Volume 19 Issue 1
Jan.  2026
Turn off MathJax
Article Contents
SHAN Zheng-ye, LIU Di, ZHANG Kan, NI Cheng-peng, SUN Jin-fang, CHENG Bin. Effect of non-fullerene doping on the photoelectric properties of planar heterojunction organic photodetectors[J]. Chinese Optics, 2026, 19(1): 19-28. doi: 10.37188/CO.2025-0114
Citation: SHAN Zheng-ye, LIU Di, ZHANG Kan, NI Cheng-peng, SUN Jin-fang, CHENG Bin. Effect of non-fullerene doping on the photoelectric properties of planar heterojunction organic photodetectors[J]. Chinese Optics, 2026, 19(1): 19-28. doi: 10.37188/CO.2025-0114

Effect of non-fullerene doping on the photoelectric properties of planar heterojunction organic photodetectors

cstr: 32171.14.CO.2025-0114
Funds:  Supported by the Natural Science Foundation of the Higher Education Institutions of Anhui Province, China (No. 2024AH050645, No. 2025AHGXZK30157); the Quality Project for Higher Education Institutions of Anhui Province, China (No. 2024dzxkc147)
More Information
  • Corresponding author: zydan@iflytek.com
  • Received Date: 01 Sep 2025
  • Rev Recd Date: 28 Sep 2025
  • Accepted Date: 18 Nov 2025
  • Available Online: 03 Dec 2025
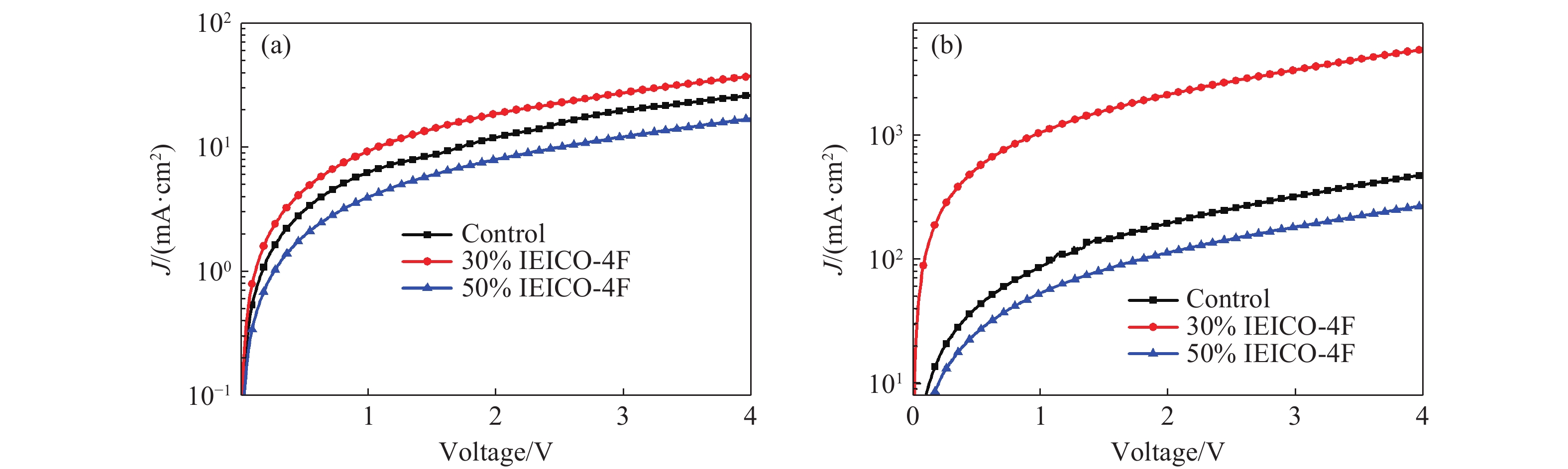
  • This study investigates the impact of doping the non-fullerene small molecule IEICO-4F into the acceptor component of a planar heterojunction organic photodetector based on the P3HT : PC71BM system on the device's optoelectronic properties. The active layer films with different doping ratios were fabricated using a solution process. Characterization techniques including current-voltage measurements, external quantum efficiency, ultraviolet-visible-near-infrared absorption spectroscopy, and photoluminescence spectroscopy were employed, combined with atomic force microscopy to analyze morphological evolution. Experimental results demonstrate that the introduction of IEICO-4F significantly broadens the absorption spectrum of the active layer into the near-infrared region (700−900 nm) and enhances photon capture efficiency through complementary absorption spectrum. At an optimized doping ratio of 30%, the device's photocurrent density increases from 19.17 mA/cm2 to 27.25 mA/cm2, and the specific detectivity improves from 0.78×1012 Jones to 1.45×1012 Jones. Morphological analysis confirms that IEICO-4F optimizes the phase distribution of PC71BM, forming a finer interpenetrating network structure that facilitates charge transfer and reduces series resistance. The study also reveals that excessive doping disrupts the phase separation balance, adversely affecting carrier separation and transport, leading to an imbalance in electron-hole transport. This work highlights the multifaceted regulatory effect of non-fullerene acceptor doping on traditional polymer: fullerene systems, effectively enhancing device performance through the synergistic mechanisms of spectral broadening and morphological optimization, thereby providing new insights for the design of organic photodetector material systems.

     

  • loading
  • [1]
    ZOU J T, ZHANG SH, TANG X. Recent advances in organic photodetectors[J]. Photonics, 2024, 11(11): 1014. doi: 10.3390/photonics11111014
    [2]
    葛宇涛, 王薇, 贺紫晗, 等. 视觉感知功能化有机光电器件研究进展[J]. 中国科学: 化学, 2024, 54(4): 537-551.

    GE Y T, WANG W, HE Z H, et al. Development of organic optoelectronic devices towards visual perception[J]. Scientia Sinica Chimica, 2024, 54(4): 537-551. (in Chinese).
    [3]
    LI ZH J, KONG X Y, LIU Y H, et al. Progress of additives for morphology control in organic photovoltaics[J]. Chinese Chemical Letters, 2024, 35(6): 109378. doi: 10.1016/j.cclet.2023.109378
    [4]
    CHEN X, JIA Z Y, CHEN Z, et al. Efficient and reproducible monolithic perovskite/organic tandem solar cells with low-loss interconnecting layers[J]. Joule, 2020, 4(7): 1594-1606. doi: 10.1016/j.joule.2020.06.006
    [5]
    ZHANG B, AN N, WU H B, et al. The first application of isoindigo-based polymers in non-fullerene organic solar cells[J]. Science China Chemistry, 2020, 63(9): 1262-1271. doi: 10.1007/s11426-020-9777-1
    [6]
    常铭茹, 石林林, 滑羽璐, 等. 无机纳米颗粒及界面层协同改善倍增型近红外有机光电探测器性能[J]. 发光学报, 2024, 45(6): 986-995. doi: 10.37188/CJL.20240056

    CHANG M R, SHI L L, HUA Y L, et al. Inorganic nanoparticles and interface layer synergistically improve performance of near-infrared organic photomultiplication photodetector[J]. Chinese Journal of Luminescence, 2024, 45(6): 986-995. (in Chinese). doi: 10.37188/CJL.20240056
    [7]
    ZHANG CH Y, LIU Y Q, LI H X, et al. Stretchable all-small-molecule organic solar cells enabled by polymer elastomer confinement[J]. Chinese Journal of Polymer Science, 2025, 43(2): 271-277. doi: 10.1007/s10118-025-3265-2
    [8]
    LI CH, ZHOU J D, SONG J L, et al. Non-fullerene acceptors with branched side chains and improved molecular packing to exceed 18% efficiency in organic solar cells[J]. Nature Energy, 2021, 6(6): 605-613. doi: 10.1038/s41560-021-00820-x
    [9]
    WU J P, WANG X, TANG X, et al. Low-power and multimodal organic photoelectric synaptic transistors modulated by photoisomerization for UV damage perception and artificial visual recognition[J]. Advanced Functional Materials, 2025, 35(25): 2420073. doi: 10.1002/adfm.202420073
    [10]
    ZHANG X N, LI Y X, ZHANG D Y, et al. Molecular dispersion enhances photovoltaic efficiency and thermal stability in quasi-bilayer organic solar cells[J]. Science China Chemistry, 2021, 64(1): 116-126. doi: 10.1007/s11426-020-9837-y
    [11]
    LI D H, CHEN X L, CAI J L, et al. Non-fullerene acceptor fibrils enable efficient ternary organic solar cells with 16.6% efficiency[J]. Science China Chemistry, 2020, 63(10): 1461-1468. doi: 10.1007/s11426-019-9681-8
    [12]
    KABIR S, TAKAYASHIKI Y, OHNO A, et al. Near-infrared organic photodetectors with a soluble Alkoxy-Phthalocyanine derivative[J]. Optical Materials, 2022, 126: 112209. doi: 10.1016/j.optmat.2022.112209
    [13]
    王其, 延玲玲, 陈兵兵, 等. 钙钛矿/硅异质结叠层太阳电池: 光学模拟的研究进展[J]. 物理学报, 2021, 70(5): 057802. doi: 10.7498/aps.70.20201585

    WANG Q, YAN L L, CHEN B B, et al. Perovskite/silicon heterojunction tandem solar cells: advances in optical simulation[J]. Acta Physica Sinica, 2021, 70(5): 057802. (in Chinese). doi: 10.7498/aps.70.20201585
    [14]
    GAO Y, YANG X R, SUN R, et al. All-small-molecule organic solar cells with 18.1% efficiency and enhanced stability enabled by improving light harvesting and nanoscale microstructure[J]. Joule, 2023, 7(12): 2845-2858. doi: 10.1016/j.joule.2023.10.006
    [15]
    WANG H Y, ZHENG Y F, QIN R H, et al. Highly sensitive panchromatic ternary polymer photodetectors enabled by Förster resonance energy transfer and post solvent treatment[J]. Journal of Physics D: Applied Physics, 2018, 51(10): 104002. doi: 10.1088/1361-6463/aaab34
    [16]
    RODRÍGUEZ-MAS F, GONZÁLEZ P C, GARCÍA D V, et al. Reuse of P3HT: PCBM-based organic solar cells as photodetectors: extending lifetime in optoelectronic applications[J]. Results in Engineering, 2025, 26: 105255. doi: 10.1016/j.rineng.2025.105255
    [17]
    KONG T Y, WANG H Y, LIU X Y, et al. Improving the efficiency of bulk heterojunction polymer solar cells via binary-solvent treatment[J]. IEEE Journal of Photovoltaics, 2017, 7(1): 214-220. doi: 10.1109/JPHOTOV.2016.2627400
    [18]
    李小丽, 李艳莉, 李冬. 阳离子交换法可控制备CdS@PbS核壳量子点及其近红外探测器性能[J]. 应用化学, 2025, 42(8): 1078-1086. doi: 10.19894/j.issn.1000-0518.250035

    LI X L, LI Y L, LI D. Controllable preparation of CdS@PbS core/shell quantum dots via cation exchange and their near-infrared photodetector[J]. Chinese Journal of Applied Chemistry, 2025, 42(8): 1078-1086. (in Chinese). doi: 10.19894/j.issn.1000-0518.250035
    [19]
    WANG H Y, XING SH, ZHENG Y F, et al. Three-phase morphology evolution in sequentially solution-processed polymer photodetector: toward low dark current and high photodetectivity[J]. ACS Applied Materials & Interfaces, 2018, 10(4): 3856-3864.
    [20]
    ZHANG T Y, WINKLER L C, WOLANSKY J, et al. High-performance filterless blue narrowband organic photodetectors[J]. Advanced Functional Materials, 2024, 34(2): 2308719. doi: 10.1002/adfm.202308719
    [21]
    WANG H Y, ZHENG Y F, ZHANG L, et al. Effect of two-step annealing on the performance of ternary polymer solar cells based on P3HT: PC71BM: SQ[J]. Solar Energy Materials and Solar Cells, 2014, 128: 215-220. doi: 10.1016/j.solmat.2014.05.026
    [22]
    PARK J S, KIM G U, LEE S, et al. Material design and device fabrication strategies for stretchable organic solar cells[J]. Advanced Materials, 2022, 34(31): 2201623. doi: 10.1002/adma.202201623
    [23]
    WANG X, WANG H Y, HUANG W, et al. Realization of high detectivity organic ultraviolet photodetectors by modifying polymer active layer[J]. Organic Electronics, 2014, 15(11): 3000-3005. doi: 10.1016/j.orgel.2014.08.045
    [24]
    王一铭, 杨博翔, 张华久, 等. 机器学习驱动的钙钛矿发光材料研究进展: 智能设计、性能优化与产业化应用[J]. 应用化学, 2025, 42(6): 757-775. doi: 10.19894/j.issn.1000-0518.250064

    WANG Y M, YANG B X, ZHANG H J, et al. Research progress of machine learning-driven perovskite luminescent materials: intelligent design, performance optimization and industrial application[J]. Chinese Journal of Applied Chemistry, 2025, 42(6): 757-775. (in Chinese). doi: 10.19894/j.issn.1000-0518.250064
    [25]
    LI W, XU Y L, MENG X Y, et al. Visible to near-infrared photodetection based on ternary organic heterojunctions[J]. Advanced Functional Materials, 2019, 29(20): 1808948. doi: 10.1002/adfm.201808948
    [26]
    HUO Y, GONG X T, LAU T K, et al. Dual-accepting-unit design of donor material for all-small-molecule organic solar cells with efficiency approaching 11%[J]. Chemistry of Materials, 2018, 30(23): 8661-8668. doi: 10.1021/acs.chemmater.8b03980
  • 加载中

Catalog

    通讯作者: 陈斌, bchen63@163.com
    • 1. 

      沈阳化工大学材料科学与工程学院 沈阳 110142

    1. 本站搜索
    2. 百度学术搜索
    3. 万方数据库搜索
    4. CNKI搜索

    Figures(8)  / Tables(3)

    Article views(251) PDF downloads(14) Cited by()
    Proportional views
    Related

    /

    DownLoad:  Full-Size Img  PowerPoint
    Return
    Return
    Baidu
    map