当期目录

原创文章
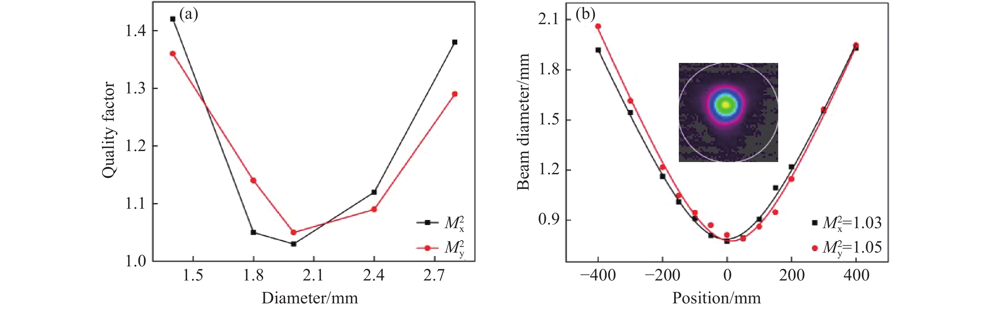
射频波导CO2金宝搏188软件怎么用 放大技术
董祝君, 张冉冉, 周益平, 曾文彬, 赵崇霄, 黄盼, 郭劲, 陈飞, 潘其坤
2026, 19(2): 251-257. doi: 10.37188/CO.2025-0113
摘要:

面向极紫外光刻光源对高功率、高光束质量CO2种子金宝搏188软件怎么用 的应用需求,本文开展了基于射频波导体制的CO2金宝搏188软件怎么用 放大技术研究。一方面,分析了射频波导放大器的静态插入损耗与输出光束质量随入射光参数的变化关系,确定了最佳模式匹配参数。另一方面,建立了多级射频波导放大仿真模型,理论计算了工作气压与放电泵浦功率等参数对放大倍率的影响规律。在实验中,引入增益介质调控技术,实现了金宝搏188软件怎么用 系统放大性能的优化。实验结果表明:在2.5 m的波导长度下,传输效率达到了91.4%,输出光束在水平方向与竖直方向上的光束质量因子分别为1.03与1.05;二级射频波导放大系统的总放大倍率达68倍,最终获得了重复频率为50 kHz、脉冲宽度为20 ns、平均功率为17.1 W的高光束质量的CO2金宝搏188软件怎么用 输出。

薄膜铌酸锂微环高精度微波光子温度传感器
王慧婕, 常祺伟, 游亚军, 杨绪磊, 贺文君, 何剑, 刘毅, 丑修建
2026, 19(2): 258-266. doi: 10.37188/CO.2025-0121
摘要:

为实现高精度温度传感,本文提出了一种基于高品质因子薄膜铌酸锂微环谐振器与微波光子读取技术的温度传感器。该系统中,薄膜铌酸锂微环谐振器(线宽为2.87 pm,Q值高达105)同时作为温度感知单元和微波光子滤波器的核心处理部件,利用热光效应将温度变化转换为光学谐振波长偏移,并创新性地借助微波光子技术将其线性映射为微波通带频率变化,采用矢量网络分析仪对微波频率响应进行精确探测,通过高精度频率响应变化实现温度测量,最终建立了温度与频率偏移量之间的定量关系模型。与传统直接检测光学波长变化的方法相比,微波光子学读取技术通过将微小的光学谐振波长偏移量线性地转换为微波通带中心频率的变化,突破了光谱仪固有的波长检测分辨率限制。实验结果表明,传感器灵敏度达27 MHz/°C,分辨率可达0.002 °C,在0.01 °C实验温度变化条件下,保持良好的线性响应。本研究有效解决了传统光学测温中灵敏度与分辨率之间的权衡问题,为片上集成高精度温度传感提供了新方案。

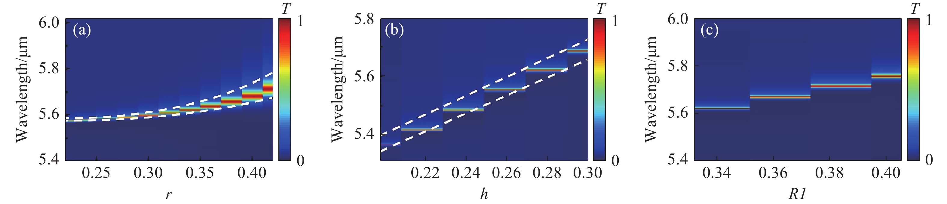
基于法诺共振的全介质硫系化合物超表面高性能中红外折射率传感
许诺, 黄虎钧, 郭万祺, 姜湖, 王莹莹, 张培晴, 沈祥, 戴世勋, 宋宝安
2026, 19(2): 267-276. doi: 10.37188/CO.2025-0158
摘要:

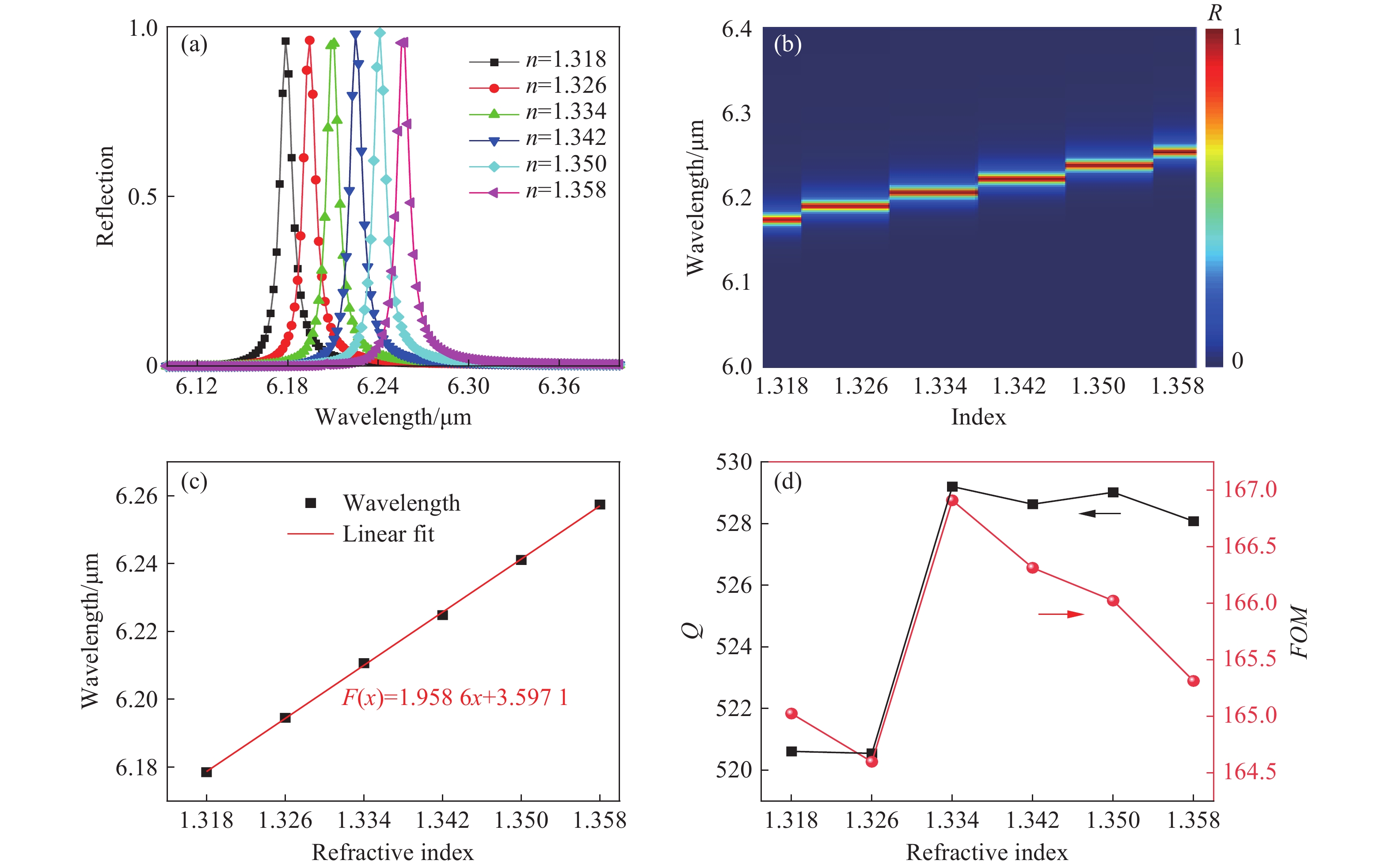
本文提出一种基于全介质超表面的高性能中红外折射率传感器,工作波长约为5.36 µm。超表面单元结构由四个对称分布的Sb2Se3半椭圆结构与一个中心Sb2Se3圆柱体周期性排列构成,以BaF2为衬底。采用时域有限差分法进行数值模拟,获得结构的反射光谱。进一步分析共振峰处的电磁场矢量分布,并探究几何参数对光谱的影响。反射光谱中观察到的法诺共振现象通过准连续域束缚态理论予以解释。通过对几何参数进行系统性扫描,重点考察在固定谐振峰强度条件下,各结构参数对器件品质因子与半高全宽的影响规律,比较不同方向调整参数时光谱线宽的响应差异。进一步通过改变背景折射率,研究了基于法诺共振的折射率传感特性。结果表明,该传感器最高灵敏度达1985 nm/RIU,最大品质因子为1096.6,优值达400。与现有报道的中红外折射率传感器相比,在灵敏度、品质因子及优质等关键性能上均展现出明显优势。本文研究为发展基于硫系化合物的高性能中红外光学传感器提供了有效的设计思路与性能参考。

微区域角分辨光谱测量系统
吴祖伟, 高云, 朱鹏飞, 章文卓, 王磊
2026, 19(2): 277-287. doi: 10.37188/CO.2025-0148
摘要:

为研究表面等离激元纳米结构的微区域光学响应,本文研制了一套基于同轴转臂的微区域角分辨光谱测量系统。该系统设计了一种基于有限共轭构型的微区域远程激发与收集光路模型,实现了以32 μm直径的微区域光斑入射;搭建了基于同轴转臂的角分辨机械系统,实现了6.9° 至90° 的大范围定向角度激发。性能测试表明,系统稳定性高,最小角度分辨率达0.12°。通过对一维光栅和二维周期纳米结构的反射光谱采集实验,进一步验证了系统的可靠性,证明了微区域光斑所带来的优势,为微纳结构的角分辨光谱表征提供了有效的技术手段。

融合图像与频域特征金宝搏188软件怎么用 切割挂渣量化预测
翟杰, 芦宇, 王鑫鑫, 夏元钦
2026, 19(2): 288-298. doi: 10.37188/CO.2025-0125
摘要:

为实现金宝搏188软件怎么用 切割熔渣附着精准量化与工艺优化,本研究探索一种基于图像与频域特征的卷积神经网络(CNN)预测方法。构建包含2160张1 mm厚304不锈钢切割端面图像数据集。基于该数据集,采用高斯模糊、自适应阈值及形态学闭运算等图像处理算法,精确提取了挂渣的面积、高度及周长,将它们作为量化特征。为评估不同特征预测潜力,采用RGB图像及其经二值化处理小波包分解(WPD)频域图像作为输入,并系统对比了VGG16、ResNet50和DenseNet121三种CNN架构回归性能。结果表明,在RGB图像输入路径下,VGG16网络对挂渣面积和高度预测最为精准,其平均绝对误差(MAE)分别达到0.019 mm2和0.044 mm。而对于更能反映动态过程状态的轮廓周长特征,WPD频域输入路径的预测效果显著提升,MAE降至0.094 mm,归一化平均误差(nMAE)为5.25%,且其预测值与真实值间拟合斜率与决定系数R2分别为0.83与0.86,呈现强线性关系。本研究证实,VGG16网络在熔渣特征预测中具备良好适用性,且WPD频域特征能更有效地捕捉金宝搏188软件怎么用 切割过程瞬态信息,所提出方法可作为工艺智能评估与闭环优化的可靠量化工具。

高对比度便携式眼底相机
陈隆, 林哲凯, 郑庚泳, 何梓熙, 曾亚光, 王雪花, 韩定安
2026, 19(2): 299-307. doi: 10.37188/CO.2025-0137
摘要:

针对传统便携式免散瞳眼底相机存在照明与成像光路相互制约、角膜杂散光干扰严重、视网膜不同区域难以同时清晰成像等问题,本文提出一种新型眼底光学系统设计方案。该方案采用四点光源矩形布局与分区域亮度可调的照明方式,在3.2 mm瞳孔直径下使角膜杂散光较传统方法减少91.56%,并可实现视盘与黄斑区域的高对比度同步成像。系统通过照明光路与成像光路分离设计,结合线栅与液晶叠层偏振技术,有效抑制了光学表面反射杂光。在230.4 mm×90 mm紧凑型结构内同步实现53°大视场、±20 D屈光补偿,及6 μm的眼底分辨率。本系统通过单次拍摄人眼即可获得视盘与黄斑细节清晰、对比度优良的视网膜图像。

抛物面-棱镜型中阶梯光栅光谱仪设计
苏渤皓, 刘建利, 王玮, 巴音贺希格
2026, 19(2): 308-316. doi: 10.37188/CO.2025-0140
摘要:

针对传统中阶梯光栅光谱仪高分辨率与微型化难以兼容的技术难题,本文提出了一种紧凑型中阶梯光栅光谱仪设计方法。该设计基于交叉Czerny-Turner型光路结构,采用透射棱镜作为交叉色散元件,通过正交色散分离不同级次光谱的同时结合反向离轴抛物面聚焦镜消除棱镜引入的像差,以实现空间布局小型化。本文对中阶梯光栅及色散棱镜参数进行设计建模,并由光程像差理论分析了聚焦光路的像差特性。仿真结果表明,抛物面-棱镜型中阶梯光栅光谱仪光谱范围为450~650 nm,数值孔径为0.05,分辨率可达0.06 nm,并且在公差范围合理情况下,系统体积仅有80 mm×44 mm×18 mm。基本能够满足便携式、高精度光谱检测的使用要求。

1064 nm/532 nm皮秒金宝搏188软件怎么用 对可见光CCD干扰损伤效应研究
韩仁杰, 黄晨, 郑长彬, 王佳敏, 孙俊杰, 陈毅, 于晶华, 张逸文, 张新, 赵振, 陈飞
2026, 19(2): 317-324. doi: 10.37188/CO.2025-0116
摘要:

随着短脉冲金宝搏188软件怎么用 技术的快速发展,CCD图像传感器受到的潜在威胁呈现区别于传统连续/长脉冲金宝搏188软件怎么用 的新特征。为了探究不同波长短脉冲金宝搏188软件怎么用 致CCD图像传感器干扰损伤的影响机制和作用原理,选用波长为1064 nm、532 nm,脉宽为30 ps,重复频率为1 Hz的皮秒金宝搏188软件怎么用 对可见光CCD进行干扰损伤实验研究。通过光学显微镜、图像传感器自身成像观察CCD干扰损伤不同阶段的辐照效能。分析了短脉冲金宝搏188软件怎么用 对CCD干扰损伤的机理,对比了两种波长金宝搏188软件怎么用 辐照CCD不同阶段的成像图像、微观形貌以及阈值。结果表明,对于可见光CCD,波长为532 nm金宝搏188软件怎么用 比波长为1064 nm的微透镜层贯穿能力更强,波长532 nm金宝搏188软件怎么用 比波长1064 nm金宝搏188软件怎么用 干扰阈值低1−2个数量级,点损和线损阈值低2个数量级。

摆镜面形在温度梯度场中的动态响应特性
张家齐, 夏茂斌, 郭艺博, 郭旭
2026, 19(2): 325-336. doi: 10.37188/CO.2025-0111
摘要:

飞机起飞到抵达巡航高度的过程中,外界环境温度会发生剧烈变化,由于内部摆镜转台在步进扫描工作模式下周期性快速启停,驱动电机和轴承会持续产生热量,导致转台整体形成温度梯度,进而对摆镜面形产生影响,最终影响整个光学系统的成像质量。针对这一问题,本文建立了摆镜转台热平衡方程,并结合实际热边界条件,构建热固耦合有限元分析模型。利用该模型,可以优化摆镜转台和粘接层的设计。本文通过分析摆镜在复杂温度环境变化及步进扫描工况下的面形变化规律和胶层参数的关系,得到胶层厚度为1 mm时,摆镜面形最优精度RMS为43.54 nm。在地面温箱中模拟起飞时温度变化和工作状态,检测摆镜面形。检测结果与分析方法所得仿真结果相比,误差小于10%,验证了该方法可用于评估摆镜面形在温度梯度场中的动态响应特性,有利于摆镜粘接层和相关部件的设计。

基于波前结构函数的扩展目标大气相干长度测量
张峻瑞, 赵玉玲, 杨乐强, 刘杰, 王文宇, 李正炜, 王建立, 陈涛
2026, 19(2): 337-346. doi: 10.37188/CO.2024-0215
摘要:

为测量大气相干长度这一表征大气湍流对自由空间光通信链路性能影响的重要指标,提出了一种将扩展目标作为信息源的新策略,即结合波前结构函数法与扩展目标偏移量算法直接对大气相干长度进行估计。本文首先回顾了现有主流算法的原理及研究现状,分析了现有算法对导星目标的依赖性及其在水平链路应用中的局限性。在此基础上,提出一种将改进归一化互相关算法与波前结构函数法相结合的测量方案,用于扩展目标场景估计大气相干长度。与传统测量方法相比,该方法能够在水平链路基于扩展目标条件下有效开展测量,同时显著减少了系统的复杂度和设备成本。为验证所提方法的有效性与测量精度,本文设计开展了仿真与实验研究。结果表明,该方法测得的相干长度值与差分像运动监测器法及波前相位方差法高度一致,测量精度误差约为4%。这一结果证明了该方法在大气相干长度评估中的有效性,可为提升自由空间金宝搏188软件怎么用 通信的可靠性提供有效参考。

基于成像形态学特征的电离粒子甄别与提取
徐守龙, 王治林, 黄有骏, 李卿鑫, 邹树梁
2026, 19(2): 347-357. doi: 10.37188/CO.2025-0134
摘要:

为避免脉冲堆积效应,改善辐射电离粒子的甄别效率,本文利用 CMOS 有源像素传感器对电离粒子的光学响应特性进行分析,提出了一种基于成像形态学特征的粒子甄别方法。通过对比分析不同电离粒子响应事件特征,阐明增益及积分时间的调控机制,并对甄别效果进行验证。研究结果表明,α粒子响应事件的像素个数、平均像素值、矩形度、凸度与紧致度等5个特征参数与β和γ粒子响应事件存在显著差异。β和γ粒子响应事件在像素个数、矩形度和凸度等特征参数相似,但可通过对比平均像素值或紧致度加以区分。利用响应事件所包含的像素个数来甄别α事件的准确率大于99%,利用平均像素值甄别β、γ事件的准确率大于82%。本文研究成果为混合辐射场的电离粒子甄别提供了新的方法和研究基础,为发展核环境电离粒子甄别技术,以及抗辐射噪声干扰技术提供新的路径与理论支撑。

塔式太阳能电站定日镜瞄准策略优化方法
田英杰, 魏秀东, 张全胜, 张亚南, 余强
2026, 19(2): 358-366. doi: 10.37188/CO.2025-0128
摘要:

为了使吸热器表面能流呈均匀分布,提出了一种塔式太阳能电站定日镜瞄准策略优化方法。首先,基于全场定日镜瞬时光学效率的计算结果对镜场进行分区,对不同分区的定日镜设计不同的瞄准因子;然后,根据瞄准因子计算定日镜的光斑尺寸,通过光斑尺寸与吸热器尺寸比值确定光斑相对大小,并规划瞄准点分布;最后,利用遗传算法优化定日镜瞄准点分布,实现吸热器表面均匀的能流分布。以百兆瓦级塔式光热电站为例,对定日镜瞄准策略进行优化,在典型日中春分日条件下吸热器表面能流密度峰值由赤道瞄准的1.94 MW/m2降低到1.01 MW/m2,均匀性提高53.29%,截断因子仅减小0.86%,在保证截断效率的同时确保了吸热器的高效安全运行。

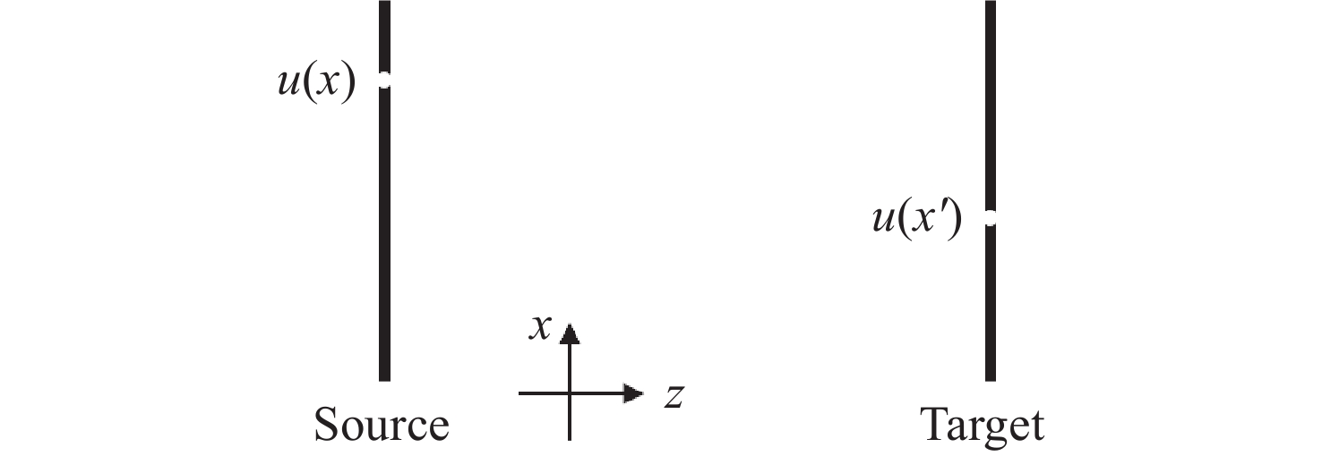
基于缩放卷积的瑞利-索末菲衍射积分的独立采样与补长方法
杨晨, 付喜宏, 付鑫鹏,
2026, 19(2): 367-381. doi: 10.37188/CO.EN-2025-0028
摘要:

基于已有的缩放卷积方法本文提出了一种新颖的瑞利-索末菲衍射积分快速数值计算方法。该方法实现了对离轴且输入面和观察面的采样间隔与采样数量均不等的一般情形的快速计算,并且可以任意调整脉冲响应函数的采样间隔从而实现对计算负载与计算精度的手动取舍。这种与插值等价的方法的误差主要来自脉冲响应函数的采样矩阵在其周期延拓边界上的不连续性,本文针对这一点提出了补长函数的概念及其构造方法,并评估了补长函数对提高计算精度的效果。通过数值模拟验证了所提方法的可行性,并在简化场景里与直接积分法作了对比。结果表明所提出方法在非近场衍射下对输入面与观察面采样间隔不等的一般情形具有良好的计算精度,且在衍射距离很大时,虽然其计算精度无法超过直接积分法,但可以在几乎不影响计算精度的前提下,大幅降低计算量。该方法为计算全息等领域提供了在非近场情形下较为通用的衍射数值计算方法。

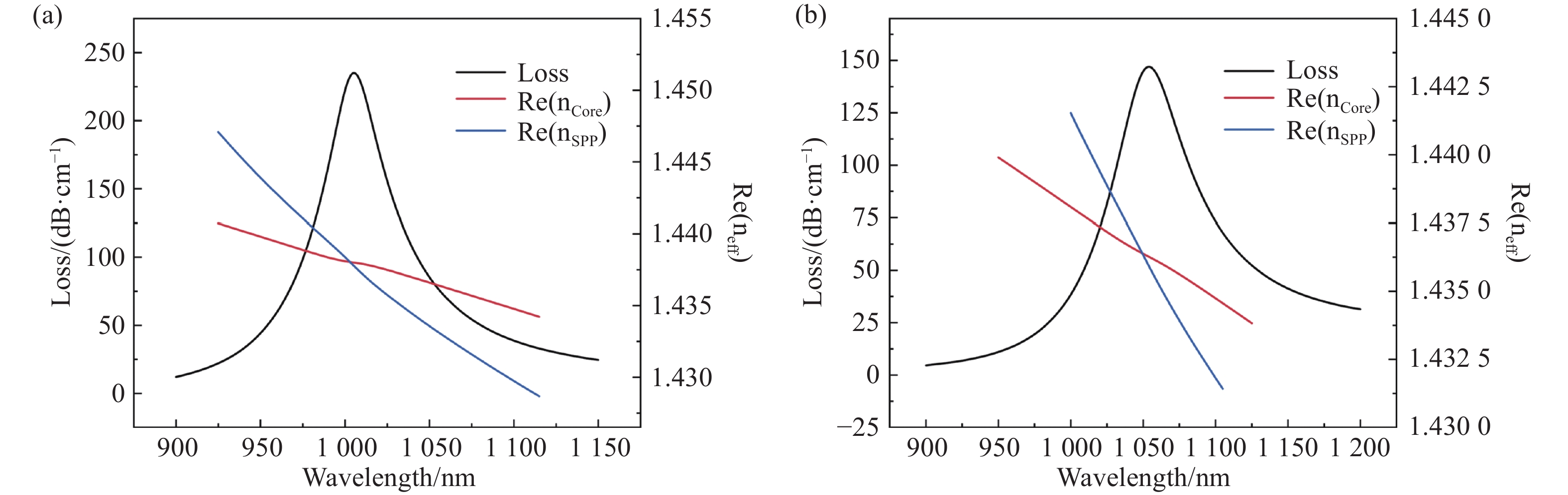
金纳米线偏置芯光子晶体光纤表面等离子体共振温度与折射率传感
侯尚林, 董洁, 杨旭东, 刘庆敏, 谢彩健, 武刚, 晏祖勇
2026, 19(2): 382-394. doi: 10.37188/CO.EN-2025-0034
摘要:

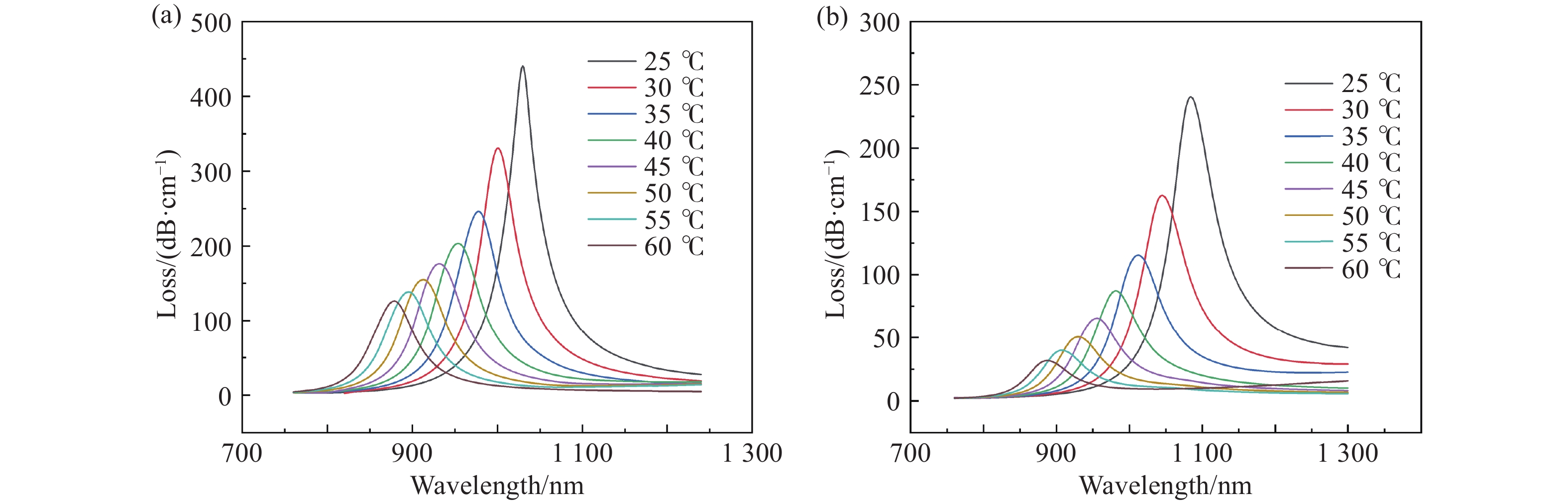
针对现有光子晶体光纤表面等离子体共振(PCF-SPR)传感器存在的金属薄膜涂覆工艺复杂、单参数检测集成度低等问题,本文提出一种基于金纳米线集成偏置芯PCF-SPR的双参数传感器。该传感器突破传统孔内镀膜或金属薄膜结构,通过化学气相沉积(CVD)将金纳米线直接附着于光纤包层,避免了镀膜不均问题并显著简化制备工艺。通过优化非对称偏置芯光纤结构并利用金纳米线的强局域场增强效应,该传感器在双偏振模式下实现了温度(25~60 °C)与折射率(1.31~1.40)的高灵敏度同步检测。仿真实验表明:x偏振模式可实现1.31~1.40折射率检测,最大波长灵敏度与振幅灵敏度分别达14800 nm/RIU和−1724.25 RIU−1,最高折射率分辨率为6.75×10−6 RIU;y偏振模式折射率检测范围达1.34~1.40,最大波长灵敏度与振幅灵敏度分别为28400 nm/RIU和−1298.93 RIU−1,最高折射率分辨率为3.52×10−6 RIU。在25~60 °C温度传感中,传感器表现出7.8 nm/°C的波长灵敏度与1.38×10−6 °C的高分辨率。该设计通过金纳米线与偏置芯结构的协同作用,在简化制备工艺的同时实现了多参数检测,为生化监测、环境传感等领域的集成化应用提供了新思路。

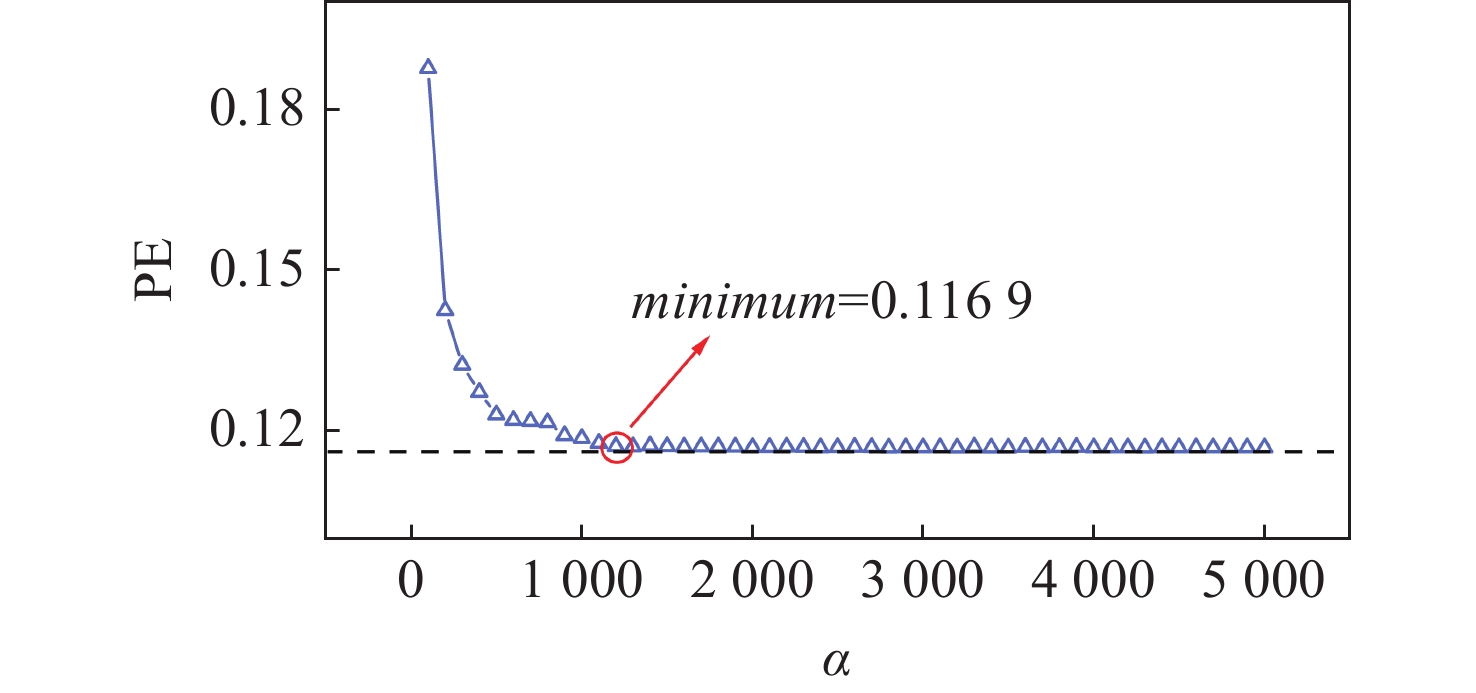
基于改进EFA和自适应SVMD的干涉型光纤传感器噪声抑制方法
彭梦帆, 周次明, 潘震, 蒋涵, 李傲, 王天意, 刘涵洁, 范典
2026, 19(2): 395-406. doi: 10.37188/CO.EN-2025-0038
摘要:

针对现有的噪声抑制策略无法同时降低固有系统噪声和外部环境噪声的问题,本文提出了一种基于改进椭圆拟合算法(Ameliorated Ellipse Fitting Algorithm, AEFA)和自适应连续变分模分解(Adaptive Successive Variational Mode Decomposition, ASVMD)的噪声抑制方法。该算法通过AEFA去除干涉信号中与直流、交流分量紧密耦合的系统噪声,得到仅含环境噪声的相位信号;随后针对该相位信号,采用ASVMD实现环境噪声的高效抑制,并通过排列熵对ASVMD的分解结果进行优化;最终利用相关系数从优化后的分解结果中过滤出纯净的目标相位信号。实验结果表明,AEFA和ASVMD相结合可有效地抑制系统和环境噪声。在处理50 Hz振动信号时,所提出的方案实现了17.81 dB的降噪和35.14 μrad/√Hz的相位分辨率。鉴于其出色的噪声抑制性能,该方案在高性能干涉传感系统中具有巨大的应用潜力。

双轴相位映射的二维光栅栅线参数标校
滕海瑞, 梁旭, 金思宇, 孙宇佳, 李文昊, 刘兆武
2026, 19(2): 407-420. doi: 10.37188/CO.EN-2025-0020
摘要:

二维光栅是平面光栅干涉仪实现高精度、多维位移测量的核心器件,其刻线密度和栅线正交性误差的检测与标校,一方面可提高光栅干涉仪的定位精度,另一方面可为二维光栅的制作提供反馈指导。本文提出一种利用正交外差金宝搏188软件怎么用 干涉仪同时标定二维光栅刻线密度和栅线正交性误差的方法,以待测光栅搭建二维光栅干涉仪,双轴金宝搏188软件怎么用 干涉仪为其提供位移参考,建立光栅干涉与金宝搏188软件怎么用 干涉的相位映射关系,通过任意两次位移获取的干涉相位信息,即可解算上述3项参数,同时又可获取光栅安装误差。使用1200 gr/mm的二维光栅验证了提出方法的可行性,X、Y方向刻线密度的标准差分别为0.012 gr/mm和0.014 gr/mm,栅线正交性误差的标准差为0.004°,安装误差标准差为0.002°。与原子力显微镜法进行了精度比对,X、Y方向刻线密度的一致性优于0.03 gr/mm、0.06 gr/mm,正交性误差优于0.008°。实验结果表明,本文提出的方法可简单、高效的应用于二维光栅的栅线参数标定。

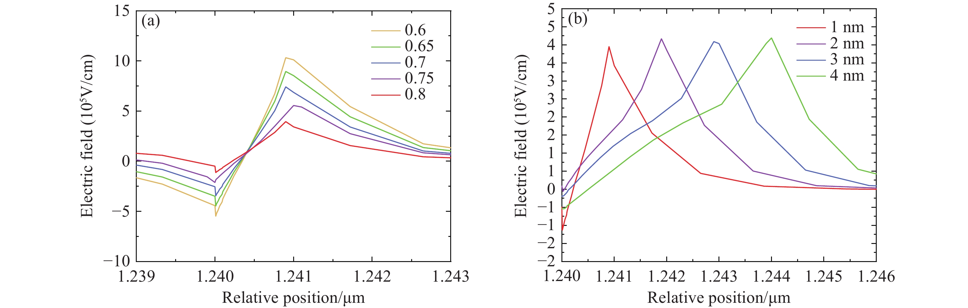
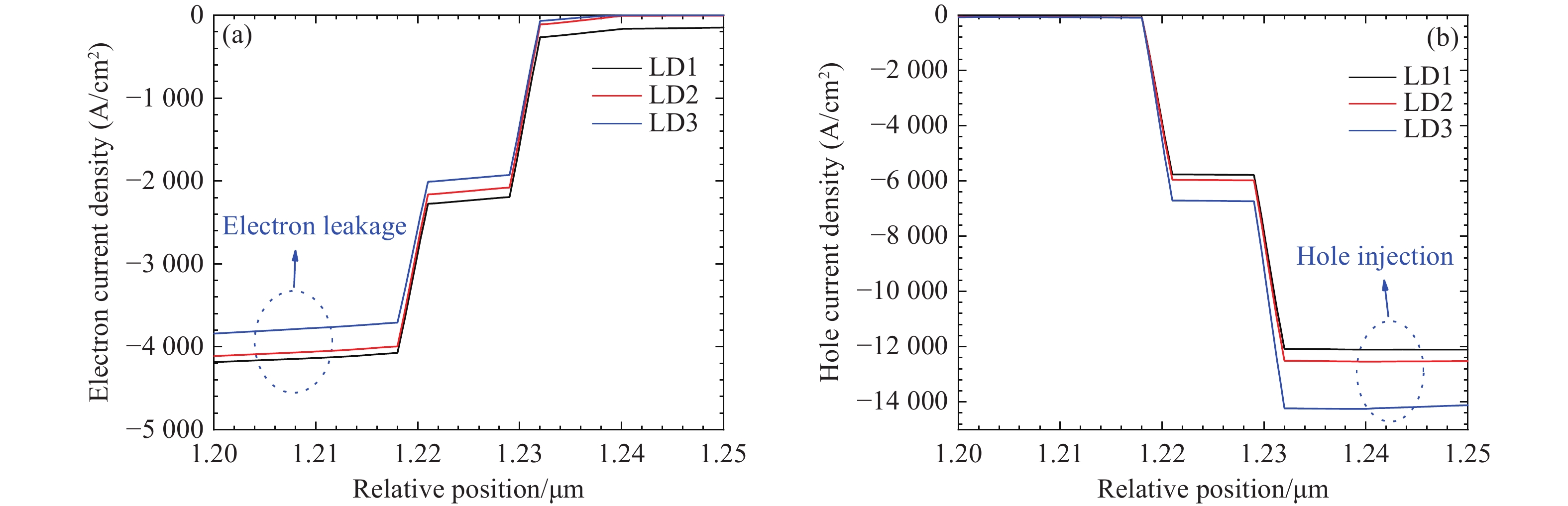
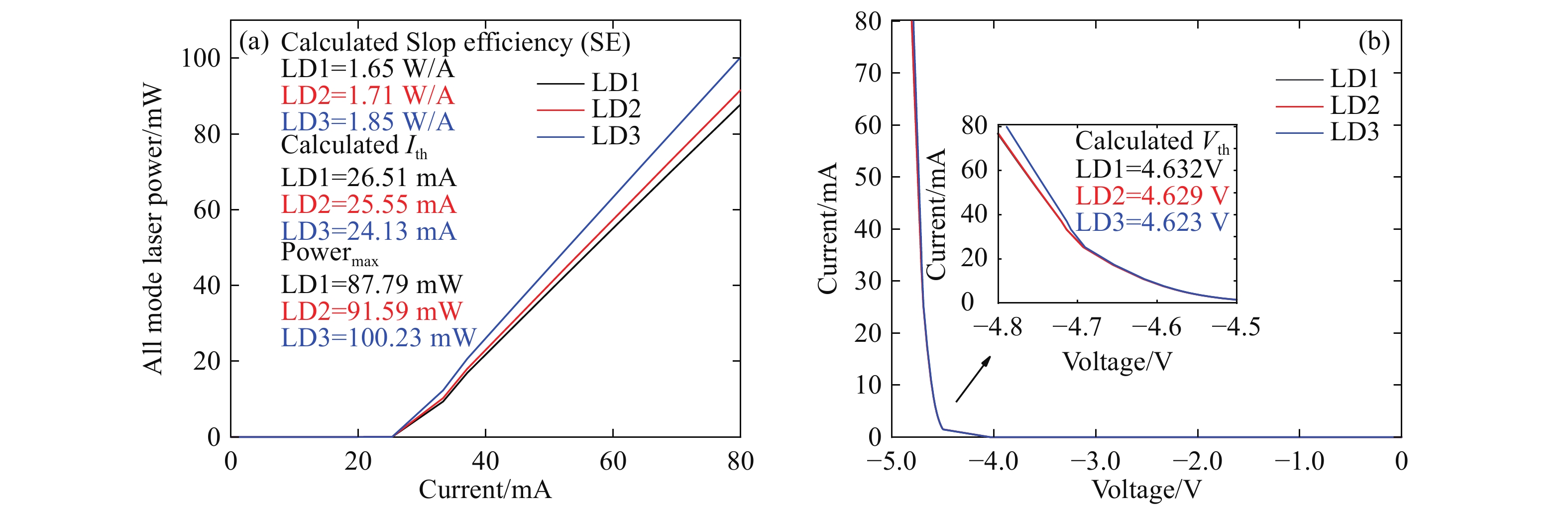
通过使用无掺杂的Al0.8Ga0.2N条状薄层结构提高无电子阻挡层的AlGaN深紫外金宝搏188软件怎么用 二极管的性能
桑習恩, 王芳, 刘俊杰, 刘玉怀
2026, 19(2): 421-433. doi: 10.37188/CO.EN-2025-0033
摘要:

基于AlGaN的深紫外金宝搏188软件怎么用 二极管因电子泄漏和空穴注入效率低下而面临性能挑战,且传统电子阻挡层的极化效应会加剧这些问题。为克服这些限制,本文提出了一种无电子阻挡层的深紫外金宝搏188软件怎么用 二极管设计方案,在最后一个量子阱之后引入了一层1 nm厚的未掺杂Al0.8Ga0.2N薄条状层。通过PICS3D仿真,本文评估了其光学和电学特性。结果表明,有效电子势垒高度显著增加(从158.2 meV增至420.7 meV),而空穴势垒高度则从149.2 meV降至62.8 meV,这增强了空穴注入并减少了电子泄漏。优化后的结构(LD3)输出功率提升了14%,斜率效率提高至1.85 W/A,而且降低了阈值电流。该设计还减弱了量子局域斯塔克效应,并形成了双空穴积累区,从而提高了复合效率。本文的研究成果为适用于高功率应用的高性能、无EBL深紫外金宝搏188软件怎么用 器提供了一种极具前景的解决方案。

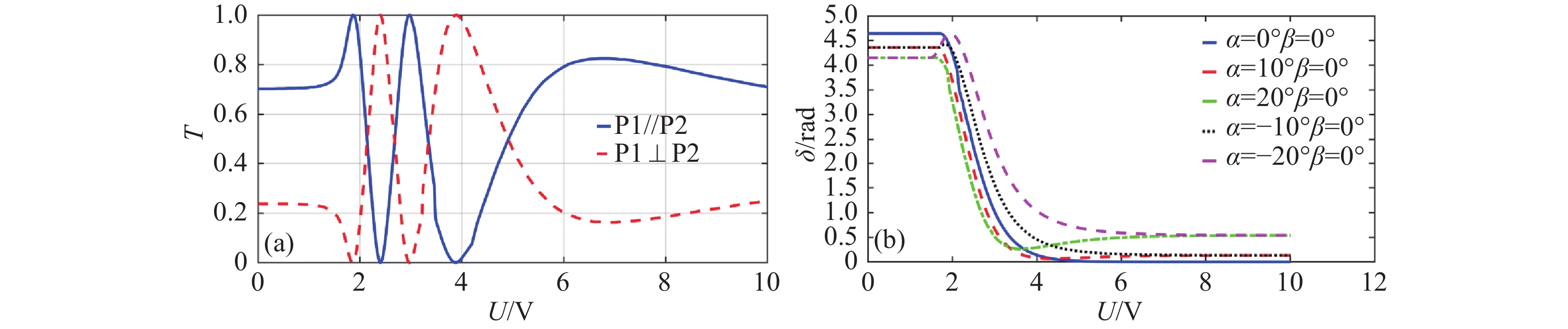
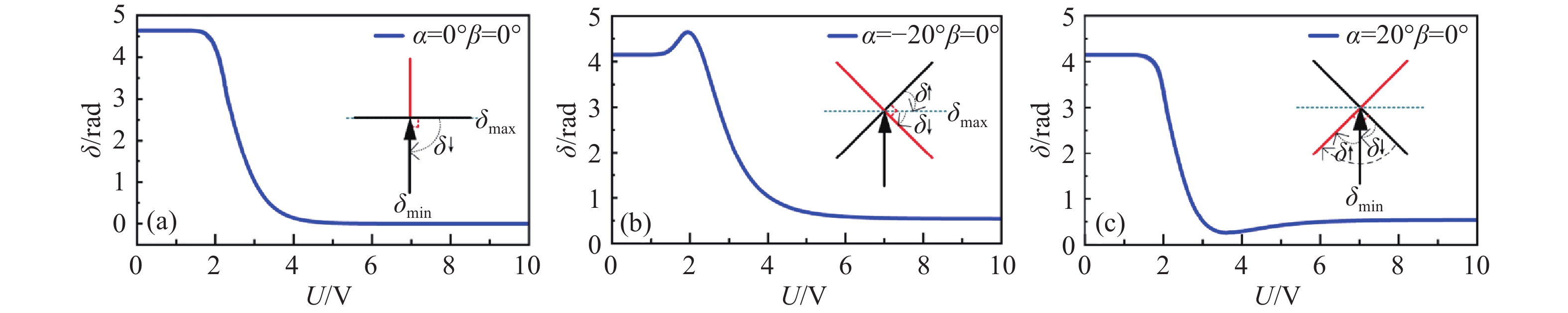
液晶可变延迟器对不同入射角度的精确标定
孔泉慧子, 张瑞, 薛鹏, 王志斌, 景宁
2026, 19(2): 434-444. doi: 10.37188/CO.EN-2025-0035
摘要:

针对液晶可变相位延迟器(LCVR)入射角变化引起的偏振测量精度下降问题,本文探讨了液晶可变相位延迟器的相位延迟特性,重点分析了不同入射角对相位延迟量的影响。在垂直入射LCVR的延迟量标定基础上,推导了LCVR在不同入射角度和不同驱动电压下的相位延迟标定方程,建立相位延迟量与二维入射角(方位角α和俯仰角β)之间的关系。实验在α = 20° β = 0°,α = 0° β = 20°,及任意角度α = 15° β = 5°三种情况进行验证。结果表明,相位延迟量理论计算值与实验测量值之间的最大平均误差不超过0.059 rad,所提标定方法准确可行。该方法为LCVR在偏振成像等光学应用中的参数标定及性能提升提供了有力的支撑。

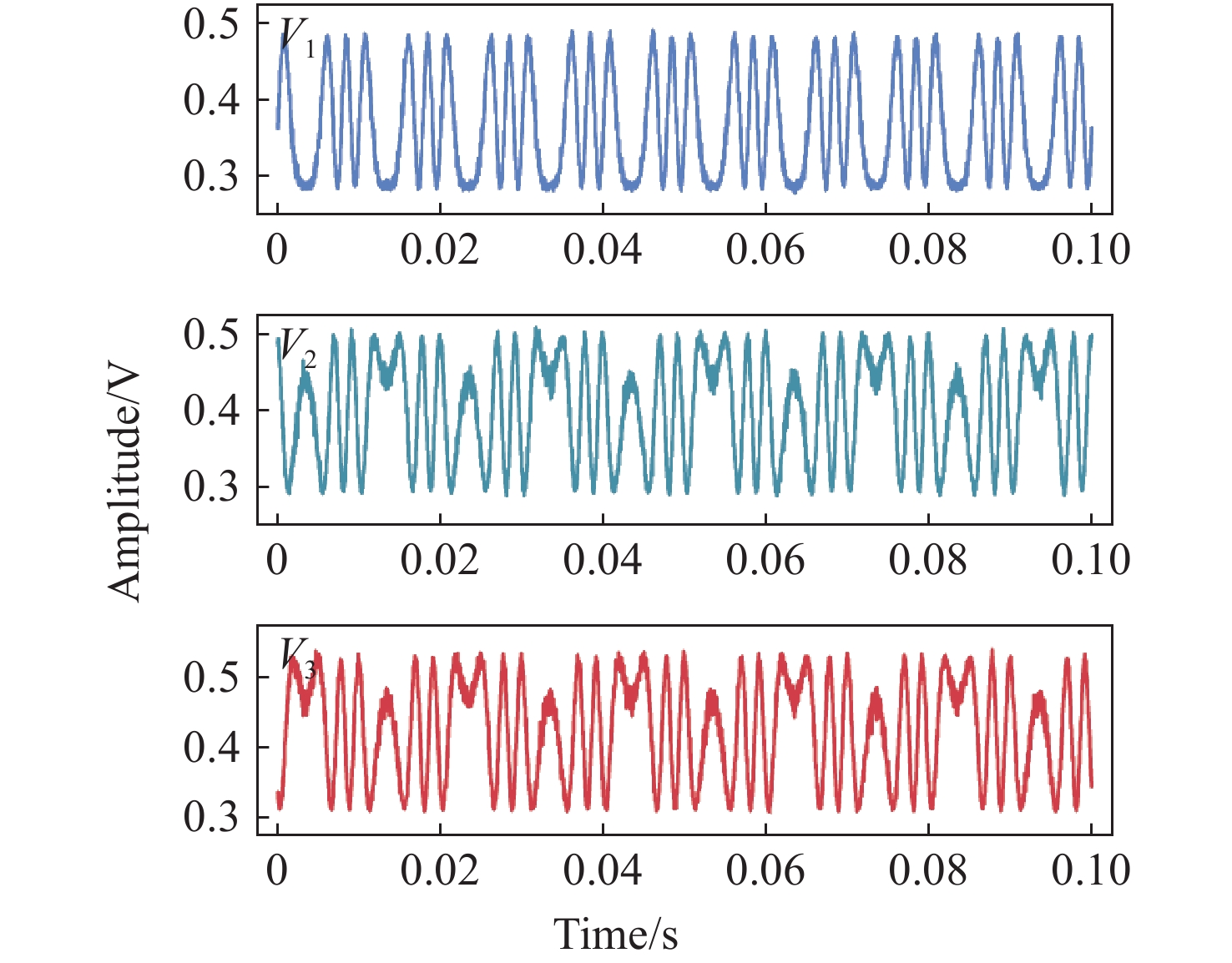
同步锁模光纤金宝搏188软件怎么用 器中的多波长脉冲
吴琼, 高博, 周璐瑶, 文红琳, 乔飞鸿, 吴冰, 徐婷, 李祁, 李莹莹, 吴戈, 刘列
2026, 19(2): 445-453. doi: 10.37188/CO.EN-2025-0039
摘要:

本文设计并提出了一种被动同步锁模光纤金宝搏188软件怎么用 器。该系统采用了双腔结构,并以非线性偏振旋转(NPR)机制作为锁模方式。通过协同控制两个对称子腔内的增益、偏振和光程长度,实现了稳定的同步锁模。实验表明,通过时间延迟线(TDL)可以调节子腔的重复频率,以此来实现同步锁模。实验结果揭示了多个光谱峰和等间距的脉冲序列,证实了在单一重复频率下稳定的多波长脉冲生成。这些研究在光通信、光谱分析和远程传感等领域具有广泛应用,为开发高性能多波长超短脉冲光源奠定了基础。

Baidu
map