留言板

尊敬的读者、作者、审稿人, 关于本刊的投稿、审稿、编辑和出版的任何问题, 您可以本页添加留言。我们将尽快给您答复。谢谢您的支持!

姓名
邮箱
手机号码
标题
留言内容
验证码

硅基光栅型法布里珀罗-微环耦合谐振腔的传输特性研究

李拓航 周笑艳 张林

李拓航, 周笑艳, 张林. 硅基光栅型法布里珀罗-微环耦合谐振腔的传输特性研究[J]. 188bet网站真的吗 . doi: 10.37188/CO.2025-0129
引用本文: 李拓航, 周笑艳, 张林. 硅基光栅型法布里珀罗-微环耦合谐振腔的传输特性研究[J]. 188bet网站真的吗 . doi: 10.37188/CO.2025-0129
LI Tuohang, ZHOU Xiaoyan, ZHANG Lin. Study on the transmission characteristics of Silicon-Based grating-type fabry-perot-microring coupled resonators[J]. Chinese Optics. doi: 10.37188/CO.2025-0129
Citation: LI Tuohang, ZHOU Xiaoyan, ZHANG Lin. Study on the transmission characteristics of Silicon-Based grating-type fabry-perot-microring coupled resonators[J]. Chinese Optics. doi: 10.37188/CO.2025-0129

硅基光栅型法布里珀罗-微环耦合谐振腔的传输特性研究

cstr: 32171.14.CO.2025-0129
基金项目: 中文基金
详细信息
    作者简介:

    李拓航(2001—),男,内蒙古赤峰人,硕士,研究方向为光芯片设计。E-mail:hanghang@tju.edu.cn

    周笑艳(1990—),女,副教授,研究方向为量子光子学、硅基混合集成光子器件等。E-mail:xiaoyan_zhou@tju.edu.cn

    张 林(1978—),男,教授,研究方向包括光子学系统、非线性光学等。E-mail:lin_zhang@tju.edu.cn

  • 中图分类号: TN248

Study on the transmission characteristics of Silicon-Based grating-type fabry-perot-microring coupled resonators

Funds: Supported by
More Information
  • 摘要:

    本文针对一种由微环谐振腔与法布里-珀罗腔耦合构成的集成结构,开展了传输光谱特性的理论与实验研究。该结构通过在单边耦合型微环的直波导中引入光栅反射镜形成法布里-珀罗腔,在双谐振结构中实现了新颖的多腔耦合传输谱形。成功建立系统理论模型后,分析了多腔耦合传输谱形出现的条件并进行了器件参数优化。在硅基芯片上成功制备了光栅型法布里珀罗-微环耦合谐振腔器件,首次观测到与理论预测一致的多腔耦合传输谱形,包括嵌套类电磁感应透明和双法诺共振线形。实验结果表明,在3.43 dB/cm的波导损耗条件下,电磁感应透明的中心峰可实现1.40×104的品质因子,双法诺共振的斜率最高可达到37.70 dB/nm。研究结果为集成光子耦合谐振系统的机理理解提供了新视角,并为实现高集成度、高性能的光子器件平台提供了可行技术路径,在高灵敏光学传感、窄带滤波及高速调制等领域具有重要的应用潜力。

     

  • 图 1  FP-MR结构示意图

    Figure 1.  Schematic of the FP-MR structure

    图 2  微环处于不同耦合状态的FP-MR结构的透射谱。(a) 微环处于前耦合状态(tMR=0.03、tMR=0.06)与临界耦合状态(tMR=0.10);(b) 微环处于过耦合状态

    Figure 2.  Transmission spectra of the FP-MR structure for different microring coupling regimes. (a) Under-coupled (tMR = 0.03, 0.06) and critically coupled (tMR = 0.10); (b) Over-coupled

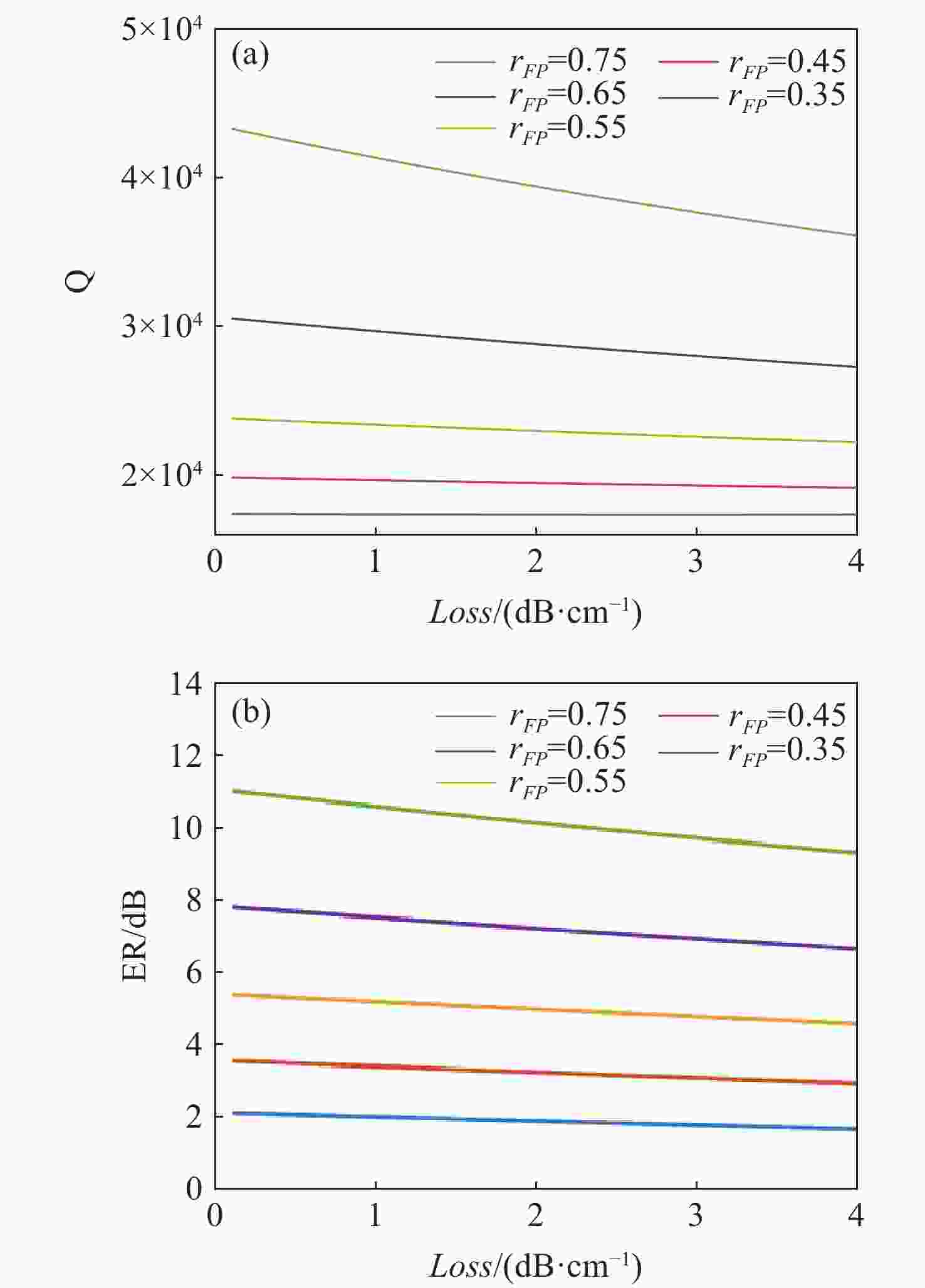
    图 3  波导损耗3 dB/cm时,不同FP腔反射系数下中心透射峰性能随微环耦合系数的变化。(a) Q值;(b) 消光比

    Figure 3.  Performance of the central transmission peak versus the microring coupling coefficient at a waveguide loss of 3 dB/cm for different FP cavity reflection coefficients. (a) Q factor; (b) extinction ratio (ER)

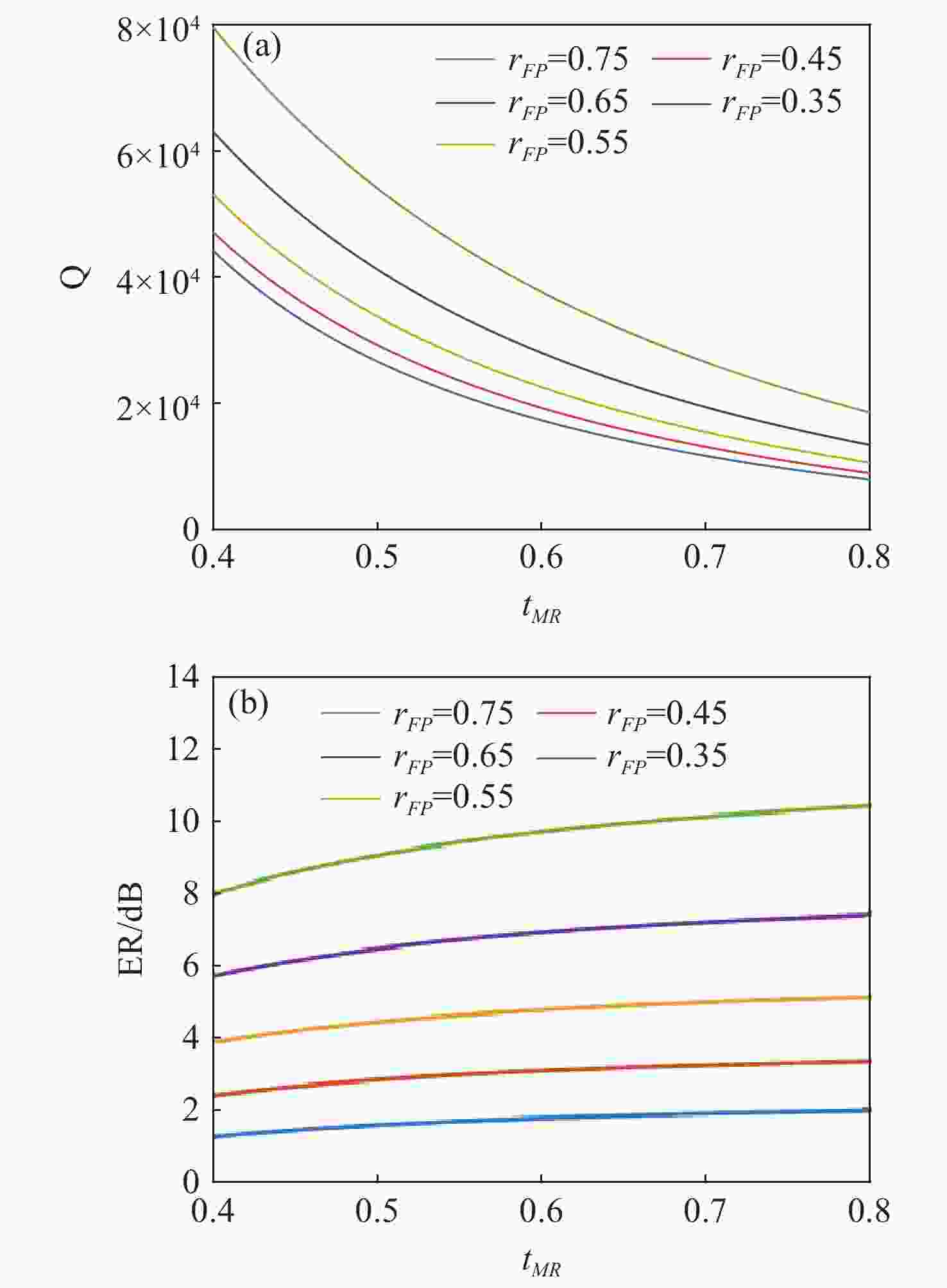
    图 4  微环耦合系数为0.6时,不同波导损耗下中心透射峰性能随微环耦合系数的变化。(a) Q值;(b) 消光比

    Figure 4.  Performance of the central transmission peak under different waveguide losses, as a function of the microring coupling coefficient, with tMR=0.6. (a) Q factor; (b) extinction ratio. (ER)

    图 5  光栅FP-MR几何参数。(a) 截面图;(b) 俯视图

    Figure 5.  Geometrical parameters of the grating-type MR–FP. (a) cross-sectional view; (b) top view

    图 6  锥形波导示意图与端面模场图

    Figure 6.  Schematic of the tapered waveguide and the end-facet mode field distribution.

    图 7  测试版图总览

    Figure 7.  Overview of the test layout

    图 8  器件的制备流程

    Figure 8.  Device fabrication process

    图 9  曝光后不同温度烘烤的侧壁表征

    Figure 9.  Sidewall characterization after post-exposure baking at different temperatures.

    图 10  FP-MR器件电镜图。(a) 微环侧壁;(b) 光栅反射结构

    Figure 10.  Scanning electron microscope images of the MR–FP device. (a) microring sidewall; (b) grating reflector structure

    图 11  实验装置示意图

    Figure 11.  Schematic of the experimental setup

    图 12  使用透镜光纤耦合得到的透射谱

    Figure 12.  Transmission spectra of the FP cavity measured with Lensed-fiber coupling

    图 13  测试与拟合结果。(a) 单FP腔;(b) FP-MR器件

    Figure 13.  Measurement and fitting results. (a) Single FP cavity; (b) FP-MR device

    Baidu
  • [1] JALALI B, FATHPOUR S. Silicon photonics[J]. Journal of Lightwave Technology, 2006, 24(12): 4600-4615. doi: 10.1109/JLT.2006.885782
    [2] SHEKHAR S, BOGAERTS W, CHROSTOWSKI L, et al. Roadmapping the next generation of silicon photonics[J]. Nature Communications, 2024, 15(1): 751. doi: 10.1038/s41467-024-44750-0
    [3] SIEW S Y, LI B, GAO F, et al. Review of silicon photonics technology and platform development[J]. Journal of Lightwave Technology, 2021, 39(13): 4374-4389. doi: 10.1109/JLT.2021.3066203
    [4] BOGAERTS W, DE HEYN P, VAN VAERENBERGH T, et al. Silicon microring resonators[J]. Laser & Photonics Reviews, 2012, 6(1): 47-73. doi: 10.1002/lpor.201100017
    [5] YAO ZH SH, WU K Y, TAN B X, et al. Integrated silicon photonic microresonators: emerging technologies[J]. IEEE Journal of Selected Topics in Quantum Electronics, 2018, 24(6): 5900324.
    [6] LI X Y, XIONG X Zh, SONG Y, et al. High-performance refractive index sensing based on Fano resonances in a subwavelength grating waveguide microring resonator[J]. Journal of Lightwave Technology, 2025, 43(15): 7407-7414. doi: 10.1109/JLT.2025.3569796
    [7] ZHANG Q N, WU K Y, POON A W, et al. Polarization entanglement generation in silicon nitride waveguide-coupled dual microring resonators[J]. Optics Express, 2024, 32(13): 22804-22816. doi: 10.1364/OE.518985
    [8] XIAO SH J, KHAN M H, SHEN H, et al. Multiple-channel silicon micro-resonator based filters for WDM applications[J]. Optics Express, 2007, 15(12): 7489-7498. doi: 10.1364/oe.15.007489
    [9] DAI T G, SHEN A, WANG G CH, et al. Bandwidth and wavelength tunable optical passband filter based on silicon multiple microring resonators[J]. Optics Letters, 2016, 41(20): 4807-4810. doi: 10.1364/OL.41.004807
    [10] CHAN D W U, WU X, ZHANG Z Y, et al. C-band 67-GHz silicon photonic microring modulator for dispersion-uncompensated 100-Gbaud PAM-4[J]. Optics Letters, 2022, 47(11): 2935-2938. doi: 10.1364/OL.460602
    [11] CHAN D W U, TSANG H K. Sub-volt forward-biased silicon microring modulator at 210 Gb/s[J]. Optics Letters, 2024, 49(22): 6477-6480. doi: 10.1364/OL.535202
    [12] YAN H, HUANG L J, XU X CH, et al. Unique surface sensing property and enhanced sensitivity in microring resonator biosensors based on subwavelength grating waveguides[J]. Optics Express, 2016, 24(26): 29724-29733. doi: 10.1364/OE.24.029724
    [13] YANG M X, HAN SH SH, GAO H X, et al. High-sensitivity and wide-range refractive index sensing based on the envelope spectrum of the subwavelength grating waveguide racetrack microring resonator[J]. Optics Letters, 2024, 49(19): 5603-5606. doi: 10.1364/OL.536732
    [14] PITRIS S, MITSOLIDOU C, MORALIS-PEGIOS M, et al. 400 Gb/s silicon photonic transmitter and routing WDM technologies for glueless 8-socket chip-to-chip interconnects[J]. Journal of Lightwave Technology, 2020, 38(13): 3366-3375. doi: 10.1109/JLT.2020.2977369
    [15] XIA F N, ROOKS M, SEKARIC L, et al. Ultra-compact high order ring resonator filters using submicron silicon photonic wires for on-chip optical interconnects[J]. Optics Express, 2007, 15(19): 11934-11941. doi: 10.1364/oe.15.011934
    [16] CHEN P X, CHEN S T, GUAN X W, et al. High-order microring resonators with bent couplers for a box-like filter response[J]. Optics Letters, 2014, 39(21): 6304-6307. doi: 10.1364/OL.39.006304
    [17] XU Q F, SHAKYA J, LIPSON M. Direct measurement of tunable optical delays on chip analogue to electromagnetically induced transparency[J]. Optics Express, 2006, 14(14): 6463-6468. doi: 10.1364/oe.14.006463
    [18] ZHOU X Y, ZHANG L, ARMANI A M, et al. An integrated photonic gas sensor enhanced by optimized Fano effects in coupled microring resonators with an athermal waveguide[J]. Journal of Lightwave Technology, 2015, 33(22): 4521-4530. doi: 10.1109/JLT.2015.2478137
    [19] DOTAN I E, SCHEUER J. Fano resonances in vertically and horizontally coupled micro-resonators[J]. Optics Communications, 2012, 285(16): 3475-3482. doi: 10.1016/j.optcom.2012.04.004
    [20] QIU CH, YU P, HU T, et al. Asymmetric Fano resonance in eye-like microring system[J]. Applied Physics Letters, 2012, 101(2): 021110. doi: 10.1063/1.4735258
    [21] YI H X, CITRIN D S, ZHOU ZH P. Highly sensitive silicon microring sensor with sharp asymmetrical resonance[J]. Optics Express, 2010, 18(3): 2967-2972. doi: 10.1364/OE.18.002967
    [22] TU ZH R, GAO D SH, ZHANG M L, et al. High-sensitivity complex refractive index sensing based on Fano resonance in the subwavelength grating waveguide micro-ring resonator[J]. Optics Express, 2017, 25(17): 20911-20922. doi: 10.1364/OE.25.020911
    [23] CHAO C Y, GUO L J. Biochemical sensors based on polymer microrings with sharp asymmetrical resonance[J]. Applied Physics Letters, 2003, 83(8): 1527-1529. doi: 10.1063/1.1605261
    [24] GU L P, FANG H L, LI J T, et al. A compact structure for realizing Lorentzian, Fano, and electromagnetically induced transparency resonance lineshapes in a microring resonator[J]. Nanophotonics, 2019, 8(5): 841-848. doi: 10.1515/nanoph-2018-0229
    [25] HEEBNER J E, WONG V, SCHWEINSBERG A, et al. Optical transmission characteristics of fiber ring resonators[J]. IEEE Journal of Quantum Electronics, 2004, 40(6): 726-730. doi: 10.1109/JQE.2004.828232
    [26] VLASOV Y A, MCNAB S J. Losses in single-mode silicon-on-insulator strip waveguides and bends[J]. Optics Express, 2004, 12(8): 1622-1631. doi: 10.1364/opex.12.001622
    [27] XUAN Y, LIU Y, VARGHESE L T, et al. High-Q silicon nitride microresonators exhibiting low-power frequency comb initiation[J]. Optica, 2016, 3(11): 1171-1180. doi: 10.1364/OPTICA.3.001171
  • 加载中
图(13)
计量
  • 文章访问数:  190
  • HTML全文浏览量:  121
  • PDF下载量:  8
  • 被引次数: 0
出版历程
  • 网络出版日期:  2026-02-09

目录

    /

    返回文章
    返回
    Baidu
    map