量控制技术研究进展[J]. 中国光学, 2019, 12(4): 767-782. doi: 10.3788/co.20191204.0767

    YAN Y F, YU Y, BAI S P, et al. Progress on beam quality control technology of slab lasers[J]. Chinese Optics, 2019, 12(4): 767-782. (in Chinese). doi: 10.3788/co.20191204.0767
    [10]
    阮鹏, 汪玉海, 潘其坤. 内腔式非稳腔DF金宝搏188软件怎么用 光束质量研究[J]. 中国光学(中英文), 2024, 17(5): 1068-1074. doi: 10.37188/CO.2023-0210

    RUAN P, WANG Y H, PAN Q K. Study on beam quality of DF laser with inner cavity unstable resonator[J]. Chinese Optics, 2024, 17(5): 1068-1074. (in Chinese). doi: 10.37188/CO.2023-0210
    [11]
    蒙裴贝, 史文宗, 蒋硕, 等. 高斯镜参数对LD泵浦Nd: YAG金宝搏188软件怎么用 器的影响[J]. 红外与金宝搏188软件怎么用 工程, 2021, 50(4): 20200127. doi: 10.3788/IRLA20200127

    MENG P B, SHI W Z, JIANG SH, et al. Influence of Gaussian mirror parameters on LD-pumped Nd: YAG laser[J]. Infrared and Laser Engineering, 2021, 50(4): 20200127. (in Chinese). doi: 10.3788/IRLA20200127
    [12]
    岱钦, 张善春, 杨帆, 等. 高光束质量高斯非稳腔固体金宝搏188软件怎么用 器研究[J]. 中国光学, 2019, 12(3): 559-566. doi: 10.3788/co.20191203.0559

    DAI Q, ZHANG SH CH, YANG F, et al. Research on the high beam quality of Gaussian unstable resonators in solid state lasers[J]. Chinese Optics, 2019, 12(3): 559-566. (in Chinese). doi: 10.3788/co.20191203.0559
    [13]
    ZHOU Y L, ZHANG X, YE ZH B, et al. Dynamic compensation method of thermal lens effect in unstable resonators with Gaussian reflectivity mirror[J]. Optics & Laser Technology, 2025, 180: 111595.
    [14]
    金宇. 脉冲金宝搏188软件怎么用 器高斯镜谐振腔的近场分布特性研究[D]. 哈尔滨: 哈尔滨工业大学, 2018.

    JIN Y. Study on near fiel distribution characteristics of Gaussian mirror resonator in pulsed laser[D]. Harbin: Harbin Institute of Technology, 2018. (in Chinese).
    [15]
    钟正根. 高斯变反射率输出镜的金宝搏188软件怎么用 谐振腔及其光束质量[D]. 重庆: 重庆师范大学, 2008.

    ZHONG ZH G. The laser resonators with Gaussian gradual reflectivity output mirror and it’s the beam quality[D]. Chongqing: Chongqing Normal University, 2008. (in Chinese).
    [16]
    廉欣唯, 付时尧, 王庆, 等. 利用衍射传输矩阵分析金宝搏188软件怎么用 介质热效应对金宝搏188软件怎么用 模式的影响[J]. 光学学报, 2025, 45(1): 0114001. doi: 10.3788/AOS241426

    LIAN X W, FU SH Y, WANG Q, et al. Influence of thermal effect on laser mode based on diffraction transmission matrix[J]. Acta Optica Sinica, 2025, 45(1): 0114001. (in Chinese). doi: 10.3788/AOS241426
    [17]
    范泛, 杨克成, 张波, 等. 高斯镜平凸非稳腔本征模场的有限元数值计算[J]. 金宝搏188软件怎么用 技术, 2007, 31(2): 192-195.

    FAN F, YANG K CH, ZHANG B, et al. Numerical calculation of mode-fields of the spherical plano-convex unstable resonator with Gaussian reflectivity mirror by means of the finite element method[J]. Laser Technology, 2007, 31(2): 192-195. (in Chinese).
  • 加载中

Catalog

    通讯作者: 陈斌, bchen63@163.com
    • 1. 

      沈阳化工大学材料科学与工程学院 沈阳 110142

    1. 本站搜索
    2. 百度学术搜索
    3. 万方数据库搜索
    4. CNKI搜索

    Figures(16)  / Tables(1)

    Article views(269) PDF downloads(15) Cited by()
    Proportional views
    Related

    /

    DownLoad:  Full-Size Img  PowerPoint
    Return
    Return
    Baidu
    map