Volume 19 Issue 1
Jan.  2026
Turn off MathJax
Article Contents
XIA Yong-tao, HOU Shang-lin, FENG Yun-long, XIE Cai-jian, LEI Jing-li, WU Gang, YAN Zu-yong. Broadband high-coherence supercontinuum in Al0.24Ga0.76As photonic crystal fibers[J]. Chinese Optics, 2026, 19(1): 164-178. doi: 10.37188/CO.EN-2025-0011
Citation: XIA Yong-tao, HOU Shang-lin, FENG Yun-long, XIE Cai-jian, LEI Jing-li, WU Gang, YAN Zu-yong. Broadband high-coherence supercontinuum in Al0.24Ga0.76As photonic crystal fibers[J]. Chinese Optics, 2026, 19(1): 164-178. doi: 10.37188/CO.EN-2025-0011

Broadband high-coherence supercontinuum in Al0.24Ga0.76As photonic crystal fibers

cstr: 32171.14.CO.EN-2025-0011
Funds:  Supported by National Natural Science Foundation of China (No. 61665005); Natural Science Foundation of Gansu Province (No. 24JRRA208)
More Information
  • Author Bio:

    XIA Yong-tao (1998—), male, born in Tianshui, Gansu Province, master student. He received his bachelor's degree from Lanzhou University of Technology in 2020. He is mainly engaged in research on guided-wave optics and optical fiber communication technologies. E-mail:15117207213@163.com

    HOU Shang-lin (1970—), male, born in Tianshui, Gansu Province, Ph.D., professor and doctoral supervisor. He received his Ph.D. from Beijing University of Posts and Telecommunications in 2008. He is mainly engaged in research on novel optical fibers and high-speed optoelectronic devices, next-generation high-speed all-optical communication networks, as well as fiber optic sensors and sensing network technologies. E-mail: houshanglin@vip.163.com

  • Corresponding author: houshanglin@vip.163.com
  • Received Date: 26 Feb 2025
  • Rev Recd Date: 24 Mar 2025
  • Accepted Date: 29 Apr 2025
  • Available Online: 27 Sep 2025
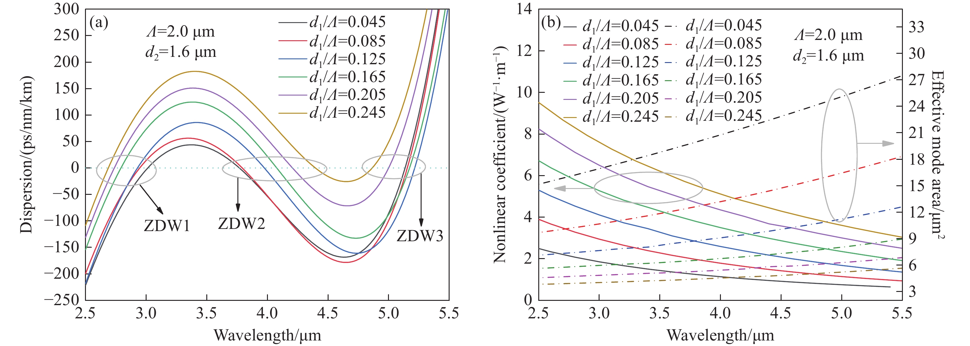
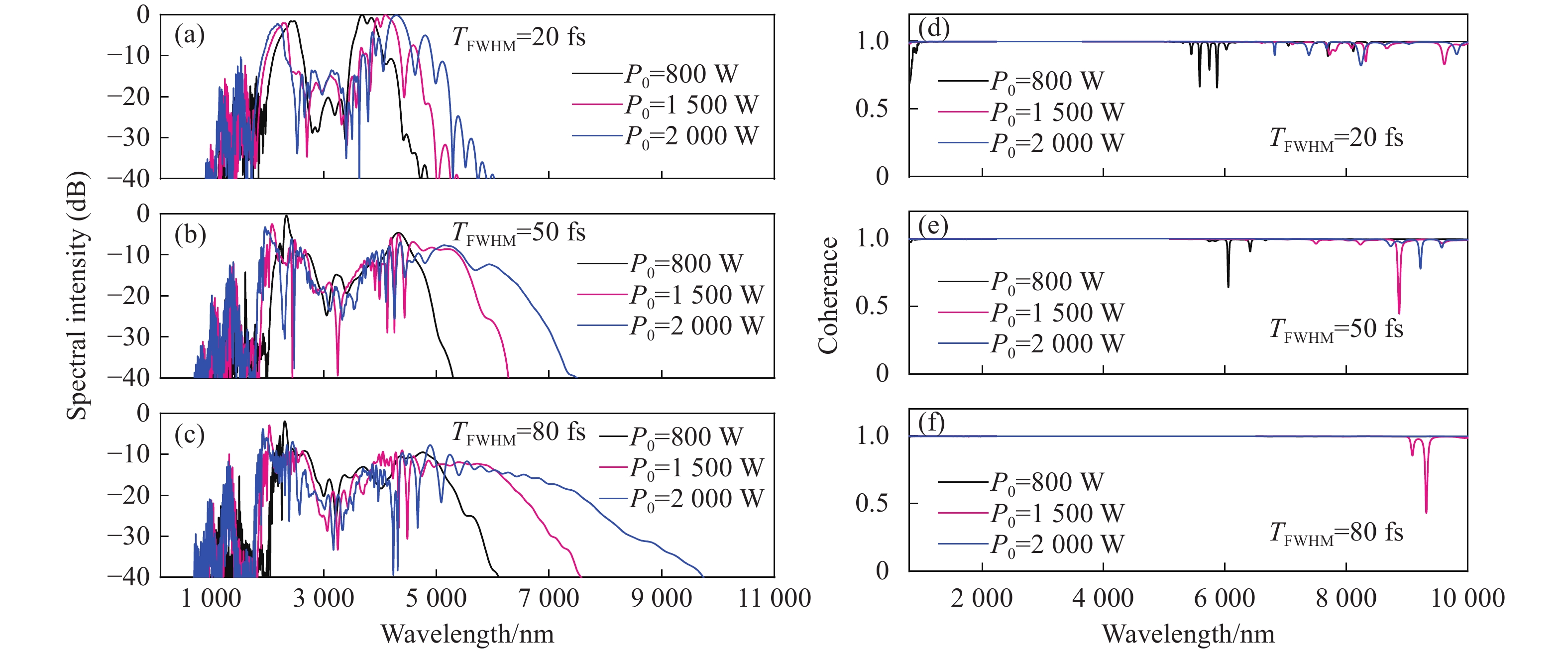
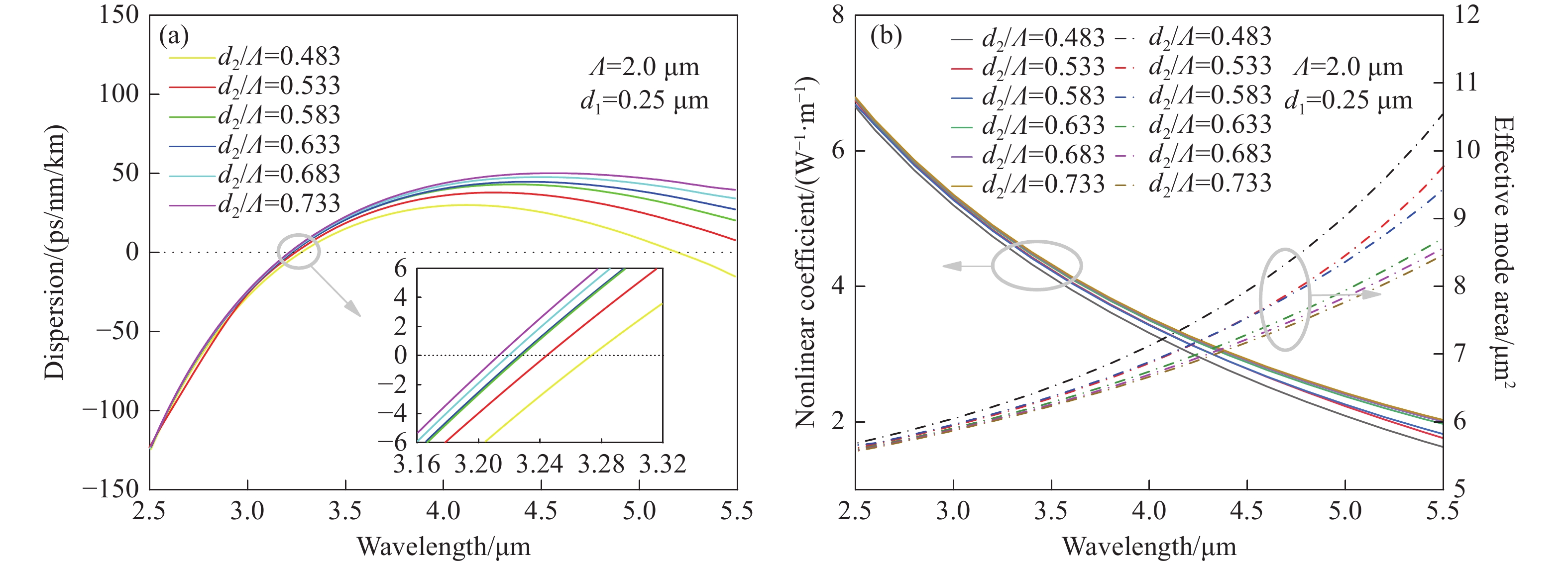
  • An alternative elliptical and circle air-hole-assisted Al0.24Ga0.76As photonic crystal fiber (PCF) was proposed for generating broadband high-coherence mid-infrared supercontinuum, and the dispersion, effective mode area and nonlinear coefficient were investigated by using finite element method (FEM), the evolution of optical pulses propagating along the fiber was simulated, and the supercontinuum and the coherence were analyzed and evaluated under different pumping conditions. The results show that a supercontinuum spectrum with a spectral width of 4.852 μm can be obtained in the proposed fiber with d1/Λ of 0.125, d2/Λ of 0.583 and the zero-dispersion wavelength of 3.228 μm by pumping with a Gaussian pulse with a peak power of 800 W and a full width at half maximum (FWHM) of 20 fs at wavelength of 3.3 μm. When the fiber is pumped by the pulse with the peak power of 2000 W, the FWHM of 80 fs at the wavelength of 4.0 μm in the in the anomalous dispersion region, the modulation instability is obviously suppressed, and the high-coherence supercontinuum spectrum spanning from 1.1 μm to 8.99 μm is observed. A part of the pulse energy is transferred to the anomalous dispersion region when pumped at the wavelength of 2.8 μm in the normal dispersion region and a broadband high-coherence supercontinuum spectrum extending from 0.8 μm to 9.8 μm is generated in the 10 mm proposed fiber. This paper introduces elliptical air holes in the Al0.24Ga0.76As photonic crystal fiber, which enhances flexibility for tailoring the performance of supercontinuum, ultimately achieving the broadest supercontinuum spectrum with the shortest fiber length to date.

     

  • loading
  • [1]
    AGRAWAL G P. Nonlinear Fiber Optics[M]. 6th ed. Amsterdam: Elsevier, 2019.
    [2]
    STOICHEFF B P. Characteristics of stimulated Raman radiation generated by coherent light[J]. Physics Letters, 1963, 7(3): 186-188. doi: 10.1016/0031-9163(63)90377-9
    [3]
    ALFANO R R, SHAPIRO S L. Emission in the region 4000 to 7000 Å via four-photon coupling in glass[J]. Physical Review Letters, 1970, 24(11): 584-587. doi: 10.1103/PhysRevLett.24.584
    [4]
    BONDARENKO N G. EREMINA I V, TALANOV V I. Broadening of spectrum in self focusing of light in crystals[J]. Journal of Experimental and Theoretical Phvsics Letters, 1970, 12(3): 85-88.
    [5]
    WERNCKE W, LAU A, PFEIFFER M, et al. An anomalous frequency broadening in water[J]. Optics Communications, 1972, 4(6): 413-415. doi: 10.1016/0030-4018(72)90113-7
    [6]
    FORK R L, SHANK C V, HIRLIMANN C, et al. Femtosecond white-light continuum pulses[J]. Optics Letters, 1983, 8(1): 1-3. doi: 10.1364/OL.8.000001
    [7]
    MANASSAH J, HO P, KATZ A, et al. Ultrafast supercontinuum laser source[J]. Photonics Spectra, 1984, 18(11): 53.
    [8]
    SCHLIESSER A, PICQUÉ N, HÄNSCH T W. Mid-infrared frequency combs[J]. Nature Photonics, 2012, 6(7): 440-449. doi: 10.1038/nphoton.2012.142
    [9]
    JAHROMI K E, PAN Q, HØGSTEDT L, et al. Mid-infrared supercontinuum-based upconversion detection for trace gas sensing[J]. Optics Express, 2019, 27(17): 24469-24480. doi: 10.1364/OE.27.024469
    [10]
    HUANG Y S, KARASHIMA T, YAMAMOTO M, et al. Molecular-level investigation of the structure, transformation, and bioactivity of single living fission yeast cells by time- and space-resolved Raman spectroscopy[J]. Biochemistry, 2005, 44(30): 10009-10019. doi: 10.1021/bi050179w
    [11]
    UDEM T, HOLZWARTH R, HÄNSCH T W. Optical frequency metrology[J]. Nature, 2002, 416(6877): 233-237. doi: 10.1038/416233a
    [12]
    ADAMU A I, DASA M K, BANG O, et al. Multispecies continuous gas detection with supercontinuum laser at telecommunication wavelength[J]. IEEE Sensors Journal, 2020, 20(18): 10591-10597. doi: 10.1109/JSEN.2020.2993549
    [13]
    SU R, KIRILLIN M, CHANG E W, et al. Perspectives of mid-infrared optical coherence tomography for inspection and micrometrology of industrial ceramics[J]. Optics Express, 2014, 22(13): 15804-15819. doi: 10.1364/OE.22.015804
    [14]
    GAETA A L. Catastrophic collapse of ultrashort pulses[J]. Physical Review Letters, 2000, 84(16): 3582-3585. doi: 10.1103/PhysRevLett.84.3582
    [15]
    AKÖZBEK N, SCALORA M, BOWDEN C M, et al. White-light continuum generation and filamentation during the propagation of ultra-short laser pulses in air[J]. Optics Communications, 2001, 191(3-6): 353-362. doi: 10.1016/S0030-4018(01)01113-0
    [16]
    DUDLEY J M, GENTY G, COEN S. Supercontinuum generation in photonic crystal fiber[J]. Reviews of Modern Physics, 2006, 78(4): 1135-1184. doi: 10.1103/RevModPhys.78.1135
    [17]
    LIN C, STOLEN R H. New nanosecond continuum for excited-state spectroscopy[J]. Applied Physics Letters, 1976, 28(4): 216-218. doi: 10.1063/1.88702
    [18]
    NAYAK S K, AHMED M S, MURALI R, et al. All-optical modulation and photonic diode based on spatial self-phase modulation in porphyrin–napthalimide molecules[J]. Journal of Materials Chemistry C, 2024, 12(26): 9841-9852. doi: 10.1039/D4TC00600C
    [19]
    CUI CH H, ZHANG L, FAN L R. Reconfigurable self-phase modulation enabled by cascaded nonlinear backaction in integrated photonics[J]. Physical Review Letters, 2025, 134(10): 103803. doi: 10.1103/PhysRevLett.134.103803
    [20]
    RANJAN R, SIRLETO L. Stimulated raman scattering microscopy: a review[J]. Photonics, 2024, 11(6): 489. doi: 10.3390/photonics11060489
    [21]
    FENG Y L, JIE D, HOU SH L, et al. Analysis on acoustic modes and Brillouin gain spectra of backward stimulated Brillouin scattering in W-type acoustic waveguide optical fibers[J]. Optics Express, 2024, 32(21): 36434-36452. doi: 10.1364/OE.531916
    [22]
    HASEGAWA A, TAPPERT F. Transmission of stationary nonlinear optical pulses in dispersive dielectric fibers. I. Anomalous dispersion[J]. Applied Physics Letters, 1973, 23(3): 142-144. doi: 10.1063/1.1654836
    [23]
    MOLLENAUER L F, STOLEN R H, GORDON J P. Experimental observation of picosecond pulse narrowing and solitons in optical fibers[J]. Physical Review Letters, 1980, 45(13): 1095-1098. doi: 10.1103/PhysRevLett.45.1095
    [24]
    KNIGHT J C, BIRKS T A, RUSSELL P S J, et al. All-silica single-mode optical fiber with photonic crystal cladding[J]. Optics Letters, 1996, 21(19): 1547-1549. doi: 10.1364/OL.21.001547
    [25]
    THI T N, TRONG D H, VAN L C. Comparison of supercontinuum spectral widths in CCl4-core PCF with square and circular lattices in the claddings[J]. Laser Physics, 2023, 33(5): 055102. doi: 10.1088/1555-6611/acc240
    [26]
    THI T N, TRONG D H, VAN L C. Supercontinuum generation in ultra-flattened near-zero dispersion PCF with C7H8 infiltration[J]. Optical and Quantum Electronics, 2023, 55(1): 93. doi: 10.1007/s11082-022-04351-x
    [27]
    TRAN B T L, VAN L C. A new type of supercontinuum generation in hexagonal lattice C6H6-core PCF with broadband and low-power pump[J]. International Journal of Modern Physics B, 2024, 38(26): 2450353. doi: 10.1142/S0217979224503533
    [28]
    BI W J, GAO J J, LI X, et al. Mid-infrared supercontinuum generation in silica photonic crystal fibers[J]. Applied Optics, 2016, 55(23): 6355-6362. doi: 10.1364/AO.55.006355
    [29]
    HOSSAIN S, SHAH S, FAISAL M. Ultra-high birefringent, highly nonlinear Ge20Sb15Se65 chalcogenide glass photonic crystal fiber with zero dispersion wavelength for mid-infrared applications[J]. Optik, 2021, 225: 165753. doi: 10.1016/j.ijleo.2020.165753
    [30]
    SEDDON A B, FARRIES M C, NUNES J J, et al. Short review and prospective: chalcogenide glass mid-infrared fibre lasers[J]. The European Physical Journal Plus, 2024, 139(2): 142. doi: 10.1140/epjp/s13360-023-04841-1
    [31]
    SAINI S, KRITIKA K, DEVVRAT D, et al. Survey of chalcogenide glasses for engineering applications[J]. Materials Today: Proceedings, 2021, 45: 5523-5528. doi: 10.1016/j.matpr.2021.02.297
    [32]
    CHENG T L, KAWASHIMA H, XUE X J, et al. Fabrication of a chalcogenide-tellurite hybrid microstructured optical fiber for flattened and broadband supercontinuum generation[J]. Journal of Lightwave Technology, 2015, 33(2): 333-338. doi: 10.1109/JLT.2014.2379912
    [33]
    PATRA P, ANNAPURNA K. Transparent tellurite glass-ceramics for photonics applications: a comprehensive review on crystalline phases and crystallization mechanisms[J]. Progress in Materials Science, 2022, 125: 100890. doi: 10.1016/j.pmatsci.2021.100890
    [34]
    MHAREB M H A, SAYYED M I, ALONIZAN N, et al. Radiation shielding, optical, structural, morphological, and thermal features for tellurite glass ceramics[J]. Nuclear Engineering and Technology, 2024, 56(11): 4708-4715. doi: 10.1016/j.net.2024.06.034
    [35]
    MEDJOURI A, MERAGHNI E B, HATHROUBI H, et al. Design of ZBLAN photonic crystal fiber with nearly zero ultra-flattened chromatic dispersion for supercontinuum generation[J]. Optik, 2017, 135: 417-425. doi: 10.1016/j.ijleo.2017.01.082
    [36]
    TANG Y T, LUO X, DONG F L, et al. All-fiber mid-infrared enhanced supercontinuum generation in an erbium-doped ZBLAN fiber amplifier[J]. Journal of Lightwave Technology, 2023, 41(9): 2855-2861.
    [37]
    GUO CH Y, SHEN P SH, RUAN SH CH, et al. Dual-wavelength pumped 2.8 μm Er-doped ZBLAN fiber laser with high overall optical efficiency[J]. Infrared Physics & Technology, 2023, 132: 104739.
    [38]
    AITCHISON J S, HUTCHINGS D C, KANG J U, et al. The nonlinear optical properties of AlGaAs at the half band gap[J]. IEEE Journal of Quantum Electronics, 1997, 33(3): 341-348. doi: 10.1109/3.556002
    [39]
    FAN H, YUE H CH, MAO J M, et al. Modelling and fabrication of wide temperature range Al0.24Ga0.76As/GaAs hall magnetic sensors[J]. Journal of Semiconductors, 2022, 43(3): 034101. doi: 10.1088/1674-4926/43/3/034101
    [40]
    KUMAR A, GUPTA P K, MISHRA M, et al. Raman response function of AlGaAs doped glass[J]. Nanoscience & Nanotechnology-Asia, 2022, 12(6): e150622205993.
    [41]
    GEHRSITZ S, REINHART F K, GOURGON C, et al. The refractive index of AlxGa1−xAs below the band gap: accurate determination and empirical modeling[J]. Journal of Applied Physics, 2000, 87(11): 7825-7837. doi: 10.1063/1.373462
    [42]
    SAVANIER M, ANDRONICO A, LEMAÎTRE A, et al. Large second-harmonic generation at 1.55 μm in oxidized AlGaAs waveguides[J]. Optics Letters, 2011, 36(15): 2955-2957. doi: 10.1364/OL.36.002955
    [43]
    SHARMA M, DHASARATHAN V, SKIBINA J S, et al. Giant nonlinear AlGaAs-doped glass photonic crystal fibers for efficient soliton generation at femtojoule energy[J]. IEEE Photonics Journal, 2019, 11(4): 7102411.
    [44]
    KIRORIWAL M, SINGAL P. Numerical analysis on the supercontinuum generation through Al0.24Ga0.76As based photonic crystal fiber[J]. Sādhanā, 2021, 46(3): 167.
    [45]
    JAIN S K, SHARMA R, AMRIT P, et al. Semiconductor material photonic crystal fiber for mid-infrared supercontinuum generation[J]. Materials Today: Proceedings, 2023, 74: 255-258. doi: 10.1016/j.matpr.2022.08.117
    [46]
    WAGHMARE M, REDDY K T V. A novel structure of photonic crystal fibre for dispersion compensation over broadband range[J]. Sādhanā, 2017, 42(11): 1883-1887.
    [47]
    XIE Y H, PEI L, ZHENG J J, et al. Design of steering wheel-type ring depressed-core 10-mode fiber with fully improved mode spacing[J]. Optics Express, 2021, 29(10): 15067-15077. doi: 10.1364/OE.424554
    [48]
    WANG W CH, WANG N, JIA H ZH. Research on the dispersion characteristics of silica-based ring-core photonic crystal fiber used to transmit orbital angular momentum modes[J]. Optik, 2021, 241: 166935. doi: 10.1016/j.ijleo.2021.166935
    [49]
    SAGHAEI H, EBNALI-HEIDARI M, MORAVVEJ-FARSHI M K. Midinfrared supercontinuum generation via As2Se3 chalcogenide photonic crystal fibers[J]. Applied Optics, 2015, 54(8): 2072-2079. doi: 10.1364/AO.54.002072
    [50]
    CHAUHAN P, KUMAR A, KALRA Y. Computational modeling of tellurite based photonic crystal fiber for infrared supercontinuum generation[J]. Optik, 2019, 187: 92-97. doi: 10.1016/j.ijleo.2019.03.106
    [51]
    LIN D, XU D Y, HE J, et al. The generation of 1.2 μJ pulses from a Mamyshev oscillator based on a high concentration, large-mode-area Yb-doped fiber[J]. Journal of Lightwave Technology, 2022, 40(21): 7175-7179. doi: 10.1109/JLT.2022.3198737
    [52]
    YU Y, LIAN Y D, HU Q, et al. Design of PCF supporting 86 OAM modes with high mode quality and low nonlinear coefficient[J]. Photonics, 2022, 9(4): 266. doi: 10.3390/photonics9040266
    [53]
    HULT J. A fourth-order Runge-Kutta in the interaction picture method for simulating supercontinuum generation in optical fibers[J]. Journal of Lightwave Technology, 2007, 25(12): 3770-3775. doi: 10.1109/JLT.2007.909373
    [54]
    SHAMIM M H M, BRILLAND L, CHAHAL R, et al. All-fiber coherent supercontinuum generation in a cascade of silica, fluoride, and chalcogenide fibers[J]. Journal of Physics: Photonics, 2024, 6(4): 045018. doi: 10.1088/2515-7647/ad819e
    [55]
    SAINI T S, TUAN T H, SUZUKI T, et al. Coherent mid-IR supercontinuum generation using tapered chalcogenide step-index optical fiber: experiment and modelling[J]. Scientific Reports, 2020, 10(1): 2236. doi: 10.1038/s41598-020-59288-6
    [56]
    DASHTBAN Z, SALEHI M R, ABIRI E. Supercontinuum generation in near- and mid-infrared spectral region using highly nonlinear silicon-core photonic crystal fiber for sensing applications[J]. Photonics and Nanostructures - Fundamentals and Applications, 2021, 46: 100942. doi: 10.1016/j.photonics.2021.100942
    [57]
    TONG H T, KOUMURA A, NAKATANI A, et al. Chalcogenide all-solid hybrid microstructured optical fiber with polarization maintaining properties and its mid-infrared supercontinuum generation[J]. Optics Express, 2022, 30(14): 25433-25449. doi: 10.1364/OE.459745
    [58]
    SHAHRIAR T A M R, ISLAM O, TAHMID M I, et al. Highly coherent supercontinuum generation in circular lattice photonic crystal fibers using low-power pulses[J]. Optik, 2023, 272: 170258. doi: 10.1016/j.ijleo.2022.170258
    [59]
    XIE SH Y, ZHOU J M, NIE CH, et al. Mid-infrared supercontinuum generation of orbital angular momentum modes based on ring-core As2S3 photonic crystal fiber[J]. Optical Fiber Technology, 2023, 81: 103522. doi: 10.1016/j.yofte.2023.103522
    [60]
    KHAMARU A, KUMAR A. As38Se62 based segmented clad-graded index photonic crystal fiber for supercontinuum generation covering 3-9.5 μm with moderate peak power[J]. Optical and Quantum Electronics, 2024, 56(7): 1246. doi: 10.1007/s11082-024-07176-y
    [61]
    THI T N, TRONG D H, VAN L C. Broadband supercontinuum generation in different lattices of As2Se3-photonic crystal fibers with all-normal dispersion and low peak power[J]. Optical and Quantum Electronics, 2024, 56(3): 367. doi: 10.1007/s11082-023-06043-6
  • 加载中

Catalog

    通讯作者: 陈斌, bchen63@163.com
    • 1. 

      沈阳化工大学材料科学与工程学院 沈阳 110142

    1. 本站搜索
    2. 百度学术搜索
    3. 万方数据库搜索
    4. CNKI搜索

    Figures(10)  / Tables(3)

    Article views(326) PDF downloads(10) Cited by()
    Proportional views
    Related

    /

    DownLoad:  Full-Size Img  PowerPoint
    Return
    Return
    Baidu
    map