2021年 14卷 第4期
2021, 14(4): 717-735.
doi: 10.37188/CO.2021-0030
cstr: 32171.14.CO.2021-0030
摘要:
近年来,纳米光学体系中共振体间耦合引起了人们的广泛关注。相对于单一光子共振结构体系,由多个光子共振体组成的复杂耦合体系有着更大的调控自由度和更令人着迷的现象。然而,相比人们在实验方面取得的进步,对于耦合问题的理论描述仍远未令人满意。本文从少体问题到周期性超构表面,从光子封闭体系到开放体系,系统介绍了多种处理共振体间耦合的理论工具,以及如何利用这些工具设计具有特定电磁波调控功能的新型超构表面。本文将着重展示本研究团队近些年在这一领域的研究进展,为相关领域研究人员提供指引与参考。
近年来,纳米光学体系中共振体间耦合引起了人们的广泛关注。相对于单一光子共振结构体系,由多个光子共振体组成的复杂耦合体系有着更大的调控自由度和更令人着迷的现象。然而,相比人们在实验方面取得的进步,对于耦合问题的理论描述仍远未令人满意。本文从少体问题到周期性超构表面,从光子封闭体系到开放体系,系统介绍了多种处理共振体间耦合的理论工具,以及如何利用这些工具设计具有特定电磁波调控功能的新型超构表面。本文将着重展示本研究团队近些年在这一领域的研究进展,为相关领域研究人员提供指引与参考。
2021, 14(4): 736-753.
doi: 10.37188/CO.2021-0095
cstr: 32171.14.CO.2021-0095
摘要:
在过去的十年里,材料的拓扑相变以及它们的奇异物理现象在固态电子学领域掀起了研究热潮。近些年来,人们开始在其他系统中重现和模拟电子体系中的各种拓扑现象,包括冷原子气体、离子阱、光子学、声子学、机械波和电路体系。在这些体系平台中,由电感电容所组成的拓扑电路因具有高度灵活的设计自由度、高性价比、易加工和易集成的独特优势而备受关注。除此之外,在拓扑电路中可以方便地设计具有任意长程耦合、非线性、非互易、增益等效应的拓扑模型,从而实现很多在电子体系和光学体系中难以实现的非线性、非阿贝尔和非厄米的拓扑相变材料。本文作为拓扑电路领域的第一篇综述,系统性地回顾了过去六年拓扑电路领域的主要进展,重点关注其理论建模、电路设计与实验测量,并对拓扑电路与电子和光学体系中的拓扑绝缘体着重进行讨论和区别。本综述涵盖了多种不同类型的拓扑电路,包括含有非平庸边界态、高阶拓扑角模式以及外尔粒子的厄米拓扑电路,拥有拓扑节线和节点态的高维拓扑电路,具有趋肤效应和由增益/衰减导致的非厄米拓扑电路,自感应拓扑边界态的非线性拓扑电路,以及具有非阿贝尔规范场效应的拓扑电路。
在过去的十年里,材料的拓扑相变以及它们的奇异物理现象在固态电子学领域掀起了研究热潮。近些年来,人们开始在其他系统中重现和模拟电子体系中的各种拓扑现象,包括冷原子气体、离子阱、光子学、声子学、机械波和电路体系。在这些体系平台中,由电感电容所组成的拓扑电路因具有高度灵活的设计自由度、高性价比、易加工和易集成的独特优势而备受关注。除此之外,在拓扑电路中可以方便地设计具有任意长程耦合、非线性、非互易、增益等效应的拓扑模型,从而实现很多在电子体系和光学体系中难以实现的非线性、非阿贝尔和非厄米的拓扑相变材料。本文作为拓扑电路领域的第一篇综述,系统性地回顾了过去六年拓扑电路领域的主要进展,重点关注其理论建模、电路设计与实验测量,并对拓扑电路与电子和光学体系中的拓扑绝缘体着重进行讨论和区别。本综述涵盖了多种不同类型的拓扑电路,包括含有非平庸边界态、高阶拓扑角模式以及外尔粒子的厄米拓扑电路,拥有拓扑节线和节点态的高维拓扑电路,具有趋肤效应和由增益/衰减导致的非厄米拓扑电路,自感应拓扑边界态的非线性拓扑电路,以及具有非阿贝尔规范场效应的拓扑电路。
2021, 14(4): 764-781.
doi: 10.37188/CO.2021-0096
cstr: 32171.14.CO.2021-0096
摘要:
超构表面是由精心设计和排布的亚波长纳米单元组成的平面元件,其可以在微观尺度下调制电磁场,从而实现波前的任意调控。目前,它已被用来灵活地操纵相位、偏振、振幅等各种光学参数。超构透镜是超构表面中相当重要且非常活跃的一个研究方向,由于其厚度在波长量级,与传统光学透镜相比,能够显著增加光学器件的集成度并且降低结构复杂度。但是,单元结构材料的固有色散以及结构几何形状衍射效应导致的色差会严重影响超构透镜的成像质量,从而限制了其在光电子器件中的潜在应用。本文首先讨论超构透镜控制色差的原理。随后回顾了几种重要的成像应用,包括分立波长消色差,宽带聚焦成像,光场成像等重要的成像系统。最后,本文对超构透镜未来的发展方向和应用前景做出展望。
超构表面是由精心设计和排布的亚波长纳米单元组成的平面元件,其可以在微观尺度下调制电磁场,从而实现波前的任意调控。目前,它已被用来灵活地操纵相位、偏振、振幅等各种光学参数。超构透镜是超构表面中相当重要且非常活跃的一个研究方向,由于其厚度在波长量级,与传统光学透镜相比,能够显著增加光学器件的集成度并且降低结构复杂度。但是,单元结构材料的固有色散以及结构几何形状衍射效应导致的色差会严重影响超构透镜的成像质量,从而限制了其在光电子器件中的潜在应用。本文首先讨论超构透镜控制色差的原理。随后回顾了几种重要的成像应用,包括分立波长消色差,宽带聚焦成像,光场成像等重要的成像系统。最后,本文对超构透镜未来的发展方向和应用前景做出展望。
2021, 14(4): 792-811.
doi: 10.37188/CO.2021-0066
cstr: 32171.14.CO.2021-0066
摘要:
在过去的二十年中,携带轨道角动量的涡旋光引起了研究人员的广泛兴趣。涡旋光不仅在光与物质相互作用中扮演着重要角色,而且可极大拓宽光学信息的承载容量。与此同时,纳米科技的发展使得纳米光子学成为一个新兴学科,开辟了利用纳米结构和器件对光进行调控的新途径。当纳米技术和涡旋光相结合时,衍生出许多新的思路和概念。本文回顾和总结了基于纳米光子学的涡旋光产生、探测及其应用,并对该研究领域的未来进行了展望。
在过去的二十年中,携带轨道角动量的涡旋光引起了研究人员的广泛兴趣。涡旋光不仅在光与物质相互作用中扮演着重要角色,而且可极大拓宽光学信息的承载容量。与此同时,纳米科技的发展使得纳米光子学成为一个新兴学科,开辟了利用纳米结构和器件对光进行调控的新途径。当纳米技术和涡旋光相结合时,衍生出许多新的思路和概念。本文回顾和总结了基于纳米光子学的涡旋光产生、探测及其应用,并对该研究领域的未来进行了展望。
2021, 14(4): 812-822.
doi: 10.37188/CO.2021-0023
cstr: 32171.14.CO.2021-0023
摘要:
极化激元是光与不同极化子相互作用形成的半光半物质的准粒子,可用于亚波长尺度的光场调控,在光学成像、非线性效应增强及新型超构材料设计等领域扮演着举足重轻的角色。近年来,随着人们对转角范德华尔斯材料体系的制备工艺和物性研究的不断深入,其中许多新奇的极化激元现象也被揭示。本文综述了近年来转角范德华尔斯材料在光学领域的研究进展,包含转角石墨烯体系中的等离极化激元,转角二维过渡金属硫化物中的激子极化激元与六方氮化硼(h-BN)与 α-MoO3体系中的声子极化激元等。最后展望转角二维范德华尔斯材料中的极化激元在纳米尺度下光与物质相互作用的有效控制方面所展现的巨大潜力。
极化激元是光与不同极化子相互作用形成的半光半物质的准粒子,可用于亚波长尺度的光场调控,在光学成像、非线性效应增强及新型超构材料设计等领域扮演着举足重轻的角色。近年来,随着人们对转角范德华尔斯材料体系的制备工艺和物性研究的不断深入,其中许多新奇的极化激元现象也被揭示。本文综述了近年来转角范德华尔斯材料在光学领域的研究进展,包含转角石墨烯体系中的等离极化激元,转角二维过渡金属硫化物中的激子极化激元与六方氮化硼(h-BN)与 α-MoO3体系中的声子极化激元等。最后展望转角二维范德华尔斯材料中的极化激元在纳米尺度下光与物质相互作用的有效控制方面所展现的巨大潜力。
2021, 14(4): 831-850.
doi: 10.37188/CO.2021-0014
cstr: 32171.14.CO.2021-0014
摘要:
传统光学透镜及光学系统基于光传播效应实现电磁波调控功能,其体积较大、不易集成。而超表面是由人工亚波长尺度单元构成的二维平面结构,由于其相对于传统透镜具有超薄的优势,并且可以实现对光场的任意调控,近年来在光学成像领域得到广泛研究和应用。本文阐述了超表面透镜的工作原理,分析了超表面成像透镜的单色像差和色像差成因以及对应的像质评价方法,之后综述了超表面成像透镜的研究现状及应用,最后总结了超表面在成像领域尚且存在的问题及其未来发展方向。超表面透镜便于集成、设计自由度高,有望在诸多应用领域取代传统成像器件,基于超表面的高效率、大视场、宽带、可重构可调谐成像器件将成为其未来重要发展方向。
传统光学透镜及光学系统基于光传播效应实现电磁波调控功能,其体积较大、不易集成。而超表面是由人工亚波长尺度单元构成的二维平面结构,由于其相对于传统透镜具有超薄的优势,并且可以实现对光场的任意调控,近年来在光学成像领域得到广泛研究和应用。本文阐述了超表面透镜的工作原理,分析了超表面成像透镜的单色像差和色像差成因以及对应的像质评价方法,之后综述了超表面成像透镜的研究现状及应用,最后总结了超表面在成像领域尚且存在的问题及其未来发展方向。超表面透镜便于集成、设计自由度高,有望在诸多应用领域取代传统成像器件,基于超表面的高效率、大视场、宽带、可重构可调谐成像器件将成为其未来重要发展方向。
2021, 14(4): 851-866.
doi: 10.37188/CO.2021-0069
cstr: 32171.14.CO.2021-0069
摘要:
超表面由亚波长尺度二维人工微结构构成,可以实现对光场振幅、相位、偏振等多参量进行调控,为光场调控提供了优良平台。二维材料作为一种新型层状结构材料,相对于三维体材料有着十分独特的光学和电学特性,其与超表面结合为纳米尺度平面光学器件的发展提供了新的可能。本文综述了基于原子层厚度的二维材料超表面发展,介绍了多种二维材料超表面光场调控机制、制备以及应用,最后对原子层厚度超表面发展面临的挑战和潜在应用进行展望。
超表面由亚波长尺度二维人工微结构构成,可以实现对光场振幅、相位、偏振等多参量进行调控,为光场调控提供了优良平台。二维材料作为一种新型层状结构材料,相对于三维体材料有着十分独特的光学和电学特性,其与超表面结合为纳米尺度平面光学器件的发展提供了新的可能。本文综述了基于原子层厚度的二维材料超表面发展,介绍了多种二维材料超表面光场调控机制、制备以及应用,最后对原子层厚度超表面发展面临的挑战和潜在应用进行展望。
2021, 14(4): 867-885.
doi: 10.37188/CO.2021-0036
cstr: 32171.14.CO.2021-0036
摘要:
经过近10年的发展,超构表面作为一种新型的二维人工微纳结构,在光场特性调控方面展现出了巨大的研究潜力。但要实现小型化、集成化的超构表面光电子器件,还需要进一步发展具备动态调控功能的光学超构表面。本文综述了近年来发展的可形变超构表面的研究进展,简要概述了以纳米剪纸技术为基础的可形变超构表面的设计和实现方法,并重点介绍了其在相位、偏振、光学手性、非线性辐射等方面优异的调控性能及其应用。这种灵活的、易实现的可形变超构表面在光场动态调控方面具有独特优势,为设计和实现新型微纳光电子器件提供了新的策略,有望推动新兴的应变光电子学的发展。
经过近10年的发展,超构表面作为一种新型的二维人工微纳结构,在光场特性调控方面展现出了巨大的研究潜力。但要实现小型化、集成化的超构表面光电子器件,还需要进一步发展具备动态调控功能的光学超构表面。本文综述了近年来发展的可形变超构表面的研究进展,简要概述了以纳米剪纸技术为基础的可形变超构表面的设计和实现方法,并重点介绍了其在相位、偏振、光学手性、非线性辐射等方面优异的调控性能及其应用。这种灵活的、易实现的可形变超构表面在光场动态调控方面具有独特优势,为设计和实现新型微纳光电子器件提供了新的策略,有望推动新兴的应变光电子学的发展。
2021, 14(4): 886-899.
doi: 10.37188/CO.2021-0017
cstr: 32171.14.CO.2021-0017
摘要:
超构表面是一种具有亚波长特征尺寸的人工平面结构材料,可以在亚波长尺度上对入射电磁波的振幅、相位、偏振、频率、光谱等参量进行精密且灵活的调控,近年来备受关注。振幅是光波的基本参量之一,本文将从振幅调控的角度出发,对基于超构表面材料的振幅调控机理进行分析,主要包括通过改变纳米结构的尺寸和方向角对振幅进行调控,同时对基于振幅调控超构表面的功能器件的研究现状及其应用场景进行总结和讨论。研究表明,振幅调控超构表面具有设计灵活、加工简单、功能强大、可与其他参量调控相融合等特点,其在高分辨率图像显示、高密度信息存储、信息加密、信息复用、光束整形、光信息处理和安全防伪等诸多领域具有重要的研究价值和广阔的应用前景。
超构表面是一种具有亚波长特征尺寸的人工平面结构材料,可以在亚波长尺度上对入射电磁波的振幅、相位、偏振、频率、光谱等参量进行精密且灵活的调控,近年来备受关注。振幅是光波的基本参量之一,本文将从振幅调控的角度出发,对基于超构表面材料的振幅调控机理进行分析,主要包括通过改变纳米结构的尺寸和方向角对振幅进行调控,同时对基于振幅调控超构表面的功能器件的研究现状及其应用场景进行总结和讨论。研究表明,振幅调控超构表面具有设计灵活、加工简单、功能强大、可与其他参量调控相融合等特点,其在高分辨率图像显示、高密度信息存储、信息加密、信息复用、光束整形、光信息处理和安全防伪等诸多领域具有重要的研究价值和广阔的应用前景。
2021, 14(4): 900-926.
doi: 10.37188/CO.2021-0108
cstr: 32171.14.CO.2021-0108
摘要:
与传统化学颜料滤光片相比,基于微纳光学结构的滤光片所呈现的颜色不仅纯度高、亮度大而且不易褪色,更重要的是不会对环境产生污染。超构表面结构色滤光片因在光学装饰、彩色显示、成像以及光伏等领域存在潜在的应用价值而受到广泛关注。随着微纳加工技术的进步,基于不同共振机理的超构表面结构色滤光片相继实现。本文首先介绍了基于超构表面产生结构色的三种典型共振机理,然后介绍超构表面结构色滤光片在全彩显示、全息成像、信息加密以及彩色光伏器件等领域的应用现状,最后对超构表面结构色滤光片的发展前景进行展望。
与传统化学颜料滤光片相比,基于微纳光学结构的滤光片所呈现的颜色不仅纯度高、亮度大而且不易褪色,更重要的是不会对环境产生污染。超构表面结构色滤光片因在光学装饰、彩色显示、成像以及光伏等领域存在潜在的应用价值而受到广泛关注。随着微纳加工技术的进步,基于不同共振机理的超构表面结构色滤光片相继实现。本文首先介绍了基于超构表面产生结构色的三种典型共振机理,然后介绍超构表面结构色滤光片在全彩显示、全息成像、信息加密以及彩色光伏器件等领域的应用现状,最后对超构表面结构色滤光片的发展前景进行展望。
2021, 14(4): 935-954.
doi: 10.37188/CO.2021-0076
cstr: 32171.14.CO.2021-0076
摘要:
受凝聚态拓扑绝缘体研究的启发,整数量子霍尔效应、量子自旋霍尔效应、拓扑半金属、高阶拓扑绝缘体等拓扑物理相继在光学系统中实现。光子系统因能带干净,样品设计简单且制作精度高等优势,逐渐成为研究物理拓扑模型和新型拓扑效应的重要平台。拓扑光子学提供了全新的调控光场和操控光子的方法,其拓扑保护的边界态可实现光子对材料杂质缺陷免疫的传播,这种传统光子系统不具备的理想的传输态有望驱动新型光学集成器件的变革。本文将从二维光学体系出发,简要介绍几种典型的光拓扑绝缘体的最新进展,例如光整数量子霍尔效应、光量子自旋霍尔效应、光Floquet拓扑绝缘体、拓扑安德森绝缘体和高阶拓扑绝缘体。文中重点介绍了上述几种光拓扑绝缘体的拓扑模型及其新型的拓扑现象,并在最后展望了新型光学拓扑效应及其在光学器件中的应用前景。
受凝聚态拓扑绝缘体研究的启发,整数量子霍尔效应、量子自旋霍尔效应、拓扑半金属、高阶拓扑绝缘体等拓扑物理相继在光学系统中实现。光子系统因能带干净,样品设计简单且制作精度高等优势,逐渐成为研究物理拓扑模型和新型拓扑效应的重要平台。拓扑光子学提供了全新的调控光场和操控光子的方法,其拓扑保护的边界态可实现光子对材料杂质缺陷免疫的传播,这种传统光子系统不具备的理想的传输态有望驱动新型光学集成器件的变革。本文将从二维光学体系出发,简要介绍几种典型的光拓扑绝缘体的最新进展,例如光整数量子霍尔效应、光量子自旋霍尔效应、光Floquet拓扑绝缘体、拓扑安德森绝缘体和高阶拓扑绝缘体。文中重点介绍了上述几种光拓扑绝缘体的拓扑模型及其新型的拓扑现象,并在最后展望了新型光学拓扑效应及其在光学器件中的应用前景。
2021, 14(4): 955-967.
doi: 10.37188/CO.2021-0074
cstr: 32171.14.CO.2021-0074
摘要:
以超表面为代表的二维人工超材料通过其亚波长单元增强光与物质的相互作用,进而操控光的振幅、相位、偏振、轨道角动量等物理量。目前,非平凡拓扑性质的二维人工超材料由于具有鲁棒的光单向传输等性质成为了光学领域的研究重点。拓扑相不仅成为了凝聚态物理领域一种描述物质的新的自由度,也成为描述人工超材料光学性质的一个新的参量。本文从拓扑光子学的起源出发,介绍了二维人工超材料的拓扑性质分类以及最新的拓扑光子学研究进展,并进行了总结与展望。
以超表面为代表的二维人工超材料通过其亚波长单元增强光与物质的相互作用,进而操控光的振幅、相位、偏振、轨道角动量等物理量。目前,非平凡拓扑性质的二维人工超材料由于具有鲁棒的光单向传输等性质成为了光学领域的研究重点。拓扑相不仅成为了凝聚态物理领域一种描述物质的新的自由度,也成为描述人工超材料光学性质的一个新的参量。本文从拓扑光子学的起源出发,介绍了二维人工超材料的拓扑性质分类以及最新的拓扑光子学研究进展,并进行了总结与展望。
2021, 14(4): 968-985.
doi: 10.37188/CO.2021-0080
cstr: 32171.14.CO.2021-0080
摘要:
光学超构材料是由亚波长功能单元组成的新型人工结构材料,拥有天然材料所不具备的新颖光学特性。利用光学超构材料可以灵活调控光波的传播特性,可实现负折射、隐身、单向传输等新奇的光学现象。传统的光学超构材料通常具有固定的几何结构和不变的材料特性,其光学性能难以改变,限制了光学超构材料器件的可调谐性。近年来,人们通过特殊材料或者结构来设计光学超构材料,实现了对光波的动态调控。本篇综述主要围绕活性材料(如变容二极管、液晶、相变材料、石墨烯等)和结构重构(微机电系统、柔性可拉伸材料等)这两种调控机制,介绍了可调谐光学超构材料领域的研究进展,分析了基于不同调控机制的可调谐光学超构材料的特点,阐述了可调谐光学超构材料在未来应用中所面临的挑战,并展望了可调谐光学超构材料的发展前景。
光学超构材料是由亚波长功能单元组成的新型人工结构材料,拥有天然材料所不具备的新颖光学特性。利用光学超构材料可以灵活调控光波的传播特性,可实现负折射、隐身、单向传输等新奇的光学现象。传统的光学超构材料通常具有固定的几何结构和不变的材料特性,其光学性能难以改变,限制了光学超构材料器件的可调谐性。近年来,人们通过特殊材料或者结构来设计光学超构材料,实现了对光波的动态调控。本篇综述主要围绕活性材料(如变容二极管、液晶、相变材料、石墨烯等)和结构重构(微机电系统、柔性可拉伸材料等)这两种调控机制,介绍了可调谐光学超构材料领域的研究进展,分析了基于不同调控机制的可调谐光学超构材料的特点,阐述了可调谐光学超构材料在未来应用中所面临的挑战,并展望了可调谐光学超构材料的发展前景。
2021, 14(4): 986-997.
doi: 10.37188/CO.2021-0110
cstr: 32171.14.CO.2021-0110
摘要:
莫尔晶格是指两个相同或者相似的周期结构重叠形成的复合结构。受二维材料中范德华尔斯(van der Waals)异质结形成的莫尔超晶格研究的影响,光学、声学、力学、热学领域中莫尔晶格的研究也相继重拾热情或不断涌现。本文主要回顾了光学莫尔晶格的研究进展,包括构成莫尔晶格的两个周期结构在空间上处于同层的单层莫尔晶格结构和处于不同层的双层莫尔晶格结构,讨论了由不同材料、不同形式构成的各类光学莫尔结构的线性和非线性光学特性。
莫尔晶格是指两个相同或者相似的周期结构重叠形成的复合结构。受二维材料中范德华尔斯(van der Waals)异质结形成的莫尔超晶格研究的影响,光学、声学、力学、热学领域中莫尔晶格的研究也相继重拾热情或不断涌现。本文主要回顾了光学莫尔晶格的研究进展,包括构成莫尔晶格的两个周期结构在空间上处于同层的单层莫尔晶格结构和处于不同层的双层莫尔晶格结构,讨论了由不同材料、不同形式构成的各类光学莫尔结构的线性和非线性光学特性。
2021, 14(4): 998-1018.
doi: 10.37188/CO.2021-0093
cstr: 32171.14.CO.2021-0093
摘要:
氮化硅材料提供了一种与CMOS兼容的集成光子平台,具有丰富的光学特性。通过调节相关制备参数,可以获得特定折射率的薄膜材料,且消光系数和非线性系数具有较大可调控范围。因此,氮化硅材料在薄膜光学、微纳平面光学、非线性集成光学等诸多领域具有广泛的应用前景。本文主要介绍氮化硅材料的光学特性及其在光学薄膜、微纳超构材料和硅光集成器件方面的研究现状,综述氮化硅材料在太阳能薄膜、可见光超构表面、光栅耦合器和非线性光波导等应用领域的研究概况。
氮化硅材料提供了一种与CMOS兼容的集成光子平台,具有丰富的光学特性。通过调节相关制备参数,可以获得特定折射率的薄膜材料,且消光系数和非线性系数具有较大可调控范围。因此,氮化硅材料在薄膜光学、微纳平面光学、非线性集成光学等诸多领域具有广泛的应用前景。本文主要介绍氮化硅材料的光学特性及其在光学薄膜、微纳超构材料和硅光集成器件方面的研究现状,综述氮化硅材料在太阳能薄膜、可见光超构表面、光栅耦合器和非线性光波导等应用领域的研究概况。
2021, 14(4): 754-763.
doi: 10.37188/CO.2021-0035
cstr: 32171.14.CO.2021-0035
摘要:
偏振成像技术在目标探测、生物医学等领域具有重要应用价值,基于超构表面设计的偏振成像系统可以有效避免传统偏振成像系统存在的结构复杂、体积和质量大等问题,有利于实现光学系统微型化、轻量化和集成化。然而,传统超构表面设计方法忽略了超构表面结构的局部非周期性引起的近场电磁耦合,在大数值孔径的条件下会严重影响器件的衍射效率。为了解决这个问题,本文提出了一种基于边界优化的偏振复用超构透镜设计方法,并由此设计了一种能对x和y偏振光独立调控的大数值孔径(~0.94)偏振成像超构透镜。在基于人工择优初始结构的优化设计中,通过参数扫描、人工择优的传统设计方法得到超构透镜初始结构,然后通过边界优化方法对超构透镜进行进一步的优化,其衍射效率相比于优化前可以提高20%左右;在基于均匀阵列初始结构的优化设计中,通过20次左右的迭代,超构透镜衍射效率可以达到92%左右。本文提出的优化设计方法可有效提高偏振复用超构表面器件效率,并且能够简化多功能超构表面的设计步骤,在偏振成像、光通信等领域具有应用前景。
偏振成像技术在目标探测、生物医学等领域具有重要应用价值,基于超构表面设计的偏振成像系统可以有效避免传统偏振成像系统存在的结构复杂、体积和质量大等问题,有利于实现光学系统微型化、轻量化和集成化。然而,传统超构表面设计方法忽略了超构表面结构的局部非周期性引起的近场电磁耦合,在大数值孔径的条件下会严重影响器件的衍射效率。为了解决这个问题,本文提出了一种基于边界优化的偏振复用超构透镜设计方法,并由此设计了一种能对x和y偏振光独立调控的大数值孔径(~0.94)偏振成像超构透镜。在基于人工择优初始结构的优化设计中,通过参数扫描、人工择优的传统设计方法得到超构透镜初始结构,然后通过边界优化方法对超构透镜进行进一步的优化,其衍射效率相比于优化前可以提高20%左右;在基于均匀阵列初始结构的优化设计中,通过20次左右的迭代,超构透镜衍射效率可以达到92%左右。本文提出的优化设计方法可有效提高偏振复用超构表面器件效率,并且能够简化多功能超构表面的设计步骤,在偏振成像、光通信等领域具有应用前景。
2021, 14(4): 782-791.
doi: 10.37188/CO.2021-0098
cstr: 32171.14.CO.2021-0098
摘要:
基于结构化的金属表面,即超构表面,所获得的表面波最近得到了广泛关注。它们在各种不同的频率下在集成光学回路、成像以及生物检测中都有着良好的应用前景。本文中,我们展示了一种由双各向异性超构材料单元构成的超构表面可以支持多种不同偏振模式的表面态。这个结构拥有D2d点群对称性,包括了在xz和yz面内拥有镜面对称,以及在y = ±x方向上拥有C2旋转对称性。基于这种对称性,这个超构表面可以在kx和ky方向上支持横电模(TE)以及横磁模(TM)的同时支持在ky = ±kx方向上的纯纵模以及椭偏的横电磁模(TEM)。这种超构表面上的多种表面模式可能会产生新的表面波现象以及器件应用。
基于结构化的金属表面,即超构表面,所获得的表面波最近得到了广泛关注。它们在各种不同的频率下在集成光学回路、成像以及生物检测中都有着良好的应用前景。本文中,我们展示了一种由双各向异性超构材料单元构成的超构表面可以支持多种不同偏振模式的表面态。这个结构拥有D2d点群对称性,包括了在xz和yz面内拥有镜面对称,以及在y = ±x方向上拥有C2旋转对称性。基于这种对称性,这个超构表面可以在kx和ky方向上支持横电模(TE)以及横磁模(TM)的同时支持在ky = ±kx方向上的纯纵模以及椭偏的横电磁模(TEM)。这种超构表面上的多种表面模式可能会产生新的表面波现象以及器件应用。
2021, 14(4): 823-830.
doi: 10.37188/CO.2021-0102
cstr: 32171.14.CO.2021-0102
摘要:
在消色差的结构优化中,超构透镜的尺寸、消色差带宽及数值孔径具有内在制约关系,很难获得高效率的大尺寸消色差透镜。离散波长消色差设计将打破宽带消色差的参数制约,有望获得更高效率的成像性能。本文通过引入相位色散空间的概念,理论上阐明了离散波长消色差的效率变化规律,证明了离散波长消色差超构透镜在聚焦效率上优于宽带消色差超构透镜。计算结果表明,双波长消色差超构透镜效率大概为宽带消色差超构透镜的4倍,相关结果通过设计相应的超构透镜进行仿真模拟得到验证。进一步揭示并解释了离散波长消色差的聚焦效率会随消色差的频率间隔增大呈现出先下降后上升的规律。
在消色差的结构优化中,超构透镜的尺寸、消色差带宽及数值孔径具有内在制约关系,很难获得高效率的大尺寸消色差透镜。离散波长消色差设计将打破宽带消色差的参数制约,有望获得更高效率的成像性能。本文通过引入相位色散空间的概念,理论上阐明了离散波长消色差的效率变化规律,证明了离散波长消色差超构透镜在聚焦效率上优于宽带消色差超构透镜。计算结果表明,双波长消色差超构透镜效率大概为宽带消色差超构透镜的4倍,相关结果通过设计相应的超构透镜进行仿真模拟得到验证。进一步揭示并解释了离散波长消色差的聚焦效率会随消色差的频率间隔增大呈现出先下降后上升的规律。
2021, 14(4): 927-934.
doi: 10.37188/CO.2021-0097
cstr: 32171.14.CO.2021-0097
摘要:
基于光子的自旋霍尔效应,超表面可用于光束的产生和控制。本文基于旋转变换利用一维纳米孔链设计了二维纳米孔旋转对称超表面。利用此样品,可以由左旋圆偏振(LCP)和右旋圆偏振(RCP)光的自旋霍尔效应同时产生贝塞尔光束。利用线偏振光激发,通过控制两个圆偏振光激发光束之间的相干干涉可动态调控贝塞尔光束的强度和偏振。同时,此方法还具有宽带调制的优点。
基于光子的自旋霍尔效应,超表面可用于光束的产生和控制。本文基于旋转变换利用一维纳米孔链设计了二维纳米孔旋转对称超表面。利用此样品,可以由左旋圆偏振(LCP)和右旋圆偏振(RCP)光的自旋霍尔效应同时产生贝塞尔光束。利用线偏振光激发,通过控制两个圆偏振光激发光束之间的相干干涉可动态调控贝塞尔光束的强度和偏振。同时,此方法还具有宽带调制的优点。
2021, 14(4): 1019-1028.
doi: 10.37188/CO.2020-0171
cstr: 32171.14.CO.2020-0171
摘要:
焦距范围可调的超薄聚焦反射镜在片上太赫兹光谱和成像等紧凑型系统中有重要应用价值。通过改变几何尺寸和调节化学势可以使石墨烯亚波长反射结构获得0~2π的相位,结合聚二甲基硅氧烷(PDMS)柔性基底的动态拉伸可以实现大动态范围的超薄太赫兹聚焦反射镜。本文设计了一个工作频率为1.0 THz,宽度为12 mm,焦距为60 mm,厚度为75 μm的柔性基底动态调焦石墨烯超表面聚焦反射镜。首先在基底自然状态下通过掺杂调节单元石墨烯条的化学势和改变宽度使其反射相位覆盖0~2π相位,并按照预定设计的相位空间分布达到反射聚焦效果。然后通过横向拉伸柔性基底实现反射镜焦距的动态调节。仿真结果表明:柔性基底长度在100%~140%内范围变化时,反射镜的焦距由53.4 mm增加到112.1 mm,动态调焦范围可达到最小焦距的109.7%,同时聚焦效率从69.7%减小到46.8%。此外,本文还研究了该反射镜在宽频带范围的工作性能。仿真结果表明:其对于在0.85~1.0 THz范围内的入射平面波都能实现良好的动态聚焦。
焦距范围可调的超薄聚焦反射镜在片上太赫兹光谱和成像等紧凑型系统中有重要应用价值。通过改变几何尺寸和调节化学势可以使石墨烯亚波长反射结构获得0~2π的相位,结合聚二甲基硅氧烷(PDMS)柔性基底的动态拉伸可以实现大动态范围的超薄太赫兹聚焦反射镜。本文设计了一个工作频率为1.0 THz,宽度为12 mm,焦距为60 mm,厚度为75 μm的柔性基底动态调焦石墨烯超表面聚焦反射镜。首先在基底自然状态下通过掺杂调节单元石墨烯条的化学势和改变宽度使其反射相位覆盖0~2π相位,并按照预定设计的相位空间分布达到反射聚焦效果。然后通过横向拉伸柔性基底实现反射镜焦距的动态调节。仿真结果表明:柔性基底长度在100%~140%内范围变化时,反射镜的焦距由53.4 mm增加到112.1 mm,动态调焦范围可达到最小焦距的109.7%,同时聚焦效率从69.7%减小到46.8%。此外,本文还研究了该反射镜在宽频带范围的工作性能。仿真结果表明:其对于在0.85~1.0 THz范围内的入射平面波都能实现良好的动态聚焦。
2021, 14(4): 1029-1037.
doi: 10.37188/CO.2021-0100
cstr: 32171.14.CO.2021-0100
摘要:
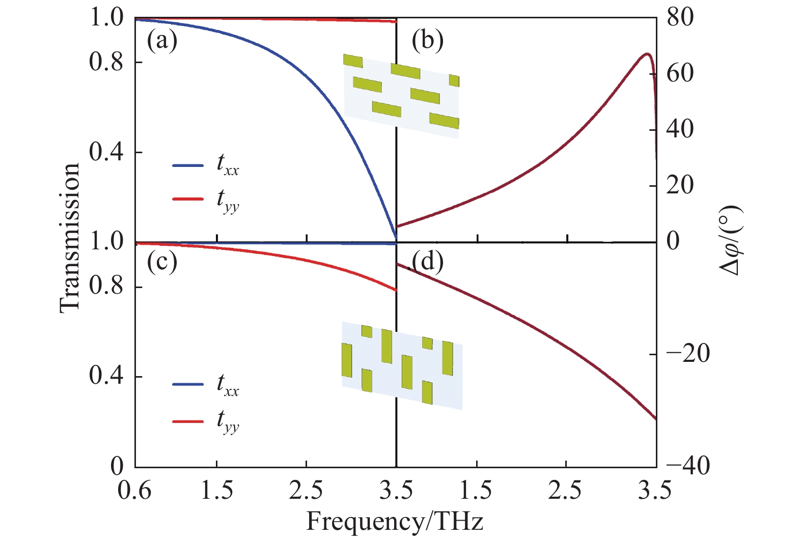
宽频带和动态可调谐的超构表面在太赫兹无线通信、传感和医学成像等应用中具有重要的价值。结合VO2薄膜的相变原理,本文设计了一种单层“台阶型”复合超构表面,能够实现宽频带四分之一波片和半波片之间的灵活开关功能。VO2薄膜为常温绝缘相时,超构表面可视为透射型双偏振的宽频带四分之一波片。在1.43~2.43 THz宽频带范围内,能够将垂直入射的x偏振光转换成左旋圆偏振光,椭圆率大于0.99,相对带宽为52%。VO2薄膜为高温金属相时,超构表面能够实现反射型半波片功能,垂直入射的x偏振光能够转换成y偏振光。此外,本文也详细地研究了波片性能随倾斜入射角度的变化情况,结果表明,随着入射角度的增加,四分之一波片能够实现宽频带和双频带的动态切换,半波片可以实现频率可调谐度为57%的频移。本文所提出的单层“台阶型”复合超构表面有望促进宽频带偏振转换器件,可调谐开关和紧凑型光学器件的发展。
宽频带和动态可调谐的超构表面在太赫兹无线通信、传感和医学成像等应用中具有重要的价值。结合VO2薄膜的相变原理,本文设计了一种单层“台阶型”复合超构表面,能够实现宽频带四分之一波片和半波片之间的灵活开关功能。VO2薄膜为常温绝缘相时,超构表面可视为透射型双偏振的宽频带四分之一波片。在1.43~2.43 THz宽频带范围内,能够将垂直入射的x偏振光转换成左旋圆偏振光,椭圆率大于0.99,相对带宽为52%。VO2薄膜为高温金属相时,超构表面能够实现反射型半波片功能,垂直入射的x偏振光能够转换成y偏振光。此外,本文也详细地研究了波片性能随倾斜入射角度的变化情况,结果表明,随着入射角度的增加,四分之一波片能够实现宽频带和双频带的动态切换,半波片可以实现频率可调谐度为57%的频移。本文所提出的单层“台阶型”复合超构表面有望促进宽频带偏振转换器件,可调谐开关和紧凑型光学器件的发展。
摘要
HTML全文
PDF 3209KB