留言板

尊敬的读者、作者、审稿人, 关于本刊的投稿、审稿、编辑和出版的任何问题, 您可以本页添加留言。我们将尽快给您答复。谢谢您的支持!

姓名
邮箱
手机号码
标题
留言内容
验证码

基于高温LDAs泵浦Zigzag Nd:YAG大能量脉冲金宝搏188软件怎么用 器

赵千喜 王鹤鹏 吴从正 李岩 邹永刚 徐英添 张崇

赵千喜, 王鹤鹏, 吴从正, 李岩, 邹永刚, 徐英添, 张崇. 基于高温LDAs泵浦Zigzag Nd:YAG大能量脉冲金宝搏188软件怎么用 器[J]. 188bet网站真的吗 . doi: 10.37188/CO.2025-0147
引用本文: 赵千喜, 王鹤鹏, 吴从正, 李岩, 邹永刚, 徐英添, 张崇. 基于高温LDAs泵浦Zigzag Nd:YAG大能量脉冲金宝搏188软件怎么用 器[J]. 188bet网站真的吗 . doi: 10.37188/CO.2025-0147
ZHAO Qian-xi, WANG He-peng, WU Cong-zheng, LI Yan, ZOU Yong-gang, XU Ying-tian, ZHANG Chong. High-Temperature LDAs-Pumped Zigzag Nd:YAG High-Energy Pulse Laser[J]. Chinese Optics. doi: 10.37188/CO.2025-0147
Citation: ZHAO Qian-xi, WANG He-peng, WU Cong-zheng, LI Yan, ZOU Yong-gang, XU Ying-tian, ZHANG Chong. High-Temperature LDAs-Pumped Zigzag Nd:YAG High-Energy Pulse Laser[J]. Chinese Optics. doi: 10.37188/CO.2025-0147

基于高温LDAs泵浦Zigzag Nd:YAG大能量脉冲金宝搏188软件怎么用 器

cstr: 32171.14.CO.2025-0147
基金项目: 中青年科技创业卓越人才项目(No. 20220508138RC)
详细信息
    作者简介:

    李 岩(1982—),男,吉林长春人,博士,助理研究员。2016年毕业于北京理工大学光电学院,同年入职长春理工大学高功率半导体金宝搏188软件怎么用 国家重点实验室。主要从事高功率固体金宝搏188软件怎么用 器及光电检测方向研究。E-mail:liyan8281@cust.edu.cn

  • 中图分类号: TN242

High-Temperature LDAs-Pumped Zigzag Nd:YAG High-Energy Pulse Laser

Funds: Supported by Outstanding Young and Middle-aged Talents Program for Technology Entrepreneurship (No. 20220508138RC)
More Information
  • 摘要:

    为满足特殊环境下金宝搏188软件怎么用 系统对轻量化结构与高能量脉冲输出的双重需求,本研究设计并实现了一种采用高温半导体金宝搏188软件怎么用 器阵列(Laser Diode Arrays, LDAs)侧面泵浦Zigzag Nd:YAG晶体的无水冷高能脉冲金宝搏188软件怎么用 系统。振荡光在晶体内呈现”Zigzag”路径以增加增益长度,LDAs分别对两个晶体采用轴对称式泵浦,以改善增益分布均匀性。通过隔热材料实现Nd:YAG晶体与LDAs的热隔离,并分别采用半导体制冷器(Thermoelectric Cooler, TEC)与强制风冷对Nd:YAG晶体和LDAs进行独立温控,确保热管理的稳定性与高效性。磷酸二氘钾晶体(Potassium Dideuterium Phosphate, DKDP)作为电光调Q晶体。在不使用水冷、重复频率为100 Hz(占空比为2.5%)的条件下,实现了129.2 mJ的脉冲金宝搏188软件怎么用 输出,脉冲宽度为9.0 ns,对应的光-光转换效率为9.6%,斜效率为13.1%,输出能量稳定性优于2.26%。并在150 Hz重复频率下取得了87.6 mJ的能量输出。该金宝搏188软件怎么用 系统为金宝搏188软件怎么用 测距、金宝搏188软件怎么用 照射等领域提供了一种环境适应性强、结构紧凑的新型光源解决方案。

     

  • 图 1  Nd:YAG模块设计 (a)模块的二维结构示意图 (b) 模块的三维结构示意图

    Figure 1.  Nd:YAG module design: (a) two-dimensional structural schematic; (b) three-dimensional structural schematic.

    图 2  (a) 不同厚度下晶体的吸收效率 (b)晶体内“Zigzag”光路示意图

    Figure 2.  (a) Absorption efficiency of the crystal at different thicknesses (b) “Zigzag” optical path in the crystal

    图 3  单个Nd:YAG上强度分布(a)晶体截面(Z=27.5 mm) (b)晶体上表面(Y=3 mm)、侧面(X=0 mm)

    Figure 3.  single Nd:YAG intensity distributions (a) Crystal cross-section (Z=27.5 mm) (b) Crystal top surface (Y=3 mm) and side face (X=0 mm)

    图 4  单个Nd:YAG上小信号分布(a)晶体截面(Lz/2) (b)晶体上表面、侧面(Lx/2)

    Figure 4.  Single Nd:YAG small-signal gain distribution (a) Crystal cross-section (Lz/2) (b) Crystal top surface and side face (Lx/2)

    图 5  温度分布(a)晶体表面(b)“L”形散热模块

    Figure 5.  Temperature distribution: (a) crystal surface; (b) “L”-shaped heat dissipation module

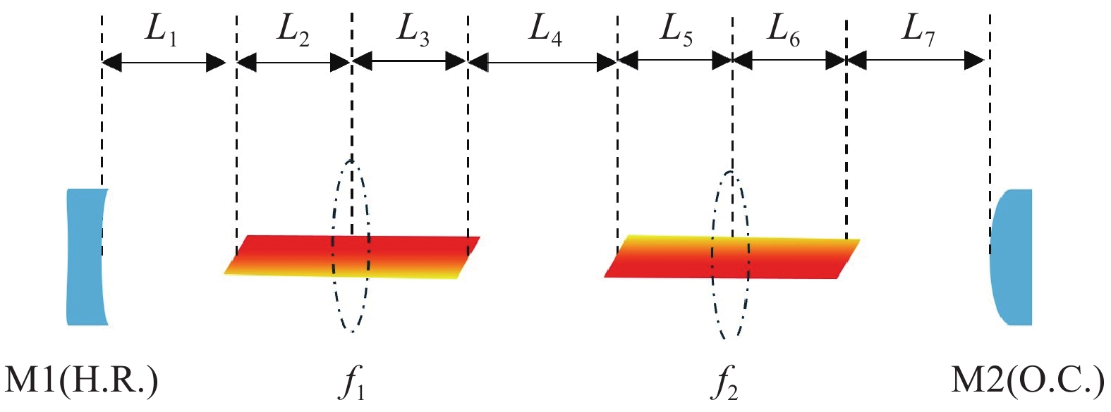
    图 6  简化的金宝搏188软件怎么用 谐振腔结构布局图

    Figure 6.  Simplified Laser Resonator Structure Layout Diagram

    图 7  稳定性与热透镜效应之间的关系

    Figure 7.  Relationship between stability and thermal lensing

    图 8  Nd:YAG金宝搏188软件怎么用 器脉冲的实验装置

    Figure 8.  Experimental setup of an electro-optic Q-switched Nd: YAG laser

    图 9  不同频率下LDAs的输出光谱和工作温度

    Figure 9.  Output Spectrum and Operating Temperature of LDAs at Different Frequencies

    图 10  不同重复频率下输出能量随泵浦能量变化关系。(a)20 Hz,(b)50 Hz,(c)75 Hz,(d)100 Hz

    Figure 10.  Dependence of energy output on pump energy at different repetition rates. (a) 20 Hz, (b) 50 Hz, (c) 75 Hz, (d) 100 Hz

    图 11  (a)100 Hz单个脉冲波形(b)最大能量输出时光斑及束腰半径变化

    Figure 11.  (a) Single-pulse waveform at 100 Hz; (b) beam profile and waist radius variation at maximum energy output.

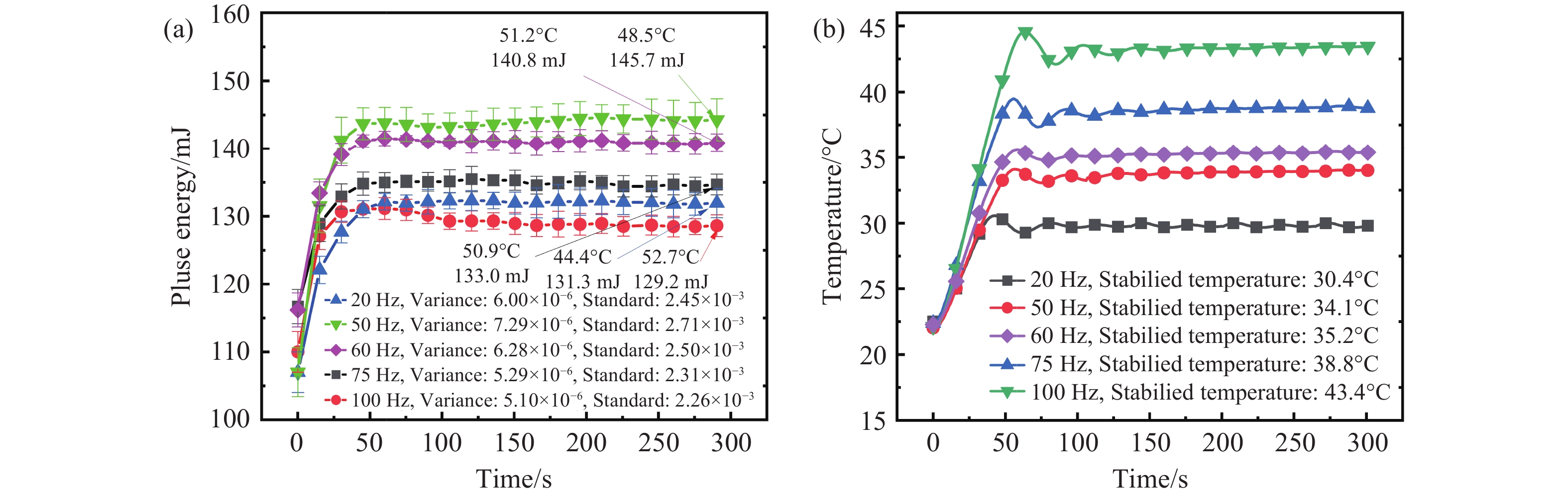
    图 12  (a)能量稳定性及LDAs稳定时的温度,(b)Nd:YAG测试温度变化曲线

    Figure 12.  (a) Power Stability and Steady-State Temperature of LDAs; (b) Nd:YAG Temperature Test Curve

    图 13  (a)输出能量与脉冲重复频率的关系 (b) 金宝搏188软件怎么用 器实物图

    Figure 13.  (a) Relationship between output energy and pulse repetition frequency (b) Photo of the complete laser

    表  1  计算使用的各种参数值

    Table  1.   Various parameter values used for calculation

    参数数值意义
    $ {\eta }_{Q} $0.85量子效率
    $ {\eta }_{S} $0.76斯托克斯系数
    $ {\eta }_{B} $0.95光束重叠效率
    $ {\eta }_{a} $0.987泵浦吸收效率
    $ {P}_{ab} $5400 W总峰值功率
    $ V $1.8 cm3增益介质体积
    $ {I}_{s} $2900 W/cm2饱和光强
    $ L $0.05腔内损耗
    $ l $8 cmNd:YAG有效泵浦长度
    下载: 导出CSV
    Baidu
  • [1] GRIGORE O V, PAVEL N. Laser ignition of hydrogen/air mixtures in a constant-volume combustion chamber using a pulse-burst Nd: YAG/Cr4+ : YAG laser spark plug[J]. Optics Express, 2024, 32(17): 30344-30359. doi: 10.1364/OE.532567
    [2] QI Y X, ZHANG S S, YE ZH B, et al. Multi-mode stable, high peak power Nd: YAG laser device for laser cleaning[J]. Applied Optics, 2024, 63(12): 3277-3282. doi: 10.1364/AO.516570
    [3] CHEN S B, LI J L, UEDA K I. Pulsed azimuthally polarized beam from passively Q-switched rotating Nd: YAG disk laser[J]. Applied Physics Express, 2021, 14(4): 042001. doi: 10.35848/1882-0786/abe80c
    [4] 邹吉跃, 刘学胜, 徐爱东, 等. 大信号无水冷LD侧泵Nd:YAG金宝搏188软件怎么用 放大器[J]. 发光学报, 2019, 40(7): 885-890. doi: 10.3788/fgxb20194007.0885

    ZOU J Y, LIU X SH, XU A D, et al. Large signal LD side-pumped Nd: YAG laser amplifier without water-cooler[J]. Chinese Journal of Luminescence, 2019, 40(7): 885-890. (in Chinese). doi: 10.3788/fgxb20194007.0885
    [5] DING J Y, YU G L, FANG CH Q, et al. High beam quality of nanosecond Nd: YAG slab laser system with SBS-PCM[J]. Optics Communications, 2020, 475: 126273. doi: 10.1016/j.optcom.2020.126273
    [6] 吴健宏, 杜仕峰, 高昀, 等. 紧凑高效型百瓦级2 μm棒状Tm:YAG金宝搏188软件怎么用 器[J]. 发光学报, 2023, 44(11): 2027-2032. doi: 10.37188/CJL.20230174

    WU J H, DU SH F, GAO Y, et al. Compact and efficient hundred-watt level 2 μm rod Tm:YAG laser[J]. Chinese Journal of Luminescence, 2023, 44(11): 2027-2032. (in Chinese). doi: 10.37188/CJL.20230174
    [7] RAZA K, KHAN H A, KHAN S D, et al. An all-diode pumped 1.28-Joule, 200-picosecond Nd: YAG laser amplifier at 10 Hz[J]. Optics Communications, 2025, 577: 131413. doi: 10.1016/j.optcom.2024.131413
    [8] 刘学胜, 杨松, 司汉英, 等. 1J高光束质量免水冷脉冲Nd: YAG金宝搏188软件怎么用 器[J]. 发光学报, 2019, 40(12): 1523-1530. doi: 10.3788/fgxb20194012.1523

    LIU X SH, YANG S, SI H Y, et al. High beam quality water-free pulsed Nd: YAG laser with output energy 1 J[J]. Chinese Journal of Luminescence, 2019, 40(12): 1523-1530. (in Chinese). doi: 10.3788/fgxb20194012.1523
    [9] YAHIA V, KAUSAS A, TSUJI A, et al. Joule-class sub-nanosecond pulses produced by end-pumped direct bonded YAG/sapphire modular amplifier[J]. Optics Express, 2024, 32(8): 14377-14393. doi: 10.1364/OE.518251
    [10] CHEN S B, UEDA K I. Room temperature high-power TEM00 mode beam from bulk solid-state laser without water cooling[J]. Optics & Laser Technology, 2025, 181: 111630. doi: 10.1016/j.optlastec.2024.111630
    [11] LI ZH Y, WANG SH Y, GUO ZH, et al. 100 mJ pulse operation in thermal lens Q-switching Nd: YAG MOPA[J]. Optics & Laser Technology, 2025, 182: 112113. doi: 10.1016/j.optlastec.2024.112113
    [12] COYLE D B, STYSLEY P R, POULIOS D, et al. High efficiency, 100 mJ per pulse, Nd: YAG oscillator optimized for space-based earth and planetary remote sensing[J]. Optics & Laser Technology, 2014, 63: 13-18. doi: 10.1016/j.optlastec.2014.03.009
    [13] YAN R P, XU H B, LI X D. Computation and verification of spatial rate equations for an electro-optically Q-switched laser-diode side-pumped Nd: YAG laser[J]. Applied Sciences, 2023, 13(9): 5410. doi: 10.3390/app13095410
    [14] YANG Z Q, CONG ZH H, MENG J, et al. Compact LD side-pumped Nd: YAG oscillator at 100 Hz without water-cooling[J]. Optics Communications, 2023, 541: 129552. doi: 10.1016/j.optcom.2023.129552
    [15] FU X, LIU Q, YAN X, et al. High power composite Nd: YAG/YAG zigzag dual-slab laser oscillator[J]. Laser Physics, 2011, 21(1): 48-51. doi: 10.1134/S1054660X10230027
    [16] YANG H L, MENG J Q, MA X H, et al. Compact and high-energy diode-side-pumped Q-switched Nd: YAG slab laser system for space application[J]. Chinese Optics Letters, 2014, 12(12): 121406. doi: 10.3788/col201412.121406
    [17] CHEN X M, LU Y H, HU H, et al. Narrow-linewidth, quasi-continuous-wave ASE source based on a multiple-pass Nd: YAG zigzag slab amplifier configuration[J]. Optics Express, 2018, 26(5): 5602-5068. doi: 10.1364/OE.26.005602
    [18] WANG W, FU CH, HU ZH Y, et al. Segment side-pumped Q-switched Nd: YAG laser[J]. Applied Optics, 2012, 51(11): 1765-1770. doi: 10.1364/AO.51.001765
    [19] KOECHNER W. Solid-State Laser Engineering[M]. 5th ed. Springer, 2013. (查阅网上资料, 未找到本条文献出版地, 请确认).
    [20] LI CH Y, LU CH Q, LI CH, et al. Compact conductively cooled electro-optical Q-switched Nd: YAG laser[J]. Optical Engineering, 2017, 56(11): 116115. doi: 10.1117/1.oe.56.11.116115
    [21] KOECHNER W. Laser amplifier[M]//KOECHNER W. Solid-State Laser Engineering. New York: Springer, 2006: 156-209.
    [22] DUPRAZ K, CASSOU K, MARTENS A, et al. The ABCD matrices for reflection and refraction for any incident angle and surface[J]. Optics Communications, 2019, 443: 172-176. doi: 10.1016/j.optcom.2019.03.041
  • 加载中
图(13) / 表(1)
计量
  • 文章访问数:  111
  • HTML全文浏览量:  51
  • PDF下载量:  4
  • 被引次数: 0
出版历程
  • 收稿日期:  2025-11-21
  • 录用日期:  2026-01-30
  • 网络出版日期:  2026-03-13

目录

    /

    返回文章
    返回
    Baidu
    map