Volume 18 Issue 2
Mar.  2025
Turn off MathJax
Article Contents
YANG Yan, ZHANG Hui-min, ZHANG Xu-lin, YAN Xiu-jing, CAI Lei, LI Qiu-shun, DONG Wen-fei. Modulation of a Kretschmann-type sensor’s spectra using TiO2/PSS thin films[J]. Chinese Optics, 2025, 18(2): 297-306. doi: 10.37188/CO.2024-0125
Citation: YANG Yan, ZHANG Hui-min, ZHANG Xu-lin, YAN Xiu-jing, CAI Lei, LI Qiu-shun, DONG Wen-fei. Modulation of a Kretschmann-type sensor’s spectra using TiO2/PSS thin films[J]. Chinese Optics, 2025, 18(2): 297-306. doi: 10.37188/CO.2024-0125

Modulation of a Kretschmann-type sensor’s spectra using TiO2/PSS thin films

cstr: 32171.14.CO.2024-0125
Funds:  Supported by National Key R&D Program of China (No. 2022YFC2403500); National Natural Science Foundation of China (No. 62027825, No. 61340032); Shandong Provincial Natural Science Foundation (No. ZR2019MC069)
More Information
  • Corresponding author: lishun1688@126.com
  • Received Date: 06 Jul 2024
  • Rev Recd Date: 19 Sep 2024
  • Available Online: 12 Nov 2024
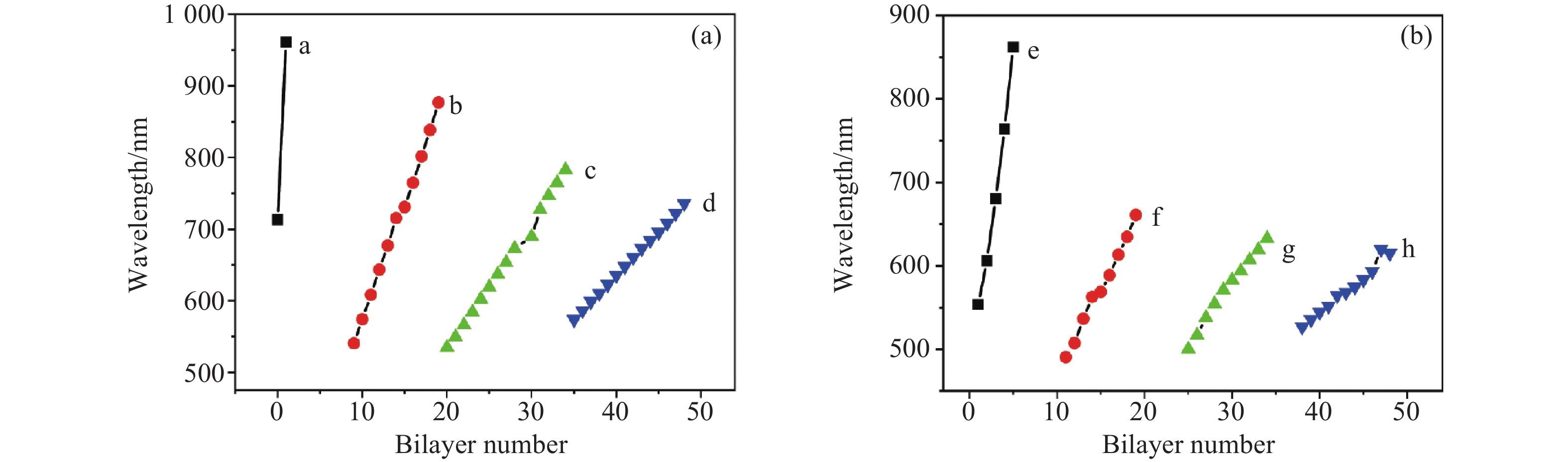
  • In order to explore the effect of titanium dioxide (TiO2)/poly(sodium 4-styrenesulfonate) (PSS) nanofilms on the Kretschmann-type surface plasmon resonance sensor, the spectral changes of the sensor after depositing TiO2/PSS nanofilms of different thicknesses were systematically studied. The reasons for the spectral changes were further explained and discussed theoretically. First, TiO2/PSS multilayer films were deposited in situ on the surface of the glass chip sputtered with a gold layer via electrostatic layer-by-layer self-assembly technology, and the corresponding reflection spectra of the sensor were recorded in real time. Then, the original reflectance spectrum data was processed to make the spectral curve clearer and more visible. Finally, the experimental results were simulated and analyzed using MATLAB software programming. The results show that with the number of TiO2/PSS bilayers increasing, four different types of reflection peaks successively appeared in the sensor’s spectra in the 450−900 nm wavelength range. The four types of reflection peaks correspond to the surface plasmon resonance mode, the first-order mode, the second-order mode, and the third-order mode of the transverse magnetic mode of the sensor, respectively. This indicates that the Kretschmann-type sensor’s sensing mode and reflection spectrum type can be modulated by controlling the thickness of TiO2/PSS thin films.

     

  • loading
  • [1]
    LETKO E, BUNDULIS A, VANAGS E, et al. Lossy mode resonance in photonic integrated circuits[J]. Optics and Lasers in Engineering, 2024, 181: 108387. doi: 10.1016/j.optlaseng.2024.108387
    [2]
    DOMINGUEZ I, CORRES J, MATIAS I R, et al. High sensitivity lossy-mode resonance refractometer using low refractive index PFA planar waveguide[J]. Optics & Laser Technology, 2023, 162: 109235.
    [3]
    SUDAS D P, JITOV V A, YAKUSHCHEVA G G, et al. Increasing the sensitivity of chemically resistant lossy mode resonance-based sensors on Al2O3 coatings[J]. Optical Materials, 2024, 149: 115031. doi: 10.1016/j.optmat.2024.115031
    [4]
    DOMINGUEZ I, CORRES J M, DEL VILLAR I, et al. Electrochemical lossy mode resonance for detection of manganese ions[J]. Sensors and Actuators B: Chemical, 2023, 394: 134446. doi: 10.1016/j.snb.2023.134446
    [5]
    HERNAEZ M, MAYES A G, MELENDI-ESPINA S. Graphene oxide in lossy mode resonance-based optical fiber sensors for ethanol detection[J]. Sensors, 2018, 18(1): 58.
    [6]
    ZAMARREÑO C R, HERNÁEZ M, DEL VILLAR I, et al. Optical fiber pH sensor fabrication by means of indium tin oxide coated optical fiber refractometers[J]. Physica Status Solidi C, 2010, 7(11-12): 2705-2707. doi: 10.1002/pssc.200983800
    [7]
    MARTÍNEZ E E G, MATÍAS I R, MELENDI-ESPINA S, et al. Lossy mode resonance based 1-butanol sensor in the mid-infrared region[J]. Sensors and Actuators B: Chemical, 2023, 388: 133845. doi: 10.1016/j.snb.2023.133845
    [8]
    PITUŁA E, JANIK M, SEZEMSKY P, et al. Smartphone-based dynamic measurements of electro-optically modulated lossy-mode resonance and its biosensing applications[J]. Measurement, 2023, 206: 112349. doi: 10.1016/j.measurement.2022.112349
    [9]
    BENÍTEZ M, ZUBIATE P, SOCORRO-LERÁNOZ A B, et al. Lossy mode resonance-based optical immunosensor towards detecting gliadin in aqueous solutions[J]. Food Control, 2023, 147: 109624. doi: 10.1016/j.foodcont.2023.109624
    [10]
    曹修冕, 赵军毅, 霍泽鹏, 等. 基于棱镜型消逝场耦合增强拉曼/荧光原位光谱检测系统[J]. 光谱学与光谱分析,2023,43(S1):189-190.

    CAO X M, ZHAO J Y, HUO Z P, et al. In situ spectroscopic system based on evanescent field-coupled Raman/fluorescence enhancement via a Kretschmann prism[J]. Spectroscopy and Spectral Analysis, 2023, 43(S1): 189-190. (in Chinese).
    [11]
    ZHANG ZH, LU D F, QI ZH M. Application of porous TiO2 thin films as wavelength-interrogated waveguide resonance sensors for bio/chemical detection[J]. The Journal of Physical Chemistry C, 2012, 116(5): 3342-3348. doi: 10.1021/jp2102429
    [12]
    VILLAR I D, TORRES V, BERUETE M. Experimental demonstration of lossy mode and surface plasmon resonance generation with Kretschmann configuration[J]. Optics Letters, 2015, 40(20): 4739-4742. doi: 10.1364/OL.40.004739
    [13]
    ZHANG Y ZH, ZHANG P Y, ZHAO M L, et al. A high sensitivity lossy mode resonance refractive index sensor based on SBS structure[J]. Results in Physics, 2022, 36: 105454. doi: 10.1016/j.rinp.2022.105454
    [14]
    YAN M L, WANG R D, WANG Q, et al. Label-free and highly-sensitive protamine detection by layer-by-layer assembled chitosan/heparin functionalized optical fiber mode interferometer[J]. Sensors and Actuators B: Chemical, 2023, 395: 134414. doi: 10.1016/j.snb.2023.134414
    [15]
    EHSANIMEHR S, SONNIER R, NAJAFI P, et al. Layer-by-layer polymer deposited fabrics with superior flame retardancy and electrical conductivity[J]. Reactive and Functional Polymers, 2022, 173: 105221. doi: 10.1016/j.reactfunctpolym.2022.105221
    [16]
    AL-HAMRY A, LU T Q, BAI J, et al. Versatile sensing capabilities of layer-by-layer deposited polyaniline-reduced graphene oxide composite-based sensors[J]. Sensors and Actuators B: Chemical, 2023, 390: 133988. doi: 10.1016/j.snb.2023.133988
    [17]
    王梦竹, 邓勇靖, 刘淑娟, 等. 有机自组装低维圆偏振发光材料的研究进展[J]. 中国光学,2021,14(1):66-76. doi: 10.37188/CO.2020-0192

    WANG M ZH, DENG Y J, LIU SH J, et al. Research progress on organic self-assembling low-dimensional circularly polarized luminescent materials[J]. Chinese Optics, 2021, 14(1): 66-76. (in Chinese). doi: 10.37188/CO.2020-0192
    [18]
    DECHER G. Fuzzy nanoassemblies: toward layered polymeric multicomposites[J]. Science, 1997, 277(5330): 1232-1237. doi: 10.1126/science.277.5330.1232
    [19]
    LI Q SH, YANG Y, DU Y D, et al. Highly sensitive detection of low-concentration sodium chloride solutions based on polymeric nanofilms coated long period fiber grating[J]. Talanta, 2023, 254: 124126. doi: 10.1016/j.talanta.2022.124126
    [20]
    YANG R ZH, DONG W F, MENG X, et al. Nanoporous TiO2/polyion thin-film-coated long-period grating sensors for the direct measurement of low-molecular-weight analytes[J]. Langmuir, 2012, 28(23): 8814-8821. doi: 10.1021/la301445h
    [21]
    LI Q SH, HE H, WANG J N, et al. Label-free detection of biotin using nanoporous TiO2/DNA thin-film coated wavelength interrogated surface plasmon resonance sensors[J]. Chemical Research in Chinese Universities, 2014, 30(1): 157-162. doi: 10.1007/s40242-014-3312-y
    [22]
    QI ZH M, HONMA I, ZHOU H SH. Nanoporous leaky waveguide based chemical and biological sensors with broadband spectroscopy[J]. Applied Physics Letters, 2007, 90(1): 011102. doi: 10.1063/1.2424643
  • 加载中

Catalog

    通讯作者: 陈斌, bchen63@163.com
    • 1. 

      沈阳化工大学材料科学与工程学院 沈阳 110142

    1. 本站搜索
    2. 百度学术搜索
    3. 万方数据库搜索
    4. CNKI搜索

    Figures(7)

    Article views(168) PDF downloads(58) Cited by()
    Proportional views
    Related

    /

    DownLoad:  Full-Size Img  PowerPoint
    Return
    Return
    Baidu
    map