2023 Vol. 16, No. 1

Review
Bound states in continuum in periodic optical systems
YAO Jian-quan, LI Ji-tao, ZHANG Ya-ting, LI Jie, YUE Zhen, XU Hang, YANG Fan
2023, 16(1): 1-23. doi: 10.37188/CO.2022-0189
Abstract:

Periodic optical systems, such as photonic crystals and optical metamaterials, can localize high-density electromagnetic field energy at subwavelength scales and obtain extremely small mode volumes, so they have great application potential in the field of light manipulation. In recent years, a strong interaction between light and matter in periodic optical systems has been discovered, which is called Bound States in Continuum (BIC). Optics BICs are special electromagnetic eigenstates whose frequencies lie in the radiation continuum but are completely localized, and have shown interesting physics and rich application scenarios. This paper systematically reviews the classification and theory of BICs in periodic optical systems, and summarizes their basic physical properties and the latest application development. BICs in periodic optical systems are injecting new impetus into the fields of integrated optics, information optics, bio-optics, topological optics, and nonlinear optics.

Recent progress on synthesis and optical characterization of two-dimensional Bi2O2Se
XIE Bing, AN Xu-hong, ZHAO Wei-wei, NI Zhen-hua
2023, 16(1): 24-43. doi: 10.37188/CO.2022-0071
Abstract:

Two-dimensional (2D) Bi2O2Se has attracted broad attention in the field of electronic and optoelectronic applications in the UV-Vis-NIR region due to its unique crystal structure, energy band, high carrier mobility, and excellent stability. In this paper, we review the recent research progress in the material synthesis and optical characterization of Bi2O2Se. Firstly, the synthetic method and growth mechanism of 2D Bi2O2Se are introduced, including Chemical Vapor Deposition (CVD), wet chemical process, Molecular Beam Epitaxy (MBE) and Pulsed Laser Deposition (PLD), etc. Via steady-state spectrum study, the properties change of 2D Bi2O2Se with thickness change can be studied, such as the band gap. The defect type, temperature coefficient and thermal conductivity of 2D Bi2O2Se material can be further studied by focusing on the crystal vibration mode. Transient spectrum techniques can benefit the study of relaxation process and carriers transport properties in 2D Bi2O2Se materials. Finally, we summarize the existing challenges and application prospects for the promising Bi2O2Se field.

Panoramic endoscopic imaging technology and it’s applications
HUO Jia-yi, LI Mian-hao, WANG Zi-chuan, YUAN Bo, YANG Qing, WANG Li-qiang
2023, 16(1): 44-60. doi: 10.37188/CO.2022-0074
Abstract:

Panoramic endoscopic imaging technology can effectively reduce the observation blind area of internal organs. It has many advantages, such as shortening the operation time, reducing the risk of intraoperative bleeding, improving the prognosis and shortening the postoperative recovery time. It has important application value in minimally invasive surgery and preoperative examination. It is a research hotspot in recent years. This paper combs the panoramic endoscopic imaging technology from two aspects: principle and product applications. Firstly, various panoramic endoscopic imaging technologies based on two-dimensional and three-dimensional imaging are reviewed, their implementation methods are described, and their key indexes and performances are analyzed. Secondly, the capsule endoscope, panoramic enteroscope and other different types of products derived from panoramic endoscopic imaging technology are compared and analyzed, and the development trend and application prospect of panoramic endoscopic imaging technology are prospected.

Research progress of monolithic integration master-oscillation power-amplifiers
TAN Man-qing, YOU Dao-ming, GUO Wen-tao, LIU Wei-hua
2023, 16(1): 61-75. doi: 10.37188/CO.2022-0022
Abstract:

Besides its advantages in volume, power and beam quality, a monolithic integration Master-Oscillation Power-amplifier (MOPA) can also realize a narrower linewidth and dynamic single-mode by integrating Bragg grating. Its application value is high in the fields of frequency doubling, pumping, optical communication and sensing, which makes it a popular research topic in recent years. This paper firstly went over the mainstream structure and characteristics of monolithic integrated MOPA, including a tapered amplifier, ridge amplifier, Bragg grating and three-section MOPA. Based on their working principles and performance characteristics, we introduce the main research directions and the latest development trends in combination with their problems. Aiming at the problem of beam quality degradation at high power in monolithic integrated MOPA, the optimal design of epitaxial layer structure, facet optical film and electrode aspects are then summarized for monolithic integrated MOPAs. After that, we sort out the research progress of MOPAs with different performance characteristics for various application requirements including high power, narrow linewidth, high beam quality and high brightness. Finally, we prospect the development trend of monolithic integrated MOPA.

Design, preparation and application of orthogonal excitation-emission upconversion nanomaterials
JIA Heng, FENG Xiao-rui, LI Da-guang, QIN Wei-ping, YANG Long, HE Wei-yan, MA Hui-yan, TENG Ying-yue
2023, 16(1): 76-93. doi: 10.37188/CO.2022-0134
Abstract:

Rare earth-doped upconversion luminescence nanomaterials have received considerable attention from researchers due to their great potential for applications in many fields such as information security, biomedicine, optical fiber communication, digital displays, and energy. The recently-developed upconversion luminescence nanoparticles with orthogonal excitation-emission properties have attracted especially strong research interest because their distinct luminescence outputs can be dynamically modulated by switching the excitation conditions. The orthogonal luminescence properties further endow such nanocrystals with a set of new features and functionalities, which largely expands their potential applications. This review summarizes the progress in the development of orthogonal upconversion luminescence of rare earth ions, and provides a systematic discussion on design principles and construction strategies of orthogonal excitation-emission systems based on core-shell structures, as well as introduces their recent advances in various fields of applications including data storage, security anti-counterfeiting, digital displays, sensing, bioimaging and therapy. Furthermore, the prospective opportunities and challenges in the future research of orthogonal luminescence systems are also provided.

Original Article
Analysis of influence of diffraction effect of microlens array on Shack-Hartmann wavefront sensor
ZHU Qin-yu, CHEN Mei-rui, LU Huan-jun, FAN Li-na, PENG Jian-tao, SUN Hui-juan, XU Guo-ding, MAO Hong-min, CAO Zhao-liang
2023, 16(1): 94-102. doi: 10.37188/CO.2022-0176
Abstract:

The diffraction effect of microlens array will affect the detection accuracy of Shack-Hartmann wavefront sensor. Based on Huygens-Fresnel diffraction theory, a two-dimensional microlens array diffraction model is established to simulate and analyze the two-dimensional diffraction spot array generated in the focal plane when the ideal parallel light is incident on the microlens array. First, the maximum centroid calculation error is determined by calculating the centroid error in the process of diffraction spot shifting by one pixel. Then the wavefront is reconstructed by using the modal method to obtain the wavefront detection error. The simulation results show that the maximum wavefront error caused by diffraction is 0.125 λ at 0.21 and 0.79 pixels offset, that is, when the wavefront deflection is 0.03° and 0.13°. Finally, an experiment is performed to verify the effectiveness of the error calculation method. This work provides a theoretical basis for the design of shack-Hartmann wavefront detector.

Quantitative analysis of thorium in graphite using femtosecond laser-induced breakdown spectroscopy
LIU Xiao-liang, WANG Lan, PENG Ling-ling, LI Xiao-yan, LIU Yun-hai, ZOU Chun-yan
2023, 16(1): 103-112. doi: 10.37188/CO.2022-0082
Abstract:

In order to promote the application of Laser-Induced Breakdown Spectroscopy (LIBS) in the nuclear industry, in this paper, a femtosecond LIBS(fs-LIBS) system was used to quantitatively analyze Thorium (Th) in a highly pure graphite matrix. According to the Th concentrations in the Thorium-based fuel, a total of 9 homemade Th2O3-graphite mixture samples with Th concentrations that varied from 0.35% to 35.15% were prepared by the standard addition method. The favorable experimental parameters such as the treatment methods for LIBS detection, laser pulse energy and delay times were studied before the quantitative analysis. The results show that the signal intensity of the fs-LIBS spectrum acquired by the scanning with moving method is significantly higher than that without the moving method. For the Th I 396.21 nm line, the Relative Standard Deviation (RSD) value of multiple measurements for the scanning method was just 5.7%, which was much lower than that of without the moving method (20.4%). The Th spectral lines show obvious saturation due to the self-absorption effect in the higher concentration region, and thus the basic calibration method was no longer applicable. Therefore, an exponential function was used to fit the spectral line intensity and concentration in the whole concentration region, and the concentration saturation threshold values corresponding to the analytical lines Th I 394.42, 396.21, and 766.53 nm were obtained. The basic calibration method has good detection performance when the calibration curves were constructed by using a lower concentration below the saturation threshold. For the peak area and peak intensity of each analytical line, using the internal standard method with the internal standard line (C I 247.85 nm), a good linear relationship can be found between them and the Th concentrations in the whole concentration region, especially for analytical line Th I 766.53 nm with a higher saturation threshold. The internal standard method had good prediction performance for unknown samples with higher concentrations. The above results show that fs-LIBS has the potential to monitor and analyze the thorium concentration in the thorium-based fuel cycle.

Viewpoint planning of surface structured light scanning for complex surface parts
REN Ming-yang, WANG Li-zhong, ZHAO Jian-bo, TANG Zheng-zong
2023, 16(1): 113-126. doi: 10.37188/CO.2022-0026
Abstract:

In order to realize the efficient and automatic measurement of complex curved surface parts, we propose a viewpoint planning method of surface structured light scanning based on an improved grid method, and apply it to the automatic measurement of automobile parts with complex curved surface. Firstly, aiming at the problem of serious redundancy and poor scanning integrity of the manual teaching viewpoint, a scanning viewpoint planning algorithm for surface structured light based on an improved grid method is proposed. According to the effective measurement range of a surface structured light scanner, the grid size is determined, and the candidate viewpoint generation strategy is improved. The effective measurement range of candidate viewpoints is obtained by the measurement constraint condition of the scanner, and the optimal viewpoint is determined by the viewpoint quality evaluation function. Secondly, in view of the low efficiency of the algorithm and the low accuracy of feature reconstruction in the process of viewpoint planning, the voxel grid method is used to simplify the model. The complex surface model is segmented by the octree algorithm, and the voxel grid size is determined according to the normal vector consistency error. For the models with different geometric characteristics, the influence of the weight coefficient on the scanning quality is analyzed, and the optimal weight coefficient is given. Finally, the scanning viewpoint planning and measurement experiments of automobile sheet metal parts and reducer shell are carried out. The results show that the viewpoint planning of the automobile sheet metal parts takes 21.93 s, the scanning integrity is 99.124%, and the scanning accuracy is 0.025 mm. The viewpoint planning of automobile reducer shell takes 158.29 s, its scanning integrity is 93.231%, and its scanning accuracy is 0.032 mm. This method can quickly complete the viewpoint planning of complex curved surfaces, and the model obtained by planning viewpoint scanning has good integrity and high precision, which can meet the requirements of complex curved surface parts for automatic measurement.

Design of a radiometric calibration light source based on a freeform reflector
TIAN Jie-wen, YE Xin, FANG Wei
2023, 16(1): 127-135. doi: 10.37188/CO.2022-0021
Abstract:

We propose a design method of a free-form reflector for collimating illumination of integrating spherical light sources to reduce the space occupation on a satellite. By using this method, a square irradiance distribution with large area can be achieved through a integrating sphere with small diameter. Firstly, the mathematical model of off-axis reflection lighting of free-form surface is established through the point light source model, then the free-form surface is discretized by Chebyshev points, and the free-form surface model that satisfies the point light source illumination is solved. Finally, the light source characteristics of the integrating sphere are analyzed. The transformation from the point light source illumination model to the integrating sphere illumination model is achieved by the optimization of the free-form surface energy distribution. The analysis results show that when the illumination area is set as 140 mm×140 mm, the irradiance non-uniformity of the target surface is less than 0.02. This method can meet the requirements of spaceborne calibration for light weight, short light path and simple structure.

Multi-channel optical switching based on scanning mirror instrumentation
XIAO Ze-hua, LI Ming-yu, SU Guo-shuai, He Ze-nan
2023, 16(1): 136-143. doi: 10.37188/CO.2022-0020
Abstract:

An optical switch based on a scanning mirror was designed in this paper. The optical switch is programmable and controlled by an embedded Linux system that switches between the fiber array channels on the UI of the touch display. Meanwhile, the switching sequence and residence time of the optical switch can be preset.  In addition, the optical switch can be self-calibrated to obtain the maximum output power of each channel. The principle of the optical switch is analyzed and the performance of the optical switch is tested experimentally. The experimental results show that the average insertion loss is less than 17 dB for the single mode fiber array, the average crosstalk between adjacent channels is more than 30 dB, and the switching time between the adjacent channel is less than 1.3 ms. The average insertion loss is less than 2.4 dB for the multi-mode fiber array.  It has the advantages of low loss, low delay, high precision, good stability, high repeatability,low cross-talk between the adjacent channel, and good man-machine interaction for the application of theWavelength Division Multiplexing (WDM) and multi-channel optical waveguide sensors test device.

Design of solar concentrated uniform linear light source of composite ellipsoid cavity
LU Yu, YANG Yi, ZHANG Xiang-xiang, KONG Wei-jing
2023, 16(1): 144-150. doi: 10.37188/CO.2022-0138
Abstract:

In order to implement a solar direct pumping slab high power laser, a linear uniform high-power density pump source is studied. In this paper, we propose a design method of a high-power density uniform linear light source by combining the first-order concentrating system with seven confocal ellipsoids to form a composite ellipsoid cavity. The equal radiation flux segmentation of the circular first focal spot is realized by each ellipsoid. The mirror imaging characteristics do not significantly decrease the peak power density. After decomposition, the mirror spot forms a uniform linear light source at the second point of focus. The mathematical model of equal radiation flux is given by coordinate transform, and the rotation and translation parameters of each ellipsoid are solved by the annealing algorithm. The first-order system is composed of a Fresnel lens with a radius of 30 mm, a focal length of 70 mm and a single ellipsoidal cavity with a of 3.4 mm, c of 3.15 mm, The second-order composite ellipsoidal cavity concentrating system is attached. The line source is realized with effective length of 12 mm, the peak power density of 1.09 × 106 W/m2, and the uniformity of 95.46 %. Compared with the contribution of each ellipsoid parameter to the uniformity, the uniformity effect is significantly improved when the rotation parameter θ of the middle ellipsoid is 1.4°. The change of the edge ellipsoid parameter Δ has a significant influence on the effective length of the linear light source, and its optimal value is 0.53 mm.

Research on highly sensitive detection of oxygen concentrations based on tunable diode laser absorption spectroscopy
YANG Shu-han, QIAO Shun-da, LIN Dian-yang, MA Yu-fei
2023, 16(1): 151-157. doi: 10.37188/CO.2022-0029
Abstract:

Tunable Diode Laser Absorption Spectroscopy (TDLAS) is a recently developed laser spectral gas detection technology. Compared with common oxygen sensors such as electrochemical devices and ionic conductive ceramics, TDLAS has the advantages of high selectivity and sensitivity, fast response, on-line measurement and strong anti-background spectral interference ability. Oxygen (O2) is an important gas in habitable environments and is greatly significant to industrial production and human life, and the detection of O2 concentration is also widely used in these fields. Based on this, we adopt TDLAS technology to carry out high sensitivity measurements of O2 in air. Using a semiconductor laser with an output wavelength of 760 nm as the light source, the oxygen concentration in the environment is 20.56% by direct absorption spectroscopy, and the minimum detection limit is 5.53×10−3. In the wavelength modulation spectroscopy method, the laser wavelength modulation depth is optimized to obtain a complete second harmonic waveform, which can be used to calibrate the oxygen concentration. The SNR of the system is 380.74, and the minimum detection limit is about 540×10−6. The system realized in this paper has good oxygen detection ability and can be widely used in various fields of oxygen concentration detection.

Design of compound eye optical system with hexagonal band arrangement and common optical path
FAN Chen, LIU Jun, GAO Ming, LV Hong
2023, 16(1): 158-173. doi: 10.37188/CO.2022-0116
Abstract:

In order to solve the challenges of low space utilization and small aperture size for the sub-eye in bionic compound eye systems, a design method for a large aperture compound eye system with a hexagonal band arrangement is proposed in this paper. Using the filling factor theory, taking the traditional curved surface circular arrangement as the control group, it is demonstrated that the hexagonal band arrangement model can effectively improve the space utilization of a large-aperture compound eye system. Aiming at the limited target information acquisition of a single-band compound eye system, an infrared dual-band common optical path imaging form was designed, supplemented by a two-color image sensor, which enhanced the multi-dimensional ability of the compound eye system to obtain information. At the same time, a mathematical model of the sub-aperture positioning of the hexagonal band arrangement is established. The bionic compound eye system is composed of 91 sub-apertures with an entrance pupil diameter of 16 mm, a focal length of 48 mm and a field of view of 9°. The combined total field of view of the sub-apertures is 96°×85°. The focal length of the relay system is 6.14 mm. In a temperature range of −40 °C~+60 °C, the sub-aperture and the relay systems basically have no influence from thermal differences. The cold reflection effect of the detector can be ignored. The simulation results show that the Root Mean Square (RMS) radius of each sub-channel is smaller than the airy spot and the optical distortion value of each sub-channel is less than 0.1%. The Modulation Transfer Function (MTF) of the edge sub-channel in the MWIR/LWIR band is above 0.5 at 17 lp/mm. The system has a compact structure and strong detection ability, and can be used for multi-target detection and recognition in complex environments.

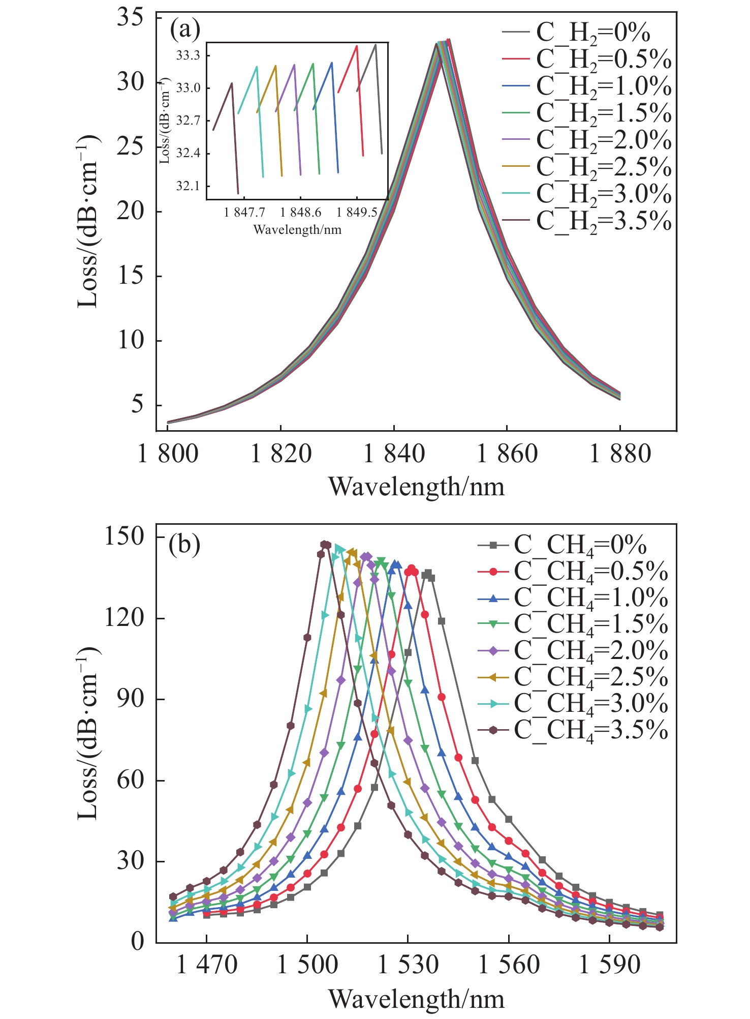
A novel methane and hydrogen sensor with surface plasmon resonance-based photonic quasi-crystal fiber
LIU Qiang, ZHAO Jin, SUN Yu-dan, LIU Wei, WANG Jian-xin, LIU Chao, LV Jing-wei, WANG Shi-miao, JIANG Yu, PAUL K CHU
2023, 16(1): 174-183. doi: 10.37188/CO.EN.2022-0006
Abstract:

A novel Photonic Quasi-crystal Fiber (PQF) sensor based on Surface Plasmon Resonance (SPR) is designed for simultaneous detection of methane and hydrogen. In the sensor, Pd-WO3 and cryptophane E doped polysiloxane films deposited on silver films are the hydrogen and methane sensing materials, respectively. The PQF-SPR sensor is analyzed numerically by the full-vector finite element method and excellent sensing performance is demonstrated. The maximum and average hydrogen sensitivities are 0.8 nm/% and 0.65 nm/% in the concentration range of 0% to 3.5% and the maximum and average methane sensitivities are 10 nm/% and 8.81 nm/% in the same concentration range. The sensor has the capability of detecting multiple gases and has large potential in device miniaturization and remote monitoring.

Dynamic 3D measurement error compensation technology based on phase-shifting and fringe projection
CAO Zhi-rui
2023, 16(1): 184-192. doi: 10.37188/CO.EN.2022-0004
Abstract:

In the process of dynamic 3D measurement based on phase-shifting and fringe projection, the ideal correspondence between object points, image points and phases in different fringe images is destroyed. On this condition, the application of traditional phase formulas will cause significant measurement errors. In order to reduce the dynamic 3D measurement error, the basic principle of the error is firstly analyzed, and the errors are equivalent to the phase-shifting errors between different fringe images. Then, a dynamic 3D measurement error compensation method is proposed, and this method combines the advanced iterative algorithm based on least squares and the improved Fourier assisted phase-shifting method to realize the high-precision calculation of random step-size phase-shifting and phase. The actual measurement results of a precision ground aluminum plate show that the dynamic 3D measurement error compensation technology can reduce the mean square errors of dynamic 3D measurement by more than one order of magnitude, and the dynamic 3D measurement accuracy after compensation can be better than 0.15mm.

The poynting vector and angular momentum density of Cosh-Pearcey-Gaussian vortex beams in uniaxial crystals
LIANG Meng-ting, CHENG Ke, SHU Ling-yun, LIAO Sai, YANG Ceng-hao, HUANG Hong-wei
2023, 16(1): 193-201. doi: 10.37188/CO.EN.2022-0007
Abstract:

We investigate a family of Cosh-Pearcey-Gaussian Vortex (CPeGV) beams, obtain the general propagation expressions of a CPeGV beam, and study the longitudinal and transverse Poynting vector and Angular Momentum Density (AMD) when the CPeGV beams propagate in uniaxial crystals. The effects of the cosh modulation parameter, topological charge, and propagation distance on the propagation properties of CPeGV beams are discussed. A larger cosh modulation parameter can lead the energy transfer significantly along the transverse Poynting vector direction. Moreover, we also investigate how the cosh modulation parameter and topological charge influence the propagation properties in the far-field. A larger cosh modulation parameter can lead AMD to present four-lobe structures rather than their usual parabolic curve. Our investigation will provide a better understanding of the state of the CPeGV beams propagating in uniaxial crystals and be useful for applications in information transmission.

Visible light emission of ultraviolet polarization sensitive CsPbBr3 nano-films
JI Yu-jin, CHU Xue-ying, DONG Xu, LI Jin-hua
2023, 16(1): 202-213. doi: 10.37188/CO.2022-0152
Abstract:

In order to detect polarized ultraviolet light by visible optical elements, CsPbBr3 nanocrystal/metal wire-grid composited films were prepared. The stability of its fluorescence was improved by depositing Al2O3 passivation layer. The green fluorescence of polarization-sensitive perovskite nanocrystals film was obtained under ultraviolet exciting light. The results show that the crystal structure of the CsPbBr3 nanocrystals obtained by hot-injection method have a cubic crystal system structure with a square shape and an average size of about 39 nm. An obvious green fluorescence at about 530 nm were observed under ultraviolet light excitation of the nanocrystal colloidal solution. The fluorescence intensity of the CsPbBr3 nanocrystal/metal wire-grid composited film obtained by self-assembly changed periodically with the polarization direction of the excited light. The luminous polarization ratio is about 0.54. The fluorescence intensity of this composite film was enhanced when Al2O3 was deposited on its surface by atomic layer deposition technology. The polarization ratio of the passivated film can still reach 0.36. The above results show that the fluorescence stability and polarization of perovskite nanocrystals film can be optimized by the surface passivation and the introduction of metal wire-grids, respectively. The obtained ultraviolet polarization sensitive CsPbBr3 nanocrystals composited film exhibits important application value in the fields of ultraviolet polarization detection and liquid crystal display.

Multiple Fano resonance properties of nanoring-heptamer metal-dielectric structures
LV Jing-wei, WANG De-bao, LIU Chao, LIU Qiang, WANG Jian-xin, YANG Lin, MU Hai-wei, PAUL K CHU
2023, 16(1): 214-227. doi: 10.37188/CO.2022-0170
Abstract:

In order to achieve tunable multiple Fano resonance characteristics and design a refractive index sensor with high sensitivity, a nanoring-heptamer metal-dielectric composite nanoantenna structure is proposed, and the influencing factors and variation rules of its Fano resonance characteristics are studied by using the Finite Element Method (FEM). Researches show that Fano resonance characteristics of the hybrid nano-antenna is sensitive to the changes of the height, incident angle and internal gap. In addition, the electric intensity and the Purcell factor (PF) under the excitation of the electric dipole source can reach 134.74 V/m and 3214 respectively, which greatly enhances the electric intensity near the center of the nanoantenna. The hybrid nanoantenna has high Sensitivity (S) (1400 nm/RIU) and Figure of Merit (FOM) (17 RIU−1), respectively, which can be used as two significant performance indices for evaluating the refractive index sensor with high sensitivity. This paper provides a feasible way to realize the tunability of Fano resonance in the composite nanoantenna and a solid theoretical basis for practical applications such as surface-enhanced Raman scattering, quantum emitters, and refractive index sensors.

2023, 16(1): 228-228.
Abstract:
Baidu
map