留言板

尊敬的读者、作者、审稿人, 关于本刊的投稿、审稿、编辑和出版的任何问题, 您可以本页添加留言。我们将尽快给您答复。谢谢您的支持!

姓名
邮箱
手机号码
标题
留言内容
验证码

Enhancing the performance of AlGaN deep-ultraviolet laser diodes without an electron blocking layer by using a thin undoped Al0.8Ga0.2N strip layer structure

SANG Xi-en WANG Fang LIU Jun-jie LIU Yu-huai

桑習恩, 王芳, 刘俊杰, 刘玉怀. 通过使用无掺杂的Al0.8Ga0.2N条状薄层结构提高无电子阻挡层的AlGaN深紫外金宝搏188软件怎么用 二极管的性能[J]. 188bet网站真的吗 , 2026, 19(2): 421-433. doi: 10.37188/CO.EN-2025-0033
引用本文: 桑習恩, 王芳, 刘俊杰, 刘玉怀. 通过使用无掺杂的Al0.8Ga0.2N条状薄层结构提高无电子阻挡层的AlGaN深紫外金宝搏188软件怎么用 二极管的性能[J]. 188bet网站真的吗 , 2026, 19(2): 421-433. doi: 10.37188/CO.EN-2025-0033
SANG Xi-en, WANG Fang, LIU Jun-jie, LIU Yu-huai. Enhancing the performance of AlGaN deep-ultraviolet laser diodes without an electron blocking layer by using a thin undoped Al0.8Ga0.2N strip layer structure[J]. Chinese Optics, 2026, 19(2): 421-433. doi: 10.37188/CO.EN-2025-0033
Citation: SANG Xi-en, WANG Fang, LIU Jun-jie, LIU Yu-huai. Enhancing the performance of AlGaN deep-ultraviolet laser diodes without an electron blocking layer by using a thin undoped Al0.8Ga0.2N strip layer structure[J]. Chinese Optics, 2026, 19(2): 421-433. doi: 10.37188/CO.EN-2025-0033

通过使用无掺杂的Al0.8Ga0.2N条状薄层结构提高无电子阻挡层的AlGaN深紫外金宝搏188软件怎么用 二极管的性能

详细信息
  • 中图分类号: O472

Enhancing the performance of AlGaN deep-ultraviolet laser diodes without an electron blocking layer by using a thin undoped Al0.8Ga0.2N strip layer structure

doi: 10.37188/CO.EN-2025-0033
Funds: Supported by National Natural Science Foundation of China (No. 62174148); National Key Research and Development Program (No. 2022YFE0112000); Key Program for International Joint Research of Henan Province (No. 231111520300)
More Information
    Author Bio:

    SANG Xi-en (1999—), male, Zhumadian, Henan Province, Ph.D. enrolled in Zhengzhou University University for Ph.D. in 2024, mainly engaged in the research of nitride semiconductor devices and materials. E-mail: zzuxien@163.com

    WANG Fang (1972—), female, born in Zhoukou, Henan Province, Ph.D., associate professor. She received her Ph.D. degree from Mie University, Japan in 2008. Currently, her research interests focus on III-nitride semiconductor-based deep-ultraviolet (DUV) LEDs, laser diodes (LDs), and wireless communication systems. E-mail: iefwang@zzu.edu.cn

    LIU Yu-huai (1969—), male, born in Huainan, Anhui Province, Ph.D., professor. He received his Ph.D. degree from Anhui Institute of Optics and Fine Mechanics, Chinese Academy of Sciences in 1999. Currently, his research focuses on nitride semiconductor-based deep-ultraviolet (DUV) LEDs, laser diodes (LDs), and optoelectronic chip integration. E-mail: ieyhliu@zzu.edu.cn

    Corresponding author: iefwang@zzu.edu.cnieyhliu@zzu.edu.cn
  • 摘要:

    基于AlGaN的深紫外金宝搏188软件怎么用 二极管因电子泄漏和空穴注入效率低下而面临性能挑战,且传统电子阻挡层的极化效应会加剧这些问题。为克服这些限制,本文提出了一种无电子阻挡层的深紫外金宝搏188软件怎么用 二极管设计方案,在最后一个量子阱之后引入了一层1 nm厚的未掺杂Al0.8Ga0.2N薄条状层。通过PICS3D仿真,本文评估了其光学和电学特性。结果表明,有效电子势垒高度显著增加(从158.2 meV增至420.7 meV),而空穴势垒高度则从149.2 meV降至62.8 meV,这增强了空穴注入并减少了电子泄漏。优化后的结构(LD3)输出功率提升了14%,斜率效率提高至1.85 W/A,而且降低了阈值电流。该设计还减弱了量子局域斯塔克效应,并形成了双空穴积累区,从而提高了复合效率。本文的研究成果为适用于高功率应用的高性能、无EBL深紫外金宝搏188软件怎么用 器提供了一种极具前景的解决方案。

     

  • Figure 1.  (a) Schematics of the DUV-LD structure, and (b) LD1, LD2, and LD3 structure diagram

    Figure 2.  Energy band diagram and quasi-fermi level of (a) LD1, (b) LD2, and (c) LD3

    Figure 3.  (a) Electron leakage in the p-type region of three structures, and (b) hole concentration of the three structures

    Figure 4.  (a) P-I curve of three structures, and (b) I-V curve of three structures

    Figure 5.  (a) The electron concentration in the MQWs, (b) the hole concentration in the MQWs, (c) stimulated recombination rate in MQWs, and (d) numerically calculated near-field optical model profile for LD1, LD2, and LD3

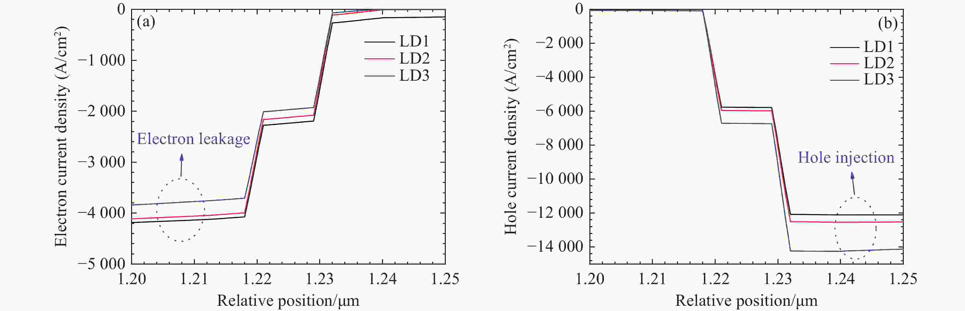
    Figure 6.  (a) Electron current density of three structures, and (b) hole current density of three structures

    Figure 7.  (a) LD2 output power varying with different Al components, (b) LD2 recombination rates varying with different Al components in MQWs, (c) output power varying with different thickness of Al0.8Ga0.2N strip of LD2, and (d) recombination rates varying with different thickness of Al0.8Ga0.2N strip of LD2 in MQWs

    Figure 8.  (a) LD3 output power varying with different Al components, (b) LD3 recombination rates varying with different Al components in MQWs, (c) output power varying with different thickness of Al0.8Ga0.2N strip of LD3, and (d) recombination rates varying with different thickness of Al0.8Ga0.2N strip of LD3 in MQWs

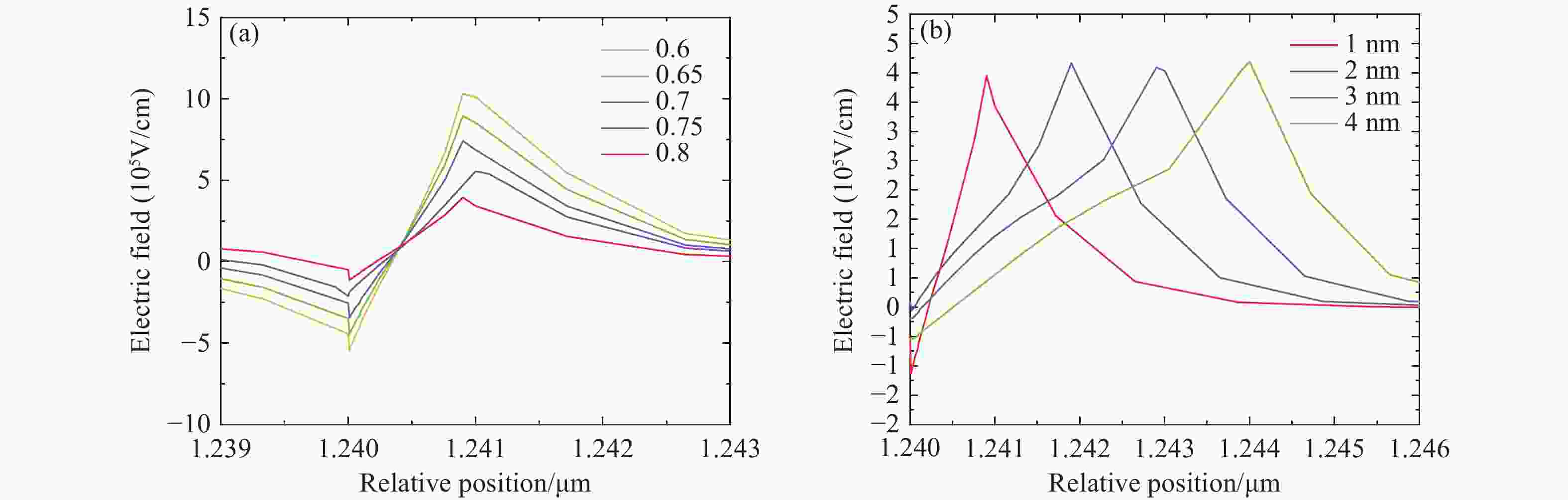
    Figure 9.  Electric field distribution varying with (a) different A components and (b) different thicknes of LD3

    Baidu
  • [1] MURAMOTO Y, KIMURA M, NOUDA S. Development and future of ultraviolet light-emitting diodes: UV-LED will replace the UV lamp[J]. Semiconductor Science and Technology, 2014, 29(8): 084004. doi: 10.1088/0268-1242/29/8/084004
    [2] YIN Q H, ZHANG S L, LI W, et al. Research progress of metal-organic framework composites in drugs detection[J]. Chinese Journal of Analytical Chemistry, 2025, 53: 1784-1796.
    [3] XIANG L Y, ZHANG F J, DI C A. Advancements in Semiconductor Materials and Functional Devices of Organic Electrochemical Transistors[J]. Acta Polymerica Sinica, 2024, 55(9): 1111-1133.
    [4] ZHAI H Y, YANG Q, WU Y, et al. Preparation and Photocatalytic Properties of Zn-CdS/g-C3N4 Composites[J]. Chinese Journal of Applied Chemistry, 2025, 42(9): 1196-1208.
    [5] TAO T, LI Q J, MAO S, et al. Recent advances in electrochemical sensors for detection of disinfection by-products in drinking water[J]. Chinese Journal of Analytical Chemistry, 2025, 53: 176-186.
    [6] CHU X Z, PANG R, HAN S L, et al. Luminous Efficacy of Light Emitting Diode with SrS∶Eu2+ and SrAl2O4∶Eu2+, Dy3+ Long Afterglow Phosphors[J]. Chinese Journal of Applied Chemistry, 2025, 42(5): 701-711.
    [7] YU H B, REN ZH J, MEMON M H, et al. Cascaded deep ultraviolet light-emitting diode via tunnel junction[J]. Chinese Optics Letters, 2021, 19(8): 082503. doi: 10.3788/COL202119.082503
    [8] CUI S, MENG Y T, WANG S B, et al. Preparation of Solvent-Dependent Carbon Dots for Water Content Detection and Anti-Counterfeiting[J]. Chinese Journal of Applied Chemistry, 2024, 41(7): 937-947.
    [9] SATO K, YASUE S, YAMADA K, et al. Room-temperature operation of AlGaN ultraviolet-B laser diode at 298 nm on lattice-relaxed Al0.6Ga0.4N/AlN/sapphire[J]. Applied Physics Express, 2020, 13(3): 031004. doi: 10.35848/1882-0786/ab7711
    [10] MUROTANI H, TANABE R, HISANAGA K, et al. High internal quantum efficiency and optically pumped stimulated emission in AlGaN-based UV-C multiple quantum wells[J]. Applied Physics Letters, 2020, 117(16): 162106. doi: 10.1063/5.0027697
    [11] GU W, LU Y, LIN R Y, et al. BAlN for III-nitride UV light-emitting diodes: undoped electron blocking layer[J]. Journal of Physics D: Applied Physics, 2021, 54(17): 175104. doi: 10.1088/1361-6463/abdefc
    [12] SHI L, DU P, TAO G Y, et al. High efficiency electron-blocking-layer-free deep ultraviolet LEDs with graded Al-content AlGaN insertion layer[J]. Superlattices and Microstructures, 2021, 158: 107020. doi: 10.1016/j.spmi.2021.107020
    [13] LIU M R, LIU CH. Enhanced carrier injection in AlGaN-based deep ultraviolet light-emitting diodes by polarization engineering at the LQB/p-EBL interface[J]. IEEE Photonics Journal, 2022, 14(3): 8228005.
    [14] CHANG J Y, HUANG M F, CHEN F M, et al. Effects of quantum barriers and electron-blocking layer in deep-ultraviolet light-emitting diodes[J]. Journal of Physics D: Applied Physics, 2018, 15(7): 075106.
    [15] DELANEY K T, RINKE P, VAN DE WALLE C G. Auger recombination rates in nitrides from first principles[J]. Applied Physics Letters, 2009, 94(19): 191109. doi: 10.1063/1.3133359
    [16] IVELAND J, MARTINELLI L, PERETTI J, et al. Direct measurement of Auger electrons emitted from a semiconductor light-emitting diode under electrical injection: identification of the dominant mechanism for efficiency droop[J]. Physical Review Letters, 2013, 110(17): 177406. doi: 10.1103/PhysRevLett.110.177406
    [17] TAN C K, ZHANG J, LI X H, et al. First-principle electronic properties of dilute-as GaNAs alloy for visible light emitters[J]. Journal of Display Technology, 2013, 9(4): 272-279. doi: 10.1109/JDT.2013.2248342
    [18] HAI X, RASHID R T, SADAF S M, et al. Effect of low hole mobility on the efficiency droop of AlGaN nanowire deep ultraviolet light emitting diodes[J]. Applied Physics Letters, 2019, 114(10): 101104. doi: 10.1063/1.5091517
    [19] ZHANG ZH D, SUN H Q, LI X, et al. Performance enhancement of blue light-emitting diodes with an undoped AlGaN electron-blocking layer in the active region[J]. Journal of Display Technology, 2016, 12(6): 573-576. doi: 10.1109/JDT.2015.2509001
    [20] TAN C K, TANSU N. Auger recombination rates in dilute-As GaNAs semiconductor[J]. AIP Advances, 2015, 5(5): 057135. doi: 10.1063/1.4921394
    [21] ZHANG Z Y, KUSHIMOTO M, YOSHIKAWA A, et al. Continuous-wave lasing of AlGaN-based ultraviolet laser diode at 274.8 nm by current injection[J]. Applied Physics Express, 2022, 15(4): 041007. doi: 10.35848/1882-0786/ac6198
    [22] ZHANG Z Y, KUSHIMOTO M, YOSHIKAWA A, et al. Experimental study of gain characteristics in relation to quantum-well width of deep-ultraviolet laser diodes[J]. Applied Physics Letters, 2024, 125(18): 183505. doi: 10.1063/5.0240488
    [23] XING ZH Q, WANG F, WANG Y, et al. Enhanced performance in deep-ultraviolet laser diodes with an undoped BGaN electron blocking layer[J]. Optics Express, 2022, 30(20): 36446-36455. doi: 10.1364/OE.469338
    [24] ZHANG A X, REN B Y, WANG F, et al. Study of AlGaN-based deep ultraviolet laser diodes using one-way step-shaped quantum barriers and symmetrical step-shaped electron and hole blocking layers[J]. Optical Engineering, 2022, 61(10): 106101.
    [25] NAKARMI M L, KIM K H, KHIZAR M, et al. Electrical and optical properties of Mg-doped Al0.7Ga0.3 N alloys[J]. Applied Physics Letters, 2005, 86(9): 092108. doi: 10.1063/1.1879098
    [26] VELPULA R T, JAIN B, LENKA T R, et al. Polarization-engineered p-Type electron-blocking-layer-free III-nitride deep-ultraviolet light-emitting diodes for enhanced carrier transport[J]. Journal of Electronic Materials, 2022, 51(2): 838-846. doi: 10.1007/s11664-021-09363-z
    [27] ZHANG Y Y, FAN G H, ZHANG T. Performance enhancement of blue light-emitting diodes without an electron-blocking layer by using p-Type doped barriers and a hole-blocking layer of low Al mole fraction[J]. IEEE Journal of Quantum Electronics, 2012, 48(2): 169-174. doi: 10.1109/JQE.2011.2167600
    [28] ZHANG Z Y, KUSHIMOTO M, SAKAI T, et al. A 271.8 nm deep-ultraviolet laser diode for room temperature operation[J]. Applied Physics Express, 2019, 12(12): 124003. doi: 10.7567/1882-0786/ab50e0
    [29] SHARIF M N, USMAN M, NIASS M I, et al. Compositionally graded AlGaN hole source layer for deep-ultraviolet nanowire light-emitting diode without electron blocking layer[J]. Nanotechnology, 2021, 33(7): 075205.
    [30] VELPULA R T, JAIN B, BUI H Q T, et al. Improving carrier transport in AlGaN deep-ultraviolet light-emitting diodes using a strip-in-a-barrier structure[J]. Applied Optics, 2020, 59(17): 5276-5281. doi: 10.1364/AO.394149
    [31] WEINOLD M P, KOLESNIKOV S, ANADÓN L D. Rapid technological progress in white light-emitting diodes and its source in innovation and technology spillovers[J]. Nature Energy, 2025, 10(5): 616-629. doi: 10.1038/s41560-025-01757-1
    [32] PICS3D. Crosslight Software Inc. , Burnaby, Canada[EB/OL]. https://3390-ca.all.biz/.
    [33] LIN R H, GALAN S V, SUN H D, et al. Tapering-induced enhancement of light extraction efficiency of nanowire deep ultraviolet LED by theoretical simulations[J]. Photonics Research, 2018, 6(5): 457-462. doi: 10.1364/PRJ.6.000457
    [34] YEN S H, KUO Y K. Polarization-dependent optical characteristics of violet InGaN laser diodes[J]. Journal of Applied Physics, 2008, 103(10): 103115. doi: 10.1063/1.2937247
    [35] FIORENTINI V, BERNARDINI F, AMBACHER O. Evidence for nonlinear macroscopic polarization in III–V nitride alloy heterostructures[J]. Applied Physics Letters, 2002, 80(7): 1204-1206. doi: 10.1063/1.1448668
    [36] NAKAMURA S, FASOL G. The Blue Laser Diode: GaN Based Light Emitters and Lasers[M]. Berlin: Springer, 1997.
    [37] VURGAFTMAN I, MEYER J R, RAM-MOHAN L R. Band parameters for III–V compound semiconductors and their alloys[J]. Journal of Applied Physics, 2001, 89(11): 5815-5875. doi: 10.1063/1.1368156
    [38] LI H, ZHANG J Y, WEN W, et al. Highly efficient light-emitting diodes via self-assembled InP quantum dots[J]. Nature Communications, 2025, 16(1): 4257. doi: 10.1038/s41467-025-59527-2
    [39] ZHENG Y ZH, LIN X, LI J ZH, et al. In situ n-doped nanocrystalline electron-injection-layer for general-lighting quantum-dot LEDs[J]. Nature Communication, 2025, 16(1): 3362. doi: 10.1038/s41467-025-58471-5
    [40] ZHANG Z Q, GENG H S, LV ZH X, et al. Manipulating precursors of group-III nitrides for high-Al-content p-AlGaN toward efficient deep ultraviolet light emitters[J]. Applied Physics Letters, 2024, 125(24): 241109. doi: 10.1063/5.0247937
    [41] JIANG ZH A, ZHU Y H, XIA CH SH, et al. Enhanced characteristics in AlGaN-based deep ultraviolet light-emitting diodes with interval-graded barrier superlattice electron blocking layers[J]. Micro and Nanostructures, 2024, 191: 207869. doi: 10.1016/j.micrna.2024.207869
    [42] ZHU X T, LUO X, DENG Y ZH, et al. Doping bilayer hole-transport polymer strategy stabilizing solution-processed green quantum-dot light-emitting diodes[J]. Science Advances, 2024, 10(33): eado0614. doi: 10.1126/sciadv.ado0614
    [43] ZHANG Z Q, ZHOU S J, LIAO Z F, et al. AlGaN polarized ultrathin tunneling junction deep ultraviolet light-emitting diodes[J]. Nano Lett., 2025, 25: 1898-1906.
    [44] DENG G Q, YU J Q, NIU Y F, et al. Demonstration of full AlGaN tunnel junction ultraviolet LED[J]. ACS Photonics, 2024, 11: 1866-1872.
    [45] WANG H, ZHAO L J, BAO X, et al. Efficiency enhancement of InP-based quantum dot light-emitting diodes by introducing a phosphorescent-dye sensitizer in a hole transport layer[J]. ACS Photonics, 2025, 12: 1999-2006.
  • 加载中
图(9)
计量
  • 文章访问数:  303
  • HTML全文浏览量:  238
  • PDF下载量:  10
  • 被引次数: 0
出版历程
  • 收稿日期:  2025-06-16
  • 修回日期:  2026-07-08
  • 网络出版日期:  2025-09-20

目录

    /

    返回文章
    返回
    Baidu
    map