留言板

尊敬的读者、作者、审稿人, 关于本刊的投稿、审稿、编辑和出版的任何问题, 您可以本页添加留言。我们将尽快给您答复。谢谢您的支持!

姓名
邮箱
手机号码
标题
留言内容
验证码

2024年  17卷  第5期

综述文章
拉曼光谱技术在脑胶质瘤检测中的应用研究
葛梅兰, 王与烨, 李海滨, 徐德刚, 姚建铨
2024, 17(5): 995-1013. doi: 10.37188/CO.2024-0003
摘要:

脑胶质瘤是一种常见的颅内原发性肿瘤,具有治愈率低、复发率高等特点。脑胶质瘤边界的精准识别是减少患者术后复发、改善愈后状况的重要前提。因此,发展快速、高灵敏度、无标记的脑胶质瘤诊断方法具有重要的临床意义。拉曼光谱技术作为一种指纹谱,能够在分子水平上反映物质的化学和结构信息,已经在脑胶质瘤的定性定位识别中表现出巨大的应用前景。本文首先介绍了不同种类的拉曼光谱技术,其次梳理了拉曼光谱技术在脑胶质瘤中的研究现状,最后对拉曼光谱技术在脑胶质瘤检测中的未来发展进行展望。

基于紫外金宝搏188软件怎么用 的羟基-平面金宝搏188软件怎么用 诱导荧光探测研究进展
张仲磷, 杨岸龙, 王江, 程光华
2024, 17(5): 1014-1034. doi: 10.37188/CO.2024-0013
摘要:

羟基(OH)是一种广泛存在于燃烧反应过程中的产物,在燃烧诊断技术中,基于羟基的二维空间分布常用于表征火焰的锋面结构,同时羟基也是表征火焰温度、火焰面密度和热释放速率等特征的重要参数。对燃烧火焰中的羟基进行有效探测是探究燃烧动力学演变过程,揭示火焰随机事件产生机理的重要支撑。平面金宝搏188软件怎么用 诱导荧光(PLIF)技术作为一种光学测量方法,具有时空分辨率高、无干扰、可进行组份选择等优点,已成功用于对本生灯火焰、湍流火焰、旋流火焰和超声速火焰等多种燃烧火焰进行结构观测,为建立燃烧模型提供了重要参考。本文从PLIF探测的基本原理开始,梳理了PLIF技术在燃烧诊断领域的发展历程和研究现状,介绍了基于染料金宝搏188软件怎么用 、光参量振荡和钛宝石三倍频方式实现的PLIF紫外光源技术,并对不同技术路线的特点进行了讨论,最后对用于OH-PLIF的紫外金宝搏188软件怎么用 技术发展进行了展望。

原创文章
光纤布拉格光栅长外腔反馈半导体金宝搏188软件怎么用 器特性研究
张云豪, 刘奎, 郜江瑞, 王军民
2024, 17(5): 1035-1041. doi: 10.37188/CO.2024-0016
摘要:

窄线宽金宝搏188软件怎么用 器是光谱学和精密计量学等实验的基本组成部分。由于半导体金宝搏188软件怎么用 器对外部光学反馈十分敏感,所以可以利用光反馈的高带宽抑制半导体金宝搏188软件怎么用 器的相位噪声,进而压窄线宽。本文采用光纤布拉格光栅作为反馈元件,搭建了长外腔反馈回路。为了降低外界环境温度起伏和气流扰动的影响,对反馈光路的光纤控温,使得1小时内最大温度起伏从0.039 °C降低到0.003 °C。此外,测试了反馈带宽对金宝搏188软件怎么用 线宽的影响,尽管实验所用光纤布拉格光栅的带宽远大于自由运转的金宝搏188软件怎么用 线宽,但仍然可以观察到金宝搏188软件怎么用 线宽被压窄,且光纤光栅的带宽越小,金宝搏188软件怎么用 线宽越窄。对于此现象,分析认为在反馈回路中应该存在一种负反馈机制,可以将金宝搏188软件怎么用 线宽稳定到反馈光谱的某个斜率处,所以光纤光栅的反馈带宽越窄,反馈光谱的斜率越大,反馈越灵敏。通过调整光纤光栅的反馈功率在0~1 mW范围内改变,观察到当反射功率为0.8 mW时,光反馈将金宝搏188软件怎么用 线宽从自由运转的100.5 kHz压窄到最窄的11.5 kHz,0.2 kHz~2 MHz范围内的相位噪声降低约20 dB。

双有源区结构4.7 μm中波红外量子级联金宝搏188软件怎么用 器
王渝沛, 章宇航, 罗晓玥, 钱晨灏, 程洋, 赵武, 魏志祥, 韩迪仪, 孙方圆, 王俊, 周大勇
2024, 17(5): 1042-1049. doi: 10.37188/CO.2023-0239
摘要:

本文报道了一种基于双有源区的4.7 μm中波红外量子级联金宝搏188软件怎么用 器,脊宽为9.5 μm,可实现室温连续基横模工作。通过在单有源区中心插入0.8 μm InP间隔层,将原有的单有源区转变成双有源区结构,可显著降低器件有源区的峰值温度,同时抑制高阶横模的产生。在288 K温度下,腔长为5 mm的双有源区器件的阈值电流密度为1.14 kA/cm2,连续输出功率为0.71 W,快轴发散角为27.3°,慢轴发散角为18.1°。同采用常规单有源区结构器件相比,采用双有源区结构的器件,其最大光输出功率未出现退化,同时器件慢轴方向由多模变化为基横模,光束质量得到了显著改善。本工作为改善高功率中波量子级联金宝搏188软件怎么用 器的慢轴光束质量提供了一种解决思路。

双波长纳秒金宝搏188软件怎么用 清洗技术在大理石文物上的应用
李晨毓, 胡文哲, 张雪雁, 刘瀚文, 刘晓龙, 曲亮, 祝萌, 段鸿莺, ParaskeviPouli
2024, 17(5): 1050-1059. doi: 10.37188/CO.2024-0002
摘要:

传统的清洗方法不能对文物表面较小污染颗粒进行清洗,并且容易造成文物表面不可逆的损伤。为提高清洗污染物的能力,金宝搏188软件怎么用 清洗技术逐渐应用于不同类型文物的清洗。本文研制了纳秒金宝搏188软件怎么用 清洗系统并对故宫博物院的大理石模拟样品和大理石碎片进行清洗,清洗的对象是黑色结壳污染物。为了避免变黄效应,采用波长为1064 nm近红外光与355 nm紫外相结合的方法对大理石模拟样本进行金宝搏188软件怎么用 清洗。当两者的能量密度比值为3∶2时,显微观测系统的照片显示有较好的清洗效果。将此比值应用于大理石碎片样本,利用显微拉曼光谱仪对清洗效果进行分析。实验结果证实了金宝搏188软件怎么用 清洗的优势,也为金宝搏188软件怎么用 清洗大理石表面污染物提供参数和评价方法参考。本文研究也为金宝搏188软件怎么用 清洗技术在其他石质文物表面的清洗提供借鉴。

燃煤锅炉高温腐蚀气体金宝搏188软件怎么用 在线监测设备研究
李龙, 师帅, 宫廷, 田亚莉, 郭古青, 邱选兵, 熊小鹤, 李传亮
2024, 17(5): 1060-1067. doi: 10.37188/CO.2023-0209
摘要:

燃煤锅炉燃烧场的经济性、安全性和环保性对于智慧电厂建设具有重要意义。H2S和CO是燃煤锅炉燃烧场的两种主要高温腐蚀气体,它们不仅腐蚀锅炉近壁面,尾气对大气环境的危害也极其严重。基于近红外可调谐半导体金宝搏188软件怎么用 吸收光谱技术,结合波长调制光谱技术和频分复用技术,研制了一款无人值守的燃煤锅炉主燃区的H2S和CO气体浓度实时在线监测设备。仿真模拟了6335~6341 cm−1范围内的气体吸收光谱,并选定1.5 μm附近的近红外金宝搏188软件怎么用 器作为金宝搏188软件怎么用 光源。研制了一套耐高温耐腐蚀的Herriott型多光程池,使金宝搏188软件怎么用 与气体相互作用的有效光程达15 m;开发了硬件电路及相应的固件程序,实现了H2S和CO吸收光谱信号的二次解调与浓度反演。线性度和Allan方差实验表明,其线性拟合相关系数分别为0.99980.9995,在73 s和53 s的积分时间下,H2S和CO的最低检测极限分别为0.2×10−6 mol/mol和0.344×10−6 mol/mol。最后,将研制的设备在某300 MW电负荷的四角切圆燃煤锅炉主燃区燃烧气氛场进行应用示范,对水冷壁附近的H2S和CO进行同步测量。结果表明,锅炉中H2S和CO的浓度呈正相关,厌氧燃烧会导致两种气体的含量增加,造成对水冷壁的腐蚀。

内腔式非稳腔DF金宝搏188软件怎么用 光束质量研究
阮鹏, 汪玉海, 潘其坤, 邵春雷, 陈飞, 郭劲
2024, 17(5): 1068-1074. doi: 10.37188/CO.2023-0210
摘要:

金宝搏188软件怎么用 光束质量是衡量金宝搏188软件怎么用 器应用性能的重要指标之一,面向远距离光电对抗应用场景,本文开展了非链式脉冲氟化氘(DF)金宝搏188软件怎么用 器非稳腔设计和光束质量提升技术研究。设计了3组不同放大倍率的正分支虚共焦非稳腔,搭建了凸面腔镜横向和轴向两种支撑结构的非稳腔实验装置,其中横向支撑结构内置循环水冷却通道。以86.5%环围能量定义金宝搏188软件怎么用 光斑大小,选用β因子评价金宝搏188软件怎么用 光束质量,比较两种支撑方式下的输出能量和光束质量。研究发现:相同条件下,轴向支撑结构的非稳腔输出能量较横向支撑结构高6%,但远场发散角较横向支撑大9%;水冷横向支撑结构虽存在部分能量遮挡,但其较好的热稳定性显著提升了金宝搏188软件怎么用 光束质量。在M=2.25的横向支撑内腔式非稳腔条件下获得了光束质量因子β=1.83、发散角θ0.865=0.63 mrad的金宝搏188软件怎么用 光束。该条件下的金宝搏188软件怎么用 单脉冲能量为2.34 J,金宝搏188软件怎么用 脉宽为88.2 ns,峰值功率达到26.5 MW。

强光背景下主动偏振成像方法
史浩东, 许家伟, 张健, 吴洪波, 王超, 刘壮, 战俊彤, 李英超, 付强
2024, 17(5): 1075-1086. doi: 10.37188/CO.2023-0151
摘要:

针对传统光电探测方法在强光背景下目标探测对比度低的问题,本文提出一种基于金宝搏188软件怎么用 照明的主动偏振成像方法。首先构建金宝搏188软件怎么用 入射双向反射分布模型、金宝搏188软件怎么用 入射偏振双向反射分布模型以及金宝搏188软件怎么用 照明的目标表面偏振度模型,并分析3种典型目标材料偏振特性与束散角之间的耦合关系。然后在暗室可控条件下开展逆光观测实验,验证目标偏振特性受金宝搏188软件怎么用 束散角的影响。实验结果表明:强光背景下主动偏振成像目标对比度与传统被动强度成像相比提升了86.11%,不同束散角下不同目标材料的可见光偏振特性间存在差异,金属材质相对于非金属材质的线偏振度提升更高,实验结果与理论分析具有较好的一致性。最后,在室外开展太阳逆光观测实验,验证了研究方法在室外高强光、远距离下依旧具有适用性。本研究为提升强光背景下的目标精准感知能力奠定了理论基础。

夜间动物图像自监督学习增强与检测方法
王驰, 沈晨, 黄庆, 张国峰, 卢汉, 陈金波
2024, 17(5): 1087-1097. doi: 10.37188/CO.2024-0011
摘要:

为了解决动物夜间实时监测所面临的图像曝光度低、对比度低、特征提取困难等问题,通过研究轻量化自监督深度神经网络Zero-Denoise和改进型YOLOv8模型,来进行夜间动物目标的图像增强与精准识别。首先,通过轻量化的PDCE-Net进行第一阶段快速增强。提出了一个新的光照损失函数,并利用参数可调的Gamma校正原图与快速增强图,在基于Retinex原理和最大熵理论的PRED-Net中进行第二阶段的重增强。然后,改进YOLOv8模型,并对重增强后的图像进行目标识别。最后,在LOL数据集(low-light dataset)与自建动物数据集进行实验分析,验证Zero-Denoise网络和改进型YOLOv8模型对于夜间动物目标监测的改善效果。试验结果显示,Zero-Denoise的mAP值网络在 LOL 数据集上的PSNR、SSIM与MAE指标达到28.53、0.76、26.15,结合改进型 YOLOv8 在自建动物数据集上的mAP值比 YOLOv8 基线模型提升了7.1%。使用 Zero-Denoise和改进型YOLOv8能获得良好的夜间动物目标图像。结果表明所提方法可用于夜间动物目标的精确监测。

面向地物混杂背景的偏振光谱图像融合方法
李英超, 赵喆浩, 王祺, 刘嘉楠, 史浩东, 付强, 孙洪宇
2024, 17(5): 1098-1111. doi: 10.37188/CO.2023-0185
摘要:

针对偏振光谱图像融合方法在地物混杂背景遥感探测中多尺度变换融合图像存在边缘轮廓细节模糊、对比度不佳的问题,提出一种基于非下采样轮廓波变换的稀疏表示与引导滤波器相结合的图像融合方法,以改善融合图像的质量和视觉效果。首先,该方法通过非下采样轮廓波变换对光谱图像和偏振图像进行多尺度多方向分解,进而将图像分解成不同子带内的特征信息。其次,低频子带采用稀疏表示融合,从而降低融合图像中物体对比度损失。此外,采用引导滤波器融合高频子带,以增强图像轮廓细节信息。最后,对低频与高频融合系数进行非下采样轮廓波逆变换,最终得出融合图像。分析表明融合图像对比度相对于原始光谱图像与偏振度图像分别提升了54.5%和15.4%,更容易区分混杂背景下阴影中的物体。基于此方法对偏振光谱成像仪所采集的不同波长下的光谱与偏振图像进行融合,并实现真彩还原。真彩还原图像证明此融合方法在保留混杂背景下的环境信息的同时实现了物体和背景的有效区分,有效提高了偏振光谱遥感探测成像的图像质量,有助于提升偏振光谱遥感探测成像中图像信息的完整性和真实性,扩大其在复杂环境遥感探测和图像识别中的应用范围。

面向机械零件三角网格模型自动配准中增强特征的分割方法
巫志辉, 王立忠, 梁晋, 龚春园, 朱峰, 常志文, 徐建宁
2024, 17(5): 1112-1124. doi: 10.37188/CO.2023-0225
摘要:

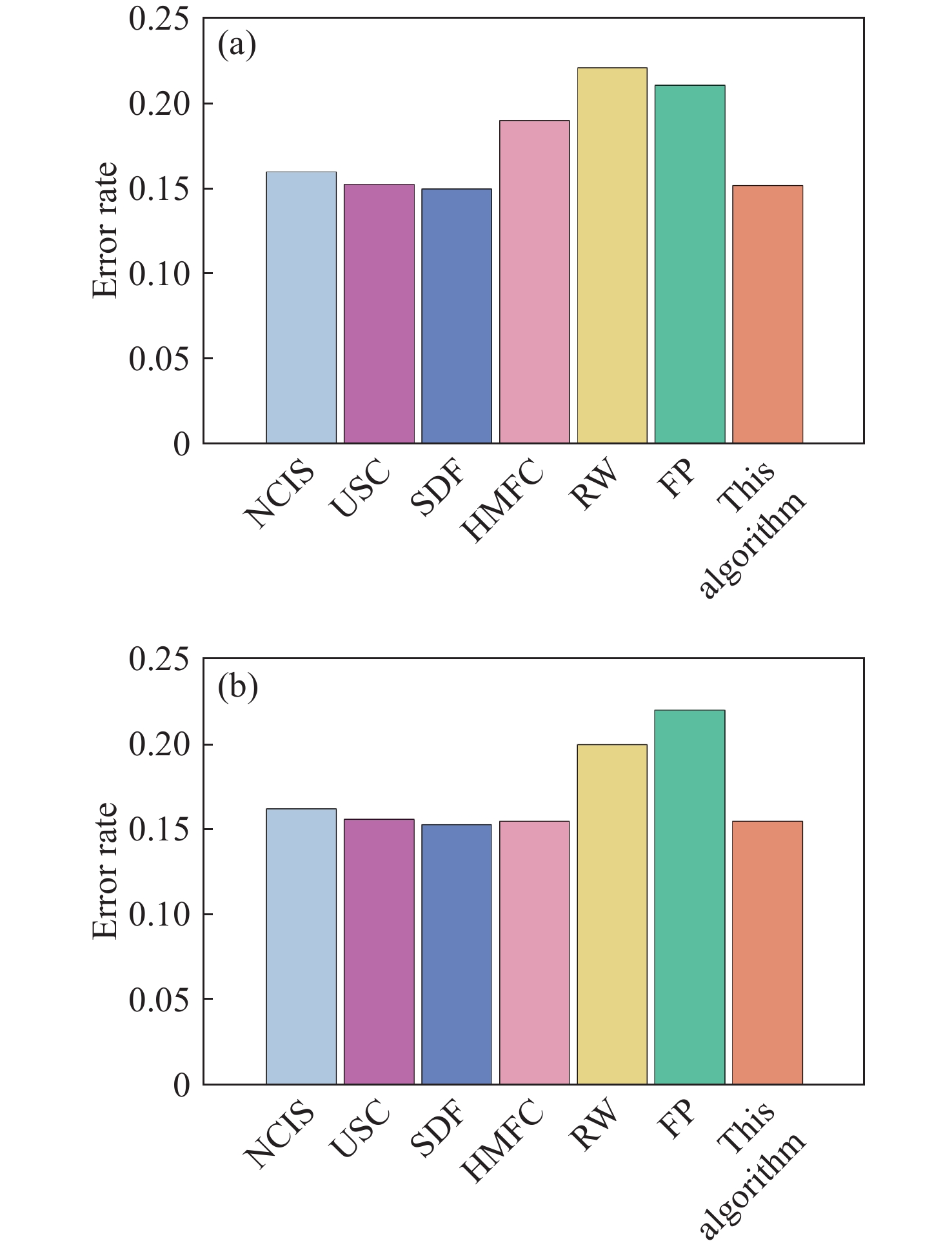
三角网格模型配准是工业自动化检测软件中的重要一环,其配准精度对检测机械零件的形位公差有重要影响。针对三角网格模型的自动配准精度低、鲁棒性差的问题,本文提出一种面向机械零件三角网格模型自动配准中增强特征的分割方法。首先,确定三角网格模型特征分割的K值,通过拉普拉斯矩阵确定种子点进行迭代初始化。其次,本文采用合适的区域形状代理和代价函数以加速该过程,并通过多源迭代聚类得到特征分割结果。最终,在三角网格模型特征分割结果的基础上进行基于奇异值分解法的粗配准,之后再根据EM-ICP进行精配准。与传统的特征描述子粗配准结合ICP精配准的方法进行对比,结果表明,本文方法的配准误差下降了25.2%,自动配准时间缩短了62.6%,有效地提高了三角网格模型自动配准的精度和效率。

模型自适应的扫描视点自动规划
杨国庆, 王立忠, 任茂栋, 徐建宁, 赵建博, 王森, 李壮壮
2024, 17(5): 1125-1138. doi: 10.37188/CO.2024-0022
摘要:

当进行扫描重建时,示教扫描繁琐且通用性差,目前视点规划的重点依然是自动获取覆盖模型的最少视点集。为了实现对不同复杂程度零部件的自动化三维扫描重建,本文对视点规划过程中可能发生的视点冗余、视点遮挡、双目重建约束等问题进行研究。首先,针对现有视点规划难以对模型进行完整扫描的问题,通过分析面结构光扫描特性,对Lloyd’s算法进行改进,提出使用欧式距离和法向量偏差的能量函数对模型进行Voronoi划分,生成初始扫描视点。接着,针对视点冗余问题,提出了对初始扫描视点进行分裂的迭代算法。最后,针对生成的视点容易产生遮挡的问题,提出了一种视线去遮挡策略,并以提高模型覆盖率为目的,提出了使用追扫视点的方法。实验结果表明:在最佳视点数量下,对于汽车铸件和壳体的覆盖率达到了94%以上,对于简单曲面汽车钣金的覆盖率达到了99.5%以上,并实现了汽车转向节的自动规划扫描,满足视点自动规划的覆盖率和效率以及对不同复杂程度零件的适应性要求。

小闪耀角单晶硅光栅结构参数优化及制备工艺
徐昊宇, 姜岩秀, 陈星硕, 王瑞鹏, 张靖, 巴音贺希格
2024, 17(5): 1139-1149. doi: 10.37188/CO.2023-0056
摘要:

本文开展了对单晶硅小闪耀角光栅的各向异性湿法刻蚀制备工艺研究,制备了适用于软X射线中波波段的闪耀光栅,以满足国家同步辐射光源的需要。首先,基于严格耦合波法对小闪耀角光栅进行了结构参数优化及工艺容差分析。在晶向对准过程中,先通过环形预刻蚀确定硅片晶向,再基于倍频调整法实现光栅掩模与单晶硅<111>晶向的对准。研究了光刻胶灰化技术及活性剂对光栅槽形质量的影响,并通过单晶硅各向异性湿法刻蚀工艺成功制备了接近于理想锯齿槽形的闪耀光栅。实验结果证明:所制备光栅闪耀角为1°,刻线密度为1200 gr/mm,闪耀面均方根粗糙度在0.5 nm以内。此方法可以应用于软X射线中波波段闪耀光栅的制作,在获得较高衍射效率的同时可以大大减少制作难度及成本。

数字光栅调焦调平传感器的工艺适应性
曾海峰, 李世光, 李显杰
2024, 17(5): 1150-1161. doi: 10.37188/CO.2024-0021
摘要:

数字光栅位移测量技术将CMOS相机的像素阵列当作一个“数字化”的光栅,通过构造光学光栅像和数字光栅的周期差,利用微米级的光学光栅像,实现纳米级的位移测量。其可以应用于光刻机的调焦调平传感器中,结合倾斜入射的检测光路,对晶圆表面高度进行精确测量。在实际测量中,晶圆表面意外出现的图形会干扰光学光栅的反射成像,进而影响图像处理结果。针对上述问题,本文提出一种数字光栅位移测量的工艺适应性方法,以数字光栅周期为单位,对存在干扰图案时的CMOS图像进行光强重建和光强曲线恢复。该方法能在晶圆基底出现较大面积图案时表现出很好的稳定性,且可以适应多种表面缺陷,如划痕、颗粒、污渍和沟槽等。实验结果表明,经图像光强重建后,光强曲线的均方误差大幅减小,修正后的Z向测量误差在±33 nm(±3σ=±41.2 nm)以内。该方法能增强数字光栅调焦调平传感器的工艺适应性,为调焦调平方法提供技术参考。

基于改进型Blinn遮蔽函数的目标材料表面可见光偏振反射研究
刘承麟, 战俊彤, 张肃, 王超, 付强, 李英超, 段锦, 姜会林
2024, 17(5): 1162-1174. doi: 10.37188/CO.2023-0217
摘要:

为了研究典型目标材料表面的可见光偏振反射特性,本文针对传统“V”型表面结构缺陷,引入改进Blinn型阴影遮蔽函数,综合考虑镜面反射、漫反射和体散射的影响,建立了典型目标材料表面偏振六参量双向反射分布函数模型。对不同材料(聚丙烯塑料板、99氧化铝陶瓷板、铁板、绿漆铝板)目标样板进行可见光600 nm波段的偏振特性测试实验,并采用遗传算法进行参数反演。实验与仿真结果表明:与传统“V”型遮蔽模型相比,在入射角为50°,相对方位角为180°,0°~60°观测角对目标材料表面偏振特性的影响中,聚丙烯塑料板模型精度提升最大,RMSE百分比提升了70.61%;在入射角为50°,观测角为50°,DoLP随90°~270°相对方位角变化的过程中,与另两种参考模型相比,本模型精度至少提升了24.73%,线偏振度最小均方根误差值仅为1.29%。对于本文使用材料而言,偏振特性取决于其复折射率的值,当入射角确定,观测角为0°~60°,相对方位角在0°~360°内时,n/k的比值越大,线偏振度峰值越大。在可见光波段,波长对线偏振度的影响不大。

云地闪电通道的径向结构及光辐射特征
刘国荣, 代炎炎, 朱维君, 褚润通, 袁萍, 孙对兄, 马云云
2024, 17(5): 1175-1182. doi: 10.37188/CO.2024-0017
摘要:

为揭示云地闪电通道形成和发展过程的微观物理机制,研究了云地闪电通道的径向结构及光辐射特征。利用无狭缝高速摄谱仪,在青海高原地区实施野外观测试验。在一次云地闪电中记录到了清晰可见的通道核心,而且在通道核心的外边缘和外部发光通道之间发现一个较弱的发光区。基于光谱观测结果,对比分析了首次回击和第三次继后回击的光辐射特征。实验验证了闪电通道电晕鞘模型,确定了连接点的位置,估算得到两个回击的闪击距离分别为57 m和53 m,并证实了回击放电最强的点在连接点处。由此可推断,在回击初期,云地闪电回击通道沿径向由内到外依次为通道核心-弱发光区-电晕鞘外层,即闪电通道内沿通道径向的电荷分布是不均匀的,闪电通道的光辐射特征与放电强度和持续时间密切相关。

鬼像影响下的调制传递函数计算模型
肖鹏益, 刘铭鑫, 闫磊, 胡铭钰, 张新
2024, 17(5): 1183-1191. doi: 10.37188/CO.2023-0121
摘要:

为了探究鬼像对成像系统性能的影响,构建了二次反射产生的鬼像影响下的调制传递函数(MTF)的计算模型。本文首先介绍了在近轴近似下的鬼像分析与描述的方法。接着,从调制传递函数的定义出发,考虑鬼像在像面处的照度对像面调制度的影响,构建了鬼像影响下的MTF计算模型。通过对一系统进行实例计算,并与仿真结果进行对比,均方误差最大不超过0.049373,进而验证了该模型的准确性。同时针对误差较大的结果进行了详细分析,明确了该计算方法的适用范围。研究结果表明,利用近轴近似的方法计算鬼像影响下的MTF在大多数情况下是真实准确的,该研究在光学系统的鬼像分析方面做出了有益探索。

伽利略型同心阵列系统的设计与分析
刘松昆, 刘智颖
2024, 17(5): 1192-1198. doi: 10.37188/CO.2023-0238
摘要:

同心阵列系统具有小型化与大视场的优势,通过探测器的拼接可实现更大视场高分成像。为了进一步实现大视场系统结构的小型化与轻量化,本文采用伽利略型同心阵列结构形式,设计了一款工作在可见光波段,全视场大小为65°,焦距为19 mm,F数为4.7,总长为44.3 mm的同心阵列系统。在特征频率208 lp/mm处,系统的调制传递函数大于0.3,全视场弥散斑均方根半径均小于探测器像元尺寸2.4 μm,成像质量接近衍射极限。由于同心阵列系统结构的特殊性,其中继系统排布紧密,导致各中继系统间的串扰杂散光严重影响成像质量。针对该问题,本文采用内置消杂光光阑方法抑制串扰杂散光,并对光学系统的杂散光进行仿真分析。分析结果表明,在加入消杂光光阑后,杂光系数均降低至1×10−6以下,验证了串扰杂光抑制方法的有效性。

信息熵-低通滤波联合掩模云层干扰去除方法
李静, 李颖
2024, 17(5): 1199-1208. doi: 10.37188/CO.2024-0067
摘要:

为了降低海洋光学遥感图像中云区对海面表面纹理分析的影响,本文开展了信息熵-低通滤波融合掩模的云层干扰去除研究。首先,分析了现有遥感图像去云算法的基本原理及其局限性。在此基础上,提出一种基于信息熵-低通滤波联合掩模的云层干扰去除方法。其中包括对遥感图像的改进矩匹配的去条带预处理、局部信息熵滤波,以及联合低频滤波作为遥感图像中各像元的校正参数。该算法具有复杂度低、处理速度快的特点。实验结果表明:与现有算法相比,本文提出的算法可在低计算复杂度的前提下,大幅增强各区域的纹理细节信息,其平均信息熵可达到7.8以上,对比度可达到60以上,平均梯度可达到200以上;图像细节方面,本文算法能够在不引入伪边缘、非均匀性的前提下,充分展现受云区影响的海表纹理细节,进一步满足高保真度的遥感应用需求。

强大气湍流下扩展信标波前重建方法研究
毛浩迪, 李远洋, 郭劲
2024, 17(5): 1209-1218. doi: 10.37188/CO.2023-0213
摘要:

针对强湍流环境下自适应光学系统无理想点信标波前探测的难题,本文提出利用光场传感器(Plenoptic sensor)对扩展信标进行光场信息探测。对扩展信标的光场成像原理、波前位相重建算法、误差影响规律进行研究,利用等效法将扩展信标看做数个离散点的集合,简化扩展信标在光场传感器上的成像过程,然后将光场图像按照特定方式重新进行排列组合。通过图像互相关法和Zernike模式法实现0°视场的波前重建。针对不同输入像差系数、单列微透镜单元数和噪声等误差影响因素进行仿真研究,结果表明:当输入像差在6.5 λ以内时,波前重建精度约为0.08 λ,对于图像分辨率为1080×1080、像元尺寸为5.5 μm的图像探测器,单列微透镜单元数在40~50之间时波前重建精度最高,此外,系统噪声几乎不影响精度。最后,搭建了扩展信标波前探测系统,通过探测扩展信标对0°视场的4种像差波前进行重建,实验系统的波前重建精度约为0.04 λ,基本满足自适应光学系统的波前检测要求。

大气多输入-多输出光信道共享密钥提取研究
陈纯毅, 蔡锦湘, 李琼
2024, 17(5): 1219-1226. doi: 10.37188/CO.2023-0202
摘要:

基于信道随机特征的共享密钥提取是实现大气光信道物理层安全的一种有效手段。密钥生成速率和不一致率是关注焦点。利用大气湍流光信道随机特征作为共享随机源,提出多输入-多输出(multiple-input multiple-output, MIMO)大气光信道环境下的密钥提取方案。采用另类奇异值分解法来分解信道矩阵,通过简单移动平均提升合法双方获得的信道特征序列间的相关性,并对移动平均后的信道特征序列进行单门限交错量化。合法双方基于分集差分值生成编码映射控制随机序列,实现对信道特征序列的单门限交错量化结果的编码映射。实验结果表明,本文方案的原始密钥不一致率在信噪比为30 dB时能够达到4.5×10−5,且生成的随机比特序列可通过美国国家标准与技术研究院(NIST)的随机性测试。本文结果对MIMO大气光信道密钥提取有一定参考价值。

用于单切片双模态光学关联成像的肾脏组织样本处理方法
高歌, 郭晓光, 吴俊楠, 陈海龙, 史冰, 黄振立
2024, 17(5): 1227-1235. doi: 10.37188/CO.2023-0105
摘要:

明场成像能够提供细胞或组织的形态学信息,荧光成像可以获取关键蛋白的表达信息,基于二者的双模态关联成像是目前医学和科研中常用的组织样本检查方式。然而,在临床检查时通常利用基于邻近切片之间的关联成像进行观察。此时,组织结构和细胞层次均会有或多或少的改变,这在样本量不足、切片上的细胞有限或需要获得点对点精准形态学信息的情景下显得十分不利。本研究提出了一种在单张组织切片中实现苏木素-伊红染色和免疫荧光染色的样本处理方法,用于双模态成像技术。重点优化了褪色处理和免疫荧光复染方案,比较了三种褪色方案(盐酸乙醇、冰醋酸-草酸和高锰酸钾-草酸)以及三种抗原修复方案(EDTA、Tris-EDTA和柠檬酸)。通过对不同条件下获取的图像信噪比进行对比分析,发现经冰醋酸-草酸褪色结合EDTA抗原修复的免疫荧光图像质量最佳。此外,还实现了明场与荧光图像的融合,从而在单张切片上展示更完整的组织形态和免疫信息。

基于PbS量子点光电探测器的脉搏检测系统研究
李力, 耿会娟, 张天昊, 朱建平
2024, 17(5): 1236-1243. doi: 10.37188/CO.2024-0018
摘要:

脉搏蕴含人体丰富的血流信息,检测脉搏并推导出人体心血管系统健康状态正成为研究的热点。本文利用热注射法合成得到尺寸为3 nm的PbS量子点,在金叉指电极表面通过旋涂的方法构筑PbS量子点光电探测器。基于已制备的PbS量子点光电探测器研制了数据可视化的脉搏检测系统。运用光电容积脉搏波描记法,对同一测试者不同运动状态以及不同测试者同一运动状态进行测量,经过电路处理将测得的数据显示在电子显示屏上。结果表明,探测器在15.2 μW·cm−2光强度照射下,其响应度(R)和探测率(D*)在−3 V偏压下分别为0.33 A/W和1.33×1012 Jones。将其应用于测量脉搏电路中,系统能够有效接收并测得人体脉搏信号。上述结果表明基于PbS量子点光电探测器的脉搏检测系统在灵敏度、稳定性以及可靠性均满足应用要求。

基于宇称时间对称与饱和吸收效应的宽可调谐高光信噪比布里渊光纤金宝搏188软件怎么用 器
刘毅, 江恺, 房新岳, 游亚军, 贺文君, 侯甲欣, 韩学锋, 丑修建
2024, 17(5): 1244-1253. doi: 10.37188/CO.EN-2024-0016
摘要:

本文提出了一种基于宇称时间对称与饱和吸收效应的宽可调谐高光信噪比布里渊光纤金宝搏188软件怎么用 器。这种新型布里渊光纤金宝搏188软件怎么用 器是通过使用保偏掺铒光纤Sagnac环实现宇称时间对称和饱和吸收效应的。保偏掺铒光纤Sagnac环是由一个保偏掺铒光纤、一个耦合器和两个偏振控制器构成的。利用保偏掺铒光纤固有的双折射特性,在注入Stokes信号时形成两个处于正交偏振态的反馈环。其中一个环路在Sagnac环内提供顺时针方向的增益,而另一个环路在逆时针方向产生损耗。当饱和吸收效应参与的受激布里渊散射增益和损耗相平衡,并且增益值大于耦合系数时,由于宇称时间对称性被破坏,通过调整偏振控制器改变保偏掺铒光纤的偏振态,可获得单纵模布里渊光纤金宝搏188软件怎么用 器。与以往的布里渊光纤金宝搏188软件怎么用 器相比,本文提出的金宝搏188软件怎么用 器具有更精简的结构和更宽的波长可调范围,且不受掺铒光纤放大器带宽的限制,同时仍保持窄线宽单纵模输出。此外,由于保偏掺铒光纤的饱和吸收效应,提高了宇称时间对称受激布里渊散射增益对比度,因此获得了更高的光信噪比。实验结果表明,该金宝搏188软件怎么用 器具有1526.0881565.498 nm宽可调范围、77 dB光信噪比和140.5 Hz线宽。

Baidu
map