2023年 16卷 第5期
作为一种新型光电探测技术,偏振成像可同时获取场景的空间分布和偏振特征,针对特定应用场景具有优异的材质区分及轮廓辨识能力,广泛应用于目标探测、生命科学、环境监测、三维成像等领域。偏振分光或滤光器件是偏振成像系统的核心元件,然而该类传统器件受限于体积庞大、性能不佳、易受干扰等问题,难以满足高集成、高性能、高可靠性偏振成像系统的要求。超构表面是一种结构单元以亚波长间隔准周期排列而成的二维平面器件,可在不同偏振方向对光场的振幅、相位进行精细操纵。基于超构表面的偏振器件具有体积小、重量轻、维度高等特点,为集成化偏振成像系统提供了新的解决方案。本文针对偏振成像,综述相关超构表面的功能原理、发展脉络和未来趋势,讨论并展望其在成像应用和系统集成方面所面临的挑战与机遇。
为了明晰碟片多通放大器的腔体设计方法,本文对不同类型的碟片多通放大器做归纳与总结,共归纳出4
微型头戴式单光子荧光显微成像技术是近些年出现的用于神经科学研究的一种突破性方法,可以对自由移动活体动物的神经活动进行实时成像,提供了一种前所未有的方式来访问神经信号,增强了对大脑如何工作的理解。在脑科学研究需求的推动下,目前已经出现了许多种类型的微型头戴式单光子荧光显微镜,如高分辨率成像、无线记录、三维成像、双区域成像和双色成像等。为了更加全面地了解和认识这种新兴的光学神经成像技术,本文按成像视场进行分类,对目前报道的不同类型微型头戴式单光子荧光显微镜所具有的特点进行了介绍,重点讨论了其所采用的光学系统方案和光学性能参数,分析对比了不同方案的优缺点,以及未来的改进方向,以便为脑科学研究人员的实际应用提供参考。
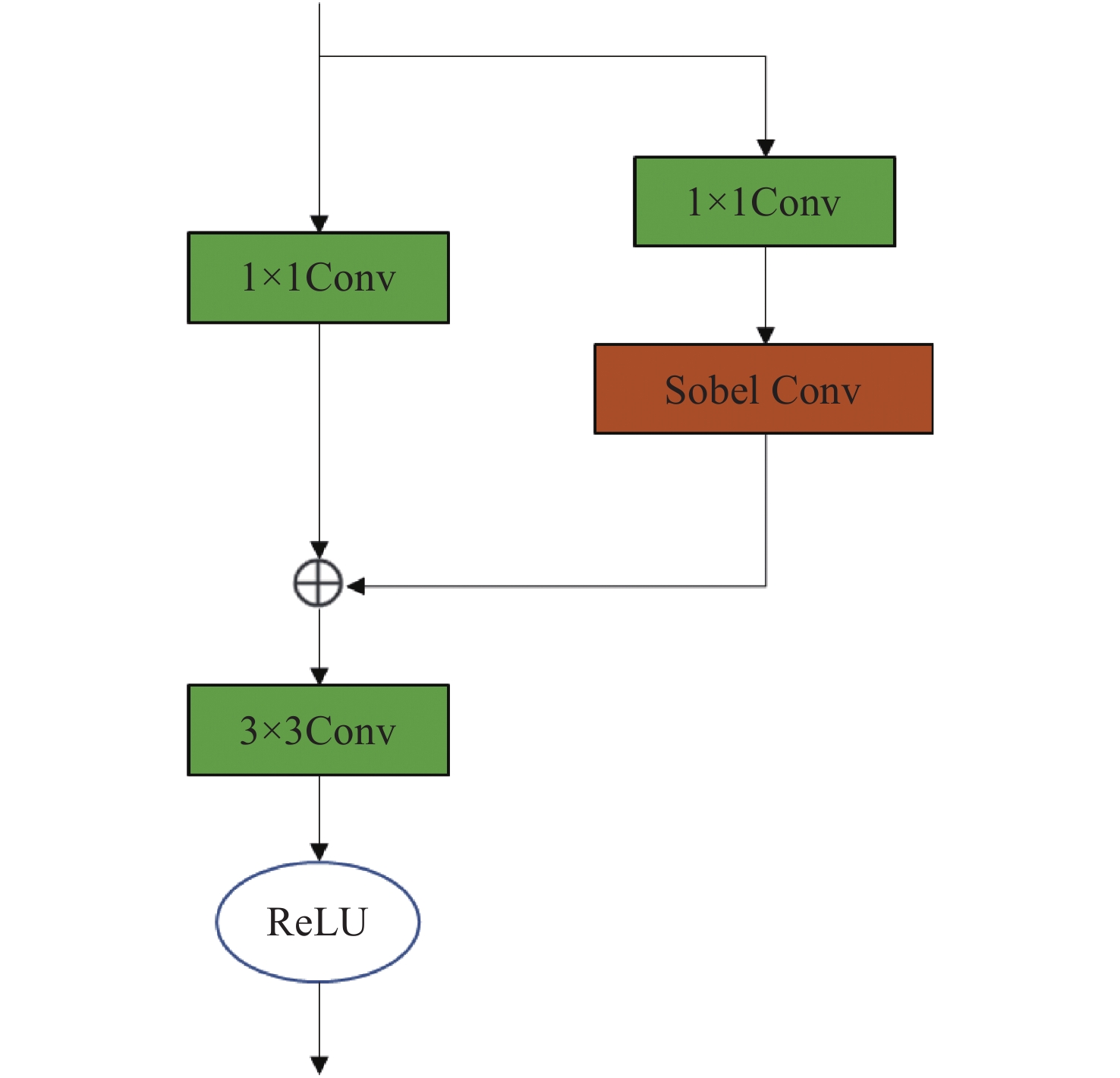
针对结直肠镜图像分辨率偏低、纹理信息偏少和细节模糊等缺点,提出了一种基于残差注意力网络的图像超分辨率重建算法SMRAN,选取结直肠息肉内窥镜图像数据集PolypsSet中的部分图像作为原始数据进行实验。首先,使用卷积网络提取低分辨率图像的浅层特征;其次,设计Res-Sobel结构对图像边缘特征进行增强;然后,通过引入不同大小的卷积核,设计多尺度特征融合模块(Multi-Scale feature Extraction Block, MEB),自适应地提取不同尺度的特征,从而得到有效的图像信息,并通过残差注意力网络将Res-Sobel模块和多尺度特征融合模块MEB进行连接;最后,通过亚像素卷积层对图像进行重建,得到最终的高分辨率图像。在尺度因子为×4时,网络在测试集上的测试结果如下: 峰值信噪比PSNR为34.25 dB,结构相似性SSIM为0.8675。实验结果表明,与传统的双三次插值算法及常用的SRCNN、RCAN等深度学习算法相比,本文提出的SMRAN对结直肠内窥镜图像具有更好的超分辨率重建效果。
光学成像分辨率受衍射极限、探测器尺寸等诸多因素限制。为了获得细节更丰富、纹理更清晰的超分辨率图像,本文提出了一种多尺度特征注意力融合残差网络。首先,使用一层卷积提取图像的浅层特征,之后,通过级联的多尺度特征提取单元提取多尺度特征,多尺度特征提取单元中引入通道注意力模块自适应地校正特征通道的权重,以提高对高频信息的关注度。将网络中的浅层特征和每个多尺度特征提取单元的输出作为全局特征融合重建的层次特征。最后,利用残差分支引入浅层特征和多级图像特征,重建出高分辨率图像。算法使用Charbonnier损失函数使训练更加稳定,收敛速度更快。在国际基准数据集上的对比实验表明:该模型的客观指标优于大多数最先进的方法。尤其在Set5数据集上,4倍重建结果的PSNR指标提升了0.39 dB,SSIM指标提升至0.8992,且算法主观视觉效果更好。
车载红外图像的目标检测是自动驾驶进行道路环境感知的重要方式。针对现有车载红外图像目标检测算法中内存利用率低、计算复杂和检测精度低的问题,提出了一种改进YOLOv5s的轻量型目标检测算法。首先,将C3Ghost和Ghost模块引入YOLOv5s检测网络,以降低网络复杂度。其次,引进αIoU损失函数,以提升目标的定位精度和训练效率。然后,降低网络结构下采样率,并利用KMeans聚类算法优化先验框大小,以提高小目标检测能力。最后,分别在主干网络和颈部引入坐标注意力(Coordinate Attention,CA)和空间深度卷积模块进一步优化模型,提升模型特征的提取能力。实验结果表明,相对于原YOLOv5s算法,改进算法的模型大小压缩78.1%,参数量和每秒千兆浮点运算数分别减少84.5%和40.5%,平均检测精度和检测速度分别提升4.2%和10.9%。
为了更好地保留多光谱去马赛克图像中的高频信息,本文提出了一种基于改进引导滤波器的多光谱图像去马赛克方法。首先,基于自回归模型对相邻像素点间的强相关性进行建模,在每个像素处渐进估计其模型参数,通过最小化局部窗口内的估计误差,得到最优估计值来插值采样密集波段G,并生成高质量的引导图像;然后,引入加窗固有变分系数到惩罚因子中,得到具有边缘感知能力的加权引导滤波器并重建其余稀疏采样波段。最后,使用CAVE数据集和TokyoTech数据集进行仿真。实验结果表明:相较于主流的5波段多光谱图像去马赛克方法,本方法重建图像的峰值信噪比和结构相似度在CAVE数据集和TokyoTech数据集上分别提高了3.40%,2.02%,1.34%,0.30%和6.11%,5.95%,2.28%,1.42%,且更好地保留了原始图像的局部结构和颜色信息,减少了边缘伪影和噪声现象的出现。
针对红外图像序列中复杂背景干扰下容易出现的高虚警问题,提出一种基于
在空间引力波探测的超长臂干涉测量过程中,杂散光问题长期以来受到广泛关注。一方面,本地干涉仪发出的金宝搏188软件怎么用 通过望远镜时会产生后向相干杂散光。另一方面,在轨情况下,来自空间的环境辐射入射到航天器还会产生前向非相干杂散光。一直以来,前向非相干杂散光受到的关注较少,然而却是空间引力波望远镜设计必须要考虑的因素。因此,本文对空间引力波探测望远镜在轨情况下产生的杂散光进行测量与抑制。首先,根据太极计划三星卫星编队的轨道数据对全年太阳角进行计算,对1064 nm波段附近的太阳辐射进行评估,推导了遮光罩投影函数,最终给出遮光罩设计指标。然后,对望远镜进行光学与机械建模,并对关键光学元件进行散射测量。最后,根据入射太阳光能量对到达望远镜出瞳的杂散光进行计算。结果表明:当入射光与光轴夹角为60°时,出瞳处的杂散辐射可达到3.9×10−12 W,对应点源透射比为8.7×10−9,满足空间引力波探测超低杂散光的需求。
空间引力波探测金宝搏188软件怎么用
干涉系统由多路干涉仪组成,涉及到多组干涉信号的相位采集和读出,多通道相位测量系统是空间金宝搏188软件怎么用
干涉的关键核心技术之一。本文从太极计划及其地基金宝搏188软件怎么用
干涉实验需求入手,设计、搭建并测试了多通道相位测量系统。首先,给出多通道相位测量系统的软硬件设计,包括硬件架构设计、数字锁相环测相算法、软件架构设计等。其次,对多通道相位计进行时域功能测试,包括相位准确度和线性度。测试结果表明多通道相位测量系统在不同工况下的动静态相位线性度和准确度良好。最终,对多通道相位计进行不同通道、不同频率、不同幅值下的频域噪声测试。测试结果还表明本文设计的多通道相位计,在0.1 mHz~1 Hz频段内,相位噪声水平均优于
进行波前探测时,标准动物模型小鼠的眼底视网膜双层反射光会导致像差探测失效。为解决这一问题,本文提出了一种结合光学掩模调制的鼠眼像差测量方法,以期提高鼠眼波前像差测量精度。首先,根据鼠眼视网膜的关键参数,建立鼠眼波前像差探测的光学系统模型并进行光学仿真。然后,分析比较不同孔径的光学掩模对视网膜非目标层反射光束的遮拦效果,确定光学掩模参数与实验方案。最后,搭建鼠眼波前像差探测系统并开展在体鼠眼波前像差的测量实验。实验结果表明:0.5 mm孔径的光学掩模可以将鼠眼波前像差的测量均方根误差降低74.9%,与理论仿真的80%区域实现非目标层反射光遮拦效果近似。本文研究实现了对鼠眼视网膜非目标层反射光的有效遮拦,提升了鼠眼波前像差探测精度,为进一步实现鼠眼高分辨率成像奠定了基础。
为实现中高频振动信号的测量,本文设计了一种基于轴承和柔性铰链结构的光纤布拉格光栅加速度传感器。首先,基于理论力学模型推导出其固有频率、灵敏度与结构参数的数学模型,然后进行结构优化设计,并制作了传感器实物。在此基础上,对所设计传感器动态特性进行有限元仿真和实验测试。研究结果表明:传感器工作频率为10~1200 Hz,加速度灵敏度达17.25 pm/g,测量误差小于0.3 g,线性度大于0.99,重复性误差为2.33%,且能实现温度补偿。
传统的解析理论设计方案存在计算复杂度高、有限解析解、耗时长等问题。为了解决以上问题,在传统的光器件设计基础上,提出一种依据逆向设计方法的分光比可调的光功率分束器方案。在1.92 μm×1.92 μm的紧凑区域内,引入Ge2Sb2Se4Te1(GSST)相变材料改变器件的折射率分布。利用直接二进制搜索算法搜索GSST晶态和非晶态的最优状态分布。设计实现同一种器件结构,分光比可调的T型光功率分束器。仿真分析了器件的初始结构、分光比、相变材料区域状态分布、制造容差以及光场分布。结果表明:分光比分别为1∶1、1.5∶1、2∶1的3种光功率分束器在波长1530 nm−1560 nm之间的最小相对误差分别为0.004%、0.14%和0.22%,在制造容差范围内传输曲线最大波动分别是0.95 dB、1.21 dB、1.18 dB。该分光器结构紧凑,在光通信和信息处理领域有着较大的应用潜力。
氨气排放会对环境以及人体健康造成危害,因此对环境中氨气浓度的高精度监测显得尤为重要。本文基于具有高灵敏度、高响应速度等优点的离轴积分腔输出光谱技术(OA-ICOS)对氨气高精度检测装置进行设计。使用基长30 cm装有反射率为99.99%的高反镜的光学谐振腔作为气体吸收池,实现了近3000 m的光程,将中心波长为1528 nm的分布反馈式金宝搏188软件怎么用
器(DFB)调谐至6548.611 cm−1和6548.798 cm−1附近,在常温18.6 kPa的气压下对1×10−5~5×10−5范围内NH3进行了检测。测量结果表明NH3浓度与信号幅值的线性拟合度
单波长金宝搏188软件怎么用
通信终端之间数据通信时,信号传输与接收间良好的隔离性能是建立双工双向金宝搏188软件怎么用
通信的关键。本文针对单个金宝搏188软件怎么用
波长金宝搏188软件怎么用
通信端机的传输与接收方案,以及金宝搏188软件怎么用
通信终端整体的通信性能,分析了关键元器件的表面粗糙度和表面清洁度水平对金宝搏188软件怎么用
通信终端隔离性能的影响。通过Harvey模型、ABg模型推导模型参数。利用TracePro软件对所设计的方案进行分析。得出以下结论:当信号传输通道中
通过湿法转移二维材料与半导体衬底形成异质结是一种制备异质结光电探测器的常见方法。在湿法转移制备异质结的过程中,不同的制备工艺细节对二维材料与半导体形成的异质结的性能有显著影响。本文以典型的二维材料石墨烯(Gr)为例,采用湿法转移制备了一系列相同的Gr/Si异质结光电探测器,对其制备工艺与伏安特性的关系进行了详细研究。实验结果显示,梯度式烘干工艺可以显著降低Gr/Si异质结器件的暗电流,最佳的烘干温度峰值为170 °C,170 °C 以上漏电流基本不再有变化。Gr/Si范德华异质结表面杂质与夹层中的残留水分对异质结的漏电流有显著影响。 Gr/Si范德华异质结的选择性刻蚀和退火工艺也能够大幅降低漏电流。因此,合适的烘干工艺、选择性刻蚀工艺、退火工艺在Gr/Si异质结器件的制备过程中非常必要。这些结果对于使用湿法转移方法制备二维材料异质结器件具有一定的参考价值。
为了提高光波导近眼显示成像系统的视场角,本文提出了一种等周期变倾角干涉条纹复用方法,用于扩展增强现实眼镜耦合元件体光栅的角度带宽。该方法通过复用等周期变倾角干涉条纹满足了不同入射角的布拉格条件,并且消除了体光栅周期变化对入射光衍射角度的影响,从而提升耦合元件体光栅的角度响应范围,降低光栅衍射引入的杂散光。利用严格耦合波理论对复用三幅等周期变倾角干涉条纹的体光栅进行模拟,在波长为530 nm的TE和TM偏振态下,复用后的体光栅角度带宽分别为3.6°和3.3°,与单幅干涉条纹体光栅相比,角度带宽扩展了1倍。该方法有望打破体光栅角度带宽受光栅材料的限制,用于扩展近眼显示成像系统的视场角,实现轻量化、高效率、大视场、低杂散光的增强现实眼镜。
本文设计了一种可以使光电伺服平台对目标对象进行高精度、稳定追踪的基于双速度环的扰动观测器,可以消除光电平台内部摩擦力矩、外部载体扰动以及传感器噪声的影响,提升系统的动态响应性能。首先,根据直流电机工作原理与负载模型,建立双速度环的数学控制模型。接着,通过分析多类型传感器的速度信号频谱和响应性能,选择噪声和延时较小的圆光栅代替传统测速设备,作为速度控制内环;同时选择光纤陀螺作为速度外环的反馈设备。然后,基于陀螺速度信号设计扰动观测器,对内速度环中的扰动补偿残差和外部载体扰动信号进行观测,并进行前馈信号补偿。实验结果表明,双速度环观测器的控制方法可以将系统调节时间降至原来的45%,在不同幅值(0.25°~2°)和频率(0.25 Hz~2 Hz)的正弦扰动信号下,该方法均能显著提高系统的扰动抑制能力,并将系统隔离度由原来的20.9 dB提升至30 dB。本文所提出的基于双速度环扰动观测器的控制方法满足光电跟踪平台快速响应、跟踪稳定、抗干扰能力强等要求。
波导的传输损耗是评价集成光学平台性能的一个关键指标。常用的测量传输损耗的cut-back测试方法需引入弯曲波导测试结构。为了去除弯曲损耗的影响,通常会将弯曲半径设计的足够大,但这样会占用很多的版图面积。本文基于铌酸锂平台提出了一种可以同时测试波导传输损耗和弯曲损耗的方法。通过仿真发现波导弯曲损耗与弯曲半径成指数关系,对弯曲损耗取对数值后,与弯曲半径成线性关系。利用遗传算法拟合cut-back结构的插入损耗曲线,并计算得到波导的传输损耗和弯曲损耗。用该方法测量铌酸锂波导,在1550 nm波长下得到0.558 dB/cm的传输损耗和100 μm弯曲半径下0.698 dB/90°的弯曲损耗。利用这种方法可以同时测试波导的传输损耗和弯曲损耗,还可以大大节省占地面积。
结合光子晶体非线性效应和线性干涉效应设计了一种全光半加器。将光源平均分成两部分,对半加器的与门和异或门分开设计。利用非线性效应实现高对比度的与门;利用线性干涉效应实现异或逻辑,从而使器件整体响应速度更快。在这种设计结构下,器件对信号光源功率只有阈值要求,当信号功率大于51.4 mW/μm2时输出稳定,抗干扰能力强。所设计的半加器进位输出端口对比度为20.69 dB,输出端口对比度为20.13 dB。数据传输速率为0.75 Tbits/s,占用面积623 μm2。
本文提出了均匀偏振cosh-Pearcey-Gauss 光束,其主要由双曲余弦函数(
本文以与光腔耦合的电控量子点分子为研究对象,分析了量子点的时域量子关联退相干特性。基于可测量的Leggett-Garg不等式,研究光电混合系统的时域量子关联。测量不等式的违背性可以作为动态演化过程中时域量子关联的存在证据。调控电子隧穿强度和光腔频率失谐有利于增强时域量子关联。发现,在空间量子关联值为零的区域内,不存在时域量子关联。当空间量子关联值较高时,量子点动力学演化存在Leggett-Garg不等式测量的最大程度违背现象。与之相反,在时域量子关联为零的时间段内,空间量子关联仍然存在。本文采用开放量子系统动力学方法研究环境效应对时域量子关联的影响。量子点的自发衰变和光腔泄漏抑制了时域量子关联。这些结果可用于混合量子系统的量子信息处理技术。
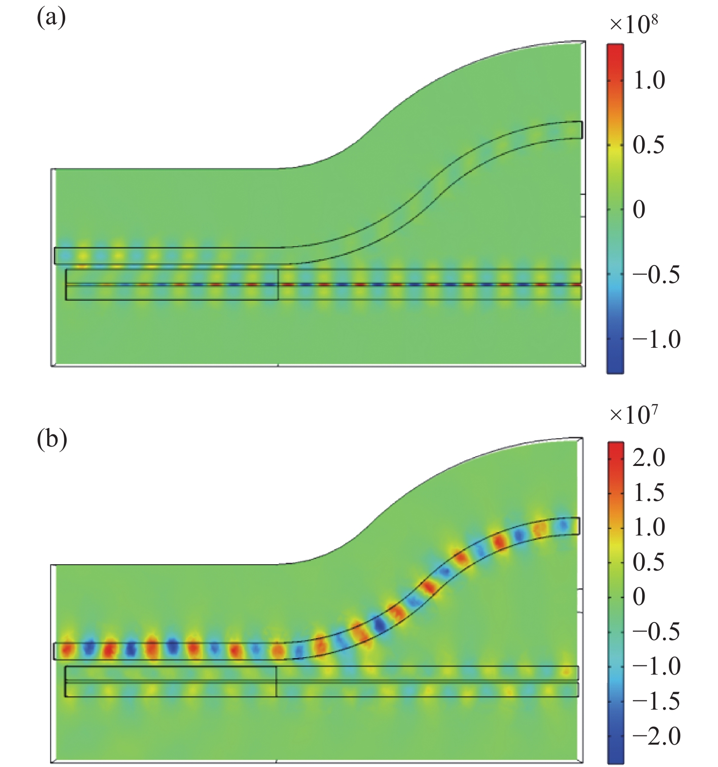
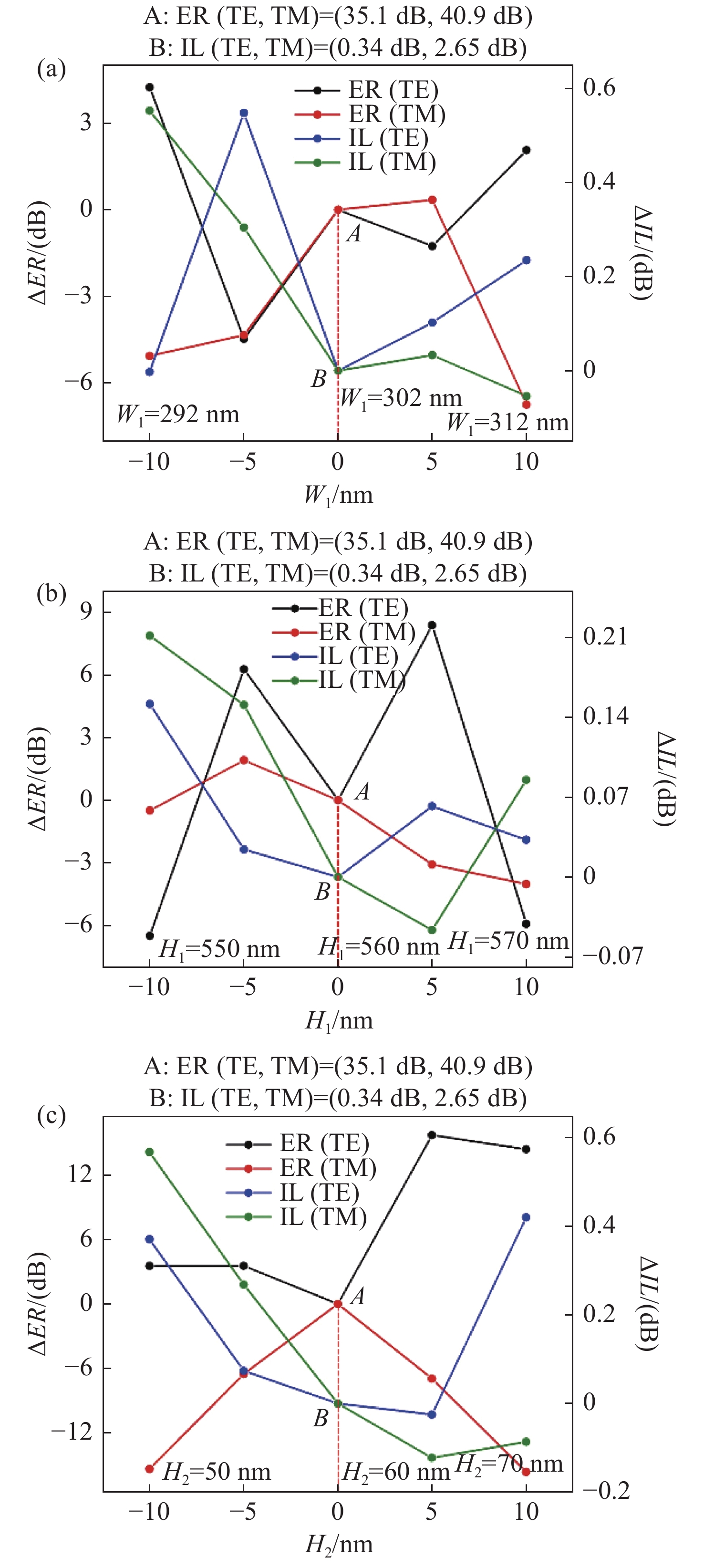
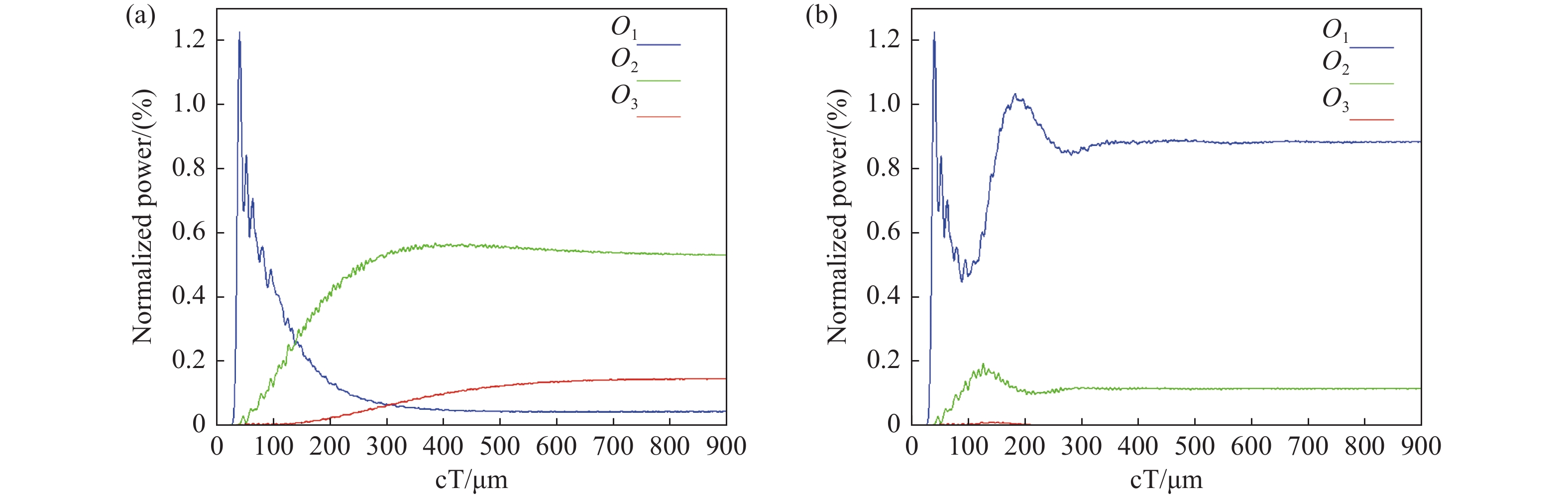
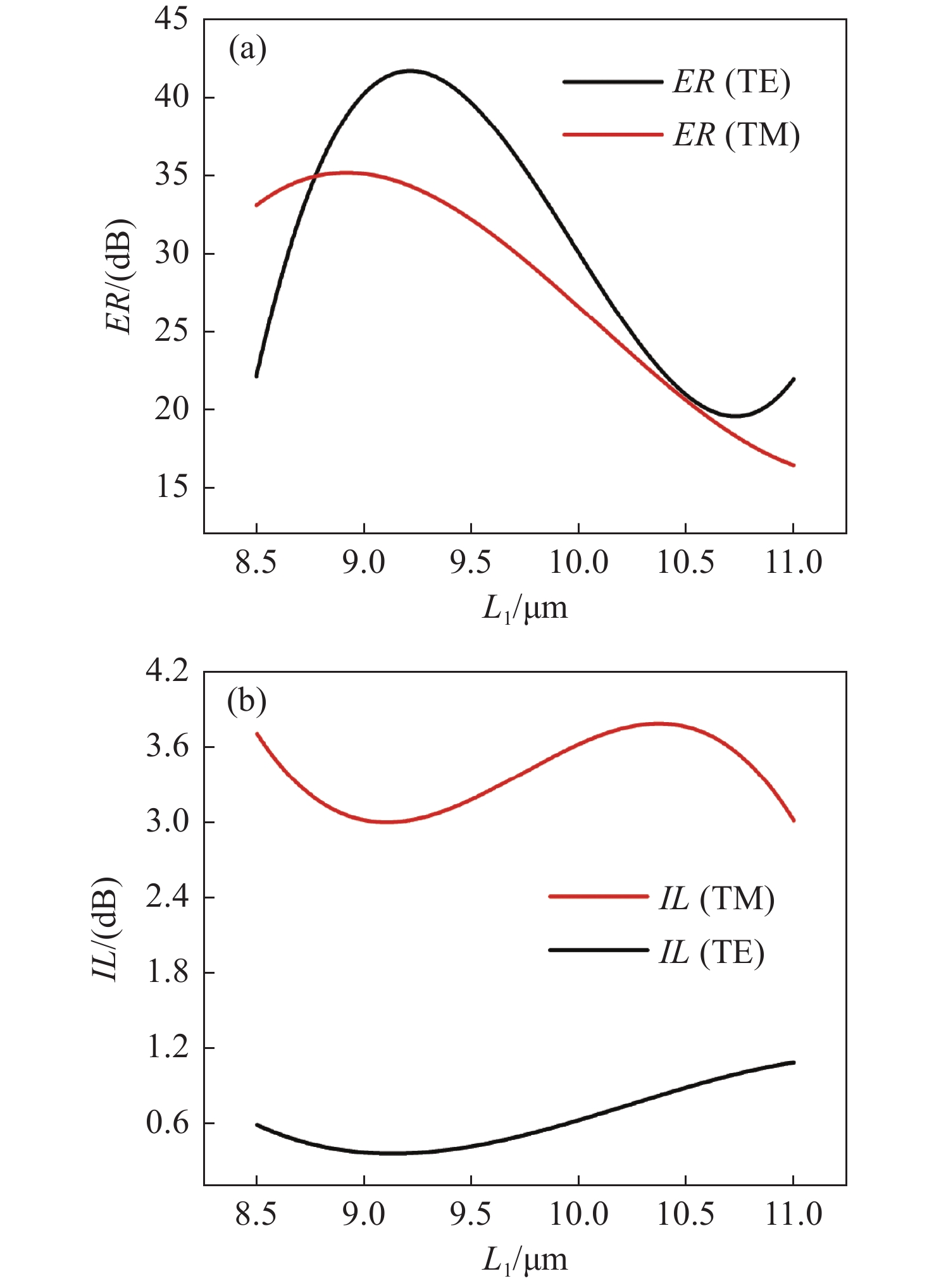
为了提高偏振分束器的消光比,提出了一种由混合等离子体水平狭缝波导(HSW)和氮化硅混合垂直狭缝波导(VSW)组成的双槽超紧凑偏振分束器(PBS)。同时,包层材料为二氧化硅,既能防止混合等离子体氧化,又便于与其他器件集成。采用有限元方法仿真HSW和VSW的模态特性。HSW和VSW波导在特定的宽度下TE偏振模式是满足相位匹配的,而TM偏振模式相位不匹配。因此,HSW波导中的TE模式与VSW波导发生强耦合,而TM模式直接通过HSW波导。结果表明:在1.55 μm的TE模式下,PBS的消光比(ER)为35.1 dB,插入损耗(IL)为0.34 dB,在TM模式下,PBS的ER和IL分别为40.9 dB和2.65 dB。所设计的PBS有100 nm的工作带宽,具有高ER,低IL的特点,适用于光子集成电路(PICs)。
为探测中层大气风场信息,研制了一台具有热补偿特性的大集光率(AΩ)、高信噪比(Signal-to-Noise Ratio, SNR)的地基多普勒非对称空间外差(Doppler Asymmetric Spatial Heterodyne, DASH)干涉仪。针对557.7 nm的氧原子气辉谱线,制定了DASH干涉仪的详细参数和指标。系统采用扩视场和消热差设计,半视场角达到2.815°,集光率为0.09525 cm2sr,系统信噪比在113.75左右,经过热补偿设计后,最终光程差随温度变化(
利用半导体性单壁碳纳米管(SWCNT)的高吸收系数、优异的光电特性和高载流子迁移率等特点,本文构筑了基于半导体SWCNT(sc-SWCNT)/富勒烯(C60)异质结的透明全碳宽光谱的场效应晶体管光电探测器。该器件的大部分结构均由碳基材料组成,全碳异质结作为导电沟道材料,金属性SWCNT作为源漏电极,氧化石墨烯(GO)作为介质层,在可见光波段的透光率均高于80%。电学测试结果表明:该光电探测器表现出了较强的栅控能力,实现了从405~1064 nm的可见光-近红外宽光谱响应,在5 mW/cm2的940 nm金宝搏188软件怎么用 照射下,该器件光电响应率可以达到18.55 A/W,比探测率达到5.35×1011 Jones,同时,表现出了优异的循环稳定性。
在自然界中,物体运动无处不在,随着智能汽车、6G移动通信的高速发展,对通信和运动探测传感融合的高集成度通感一体器件的需求日益增加。本文基于氮化镓多量子阱结构发光和探测并存的特点,提出了一种基于蓝宝石衬底外延生长氮化镓多量子阱材料的集成式光电子芯片,该芯片具有灵敏的运动探测功能及可见光通信功能。该光电子芯片发射器向运动的目标物体发射蓝光波段可见光信号,经目标物体运动调制的可见光信号反射回光电子芯片的接收器部分,激发变化的光电流。通过分析接收器的光电流变化,可探测以不同速度旋转的目标物体的运动情况,光电流曲线变化周期与目标物体旋转周期一致。本文还研究了光电子芯片的各项光电指标及可见光通信性能,该芯片可用作可见光通信系统的收发终端,可以处理和传输芯片采集到的运动探测信号。基于氮化镓多量子阱材料的光电子芯片是一种具有实用价值的高集成度通感一体终端器件。
摘要
HTML全文
PDF 6268KB


