2020年 13卷 第1期
2020, 13(1): 1-13.
doi: 10.3788/CO.20201301.0001
摘要:
为了提高场效应晶体管太赫兹探测器的响应度并降低噪声等效功率,需要对探测器集成平面天线的结构进行合理设计与优化,本文对集成平面天线结构的场效应晶体管太赫兹探测器的研究进行了深入调研。首先,对场效应晶体管太赫兹探测器的工作原理进行了分析,介绍了集成平面天线如何解决耦合太赫兹波效率低的问题。然后,介绍了一些常用的平面天线结构,包括偶极子天线、贴片天线、缝隙天线、grating-gate和其他类型的结构,比较了各种天线的性能以及引入后对太赫兹探测器响应度的影响。通过对比不同天线结构的探测器响应度和噪声等效功率等参数指标,发现:采用平面天线结构之后,场效应晶体管太赫兹探测器的响应度有了大幅度的提升,各种类型的天线对探测器响应度都有不同程度的提升。本文着重介绍了几种集成于场效应晶体管的平面天线结构,包括各种天线的性能和研究进展,最后分析了场效应晶体管太赫兹探测器存在的问题和发展趋势。
为了提高场效应晶体管太赫兹探测器的响应度并降低噪声等效功率,需要对探测器集成平面天线的结构进行合理设计与优化,本文对集成平面天线结构的场效应晶体管太赫兹探测器的研究进行了深入调研。首先,对场效应晶体管太赫兹探测器的工作原理进行了分析,介绍了集成平面天线如何解决耦合太赫兹波效率低的问题。然后,介绍了一些常用的平面天线结构,包括偶极子天线、贴片天线、缝隙天线、grating-gate和其他类型的结构,比较了各种天线的性能以及引入后对太赫兹探测器响应度的影响。通过对比不同天线结构的探测器响应度和噪声等效功率等参数指标,发现:采用平面天线结构之后,场效应晶体管太赫兹探测器的响应度有了大幅度的提升,各种类型的天线对探测器响应度都有不同程度的提升。本文着重介绍了几种集成于场效应晶体管的平面天线结构,包括各种天线的性能和研究进展,最后分析了场效应晶体管太赫兹探测器存在的问题和发展趋势。
2020, 13(1): 14-27.
doi: 10.3788/CO.20201301.0014
摘要:
量子点材料因具有发光波长可调,色度纯,量子效率高等优异特性而受到广泛关注,在光致发光高色彩显示方面有着巨大的应用潜力。本文综述了量子点背光技术的研究进展,主要对比了QDs On-Chip、QDs On-Surface及QDs On-Edge 3种量子点背光主流技术的基本原理及结构,并分析了它们在液晶显示领域的应用,未来前景及面临的挑战;然后介绍了几种新型的量子点背光技术,并对两种量子点背光新技术进行重点说明:一种是采用低温注塑成型工艺将量子点与高分子材料均匀混合为一体,用于制备直下式背光的量子点体散射型结构扩散板;另一种新技术是采用丝网印刷或喷墨打印工艺将量子点转印至导光板表面,形成应用于侧入式背光的量子点网点微结构导光板。这两种背光都具有制备工艺简单、成本低、生产效率高等特点,对高色域液晶显示的研究及发展意义深远。
量子点材料因具有发光波长可调,色度纯,量子效率高等优异特性而受到广泛关注,在光致发光高色彩显示方面有着巨大的应用潜力。本文综述了量子点背光技术的研究进展,主要对比了QDs On-Chip、QDs On-Surface及QDs On-Edge 3种量子点背光主流技术的基本原理及结构,并分析了它们在液晶显示领域的应用,未来前景及面临的挑战;然后介绍了几种新型的量子点背光技术,并对两种量子点背光新技术进行重点说明:一种是采用低温注塑成型工艺将量子点与高分子材料均匀混合为一体,用于制备直下式背光的量子点体散射型结构扩散板;另一种新技术是采用丝网印刷或喷墨打印工艺将量子点转印至导光板表面,形成应用于侧入式背光的量子点网点微结构导光板。这两种背光都具有制备工艺简单、成本低、生产效率高等特点,对高色域液晶显示的研究及发展意义深远。
2020, 13(1): 28-42.
doi: 10.3788/CO.20201301.0028
摘要:
半导体产业是高科技、信息化时代的支柱。光刻技术,作为半导体产业的核心技术之一,已成为世界各国科研人员的重点研究对象。本文综述了金宝搏188软件怎么用 等离子体13.5 nm极紫外光刻的原理和国内外研究发展概况,重点介绍了其金宝搏188软件怎么用 源、辐射靶材和多层膜反射镜等关键系统组成部分。同时,指出了在提高金宝搏188软件怎么用 等离子体13.5 nm极紫外光源输出功率的研究进程中所存在的主要问题,包括提高转换效率和减少光源碎屑。特别分析了目前已实现百瓦级输出的日本Gigaphoton公司和荷兰的ASML公司的极紫外光源装置。最后对该项技术的发展前景进行了总结与展望。
半导体产业是高科技、信息化时代的支柱。光刻技术,作为半导体产业的核心技术之一,已成为世界各国科研人员的重点研究对象。本文综述了金宝搏188软件怎么用 等离子体13.5 nm极紫外光刻的原理和国内外研究发展概况,重点介绍了其金宝搏188软件怎么用 源、辐射靶材和多层膜反射镜等关键系统组成部分。同时,指出了在提高金宝搏188软件怎么用 等离子体13.5 nm极紫外光源输出功率的研究进程中所存在的主要问题,包括提高转换效率和减少光源碎屑。特别分析了目前已实现百瓦级输出的日本Gigaphoton公司和荷兰的ASML公司的极紫外光源装置。最后对该项技术的发展前景进行了总结与展望。
2020, 13(1): 43-61.
doi: 10.3788/CO.20201301.0043
摘要:
随着新兴光学设备对微型化、一体化、智能化光学变焦系统的需求与日俱增,大大促进了纳米光电子学的迅猛发展。超构透镜是由具有特殊电磁属性的人造元素按照一定的排列方式组成的具有透镜功能的二维平面结构,其最大优点就是:轻薄和易于集成。然而,集成在超构透镜上的微纳结构一旦制备完成,便难以再改变其形貌或者尺寸,因而无法对其聚焦性能进行实时调控,限制了其功能及应用范围的进一步扩展。近年来,科学家们探索了实现超构透镜聚焦性能实时调控的多种途径,其中最引人注目的是将智能材料与超构透镜相结合。本文首先回顾了可调谐超构透镜的最新进展,分别详细阐述和分析了它们的调节原理和器件性能。最后,归纳分析了当前阻碍可调谐超构透镜发展的主要问题,并进一步对未来可调谐超构透镜的发展趋势做出了展望。
随着新兴光学设备对微型化、一体化、智能化光学变焦系统的需求与日俱增,大大促进了纳米光电子学的迅猛发展。超构透镜是由具有特殊电磁属性的人造元素按照一定的排列方式组成的具有透镜功能的二维平面结构,其最大优点就是:轻薄和易于集成。然而,集成在超构透镜上的微纳结构一旦制备完成,便难以再改变其形貌或者尺寸,因而无法对其聚焦性能进行实时调控,限制了其功能及应用范围的进一步扩展。近年来,科学家们探索了实现超构透镜聚焦性能实时调控的多种途径,其中最引人注目的是将智能材料与超构透镜相结合。本文首先回顾了可调谐超构透镜的最新进展,分别详细阐述和分析了它们的调节原理和器件性能。最后,归纳分析了当前阻碍可调谐超构透镜发展的主要问题,并进一步对未来可调谐超构透镜的发展趋势做出了展望。
2020, 13(1): 62-74.
doi: 10.3788/CO.20201301.0062
摘要:
硅基探测成像器件具有可靠性高、易集成和成本低等优点,是目前应用最广泛的探测成像器件。随着人工智能和无人驾驶等技术的日益发展,对探测成像器件提出了更高的要求,而硅基探测成像器件性能的提升成为重要的研究方向。量子点具有吸收系数大、光谱可调、发光效率高和易集成等优点,是一类优异的光谱转换和光调制材料。利用量子点材料可调制的光学特性,可以对硅基探测成像器件的功能进行拓展,从而实现紫外响应增强、红外响应拓展、紫外偏振探测和多光谱成像等功能。经过多年的研究,这一领域已经取得了一定的进展,部分技术展现出较好的应用前景。本文介绍了量子点增强硅基探测器在紫外探测、红外成像、偏振探测和多光谱成像方面的研究进展,希望能够引起国内学术界和工业界的关注和重视。
硅基探测成像器件具有可靠性高、易集成和成本低等优点,是目前应用最广泛的探测成像器件。随着人工智能和无人驾驶等技术的日益发展,对探测成像器件提出了更高的要求,而硅基探测成像器件性能的提升成为重要的研究方向。量子点具有吸收系数大、光谱可调、发光效率高和易集成等优点,是一类优异的光谱转换和光调制材料。利用量子点材料可调制的光学特性,可以对硅基探测成像器件的功能进行拓展,从而实现紫外响应增强、红外响应拓展、紫外偏振探测和多光谱成像等功能。经过多年的研究,这一领域已经取得了一定的进展,部分技术展现出较好的应用前景。本文介绍了量子点增强硅基探测器在紫外探测、红外成像、偏振探测和多光谱成像方面的研究进展,希望能够引起国内学术界和工业界的关注和重视。
2020, 13(1): 75-86.
doi: 10.3788/CO.20201301.0075
摘要:
随着光学测量与遥感领域的不断发展,折反式光学系统对重量、体积和环境适应性等需求不断提高。基于增材制造技术的金属反射镜以其便于实现优化设计、快速制造和加工工艺性好等优点,逐渐获得国内外学者的关注与研究。与传统金属反射镜相比,增材制造金属反射镜可以提高反射镜的结构刚度,同时可实现更高程度的轻量化。增材制造反射镜可以满足光学系统对环境适应性和快速性的需求。本文首先讨论了金属反射镜的评价指标;其次,综述了国内外在基于增材制造技术制备金属反射镜领域的发展现状和技术参数,从增材制造金属反射镜的基体设计与制备和基体的后处理2个方面展开论述;然后,通过分析,总结了增材制造金属反射镜的技术路线和关键技术;最后,对增材制造反射镜的应用前景提出了展望。
随着光学测量与遥感领域的不断发展,折反式光学系统对重量、体积和环境适应性等需求不断提高。基于增材制造技术的金属反射镜以其便于实现优化设计、快速制造和加工工艺性好等优点,逐渐获得国内外学者的关注与研究。与传统金属反射镜相比,增材制造金属反射镜可以提高反射镜的结构刚度,同时可实现更高程度的轻量化。增材制造反射镜可以满足光学系统对环境适应性和快速性的需求。本文首先讨论了金属反射镜的评价指标;其次,综述了国内外在基于增材制造技术制备金属反射镜领域的发展现状和技术参数,从增材制造金属反射镜的基体设计与制备和基体的后处理2个方面展开论述;然后,通过分析,总结了增材制造金属反射镜的技术路线和关键技术;最后,对增材制造反射镜的应用前景提出了展望。
2020, 13(1): 87-94.
doi: 10.3788/CO.20201301.0087
摘要:
利用膨胀管对宽度为45 mm和90 mm的半圆柱模型进行了地球再入高超声速流动试验,再入速度为8 km/s。试验利用配有ICCD相机的光谱仪,测量了具有空间分辨的激波后辐射光谱,光谱范围为250~550 nm,得到了沿流体方向的激波辐射轮廓线。分析发现在该光谱范围内辐射主要为CN(B-X)带系分子光谱。利用卤钨灯对该波段光谱进行定标,得到了激波层辐射的绝对辐射亮度。通过采用两种模型辐射亮度对模型宽度归一化后发现,绕流场高温气体辐射存在较强的自吸收现象,同时观测到了绕流场激波的三维效应。通过实验发现,CN(B-X)Δv=0带系的3-3振动带系385.2 nm波长位置和0-0带系388.4 nm波长位置辐亮度之比随着流场靠近模型边缘而逐渐下降,这表明激波层内辐射的动态非平衡特征。
利用膨胀管对宽度为45 mm和90 mm的半圆柱模型进行了地球再入高超声速流动试验,再入速度为8 km/s。试验利用配有ICCD相机的光谱仪,测量了具有空间分辨的激波后辐射光谱,光谱范围为250~550 nm,得到了沿流体方向的激波辐射轮廓线。分析发现在该光谱范围内辐射主要为CN(B-X)带系分子光谱。利用卤钨灯对该波段光谱进行定标,得到了激波层辐射的绝对辐射亮度。通过采用两种模型辐射亮度对模型宽度归一化后发现,绕流场高温气体辐射存在较强的自吸收现象,同时观测到了绕流场激波的三维效应。通过实验发现,CN(B-X)Δv=0带系的3-3振动带系385.2 nm波长位置和0-0带系388.4 nm波长位置辐亮度之比随着流场靠近模型边缘而逐渐下降,这表明激波层内辐射的动态非平衡特征。
2020, 13(1): 95-105.
doi: 10.3788/CO.20201301.0095
摘要:
本文提出了一种基于快速反射镜的像移补偿方法用于解决航空成像中的像移问题。首先通过计算航空相机在曝光时间内的像移速度证明了像移补偿的必要性;针对快速反射镜存在伺服模型不确定性的问题,设计了模型参考自适应控制器;最后通过实验验证了该算法的性能,结果显示:采用本算法后,快速反射镜的阶跃响应稳定时间降低了50%以上,在振动情况下快速反射镜的稳定精度都可以达到10 μrad,精度比传统控制方案提升10倍以上。最终的像移补偿成像实验成功验证了基于快速反射镜的像移补偿方案有较高的工程应用价值。
本文提出了一种基于快速反射镜的像移补偿方法用于解决航空成像中的像移问题。首先通过计算航空相机在曝光时间内的像移速度证明了像移补偿的必要性;针对快速反射镜存在伺服模型不确定性的问题,设计了模型参考自适应控制器;最后通过实验验证了该算法的性能,结果显示:采用本算法后,快速反射镜的阶跃响应稳定时间降低了50%以上,在振动情况下快速反射镜的稳定精度都可以达到10 μrad,精度比传统控制方案提升10倍以上。最终的像移补偿成像实验成功验证了基于快速反射镜的像移补偿方案有较高的工程应用价值。
2020, 13(1): 106-120.
doi: 10.3788/CO.20201301.0106
摘要:
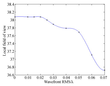
针对大口径光学系统中像差影响超分辨效果的问题,开展泽尼克波前像差对望远超分辨成像系统性能和超分辨局部视场影响的研究。设计四区型位相光瞳滤波器,在理想光学系统出瞳处分别加入离焦、像散、彗差和球差像差,逐渐增加幅值,通过分析不同类别和幅度的波前像差下焦面光强分布变化,研究超分辨成像性能和局部视场对不同种类像差的容忍程度。结果表明,离焦可以抑制超分辨旁瓣能量,提高超分辨倍率,但对局部视场影响较大;球差可以抑制超分辨旁瓣能量,增大局部视场;像散和彗差使光斑圆对称性明显下降,其中像散对局部视场的影响较为明显;同时加入适量离焦和球差时,超分辨旁瓣能量下降,超分辨倍率提高,且不影响系统局部视场。据此设计了一个F数为10,焦距为12 m的大口径光学系统,通过合理优化球差和离焦剩余量,实现了超分辨倍率由1.21倍到1.31倍的提升,最大旁瓣峰值由0.33下降到0.30,局部视场为38.28 μm。
针对大口径光学系统中像差影响超分辨效果的问题,开展泽尼克波前像差对望远超分辨成像系统性能和超分辨局部视场影响的研究。设计四区型位相光瞳滤波器,在理想光学系统出瞳处分别加入离焦、像散、彗差和球差像差,逐渐增加幅值,通过分析不同类别和幅度的波前像差下焦面光强分布变化,研究超分辨成像性能和局部视场对不同种类像差的容忍程度。结果表明,离焦可以抑制超分辨旁瓣能量,提高超分辨倍率,但对局部视场影响较大;球差可以抑制超分辨旁瓣能量,增大局部视场;像散和彗差使光斑圆对称性明显下降,其中像散对局部视场的影响较为明显;同时加入适量离焦和球差时,超分辨旁瓣能量下降,超分辨倍率提高,且不影响系统局部视场。据此设计了一个F数为10,焦距为12 m的大口径光学系统,通过合理优化球差和离焦剩余量,实现了超分辨倍率由1.21倍到1.31倍的提升,最大旁瓣峰值由0.33下降到0.30,局部视场为38.28 μm。
2020, 13(1): 121-130.
doi: 10.3788/CO.20201301.0121
摘要:
在纳米光子学中,提高荧光物质的定向发光强度是许多应用要解决的关键问题。为了优化电介质纳米天线的荧光增强能力,本文提出了一种由硅纳米球二聚体与TiO2微球组成的电介质球复合纳米天线。通过时域有限差分法,本文分别从量子产率增强、荧光收集效率增强以及荧光激发率增强3个方面研究了该复合纳米天线对荧光的增强效果。结果表明,这种复合纳米天线不仅可以解决单个TiO2微球增强荧光时量子产率较低的问题,还可以弥补单个硅纳米球二聚体增强荧光时荧光收集效率较差的不足。该复合纳米天线可使CdSe量子点的量子产率增强约4倍、荧光收集效率增强约2倍。此外,由于硅纳米球二聚体与TiO2微球对荧光激发过程具有增强效果,该复合天线最终可以产生较高的荧光定向增强倍数。在量子点发光的中心波长523 nm处,荧光定向增强约为3 064倍。
在纳米光子学中,提高荧光物质的定向发光强度是许多应用要解决的关键问题。为了优化电介质纳米天线的荧光增强能力,本文提出了一种由硅纳米球二聚体与TiO2微球组成的电介质球复合纳米天线。通过时域有限差分法,本文分别从量子产率增强、荧光收集效率增强以及荧光激发率增强3个方面研究了该复合纳米天线对荧光的增强效果。结果表明,这种复合纳米天线不仅可以解决单个TiO2微球增强荧光时量子产率较低的问题,还可以弥补单个硅纳米球二聚体增强荧光时荧光收集效率较差的不足。该复合纳米天线可使CdSe量子点的量子产率增强约4倍、荧光收集效率增强约2倍。此外,由于硅纳米球二聚体与TiO2微球对荧光激发过程具有增强效果,该复合天线最终可以产生较高的荧光定向增强倍数。在量子点发光的中心波长523 nm处,荧光定向增强约为3 064倍。
2020, 13(1): 131-139.
doi: 10.3788/CO.20201301.0131
摘要:
为了满足红外探测器件集成化和对红外宽光谱范围吸收的需求,设计了一种工作在长波红外波段(8~14 μm)的超宽带、高吸收、极化不敏感的超材料吸收器。通过在金属-介质-金属三层异质的超材料吸收器结构的顶部金属周围镶嵌一层介质形成超表面,以增加谐振强度和吸收带宽。在8~13.6 μm的带宽范围内,该结构有超过90%的平均吸收率,覆盖了大部分长波红外大气窗口波段,对红外探测领域有着重要意义。研究结果表明:镶嵌的金属-介质组成的介质波导模式和谐振腔模式的结合以及传播型表面等离激元模式的激发是形成宽带高吸收的主要原因,并且谐振模式的谐振波长可以通过相关参数来进行调控。本文的研究结果为可调谐宽带长波红外吸收材料的设计提供参考,该设计方法可推广到中波红外波段、甚至长波红外或其它波段。
为了满足红外探测器件集成化和对红外宽光谱范围吸收的需求,设计了一种工作在长波红外波段(8~14 μm)的超宽带、高吸收、极化不敏感的超材料吸收器。通过在金属-介质-金属三层异质的超材料吸收器结构的顶部金属周围镶嵌一层介质形成超表面,以增加谐振强度和吸收带宽。在8~13.6 μm的带宽范围内,该结构有超过90%的平均吸收率,覆盖了大部分长波红外大气窗口波段,对红外探测领域有着重要意义。研究结果表明:镶嵌的金属-介质组成的介质波导模式和谐振腔模式的结合以及传播型表面等离激元模式的激发是形成宽带高吸收的主要原因,并且谐振模式的谐振波长可以通过相关参数来进行调控。本文的研究结果为可调谐宽带长波红外吸收材料的设计提供参考,该设计方法可推广到中波红外波段、甚至长波红外或其它波段。
2020, 13(1): 140-147.
doi: 10.3788/CO.20201301.0140
摘要:
在大气信道金宝搏188软件怎么用 传输中,大气湍流对系统性能会产生较大影响,主要体现为降低传输速率和增加误码率。在具有信道互易性的双向金宝搏188软件怎么用 传输链路中,两终端光斑信号强度的变化相关,可以在终端提取信道状态信息,以对信道影响进行补偿,从而提高传输速率。本文首先在弱湍流条件下,根据Rytov近似理论推导了平面波双向传输链路接收到的光斑信号的相关系数与传输路径的关系,并给出解析式。结果表明,两终端接收的光斑信号的光通量具有相关性,且相关系数与传输路径有关。进一步搭建了双向收发共轴金宝搏188软件怎么用 传输系统,并进行了外场试验,试验结果不仅验证了双向大气信道金宝搏188软件怎么用 传输链路具有互易性,且两接收端光斑信号光强的实时变化趋势相同。本文结论对实现大气信道高速率、低误码率金宝搏188软件怎么用 传输具有重要意义。
在大气信道金宝搏188软件怎么用 传输中,大气湍流对系统性能会产生较大影响,主要体现为降低传输速率和增加误码率。在具有信道互易性的双向金宝搏188软件怎么用 传输链路中,两终端光斑信号强度的变化相关,可以在终端提取信道状态信息,以对信道影响进行补偿,从而提高传输速率。本文首先在弱湍流条件下,根据Rytov近似理论推导了平面波双向传输链路接收到的光斑信号的相关系数与传输路径的关系,并给出解析式。结果表明,两终端接收的光斑信号的光通量具有相关性,且相关系数与传输路径有关。进一步搭建了双向收发共轴金宝搏188软件怎么用 传输系统,并进行了外场试验,试验结果不仅验证了双向大气信道金宝搏188软件怎么用 传输链路具有互易性,且两接收端光斑信号光强的实时变化趋势相同。本文结论对实现大气信道高速率、低误码率金宝搏188软件怎么用 传输具有重要意义。
2020, 13(1): 148-155.
doi: 10.3788/CO.20201301.0148
摘要:
星载金宝搏188软件怎么用 雷达是实现海洋垂直剖面探测的有效工具,也是目前迫切需求的海洋光学遥感手段。对星载海洋金宝搏188软件怎么用 雷达的波长参数进行评估对保证探测有效性具有重要意义。本文从探测深度和信噪比两方面分析了星载海洋金宝搏188软件怎么用 雷达探测全球海洋的最佳波长。利用MODIS 10个波段的水体光学特性数据,估算全球海水探测深度及相应的最优波长;并根据太阳夫琅禾费暗线特性,对信号信噪比进行优化。结果表明:在探测深度方面,最优探测波长在488 nm波段的海洋占全球海洋面积的70%左右,并且全球95%以上的海域在488 nm波段的探测深度优于0.8倍的真光层深度;在信噪比方面,相对于488 nm波段,486.134 nm夫琅禾费暗线处采用0.1 nm带宽的滤光片可以将背景光强度降低70%,相应地回波信噪比整体提升了约5.0%。就全球海洋探测来说,使用486.134 nm作为探测波长可以提高探测深度,有效抑制太阳背景光,提高信噪比,因此,486.134 nm是星载海洋金宝搏188软件怎么用 雷达的最佳工作波长。
星载金宝搏188软件怎么用 雷达是实现海洋垂直剖面探测的有效工具,也是目前迫切需求的海洋光学遥感手段。对星载海洋金宝搏188软件怎么用 雷达的波长参数进行评估对保证探测有效性具有重要意义。本文从探测深度和信噪比两方面分析了星载海洋金宝搏188软件怎么用 雷达探测全球海洋的最佳波长。利用MODIS 10个波段的水体光学特性数据,估算全球海水探测深度及相应的最优波长;并根据太阳夫琅禾费暗线特性,对信号信噪比进行优化。结果表明:在探测深度方面,最优探测波长在488 nm波段的海洋占全球海洋面积的70%左右,并且全球95%以上的海域在488 nm波段的探测深度优于0.8倍的真光层深度;在信噪比方面,相对于488 nm波段,486.134 nm夫琅禾费暗线处采用0.1 nm带宽的滤光片可以将背景光强度降低70%,相应地回波信噪比整体提升了约5.0%。就全球海洋探测来说,使用486.134 nm作为探测波长可以提高探测深度,有效抑制太阳背景光,提高信噪比,因此,486.134 nm是星载海洋金宝搏188软件怎么用 雷达的最佳工作波长。
2020, 13(1): 156-164.
doi: 10.3788/CO.20201301.0156
摘要:
为实现对双晶单色器角度微振动的原位测量,设计了基于双频金宝搏188软件怎么用 干涉仪的双晶单色器晶体角度微振动测试系统,并搭建了实验平台。金宝搏188软件怎么用 经干涉计偏振分光后射向被测晶面,对反射信号调制解调求得晶面两端的位移偏差,从而高频获取晶面的角度位移信息。通过数据预处理可以有效去除夹杂在数据中的噪声及直流分量,应用快速傅立叶变换处理得到晶体角度振动的频谱信息,准确获取对晶体稳定性产生影响的特征频率,从而分析影响晶体稳定性的主要振源。该方案可实现晶体角位移的高频采集,分辨率高达25 nrad,并能准确分析出不同振源影响下晶体微振动的情况,为单色器结构优化提供参考。
为实现对双晶单色器角度微振动的原位测量,设计了基于双频金宝搏188软件怎么用 干涉仪的双晶单色器晶体角度微振动测试系统,并搭建了实验平台。金宝搏188软件怎么用 经干涉计偏振分光后射向被测晶面,对反射信号调制解调求得晶面两端的位移偏差,从而高频获取晶面的角度位移信息。通过数据预处理可以有效去除夹杂在数据中的噪声及直流分量,应用快速傅立叶变换处理得到晶体角度振动的频谱信息,准确获取对晶体稳定性产生影响的特征频率,从而分析影响晶体稳定性的主要振源。该方案可实现晶体角位移的高频采集,分辨率高达25 nrad,并能准确分析出不同振源影响下晶体微振动的情况,为单色器结构优化提供参考。
2020, 13(1): 165-178.
doi: 10.3788/CO.20201301.0165
摘要:
高能金宝搏188软件怎么用 系统的主要工作方式是利用其精跟踪模块将发射金宝搏188软件怎么用 传输聚焦至闭环跟踪条件下的目标上,使之受到毁伤或失效。为实现该工作方式,本文研究设计了一套共孔径光学收发装置。该装置的发射系统主要由离轴两反式主望远镜模块、伽利略透射式调焦望远镜模块和光束馈送模块共同组成二级扩束系统,接收系统主要由离轴两反式主望远镜模块、精跟踪成像模块和光束馈送模块共同组成长焦距光学系统,其中光束馈送模块由二向色镜、快速反射镜等光学元件组成。以非相干空间合束的基模高斯光作为金宝搏188软件怎么用 光源,利用光学设计软件对该装置进行了优化设计。对于发射系统,获得了金宝搏188软件怎么用 经过调焦望远镜模块不同的调焦量调制后,传输至0.5~5 km处的光斑分布情况,且金宝搏188软件怎么用 波前像差RMS值均优于λ/20;对于接收系统,由各模块一同构成的成像光学系统的性能经优化后接近衍射极限,其中系统传递函数在70 lp/mm时大于0.6,最后通过样机实验也验证了设计的正确性。本文的设计和实验结果证实了该共孔径光学收发装置结构合理,性能可靠,满足高能金宝搏188软件怎么用 系统的工程应用需求。
高能金宝搏188软件怎么用 系统的主要工作方式是利用其精跟踪模块将发射金宝搏188软件怎么用 传输聚焦至闭环跟踪条件下的目标上,使之受到毁伤或失效。为实现该工作方式,本文研究设计了一套共孔径光学收发装置。该装置的发射系统主要由离轴两反式主望远镜模块、伽利略透射式调焦望远镜模块和光束馈送模块共同组成二级扩束系统,接收系统主要由离轴两反式主望远镜模块、精跟踪成像模块和光束馈送模块共同组成长焦距光学系统,其中光束馈送模块由二向色镜、快速反射镜等光学元件组成。以非相干空间合束的基模高斯光作为金宝搏188软件怎么用 光源,利用光学设计软件对该装置进行了优化设计。对于发射系统,获得了金宝搏188软件怎么用 经过调焦望远镜模块不同的调焦量调制后,传输至0.5~5 km处的光斑分布情况,且金宝搏188软件怎么用 波前像差RMS值均优于λ/20;对于接收系统,由各模块一同构成的成像光学系统的性能经优化后接近衍射极限,其中系统传递函数在70 lp/mm时大于0.6,最后通过样机实验也验证了设计的正确性。本文的设计和实验结果证实了该共孔径光学收发装置结构合理,性能可靠,满足高能金宝搏188软件怎么用 系统的工程应用需求。
2020, 13(1): 179-188.
doi: 10.3788/CO.20201301.0179
摘要:
空间引力波探测任务采用的是外差法金宝搏188软件怎么用 干涉测量技术,其对系统的噪声和精度要求极为苛刻。望远镜是引力波探测天文台的重要组成部分,起到金宝搏188软件怎么用 信号收发的作用,其光学系统应具备大倍率、高像质、杂光抑制能力强,波前误差一致性好的特点。针对上述要求,对大倍率离轴四反无焦光学系统进行了设计和优化。基于初级像差理论阐述了初始结构的求解方法。系统具有中间像面和可用的实出瞳,便于杂光抑制和与后端科学干涉仪的承接。优化过程中,建立了波前一致性优化函数,通过优化设计,系统入瞳直径为200 mm,放大倍率为40倍,科学视场为±8 μrad,波前误差RMS值优于0.005λ,PV值优于0.023λ(λ=1 064 nm),波前一致性残差RMS值优于0.000 8λ(λ=1 064 nm),在捕获视场±200 μrad内的成像质量均接近衍射极限,并对系统公差进行了分析,满足引力波探测的应用需求。
空间引力波探测任务采用的是外差法金宝搏188软件怎么用 干涉测量技术,其对系统的噪声和精度要求极为苛刻。望远镜是引力波探测天文台的重要组成部分,起到金宝搏188软件怎么用 信号收发的作用,其光学系统应具备大倍率、高像质、杂光抑制能力强,波前误差一致性好的特点。针对上述要求,对大倍率离轴四反无焦光学系统进行了设计和优化。基于初级像差理论阐述了初始结构的求解方法。系统具有中间像面和可用的实出瞳,便于杂光抑制和与后端科学干涉仪的承接。优化过程中,建立了波前一致性优化函数,通过优化设计,系统入瞳直径为200 mm,放大倍率为40倍,科学视场为±8 μrad,波前误差RMS值优于0.005λ,PV值优于0.023λ(λ=1 064 nm),波前一致性残差RMS值优于0.000 8λ(λ=1 064 nm),在捕获视场±200 μrad内的成像质量均接近衍射极限,并对系统公差进行了分析,满足引力波探测的应用需求。
2020, 13(1): 189-202.
doi: 10.3788/CO.20201301.0189
摘要:
为了在保证结构简单的前提下,实现衍射光栅精密测量系统的大量程、高精度、多维度测量,设计了能够同时测量位移和角度的五维自由度衍射光栅精密测量系统。基于利特罗对称式光路结构,采用高刻线密度的一维衍射光栅以及外差干涉原理实现了沿光栅矢量方向和光栅法线方向的二维位移测量;通过引入高精度的位置灵敏探测器,结合±1级衍射光与光栅之间的角度变化关系实现了对光栅俯仰、偏摆和滚转三个维度的角度误差测量。实验结果表明:该衍射光栅精密测量系统能够实现分辨力优于4 nm的二维位移测量以及分辨力优于1″的三维角度测量,其位移测量范围只受限于光栅的尺寸,量程大大增加。该衍射光栅精密测量系统在精密测量领域有重要意义。
为了在保证结构简单的前提下,实现衍射光栅精密测量系统的大量程、高精度、多维度测量,设计了能够同时测量位移和角度的五维自由度衍射光栅精密测量系统。基于利特罗对称式光路结构,采用高刻线密度的一维衍射光栅以及外差干涉原理实现了沿光栅矢量方向和光栅法线方向的二维位移测量;通过引入高精度的位置灵敏探测器,结合±1级衍射光与光栅之间的角度变化关系实现了对光栅俯仰、偏摆和滚转三个维度的角度误差测量。实验结果表明:该衍射光栅精密测量系统能够实现分辨力优于4 nm的二维位移测量以及分辨力优于1″的三维角度测量,其位移测量范围只受限于光栅的尺寸,量程大大增加。该衍射光栅精密测量系统在精密测量领域有重要意义。
2020, 13(1): 203-216.
doi: 10.3788/CO.20201301.0203
摘要:
光学灾变损伤(COD)常发生于量子阱半导体金宝搏188软件怎么用 器的前腔面处,极大地影响了金宝搏188软件怎么用 器的出光功率及寿命。通过杂质诱导量子阱混杂技术使腔面区波长蓝移来制备非吸收窗口是抑制腔面COD的有效手段,也是一种高效率、低成本方法。本文选择了Si杂质作为量子阱混杂的诱导源,使用金属有机化学气相沉积设备生长了InGaAs/AlGaAs量子阱半导体金宝搏188软件怎么用 器外延结构、Si杂质扩散层及Si3N4保护层。热退火处理后,Si杂质扩散诱导量子阱区和垒区材料互扩散,量子阱禁带变宽,输出波长发生蓝移。退火会影响外延片的表面形貌,而表面形貌则可能会影响后续封装工艺中电极的制备。结合光学显微镜及光致发光谱的测试结果,得到825℃/2 h退火条件下约93 nm的最大波长蓝移量,也证明退火对表面形貌的改变,不会影响波长蓝移效果及后续电极工艺。
光学灾变损伤(COD)常发生于量子阱半导体金宝搏188软件怎么用 器的前腔面处,极大地影响了金宝搏188软件怎么用 器的出光功率及寿命。通过杂质诱导量子阱混杂技术使腔面区波长蓝移来制备非吸收窗口是抑制腔面COD的有效手段,也是一种高效率、低成本方法。本文选择了Si杂质作为量子阱混杂的诱导源,使用金属有机化学气相沉积设备生长了InGaAs/AlGaAs量子阱半导体金宝搏188软件怎么用 器外延结构、Si杂质扩散层及Si3N4保护层。热退火处理后,Si杂质扩散诱导量子阱区和垒区材料互扩散,量子阱禁带变宽,输出波长发生蓝移。退火会影响外延片的表面形貌,而表面形貌则可能会影响后续封装工艺中电极的制备。结合光学显微镜及光致发光谱的测试结果,得到825℃/2 h退火条件下约93 nm的最大波长蓝移量,也证明退火对表面形貌的改变,不会影响波长蓝移效果及后续电极工艺。
摘要
HTML全文
PDF 2481KB