留言板

尊敬的读者、作者、审稿人, 关于本刊的投稿、审稿、编辑和出版的任何问题, 您可以本页添加留言。我们将尽快给您答复。谢谢您的支持!

姓名
邮箱
手机号码
标题
留言内容
验证码

A novel methane and hydrogen sensor with surface plasmon resonance-based photonic quasi-crystal fiber

LIU Qiang ZHAO Jin SUN Yu-dan LIU Wei WANG Jian-xin LIU Chao LV Jing-wei WANG Shi-miao JIANG Yu PAUL K CHU

刘强, 赵锦, 孙宇丹, 刘伟, 王建鑫, 刘超, 吕靖薇, 王诗淼, 蒋宇, 朱剑豪. 基于表面等离子体共振的光子准晶体光纤甲烷氢气传感器[J]. 188bet网站真的吗 , 2023, 16(1): 174-183. doi: 10.37188/CO.EN.2022-0006
引用本文: 刘强, 赵锦, 孙宇丹, 刘伟, 王建鑫, 刘超, 吕靖薇, 王诗淼, 蒋宇, 朱剑豪. 基于表面等离子体共振的光子准晶体光纤甲烷氢气传感器[J]. 188bet网站真的吗 , 2023, 16(1): 174-183. doi: 10.37188/CO.EN.2022-0006
LIU Qiang, ZHAO Jin, SUN Yu-dan, LIU Wei, WANG Jian-xin, LIU Chao, LV Jing-wei, WANG Shi-miao, JIANG Yu, PAUL K CHU. A novel methane and hydrogen sensor with surface plasmon resonance-based photonic quasi-crystal fiber[J]. Chinese Optics, 2023, 16(1): 174-183. doi: 10.37188/CO.EN.2022-0006
Citation: LIU Qiang, ZHAO Jin, SUN Yu-dan, LIU Wei, WANG Jian-xin, LIU Chao, LV Jing-wei, WANG Shi-miao, JIANG Yu, PAUL K CHU. A novel methane and hydrogen sensor with surface plasmon resonance-based photonic quasi-crystal fiber[J]. Chinese Optics, 2023, 16(1): 174-183. doi: 10.37188/CO.EN.2022-0006

基于表面等离子体共振的光子准晶体光纤甲烷氢气传感器

详细信息
  • 中图分类号: O433

A novel methane and hydrogen sensor with surface plasmon resonance-based photonic quasi-crystal fiber

doi: 10.37188/CO.EN.2022-0006
Funds: Supported by the Hainan Province Science and Technology Special Fund (No. ZDYF2022GXJS003); Youth Science Foundation of Northeast Petroleum University (No. 2019QNL-17); Postdoctoral Scientific Research Development Fund of Heilongjiang Province (No. LBH-Q20081);Local Universities Reformation and Development Personnel Training Supporting Project from Central Authorities, City University of Hong Kong Strategic Research Grant (SRG) (No. 7005505)
More Information
    Author Bio:

    LIU Qiang (1980—), Male, born in Tailai, Heilongjiang, Ph.D, Professor, graduated from Harbin Engineering University in 2012, and is mainly engaged in optical fiber sensing technology. E-mail: nepulq@126.com

    LIU Chao (1978—), Male, born in Mulan, Heilongjiang, Ph.D,  Professor, doctoral  supervisor, graduated from Harbin Institute of Technology in 2008, and is mainly engaged in micro-structured optical devices. E-mail: msm-liu@126.com

    Corresponding author: msm-liu@126.com
  • 摘要:

    设计了一种用于同时检测甲烷和氢气的基于表面等离子体共振(SPR)的新型光子准晶体光纤(PQF)传感器。在该传感器中,在银膜上分别沉积Pd-WO3和掺杂聚硅氧烷的笼型分子E薄膜作为氢气和甲烷的敏感材料。采用全矢量有限元方法对PQF-SPR传感器进行数值分析,结果证明该传感器具有良好的传感性能。在0%~3.5%的浓度范围内,氢气的最大检测灵敏度和平均灵敏度分别为0.8 nm/%和0.65 nm/%,甲烷的最大灵敏度和平均灵敏度分别为10 nm/%和8.81 nm/%。该传感器具有同时检测多种气体的能力,在设备小型化和远程监测方面具有很大的潜力。

     

  • Figure 1.  Cross-section of the PQF-SPR sensor

    Figure 2.  Dispersion relationships of the X-polarized core mode and SPP mode, confinement loss spectra, and electric field distributions for C_H2=2.5%: (a) X-polarized core mode at 1875 nm, (b) X-polarized core mode at the phase matching point, and (c) X-polarized SPP mode at 1875 nm.

    Figure 3.  Dispersion relationships of the Y-polarized core mode and SPP mode, confinement loss spectra, and electric field distributions for C_CH4=2.5%: (a) Y-polarized core mode at 1570 nm, (b) Y-polarized core mode at the phase matching point, and (c) Y-polarized SPP mode at 1570 nm.

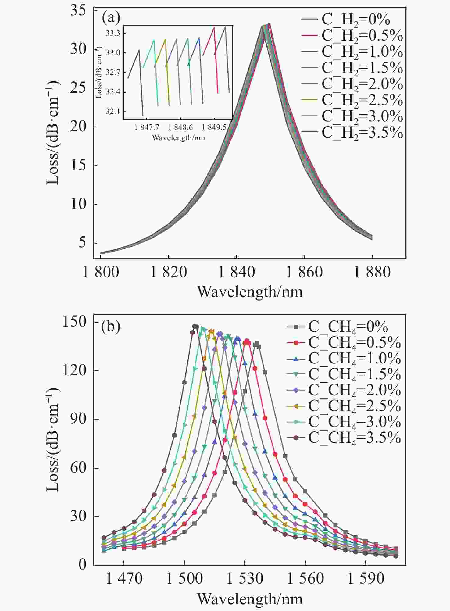
    Figure 4.  CL spectra of the core mode for (a) hydrogen and (b) methane with different concentrations

    Figure 5.  Relationship between the gas concentration and wavelength shift for hydrogen and methane

    Figure 6.  (a) CL spectra of the core mode for different air hole diameters d when the hydrogen concentration is 3.0%. (b) Resonance wavelength versus hydrogen concentration (t1=t2=30 nm, h1=1.5 μm, h2=2.17 μm, and C_H2=3%)

    Figure 7.  (a) CL spectra of the core mode for different air hole diameters d when the methane concentrations are 2.0% and 2.5%. (b) Resonance wavelength versus methane concentration and average sensitivity (t1=t2=30 nm, h1=1.5 μm, and h2=2.17 μm).

    Figure 8.  (a) CL spectra of the core mode for different metal film thicknesses t1 at a hydrogen concentration of 3.0%. (b) Resonance wavelength versus hydrogen concentration and average sensitivity (d=1.58 μm, t2=30 nm, h1=1.5 μm, and h2=2.17 μm).

    Figure 9.  (a) CL spectra of the core mode for different metal film thicknesses t2 when the methane concentrations are 2.0% and 2.5%. (b) Resonance wavelength versus methane concentration and average sensitivity (d=1.58 μm, t1=30 nm, h1=1.5 μm, and h2=2.17 μm).

    Figure 10.  (a) CL spectra of the core mode for the methane gas channel with different height h2 when the methane concentrations are 2.0% and 2.5%. (b) Resonance wavelength versus methane concentration and average sensitivity (d=1.58 μm, t1=t2=30 nm, and h1=1.5 μm).

    Baidu
  • [1] HAO Q Q, LUO ZH M, WANG T, et al. The flammability limits and explosion behaviours of hydrogen-enriched methane-air mixtures[J]. Experimental Thermal and Fluid Science, 2021, 126: 110395. doi: 10.1016/j.expthermflusci.2021.110395
    [2] SUMIDA S, OKAZAKI S, ASAKURA S, et al. Distributed hydrogen determination with fiber-optic sensor[J]. Sensors and Actuators B:Chemical, 2005, 108(1-2): 508-514. doi: 10.1016/j.snb.2004.11.068
    [3] YANG J CH, XU L J, CHEN W M. An optical fiber methane gas sensing film sensor based on core diameter mismatch[J]. Chinese Optics Letters, 2010, 8(5): 482-484. doi: 10.3788/COL20100805.0482
    [4] WANG Y, YANG M H, ZHANG G L, et al. Fiber optic hydrogen sensor based on fabry-perot interferometer coated with sol-gel Pt/WO3 coating[J]. Journal of Lightwave Technology, 2015, 33(12): 2530-2534. doi: 10.1109/JLT.2014.2365183
    [5] ZHOU B, CHEN ZH, ZHANG Y B, et al. Active fiber gas sensor for methane detecting based on a laser heated fiber bragg grating[J]. IEEE Photonics Technology Letters, 2014, 26(11): 1069-1072. doi: 10.1109/LPT.2014.2314692
    [6] PUSTELNY T, MACIAK E, OPILSKI Z, et al. Optical interferometric structures for application in gas sensors[J]. Optica Applicata, 2007, 37(1-2): 187-194.
    [7] WANG X X, ZHU J K, XU Y Q, et al. A novel plasmonic refractive index sensor based on gold/silicon complementary grating structure[J]. Chinese Physics B, 2021, 30(2): 024207. doi: 10.1088/1674-1056/abd690
    [8] WANG X X, WU Y, WEN X L, et al. Surface plasmons and SERS application of Au nanodisk array and Au thin film composite structure[J]. Optical and Quantum Electronics, 2020, 52(5): 238. doi: 10.1007/s11082-020-02360-2
    [9] LIU Q, JIANG Y, SUN Y D, et al. Surface plasmon resonance sensor based on U-shaped photonic quasi-crystal fiber[J]. Applied Optics, 2021, 60(6): 1761-1766. doi: 10.1364/AO.419518
    [10] LIU Q, SUN J D, SUN Y D, et al. Surface plasmon resonance sensor based on photonic crystal fiber with indium tin oxide film[J]. Optical Materials, 2020, 102: 109800. doi: 10.1016/j.optmat.2020.109800
    [11] LI CH G, YAN B, LIU J J. Refractive index sensing characteristics in a D-shaped photonic quasi-crystal fiber sensor based on surface plasmon resonance[J]. Journal of the Optical Society of America A, 2019, 36(10): 1663-1668. doi: 10.1364/JOSAA.36.001663
    [12] YAN B, WANG A R, LIU E X, et al. Polarization filtering in the visible wavelength range using surface plasmon resonance and a sunflower-type photonic quasi-crystal fiber[J]. Journal of Physics D:Applied Physics, 2018, 51(15): 155105. doi: 10.1088/1361-6463/aab4ce
    [13] SIDDIK A B, HOSSAIN S, PAUL A K, et al. High sensitivity property of dual-core photonic crystal fiber temperature sensor based on surface plasmon resonance[J]. Sensing and Bio-Sensing Research, 2020, 29: 100350. doi: 10.1016/j.sbsr.2020.100350
    [14] HOSSAIN B, ISLAM S M R, HOSSAIN K M T, et al. High sensitivity hollow core circular shaped PCF surface plasmonic biosensor employing silver coat: a numerical design and analysis with external sensing approach[J]. Results in Physics, 2020, 16: 102909. doi: 10.1016/j.rinp.2019.102909
    [15] WEI W, NONG J P, ZHANG G W, et al. Graphene-based long-period fiber grating surface plasmon resonance sensor for high-sensitivity gas sensing[J]. Sensors, 2017, 17(1): 2. doi: 10.1109/JSEN.2016.2633500
    [16] LIU H, WANG M, WANG Q, et al. Simultaneous measurement of hydrogen and methane based on PCF-SPR structure with compound film-coated side-holes[J]. Optical Fiber Technology, 2018, 45: 1-7. doi: 10.1016/j.yofte.2018.05.007
    [17] LIU H, ZHANG Y Z, CHEN C, et al. Transverse-stress compensated methane sensor based on long-period grating in photonic crystal fiber[J]. IEEE Access, 2019, 7: 175522-175530. doi: 10.1109/ACCESS.2019.2951133
    [18] LIU E X, LIANG SH W, LIU J J. Double-cladding structure dependence of guiding characteristics in six-fold symmetric photonic quasi-crystal fiber[J]. Superlattices and Microstructures, 2019, 130: 61-67. doi: 10.1016/j.spmi.2019.03.011
    [19] LIU E X, TAN W, YAN B, et al. Robust transmission of orbital angular momentum mode based on a dual-cladding photonic quasi-crystal fiber[J]. Journal of Physics D:Applied Physics, 2019, 52(32): 325110. doi: 10.1088/1361-6463/ab2369
    [20] LEE Y S, LEE C G, KIM S. Annular core photonic quasi-crystal fiber with wideband nearly zero ultra-flat dispersion, low confinement loss and high nonlinearity[J]. Optik, 2018, 157: 141-147. doi: 10.1016/j.ijleo.2017.10.166
    [21] SIVABALAN S, RAINA J P. High normal dispersion and large mode area photonic quasi-crystal fiber stretcher[J]. IEEE Photonics Technology Letters, 2011, 23(16): 1139-1141. doi: 10.1109/LPT.2011.2157817
    [22] LIU D M, LIU J CH, WANG H, et al. Laser etching of groove structures with micro-optical fiber-enhanced irradiation[J]. Nanoscale Research Letters, 2012, 7(1): 318. doi: 10.1186/1556-276X-7-318
    [23] ZHAO Q K, TIAN F J, YANG X H, et al. Optical fibers with special shaped cores drawn from 3D printed preforms[J]. Optik, 2017, 133: 60-65. doi: 10.1016/j.ijleo.2017.01.002
    [24] MARUYAMA T, FUKUI K. Indium-tin oxide thin films prepared by chemical vapor deposition[J]. Journal of Applied Physics, 1991, 70(7): 3848-3851. doi: 10.1063/1.349189
    [25] BING P B, SUI J L, WU G F, et al. Analysis of dual-channel simultaneous detection of photonic crystal fiber sensors[J]. Plasmonics, 2020, 15(4): 1071-1076. doi: 10.1007/s11468-020-01131-9
    [26] ZHANG Y N, ZHAO Y, WANG Q. Measurement of methane concentration with cryptophane E infiltrated photonic crystal microcavity[J]. Sensors and Actuators B:Chemical, 2015, 209: 431-437. doi: 10.1016/j.snb.2014.12.002
    [27] SHAKYA A K, SINGH S. Design of dual polarized tetra core PCF based plasmonic RI sensor for visible-IR spectrum[J]. Optics Communications, 2021, 478: 126372. doi: 10.1016/j.optcom.2020.126372
    [28] YAN X, FU R, CHENG T L, et al. A highly sensitive refractive index sensor based on a V-shaped photonic crystal fiber with a high refractive index range[J]. Sensors, 2021, 21(11): 3782. doi: 10.3390/s21113782
    [29] LIU Q, SUN J D, SUN Y D, et al. High-sensitivity SPR sensor based on the eightfold eccentric core PQF with locally coated indium tin oxide[J]. Applied Optics, 2020, 59(22): 6484-6489. doi: 10.1364/AO.395605
    [30] YANG ZH, XIA L, LI CH, et al. A surface plasmon resonance sensor based on concave-shaped photonic crystal fiber for low refractive index detection[J]. Optics Communications, 2019, 430: 195-203. doi: 10.1016/j.optcom.2018.08.049
    [31] ZHAN Y S, LI Y L, WU ZH Q, et al. Surface plasmon resonance-based microfiber sensor with enhanced sensitivity by gold nanowires[J]. Optical Materials Express, 2018, 8(12): 3927-3940. doi: 10.1364/OME.8.003927
    [32] PAUL A K, HABIB S, HAI N H, et al. An air-core photonic crystal fiber based plasmonic sensor for high refractive index sensing[J]. Optics Communications, 2020, 464: 125556. doi: 10.1016/j.optcom.2020.125556
    [33] LIU Q, ZHAO J, SUN Y D, et al. High-sensitivity methane sensor composed of photonic quasi-crystal fiber based on surface plasmon resonance[J]. Journal of the Optical Society of America A, 2021, 38(10): 1438-1442. doi: 10.1364/JOSAA.432045
    [34] GANGWAR R K, SINGH V K. Highly Sensitive surface plasmon resonance based D-shaped photonic crystal fiber refractive index sensor[J]. Plasmonics, 2017, 12(5): 1367-1372. doi: 10.1007/s11468-016-0395-y
    [35] HOSSAIN B, HOSSAIN S, ISLAM S M R, et al. Numerical development of high performance quasi D-shape PCF-SPR biosensor: an external sensing approach employing gold[J]. Results in Physics, 2020, 18: 103281. doi: 10.1016/j.rinp.2020.103281
    [36] HOSSAIN B, MAHENDIRAN T V, ABDULRAZAK L F, et al. Numerical analysis of gold coating based quasi D-shape dual core PCF SPR sensor[J]. Optical and Quantum Electronics, 2020, 52(10): 446. doi: 10.1007/s11082-020-02555-7
    [37] LIANG H, SHEN T, FENG Y, et al. A surface plasmon resonance temperature sensing unit based on a graphene oxide composite photonic crystal fiber[J]. IEEE Photonics Journal, 2020, 12(3): 7201811.
  • 加载中
图(10)
计量
  • 文章访问数:  769
  • HTML全文浏览量:  404
  • PDF下载量:  351
  • 被引次数: 0
出版历程
  • 收稿日期:  2022-04-12
  • 修回日期:  2022-05-09
  • 网络出版日期:  2022-08-04

目录

    /

    返回文章
    返回
    Baidu
    map