2020年 13卷 第2期
2020, 13(2): 217-228.
doi: 10.3788/CO.20201302.0217
摘要:
近年来,有机发光二极管(OLED)被广泛应用于智能手机等中小尺寸显示屏,并逐步进入电视等大尺寸显示领域和照明市场。随着OLED平板显示新时代的到来,对显示屏的彩色化与图案化研究提出了更高要求。与传统真空蒸镀技术相比,喷墨打印技术更容易实现大面积器件的彩色化和复合功能材料的图案化,且工艺简单,成本低廉,并可进行柔性器件加工。本文综述了采用喷墨打印技术制备OLED显示屏的研究现状,并系统介绍了喷墨打印设备的发展历程,通过优化bank结构提高显示屏的分辨率,优化墨水配方及组成配比抑制喷墨液滴的"咖啡环"效应,从而提高显示器发光均匀性,最后对国内外该技术产业进行了概述与展望。
近年来,有机发光二极管(OLED)被广泛应用于智能手机等中小尺寸显示屏,并逐步进入电视等大尺寸显示领域和照明市场。随着OLED平板显示新时代的到来,对显示屏的彩色化与图案化研究提出了更高要求。与传统真空蒸镀技术相比,喷墨打印技术更容易实现大面积器件的彩色化和复合功能材料的图案化,且工艺简单,成本低廉,并可进行柔性器件加工。本文综述了采用喷墨打印技术制备OLED显示屏的研究现状,并系统介绍了喷墨打印设备的发展历程,通过优化bank结构提高显示屏的分辨率,优化墨水配方及组成配比抑制喷墨液滴的"咖啡环"效应,从而提高显示器发光均匀性,最后对国内外该技术产业进行了概述与展望。
2020, 13(2): 229-248.
doi: 10.3788/CO.20201302.0229
摘要:
金宝搏188软件怎么用 破岩技术是应用光学领域的重要研究方向,它是集合了多相态、多耦合、多尺度的复杂高温、高压物理与化学过程。为了厘清金宝搏188软件怎么用 破岩研究中的核心难点,给研究者提供有效的理论参考和趋向信息,本文对金宝搏188软件怎么用 破岩技术的研究概况进行了分析总结。首先明确了金宝搏188软件怎么用 破岩机理;之后分别从石油井下作业用金宝搏188软件怎么用 器、金宝搏188软件怎么用 破岩影响因素、金宝搏188软件怎么用 破岩的温度场相变传热、物理力学性质以及金宝搏188软件怎么用 破岩应用可行性等方面对国内外金宝搏188软件怎么用 破岩技术研究进行了总结分析,指出了现阶段所取得的创新成果和不足;最后阐明了金宝搏188软件怎么用 破岩技术的优点和发展趋势。研究结果表明,金宝搏188软件怎么用 破岩技术可在现场配套设施研发、多影响因素评价、多场耦合作用机制和井下适用性理论体系研究等方向着力突破。
金宝搏188软件怎么用 破岩技术是应用光学领域的重要研究方向,它是集合了多相态、多耦合、多尺度的复杂高温、高压物理与化学过程。为了厘清金宝搏188软件怎么用 破岩研究中的核心难点,给研究者提供有效的理论参考和趋向信息,本文对金宝搏188软件怎么用 破岩技术的研究概况进行了分析总结。首先明确了金宝搏188软件怎么用 破岩机理;之后分别从石油井下作业用金宝搏188软件怎么用 器、金宝搏188软件怎么用 破岩影响因素、金宝搏188软件怎么用 破岩的温度场相变传热、物理力学性质以及金宝搏188软件怎么用 破岩应用可行性等方面对国内外金宝搏188软件怎么用 破岩技术研究进行了总结分析,指出了现阶段所取得的创新成果和不足;最后阐明了金宝搏188软件怎么用 破岩技术的优点和发展趋势。研究结果表明,金宝搏188软件怎么用 破岩技术可在现场配套设施研发、多影响因素评价、多场耦合作用机制和井下适用性理论体系研究等方向着力突破。
2020, 13(2): 249-257.
doi: 10.3788/CO.20201302.0249
摘要:
为了满足原子发射光谱仪在紫外至近红外宽谱段范围内的高光谱分辨率快速检测需求,采用精密角位移平台直接驱动光栅,配合面阵探测器,实现高精度光谱分段快速扫描探测。但在扫描过程中,探测器像元波长增量与光栅转角呈非线性关系,且不同像元的波长增量不同,这对该光谱仪波长定标造成障碍。为校正光栅色散的非线性,基于光栅方程精确计算光栅转角与探测器首尾两端像元波长的映射关系,针对同一光栅转角,探测器其余像元波长利用首尾像元波长按照局部线性色散规律计算得到,从而完成全谱段光谱定标。依据定标所得转角与探测波段对应关系依次驱动光栅转动,实现宽谱段范围内的分段高精度光谱快速扫描探测。利用汞灯光源对该定标方法的波长检测精度进行检验,在200~800 nm的宽谱段范围内,波长准确度优于0.018 nm,波长重复性优于0.001 nm。
为了满足原子发射光谱仪在紫外至近红外宽谱段范围内的高光谱分辨率快速检测需求,采用精密角位移平台直接驱动光栅,配合面阵探测器,实现高精度光谱分段快速扫描探测。但在扫描过程中,探测器像元波长增量与光栅转角呈非线性关系,且不同像元的波长增量不同,这对该光谱仪波长定标造成障碍。为校正光栅色散的非线性,基于光栅方程精确计算光栅转角与探测器首尾两端像元波长的映射关系,针对同一光栅转角,探测器其余像元波长利用首尾像元波长按照局部线性色散规律计算得到,从而完成全谱段光谱定标。依据定标所得转角与探测波段对应关系依次驱动光栅转动,实现宽谱段范围内的分段高精度光谱快速扫描探测。利用汞灯光源对该定标方法的波长检测精度进行检验,在200~800 nm的宽谱段范围内,波长准确度优于0.018 nm,波长重复性优于0.001 nm。
2020, 13(2): 258-265.
doi: 10.3788/CO.20201302.0258
摘要:
采用解析法对Nd:YAG单晶光纤金宝搏188软件怎么用 器热效应相关的光纤温度场分布进行研究。建立了Nd:YAG单晶光纤热模型,在单晶光纤所满足的边界条件下通过解析求解热传导方程,得到在高功率808 nm泵浦光抽运下产生946 nm金宝搏188软件怎么用 的单晶光纤温度场分布,并与传统Nd:YAG金宝搏188软件怎么用 晶体的温度场进行比较,然后分别与同泵浦条件下的有限元数值方法的分析结果进行研究对比,最后分析泵浦光参数、单晶光纤参数等对温度场的影响。结果表明,功率为86 W的泵浦光入射至单晶光纤端面的最高温升仅为30.98℃,明显优于同泵浦条件下传统Nd:YAG晶体的端面温升结果94.37℃,与有限元数值法得到的Nd:YAG单晶光纤19℃温升结果相比,该解析法结果更接近于实验的测量值31℃,能够更精确描述晶体光纤温度场。本文可对单晶光纤金宝搏188软件怎么用 器热效应的精确研究提供一定参考,进而有利于提高单晶光纤金宝搏188软件怎么用 器的性能。
采用解析法对Nd:YAG单晶光纤金宝搏188软件怎么用 器热效应相关的光纤温度场分布进行研究。建立了Nd:YAG单晶光纤热模型,在单晶光纤所满足的边界条件下通过解析求解热传导方程,得到在高功率808 nm泵浦光抽运下产生946 nm金宝搏188软件怎么用 的单晶光纤温度场分布,并与传统Nd:YAG金宝搏188软件怎么用 晶体的温度场进行比较,然后分别与同泵浦条件下的有限元数值方法的分析结果进行研究对比,最后分析泵浦光参数、单晶光纤参数等对温度场的影响。结果表明,功率为86 W的泵浦光入射至单晶光纤端面的最高温升仅为30.98℃,明显优于同泵浦条件下传统Nd:YAG晶体的端面温升结果94.37℃,与有限元数值法得到的Nd:YAG单晶光纤19℃温升结果相比,该解析法结果更接近于实验的测量值31℃,能够更精确描述晶体光纤温度场。本文可对单晶光纤金宝搏188软件怎么用 器热效应的精确研究提供一定参考,进而有利于提高单晶光纤金宝搏188软件怎么用 器的性能。
2020, 13(2): 266-272.
doi: 10.3788/CO.20201302.0266
摘要:
靶丸内表面轮廓是金宝搏188软件怎么用 核聚变靶丸的关键参数,需要精密检测。本文首先分析了基于白光共焦光谱和精密气浮轴系的靶丸内表面轮廓测量基本原理,建立了靶丸内表面轮廓的白光共焦光谱测量方法。此外,搭建了靶丸内表面轮廓测量实验装置,建立了基于靶丸光学图像的辅助调心方法,实现了靶丸内表面轮廓的精密测量,获得了准确的靶丸内表面轮廓曲线;最后,对测量结果的可靠性进行了实验验证和不确定度分析,结果表明,白光共焦光谱能实现靶丸内表面低阶轮廓的精密测量,其测量不确定度优于0.1 μm。
靶丸内表面轮廓是金宝搏188软件怎么用 核聚变靶丸的关键参数,需要精密检测。本文首先分析了基于白光共焦光谱和精密气浮轴系的靶丸内表面轮廓测量基本原理,建立了靶丸内表面轮廓的白光共焦光谱测量方法。此外,搭建了靶丸内表面轮廓测量实验装置,建立了基于靶丸光学图像的辅助调心方法,实现了靶丸内表面轮廓的精密测量,获得了准确的靶丸内表面轮廓曲线;最后,对测量结果的可靠性进行了实验验证和不确定度分析,结果表明,白光共焦光谱能实现靶丸内表面低阶轮廓的精密测量,其测量不确定度优于0.1 μm。
2020, 13(2): 273-280.
doi: 10.3788/CO.20201302.0273
摘要:
皮肤镜在临床中已广泛用于诊断皮肤病变,然而,如何更加清晰准确地观察表皮、真皮表皮交界处和真皮乳头层内的色素性结构的大小、形状、颜色的深浅及浅层血管丛血管的大小形态依旧是一个挑战。由于皮肤表皮层类似于镜面反射,不改变反射光的偏振态,而皮肤组织表皮层以下的组织会改变原有光线的偏振态,基于此,本文设计了一个视场为22 mm、倍率为10×的手持偏振皮肤镜,通过采用偏振照明成像技术可以更加清晰有效地观察深层皮肤组织的病变以及病变组织形态,从而提高临床诊断与鉴别效率。
皮肤镜在临床中已广泛用于诊断皮肤病变,然而,如何更加清晰准确地观察表皮、真皮表皮交界处和真皮乳头层内的色素性结构的大小、形状、颜色的深浅及浅层血管丛血管的大小形态依旧是一个挑战。由于皮肤表皮层类似于镜面反射,不改变反射光的偏振态,而皮肤组织表皮层以下的组织会改变原有光线的偏振态,基于此,本文设计了一个视场为22 mm、倍率为10×的手持偏振皮肤镜,通过采用偏振照明成像技术可以更加清晰有效地观察深层皮肤组织的病变以及病变组织形态,从而提高临床诊断与鉴别效率。
2020, 13(2): 281-289.
doi: 10.3788/CO.20201302.0281
摘要:
针对D4114B型柴油机排放尾气中的CO2气体开展测量研究,计算分析气体的体积分数以及温度。文中以可调谐半导体金宝搏188软件怎么用 器吸收光谱(Tunable Diode Laser Absorption Spectroscopy,TDLAS)技术原理为基础,利用MATLAB中SIMULINK库中的各个模块,模拟尾气测量的实际过程。仿真结果显示,在模拟柴油机排放环境下,待测量气体CO2的温度仿真相对误差为0.03%。利用船用D4114B型柴油机进行验证实验,在其排气管上增添可视化窗口并安装相应测试系统,利用以半导体为工作介质的可调谐金宝搏188软件怎么用 器作为金宝搏188软件怎么用 光源,开展尾气排放中CO2气体温度的在线测试研究,测试相对误差小于4%。由上述研究结果可知,本文中利用SIMULINK搭建的模型所测得的温度值与实际柴油机尾气排放过程中的温度相差较小,因此,其仿真结果能够对柴油机排气测温提供一定的参考。
针对D4114B型柴油机排放尾气中的CO2气体开展测量研究,计算分析气体的体积分数以及温度。文中以可调谐半导体金宝搏188软件怎么用 器吸收光谱(Tunable Diode Laser Absorption Spectroscopy,TDLAS)技术原理为基础,利用MATLAB中SIMULINK库中的各个模块,模拟尾气测量的实际过程。仿真结果显示,在模拟柴油机排放环境下,待测量气体CO2的温度仿真相对误差为0.03%。利用船用D4114B型柴油机进行验证实验,在其排气管上增添可视化窗口并安装相应测试系统,利用以半导体为工作介质的可调谐金宝搏188软件怎么用 器作为金宝搏188软件怎么用 光源,开展尾气排放中CO2气体温度的在线测试研究,测试相对误差小于4%。由上述研究结果可知,本文中利用SIMULINK搭建的模型所测得的温度值与实际柴油机尾气排放过程中的温度相差较小,因此,其仿真结果能够对柴油机排气测温提供一定的参考。
2020, 13(2): 290-301.
doi: 10.3788/CO.20201302.0290
摘要:
编码孔径光谱成像仪在实际应用中存在着编码模板与探测器分辨率不匹配从而降低系统分辨率的问题。针对该问题进行了两种情况分析,并通过数学理论建模给出了相应的解决方案。对于编码模板分辨率高于探测器分辨率这一情况,提出引入邻域嵌入超分辨技术的方法,实现了基于压缩感知的超分辨光谱成像。对于编码模板分辨率低于探测器分辨率这一情况,提出区块阈值划分的编码孔径,将编码微元按照区块阈值重新划分并进行灰度分级,从而实现低分辨率编码模板的高分辨率编码孔径。利用梯度投影稀疏重构(GPSR)算法进行数据立方体重建,实验结果表明:运用基于超分辨理论的编码孔径快照光谱成像系统所测得的光谱图像更精准,内容更丰富;采用基于区块阈值划分的编码孔径的编码孔径快照光谱成像系统具有更高的空间分辨率和光谱分辨率。结果证实优化后的编码孔径快照光谱成像系统,其分辨率和成像质量大幅度提升,并实现了高分辨率元件的100%利用。
编码孔径光谱成像仪在实际应用中存在着编码模板与探测器分辨率不匹配从而降低系统分辨率的问题。针对该问题进行了两种情况分析,并通过数学理论建模给出了相应的解决方案。对于编码模板分辨率高于探测器分辨率这一情况,提出引入邻域嵌入超分辨技术的方法,实现了基于压缩感知的超分辨光谱成像。对于编码模板分辨率低于探测器分辨率这一情况,提出区块阈值划分的编码孔径,将编码微元按照区块阈值重新划分并进行灰度分级,从而实现低分辨率编码模板的高分辨率编码孔径。利用梯度投影稀疏重构(GPSR)算法进行数据立方体重建,实验结果表明:运用基于超分辨理论的编码孔径快照光谱成像系统所测得的光谱图像更精准,内容更丰富;采用基于区块阈值划分的编码孔径的编码孔径快照光谱成像系统具有更高的空间分辨率和光谱分辨率。结果证实优化后的编码孔径快照光谱成像系统,其分辨率和成像质量大幅度提升,并实现了高分辨率元件的100%利用。
2020, 13(2): 302-312.
doi: 10.3788/CO.20201302.0302
摘要:
三坐标轮廓检测是大口径高次非球面确定性加工过程中的主要面形测量手段。由于原始三坐标数据包含较大的检测误差,无法直接应用于加工过程,本文提出了一组数据处理算法对误差进行全面去除。首先,对获取的检测数据采用基于球心曲面重建的测头半径补偿算法进行测头半径误差补偿,然后对补偿后数据进行坐标系旋转平移误差去除,最后对提取的检测面形残差进行基于KNN的残差噪点过滤。其中,提出的基于球心曲面重建的测头半径补偿算法通过引入一个高精度的测头球心包络面拟合模型,来计算各检测点的测头半径补偿向量,仿真实验证明:算法补偿精度达到RMS < 4 nm;提出的基于KNN的残差噪点过滤算法,通过采用插值方法提高样本空间密度和优化噪声度量值的计算,提高了噪点的识别敏感度并实现了噪点的自动化去除。最终根据整个误差清理算法构建了检测点云处理软件,应用实践表明其有效提高了镜面加工过程中检测点云的数据处理精度和效率。
三坐标轮廓检测是大口径高次非球面确定性加工过程中的主要面形测量手段。由于原始三坐标数据包含较大的检测误差,无法直接应用于加工过程,本文提出了一组数据处理算法对误差进行全面去除。首先,对获取的检测数据采用基于球心曲面重建的测头半径补偿算法进行测头半径误差补偿,然后对补偿后数据进行坐标系旋转平移误差去除,最后对提取的检测面形残差进行基于KNN的残差噪点过滤。其中,提出的基于球心曲面重建的测头半径补偿算法通过引入一个高精度的测头球心包络面拟合模型,来计算各检测点的测头半径补偿向量,仿真实验证明:算法补偿精度达到RMS < 4 nm;提出的基于KNN的残差噪点过滤算法,通过采用插值方法提高样本空间密度和优化噪声度量值的计算,提高了噪点的识别敏感度并实现了噪点的自动化去除。最终根据整个误差清理算法构建了检测点云处理软件,应用实践表明其有效提高了镜面加工过程中检测点云的数据处理精度和效率。
2020, 13(2): 313-322.
doi: 10.3788/CO.20201302.0313
摘要:
本文采用光纤金宝搏188软件怎么用 器在不锈钢表面上制备圆形阵列结构来增强不锈钢与塑料的连接强度。研究了金宝搏188软件怎么用 制备的圆形阵列结构参数以及连接参数对不锈钢与塑料连接强度的影响。结果表明,不锈钢表面经过金宝搏188软件怎么用 扫描构形处理后能显著提高不锈钢与塑料的连接强度,在压力作用下,熔融塑料渗入金宝搏188软件怎么用 构造微孔形成的机械互锁是增强不锈钢与塑料连接强度的主要机制。金宝搏188软件怎么用 构形后不锈钢表面上的毛刺高度、数量以及覆盖率对连接接头的连接强度有重要影响。毛刺高度为10~20 μm,毛刺数量占比Tm小于14.82%时,不锈钢与塑料在连接面处断裂,剪切力随着Tm的增加而增加;当Tm值高于14.82%时,在塑料处断裂,且剪切力数值在塑料的平均拉伸断裂力(950 N)上下浮动。不锈钢与塑料连接接头断裂于塑料处时所对应的最小覆盖率为38.5%,此时剪切力为900 N。此外,金宝搏188软件怎么用 扫描处理过程中不锈钢与塑料连接的温度与压力对连接强度有重要影响,在加热温度为400℃时,不锈钢与塑料连接接头的剪切力最强;当压力为75 kN时,不锈钢与塑料连接接头的剪切力最强。
本文采用光纤金宝搏188软件怎么用 器在不锈钢表面上制备圆形阵列结构来增强不锈钢与塑料的连接强度。研究了金宝搏188软件怎么用 制备的圆形阵列结构参数以及连接参数对不锈钢与塑料连接强度的影响。结果表明,不锈钢表面经过金宝搏188软件怎么用 扫描构形处理后能显著提高不锈钢与塑料的连接强度,在压力作用下,熔融塑料渗入金宝搏188软件怎么用 构造微孔形成的机械互锁是增强不锈钢与塑料连接强度的主要机制。金宝搏188软件怎么用 构形后不锈钢表面上的毛刺高度、数量以及覆盖率对连接接头的连接强度有重要影响。毛刺高度为10~20 μm,毛刺数量占比Tm小于14.82%时,不锈钢与塑料在连接面处断裂,剪切力随着Tm的增加而增加;当Tm值高于14.82%时,在塑料处断裂,且剪切力数值在塑料的平均拉伸断裂力(950 N)上下浮动。不锈钢与塑料连接接头断裂于塑料处时所对应的最小覆盖率为38.5%,此时剪切力为900 N。此外,金宝搏188软件怎么用 扫描处理过程中不锈钢与塑料连接的温度与压力对连接强度有重要影响,在加热温度为400℃时,不锈钢与塑料连接接头的剪切力最强;当压力为75 kN时,不锈钢与塑料连接接头的剪切力最强。
2020, 13(2): 323-332.
doi: 10.3788/CO.20201302.0323
摘要:
本文采用分步相位屏方法来仿真椭圆涡旋光束在海洋中的实际传输情况,并对椭圆涡旋光束在海洋湍流中的传输光强和闪烁因子进行了仿真。研究发现,椭圆涡旋光束在海洋传输过程中,光斑会发生明显的旋转,同时光斑会产生暗核且暗核个数与光束的拓扑荷数相等。一个拓扑荷数为m的相位奇点会分裂成m个拓扑荷数为1的相位奇点,并且海洋湍流越强,光斑受到的干扰越严重。研究还发现,在较弱的海洋湍流中,随着传输距离的增加,椭圆涡旋光束的闪烁因子会低于高斯光束和涡旋光束的闪烁因子,而且在远距离处拓扑荷数越大闪烁因子降低越明显,同时也发现,传播一段距离后涡旋光束的闪烁因子会低于高斯光束的闪烁因子。在较强湍流中,椭圆涡旋光束的闪烁因子会交叠在一起。对于不同强度的海洋湍流,随着均方温度耗散率的增大,椭圆涡旋光束的轴上点闪烁因子也增大。在同一传输距离处,束腰宽度越小的椭圆涡旋光束闪烁因子越小。
本文采用分步相位屏方法来仿真椭圆涡旋光束在海洋中的实际传输情况,并对椭圆涡旋光束在海洋湍流中的传输光强和闪烁因子进行了仿真。研究发现,椭圆涡旋光束在海洋传输过程中,光斑会发生明显的旋转,同时光斑会产生暗核且暗核个数与光束的拓扑荷数相等。一个拓扑荷数为m的相位奇点会分裂成m个拓扑荷数为1的相位奇点,并且海洋湍流越强,光斑受到的干扰越严重。研究还发现,在较弱的海洋湍流中,随着传输距离的增加,椭圆涡旋光束的闪烁因子会低于高斯光束和涡旋光束的闪烁因子,而且在远距离处拓扑荷数越大闪烁因子降低越明显,同时也发现,传播一段距离后涡旋光束的闪烁因子会低于高斯光束的闪烁因子。在较强湍流中,椭圆涡旋光束的闪烁因子会交叠在一起。对于不同强度的海洋湍流,随着均方温度耗散率的增大,椭圆涡旋光束的轴上点闪烁因子也增大。在同一传输距离处,束腰宽度越小的椭圆涡旋光束闪烁因子越小。
2020, 13(2): 333-343.
doi: 10.3788/CO.20201302.0333
摘要:
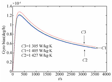
为了改进干涉式光纤陀螺的测量精度和温度性能,建立了该仪器输出偏置的解析模型。通过把光纤双折射这一从未被考察过的相位微扰与其它已知误差源进行线性叠加,该模型首次显式地把陀螺性能直接与光纤的力学、光学、热学和几何参数联系起来。利用该模型对常用于10-3 deg/h精度量级光纤陀螺的64层四极对称环圈进行计算,结果表明,保偏光纤所固有的高双折射及其温度涨落对陀螺输出偏置及其热漂移的影响分别在10-3 deg/h和10-2 deg/h量级,而过去研究较多的单模光纤中的舒普效应和热致光弹效应的影响分别在10-4 deg/h和10-3 deg/h量级。该模型表明保偏光纤所固有的高应力双折射是干涉式光纤陀螺的主要误差源,同时较为完备地描述了光纤陀螺中源于光纤性能的误差,也解释了该误差对光纤双折射的非线性依赖。
为了改进干涉式光纤陀螺的测量精度和温度性能,建立了该仪器输出偏置的解析模型。通过把光纤双折射这一从未被考察过的相位微扰与其它已知误差源进行线性叠加,该模型首次显式地把陀螺性能直接与光纤的力学、光学、热学和几何参数联系起来。利用该模型对常用于10-3 deg/h精度量级光纤陀螺的64层四极对称环圈进行计算,结果表明,保偏光纤所固有的高双折射及其温度涨落对陀螺输出偏置及其热漂移的影响分别在10-3 deg/h和10-2 deg/h量级,而过去研究较多的单模光纤中的舒普效应和热致光弹效应的影响分别在10-4 deg/h和10-3 deg/h量级。该模型表明保偏光纤所固有的高应力双折射是干涉式光纤陀螺的主要误差源,同时较为完备地描述了光纤陀螺中源于光纤性能的误差,也解释了该误差对光纤双折射的非线性依赖。
2020, 13(2): 344-353.
doi: 10.3788/CO.20201302.0344
摘要:
为保证空间惯性传感器的正常在轨运行,在发射阶段需保证测试质量固定以避免与周围电容极板的接触碰撞;到达预定轨道后再重新捕获并以最小残余线速度将测试质量释放至精确位置,保持自由悬浮状态。测试质量的捕获定位对驱动器提出高精度的要求。本文针对在太空中捕获定位释放测试质量所用的压电直线驱动器进行了设计定制与性能测试。试验结果表明:该定制的压电驱动器最小步长小于1 nm,但步长稳定性误差较大;150 V工作电压条件最大驱动力达72 N;单步行进驱动力稳定;夹持测试质量过程中,驱动力稳定,稳定性偏差为0.16%。满足捕获、定位、释放机构的使用需求。
为保证空间惯性传感器的正常在轨运行,在发射阶段需保证测试质量固定以避免与周围电容极板的接触碰撞;到达预定轨道后再重新捕获并以最小残余线速度将测试质量释放至精确位置,保持自由悬浮状态。测试质量的捕获定位对驱动器提出高精度的要求。本文针对在太空中捕获定位释放测试质量所用的压电直线驱动器进行了设计定制与性能测试。试验结果表明:该定制的压电驱动器最小步长小于1 nm,但步长稳定性误差较大;150 V工作电压条件最大驱动力达72 N;单步行进驱动力稳定;夹持测试质量过程中,驱动力稳定,稳定性偏差为0.16%。满足捕获、定位、释放机构的使用需求。
2020, 13(2): 354-362.
doi: 10.3788/CO.20201302.0354
摘要:
为了探究美洛昔康与溶菌酶的作用机制,在pH=7.40的实验条件下,采用荧光光谱、同步荧光光谱和理论模建分析技术研究了类风湿性关节炎药物美洛昔康与溶菌酶分子之间的相互作用。结果表明,美洛昔康能够以静态猝灭形式有效地猝灭溶菌酶的内源荧光,形成1:1的复合物,并使溶菌酶的构象发生改变。热力学结果表明,美洛昔康-溶菌酶体系的主要作用力类型为疏水作用力。理论模建结果表明,该体系除疏水作用外还存在氢键作用,且美洛昔康被溶菌酶的活性氨基酸残基Glu35和Asp52包围,结合作用改变了溶菌酶催化活性中心处氨基酸残基的微环境。当患者服用15 mg美洛昔康时,美洛昔康与溶菌酶的蛋白结合率W(B)为3.71%~8.79%,说明美洛昔康与溶菌酶的结合对溶菌酶自身抗炎、抗菌功能的影响不大,体系药物结合率W(Q)为1.08%~1.14%,说明溶菌酶与美洛昔康结合不会影响美洛昔康的药效。该研究从理论上证明了溶菌酶在血浆环境中与药物美洛昔康结合后,对溶菌酶本身功能和美洛昔康的药效不会产生严重影响。
为了探究美洛昔康与溶菌酶的作用机制,在pH=7.40的实验条件下,采用荧光光谱、同步荧光光谱和理论模建分析技术研究了类风湿性关节炎药物美洛昔康与溶菌酶分子之间的相互作用。结果表明,美洛昔康能够以静态猝灭形式有效地猝灭溶菌酶的内源荧光,形成1:1的复合物,并使溶菌酶的构象发生改变。热力学结果表明,美洛昔康-溶菌酶体系的主要作用力类型为疏水作用力。理论模建结果表明,该体系除疏水作用外还存在氢键作用,且美洛昔康被溶菌酶的活性氨基酸残基Glu35和Asp52包围,结合作用改变了溶菌酶催化活性中心处氨基酸残基的微环境。当患者服用15 mg美洛昔康时,美洛昔康与溶菌酶的蛋白结合率W(B)为3.71%~8.79%,说明美洛昔康与溶菌酶的结合对溶菌酶自身抗炎、抗菌功能的影响不大,体系药物结合率W(Q)为1.08%~1.14%,说明溶菌酶与美洛昔康结合不会影响美洛昔康的药效。该研究从理论上证明了溶菌酶在血浆环境中与药物美洛昔康结合后,对溶菌酶本身功能和美洛昔康的药效不会产生严重影响。
2020, 13(2): 363-371.
doi: 10.3788/CO.20201302.0363
摘要:
为了设计低投射比的超短焦投影物镜,本文采用自由曲面和折反式的光路结构设计了一种具有低投射比的超短焦投影物镜系统。该物镜由一个旋转对称的折射透镜组和一个自由曲面反射镜组成。采用11.938 mm的数字微镜器件(DMD)作为空间光调制器产生图像源。采用法线加权迭代优化的方法计算自由曲面。最后,分析了系统的性能。仿真结果表明:超短焦投影物镜可在580 mm的投影距离处实现3 048 mm尺寸的大屏幕投影,系统的投射比低至0.19,系统的最大畸变小于0.72%。能够满足低投射比超短焦投影物镜的设计要求。该投影系统具有低投射比、低畸变、投影效果好等优点,可为超短焦投影系统的进一步发展提供有益参考。
为了设计低投射比的超短焦投影物镜,本文采用自由曲面和折反式的光路结构设计了一种具有低投射比的超短焦投影物镜系统。该物镜由一个旋转对称的折射透镜组和一个自由曲面反射镜组成。采用11.938 mm的数字微镜器件(DMD)作为空间光调制器产生图像源。采用法线加权迭代优化的方法计算自由曲面。最后,分析了系统的性能。仿真结果表明:超短焦投影物镜可在580 mm的投影距离处实现3 048 mm尺寸的大屏幕投影,系统的投射比低至0.19,系统的最大畸变小于0.72%。能够满足低投射比超短焦投影物镜的设计要求。该投影系统具有低投射比、低畸变、投影效果好等优点,可为超短焦投影系统的进一步发展提供有益参考。
2020, 13(2): 372-380.
doi: 10.3788/CO.20201302.0372
摘要:
本文提出一种大尺度的金属-电介质复合微纳结构(银-硅结构),用于提高荧光生物检测的灵敏度及解决荧光物质距离结构远场范围时荧光增强的近场局限。这种大尺度的金属-电介质复合微纳结构与之前的金属-电介质复合微纳结构不同,其通过光的散射和干涉实现了荧光物质距离结构远场范围时的荧光增强。在本文中,通过采用时域有限差分法,主要从荧光激发和荧光发射两个过程研究银-硅结构。结果表明,在激发过程中,银-硅结构的荧光强度高于玻璃结构且位于银-硅结构两柱之间的狭缝中的电场分布比金属结构(银结构)更均匀,因此在银-硅结构中可以实现荧光增强,而且分子运动行为的检测更准确。在发射过程中,当荧光纳米粒子距离结构远场范围内时,与玻璃相比,银-硅结构可以实现更好的荧光增强效果。利用银-硅结构实现荧光增强的机理是光的散射和干涉,荧光被银膜向上散射,同时,结构两侧的银/硅柱也散射一部分荧光,荧光相互干涉传播至远场实现荧光增强。此外,银-硅结构易于制备和集成。因此,其可以很好地应用于生物传感领域。
本文提出一种大尺度的金属-电介质复合微纳结构(银-硅结构),用于提高荧光生物检测的灵敏度及解决荧光物质距离结构远场范围时荧光增强的近场局限。这种大尺度的金属-电介质复合微纳结构与之前的金属-电介质复合微纳结构不同,其通过光的散射和干涉实现了荧光物质距离结构远场范围时的荧光增强。在本文中,通过采用时域有限差分法,主要从荧光激发和荧光发射两个过程研究银-硅结构。结果表明,在激发过程中,银-硅结构的荧光强度高于玻璃结构且位于银-硅结构两柱之间的狭缝中的电场分布比金属结构(银结构)更均匀,因此在银-硅结构中可以实现荧光增强,而且分子运动行为的检测更准确。在发射过程中,当荧光纳米粒子距离结构远场范围内时,与玻璃相比,银-硅结构可以实现更好的荧光增强效果。利用银-硅结构实现荧光增强的机理是光的散射和干涉,荧光被银膜向上散射,同时,结构两侧的银/硅柱也散射一部分荧光,荧光相互干涉传播至远场实现荧光增强。此外,银-硅结构易于制备和集成。因此,其可以很好地应用于生物传感领域。
2020, 13(2): 381-395.
doi: 10.3788/CO.20201302.0381
摘要:
为了研究史密斯-帕塞尔自由电子金宝搏188软件怎么用 的输出频率和光栅槽深、光栅槽长、光栅槽宽的关系,对于基于矩形光栅的史密斯-帕塞尔自由电子金宝搏188软件怎么用 利用粒子模拟软件进行模拟和理论分析。首先,利用粒子模拟软件模拟对于基于矩形光栅的史密斯-帕塞尔自由电子金宝搏188软件怎么用 进行了研究,发现史密斯-帕塞尔自由电子金宝搏188软件怎么用 的输出频率随光栅槽深、光栅槽长、光栅槽宽的增大而减少。接着,对史密斯-帕塞尔自由电子金宝搏188软件怎么用 的光栅槽进行了理论分析,发现每个光栅槽都可以等效为一个LC谐振电路,并发现在史密斯-帕塞尔自由电子金宝搏188软件怎么用 中存在两种辐射,一种是史密斯-帕塞尔辐射,另一种是LC振荡辐射。最后,对光栅槽的LC振荡辐射进行了估算,发现史密斯-帕塞尔自由电子金宝搏188软件怎么用 输出频率的模拟值与光栅槽的LC振荡辐射估算值的数量级均为102 GHz,且变化规律上一致。据此推测决定史密斯-帕塞尔自由电子金宝搏188软件怎么用 输出频率的应该是光栅槽,而不是谐振腔。
为了研究史密斯-帕塞尔自由电子金宝搏188软件怎么用 的输出频率和光栅槽深、光栅槽长、光栅槽宽的关系,对于基于矩形光栅的史密斯-帕塞尔自由电子金宝搏188软件怎么用 利用粒子模拟软件进行模拟和理论分析。首先,利用粒子模拟软件模拟对于基于矩形光栅的史密斯-帕塞尔自由电子金宝搏188软件怎么用 进行了研究,发现史密斯-帕塞尔自由电子金宝搏188软件怎么用 的输出频率随光栅槽深、光栅槽长、光栅槽宽的增大而减少。接着,对史密斯-帕塞尔自由电子金宝搏188软件怎么用 的光栅槽进行了理论分析,发现每个光栅槽都可以等效为一个LC谐振电路,并发现在史密斯-帕塞尔自由电子金宝搏188软件怎么用 中存在两种辐射,一种是史密斯-帕塞尔辐射,另一种是LC振荡辐射。最后,对光栅槽的LC振荡辐射进行了估算,发现史密斯-帕塞尔自由电子金宝搏188软件怎么用 输出频率的模拟值与光栅槽的LC振荡辐射估算值的数量级均为102 GHz,且变化规律上一致。据此推测决定史密斯-帕塞尔自由电子金宝搏188软件怎么用 输出频率的应该是光栅槽,而不是谐振腔。
2020, 13(2): 396-410.
doi: 10.3788/CO.20201302.0396
摘要:
利用传输矩阵法研究复介质对光量子阱光传输特性的激活效应机制,结果表明复介质可有效激活光量子阱的光透射率和内部局域电场。无论组成光量子阱的介质是实介质还是复介质,光量子阱内部均存在局域电场,且局域电场均会产生频率量子化并在透射谱中出现分立的窄透射峰。在介质A中掺入激活性杂质的复介电常数虚部k为正时,光量子阱内部局域电场和分立窄透射峰的透射率均出现衰减现象,且随着k值增大内部局域电场单调衰减越来越明显,但光量子阱不同波长位置的局域电场对k值的响应灵敏度不同,其中光量子阱中心波长处对应的电场对k值响应最灵敏;当复介电常数的虚部k为负值时,光量子阱内部局域电场和分立窄透射峰的透射率均出现增益放大现象,随着负虚部|k|值增大,内部局域电场先增大至极大值随后衰减,但光量子阱不同波长位置的局域电场增益放大的极大值及其对应的|k|值大小不同,其中光量子阱短波方向局域电场对|k|值响应最灵敏,长波方向局域电场对|k|值响应灵敏度最低。研究复介质对光量子阱光传输特性的调制机制,对新型光学滤波器、光学放大器和光学全反射镜的理论研究与实际设计,以及光量子阱光传输特性的内在机制研究等,均具有积极的指导意义。
利用传输矩阵法研究复介质对光量子阱光传输特性的激活效应机制,结果表明复介质可有效激活光量子阱的光透射率和内部局域电场。无论组成光量子阱的介质是实介质还是复介质,光量子阱内部均存在局域电场,且局域电场均会产生频率量子化并在透射谱中出现分立的窄透射峰。在介质A中掺入激活性杂质的复介电常数虚部k为正时,光量子阱内部局域电场和分立窄透射峰的透射率均出现衰减现象,且随着k值增大内部局域电场单调衰减越来越明显,但光量子阱不同波长位置的局域电场对k值的响应灵敏度不同,其中光量子阱中心波长处对应的电场对k值响应最灵敏;当复介电常数的虚部k为负值时,光量子阱内部局域电场和分立窄透射峰的透射率均出现增益放大现象,随着负虚部|k|值增大,内部局域电场先增大至极大值随后衰减,但光量子阱不同波长位置的局域电场增益放大的极大值及其对应的|k|值大小不同,其中光量子阱短波方向局域电场对|k|值响应最灵敏,长波方向局域电场对|k|值响应灵敏度最低。研究复介质对光量子阱光传输特性的调制机制,对新型光学滤波器、光学放大器和光学全反射镜的理论研究与实际设计,以及光量子阱光传输特性的内在机制研究等,均具有积极的指导意义。
2020, 13(2): 411-425.
doi: 10.3788/CO.20201302.0411
摘要:
为了实现傅立叶变换光谱仪的微型化与轻量化,设计了轻型栅条分束器结构,代替传统的平行平板分束器,分析了轻型栅条分束器的栅棱对光谱复原的影响,提出了制作误差容限。对微型傅立叶变换光谱仪进行了建模仿真,得到了轻型栅条分束器的最佳结构。通过系统仿真进行光谱反演,得到了复原光谱,并计算了轻型栅条分束器引入的光谱误差。完成了原理样机的搭建与调试,得到了实际系统的复原光谱,证明了微型化系统的可行性。该微型化系统相对于传统傅立叶变换光谱仪,具有体积小,稳定性好的优点,可用于在线监测。
为了实现傅立叶变换光谱仪的微型化与轻量化,设计了轻型栅条分束器结构,代替传统的平行平板分束器,分析了轻型栅条分束器的栅棱对光谱复原的影响,提出了制作误差容限。对微型傅立叶变换光谱仪进行了建模仿真,得到了轻型栅条分束器的最佳结构。通过系统仿真进行光谱反演,得到了复原光谱,并计算了轻型栅条分束器引入的光谱误差。完成了原理样机的搭建与调试,得到了实际系统的复原光谱,证明了微型化系统的可行性。该微型化系统相对于传统傅立叶变换光谱仪,具有体积小,稳定性好的优点,可用于在线监测。
摘要
HTML全文
PDF 3187KB