2016 Vol. 9, No. 2
2016, 9(2): 185-202.
doi: 10.3788/CO.20160902.0185
Abstract:
As one of the most fundamental properties of light fields, polarization has attracted immense attentions from researchers. Controlling the polarization states of light fields is of vital significance in the interactions between light fields and materials. Under tightly focused conditions, wavefront manipulation of vector beams introduces flexible and controllable amplitude, phase and polarization distributions into their focal fields, and hence diversifies the interactions between light fields and materials. In this paper, the latest progresses and developments of wavefront manipulation of tightly focused cylindrical vector beams are reviewed. Polarization properties, generation methods, and the applications of tightly focused cylindrical light fields including generations of far-field sub-diffraction focal spots, opto-magnetic recording, detections of single-molecule/particle orientations, generations of arbitrary 3D polarization states, high-density data storage, information encryption, and reconstruction of vectorial wavefronts are concretely reviewed.
As one of the most fundamental properties of light fields, polarization has attracted immense attentions from researchers. Controlling the polarization states of light fields is of vital significance in the interactions between light fields and materials. Under tightly focused conditions, wavefront manipulation of vector beams introduces flexible and controllable amplitude, phase and polarization distributions into their focal fields, and hence diversifies the interactions between light fields and materials. In this paper, the latest progresses and developments of wavefront manipulation of tightly focused cylindrical vector beams are reviewed. Polarization properties, generation methods, and the applications of tightly focused cylindrical light fields including generations of far-field sub-diffraction focal spots, opto-magnetic recording, detections of single-molecule/particle orientations, generations of arbitrary 3D polarization states, high-density data storage, information encryption, and reconstruction of vectorial wavefronts are concretely reviewed.
2016, 9(2): 203-212.
doi: 10.3788/CO.20160902.0203
Abstract:
Large-diameter mirrors are the key optical elements in large aperture reflective type optical system, and the optical system performance is directly associated with the reflectance in the working wavelength region. With the great development of the ground-based and space-based observing instruments, more critical performance is required for large-diameter mirrors, such as wider wavelength region, higher reflectance, better environment durability and so on. Kinds of new coating structures, new coating methods, new coating material are emerging to the challenges, meeting the requirements of high reflecting coating for large-diameter mirror. This paper reviews the research development of high reflecting coating for large-diameter mirror home and abroad, and predicts the developing trend for preparing high reflecting coating of large-diameter reflector from Al mirror to Ag mirror as well as from thermal evaporation to magnetron sputtering.
Large-diameter mirrors are the key optical elements in large aperture reflective type optical system, and the optical system performance is directly associated with the reflectance in the working wavelength region. With the great development of the ground-based and space-based observing instruments, more critical performance is required for large-diameter mirrors, such as wider wavelength region, higher reflectance, better environment durability and so on. Kinds of new coating structures, new coating methods, new coating material are emerging to the challenges, meeting the requirements of high reflecting coating for large-diameter mirror. This paper reviews the research development of high reflecting coating for large-diameter mirror home and abroad, and predicts the developing trend for preparing high reflecting coating of large-diameter reflector from Al mirror to Ag mirror as well as from thermal evaporation to magnetron sputtering.
2016, 9(2): 213-225.
doi: 10.3788/CO.20160902.0213
Abstract:
With the development of nano-processing and preparation techniques, the characteristics of plasmon optics of metal nanoparticles have been widely studied and applied. Based on metal nanoparticles plasmon-resonance characteristics, the article introduces metal nanoparticles plasmon-resonance enhanced harmonic generation in nonlinear media, and reviews the research results of harmonic generation and biological harmonic imaging applications in recent years. The trend of plasmon-resonance of metal nanoparticles enhanced harmonic generation in nonlinear medium is that the metal nanoparticles range from simple metal nanoparticles to metal nanoparticles with complex shape and assembly. The novel metal nanoparticles have a good practical application in the field of nonlinear optics, biomedical diseases diagnosis and treatment.
With the development of nano-processing and preparation techniques, the characteristics of plasmon optics of metal nanoparticles have been widely studied and applied. Based on metal nanoparticles plasmon-resonance characteristics, the article introduces metal nanoparticles plasmon-resonance enhanced harmonic generation in nonlinear media, and reviews the research results of harmonic generation and biological harmonic imaging applications in recent years. The trend of plasmon-resonance of metal nanoparticles enhanced harmonic generation in nonlinear medium is that the metal nanoparticles range from simple metal nanoparticles to metal nanoparticles with complex shape and assembly. The novel metal nanoparticles have a good practical application in the field of nonlinear optics, biomedical diseases diagnosis and treatment.
2016, 9(2): 226-233.
doi: 10.3788/CO.20160902.0226
Abstract:
In order to solve the problem of complicated degeneration model of underwater laser range-gated imaging system, a method to estimate point spread function(PSF) by continuous image sequence is presented. At first, a reference image is selected from continuous image sequence as initialized clear image and next sequence image is used as blurred image. PSF can be estimated by constrained optimization using its gradient . The clear image can be optimized and updated by PSF. Then following images are all defined as blurred image to calculate PSF with clear image. Clear image is updated by the PSF. At last, a final clear image can be got from continuous image sequence. PSF of the whole sequence can be estimated by multiplicative updates of reference image and the final clear image. Projection onto convex sets(POCS) can be optimized by the PSF and the super resolution reconstruction can be made. The stimulation results show that the resolution and quality of reconstruction image obtained by improved algorithm are much better than that of orginal ones.
In order to solve the problem of complicated degeneration model of underwater laser range-gated imaging system, a method to estimate point spread function(PSF) by continuous image sequence is presented. At first, a reference image is selected from continuous image sequence as initialized clear image and next sequence image is used as blurred image. PSF can be estimated by constrained optimization using its gradient . The clear image can be optimized and updated by PSF. Then following images are all defined as blurred image to calculate PSF with clear image. Clear image is updated by the PSF. At last, a final clear image can be got from continuous image sequence. PSF of the whole sequence can be estimated by multiplicative updates of reference image and the final clear image. Projection onto convex sets(POCS) can be optimized by the PSF and the super resolution reconstruction can be made. The stimulation results show that the resolution and quality of reconstruction image obtained by improved algorithm are much better than that of orginal ones.
2016, 9(2): 234-240.
doi: 10.3788/CO.20160902.0234
Abstract:
A fast coding method for multi-view video coding has been put forward in this paper. In this method, in order to compress the data, we combined four dimension Walsh operation. Combined with 4D n-order matrix Walsh transform, a series of coding schemes on colorful video stream proposed in previous studies was expanded and applied in eight-view video coding. The coding method includes video sub-blocking, Walsh transform and inverse transform, inverse sub-blocking, which can take advantage of the correlation of the video sequence and reduce the redundancy of the video sequence. We achieved the goal of multi-view video programming based on fast Walsh transform in VC++6.0 environment, and studied the compression performance in different compression conditions. Experiment data shows that the video quality can be guaranteed and the CR and PSNR is good. With good feasibility and effectiveness, this method is easy to achieve in the encoding side and lays a foundation for further study of multi-view video coding.
A fast coding method for multi-view video coding has been put forward in this paper. In this method, in order to compress the data, we combined four dimension Walsh operation. Combined with 4D n-order matrix Walsh transform, a series of coding schemes on colorful video stream proposed in previous studies was expanded and applied in eight-view video coding. The coding method includes video sub-blocking, Walsh transform and inverse transform, inverse sub-blocking, which can take advantage of the correlation of the video sequence and reduce the redundancy of the video sequence. We achieved the goal of multi-view video programming based on fast Walsh transform in VC++6.0 environment, and studied the compression performance in different compression conditions. Experiment data shows that the video quality can be guaranteed and the CR and PSNR is good. With good feasibility and effectiveness, this method is easy to achieve in the encoding side and lays a foundation for further study of multi-view video coding.
2016, 9(2): 241-248.
doi: 10.3788/CO.20160902.0241
Abstract:
In order to select suitable solar pumped laser materials, a theoretical model is established based on the four-level rate equation, taking the solar spectrum into account. By this model, the pump intensity thresholds of Nd3+:YAG, Nd3+:glass, Nd:Cr:GSGG (Nd3+:Cr3+:Gd3Sc2Ga3O12), Cr3+:BeAl2O4 and Cr3+:Nd3+:YAG for the different pump schemes are analyzed. The results show that the pump intensity threshold of Nd3+:YAG is 448 sun constant when it is side pumped by a single beam and is 224 sun constant when it is side pumped inside a ellipsoidal cavity, respectively, indicating that Nd3+:YAG is suitable for solar pumped laser material. Due to the special structure of the ellipsoidal cavity, the pump intensity threshold is relatively low when it is side pumped inside a ellipsoidal cavity. The relationship between the pump intensity threshold and the diameter of the material is also analyzed. The model could be applied to select suitable materials which are easier to achieve laser output from the existing laser materials.
In order to select suitable solar pumped laser materials, a theoretical model is established based on the four-level rate equation, taking the solar spectrum into account. By this model, the pump intensity thresholds of Nd3+:YAG, Nd3+:glass, Nd:Cr:GSGG (Nd3+:Cr3+:Gd3Sc2Ga3O12), Cr3+:BeAl2O4 and Cr3+:Nd3+:YAG for the different pump schemes are analyzed. The results show that the pump intensity threshold of Nd3+:YAG is 448 sun constant when it is side pumped by a single beam and is 224 sun constant when it is side pumped inside a ellipsoidal cavity, respectively, indicating that Nd3+:YAG is suitable for solar pumped laser material. Due to the special structure of the ellipsoidal cavity, the pump intensity threshold is relatively low when it is side pumped inside a ellipsoidal cavity. The relationship between the pump intensity threshold and the diameter of the material is also analyzed. The model could be applied to select suitable materials which are easier to achieve laser output from the existing laser materials.
2016, 9(2): 249-254.
doi: 10.3788/CO.20160902.0249
Abstract:
We have prepared random lasers with conjugated polymer(MEH-PPV) coated on TiO2 nanoparticle films. The threshold of the lasing based on random TiO2 nanoparticle film is significantly reduced by a factor of 9 in comparison with the amplified spontaneous emission(ASE) threshold of the flat MEH-PPV film, which is caused by multiple scattering induced by TiO2 nanoparticles. Further investigation by femtosecond fluorescence up-conversion experiment reveals that the dwell time of light inside the gain medium is increased in the random laser device, which directly confirms that light travels longer path due to the multiple scattering in the random structure. So it stimulates the emission of more light and the threshold of the random laser is lowered.
We have prepared random lasers with conjugated polymer(MEH-PPV) coated on TiO2 nanoparticle films. The threshold of the lasing based on random TiO2 nanoparticle film is significantly reduced by a factor of 9 in comparison with the amplified spontaneous emission(ASE) threshold of the flat MEH-PPV film, which is caused by multiple scattering induced by TiO2 nanoparticles. Further investigation by femtosecond fluorescence up-conversion experiment reveals that the dwell time of light inside the gain medium is increased in the random laser device, which directly confirms that light travels longer path due to the multiple scattering in the random structure. So it stimulates the emission of more light and the threshold of the random laser is lowered.
2016, 9(2): 255-262.
doi: 10.3788/CO.20160902.0255
Abstract:
In order to estimate its measurement error range when indirectly measuring the flux distribution on receivers of solar thermal power systems, a new method is studied. The error sources of this method are analyzed based on the theoretical equation. An experiment to measure the flux density distribution of a concentrated beam is implemented with a spherical heliostat, a CCD camera, a diffuse reflector, neutral density filters and other devices. The flux density distribution and total energy of the concentrated solar irradiance on the reflector is calculated with a MATLAB program. The incident angle of rays on the center of the heliostat is measured with a total station. The theoretical value of the beam energy is calculated according to area and reflectivity of the heliostat, the direct normal irradiance and cosine efficiency. By comparing the theoretical value of the beam energy with the measured total energy, the relative error of the total energy and the flux density measured by this method is obtained. The measured relative error is 3.5%.This error is within permission, which further verifies the correctness and feasibility of this new method.
In order to estimate its measurement error range when indirectly measuring the flux distribution on receivers of solar thermal power systems, a new method is studied. The error sources of this method are analyzed based on the theoretical equation. An experiment to measure the flux density distribution of a concentrated beam is implemented with a spherical heliostat, a CCD camera, a diffuse reflector, neutral density filters and other devices. The flux density distribution and total energy of the concentrated solar irradiance on the reflector is calculated with a MATLAB program. The incident angle of rays on the center of the heliostat is measured with a total station. The theoretical value of the beam energy is calculated according to area and reflectivity of the heliostat, the direct normal irradiance and cosine efficiency. By comparing the theoretical value of the beam energy with the measured total energy, the relative error of the total energy and the flux density measured by this method is obtained. The measured relative error is 3.5%.This error is within permission, which further verifies the correctness and feasibility of this new method.
2016, 9(2): 263-269.
doi: 10.3788/CO.20160902.0263
Abstract:
In all types of optical system design processes, the transmissivity and reflectivity of optical devices should be determined, because of different requirements in various experiment systems. One system was designed, by which the transmissivity and reflectivity of optical devices could be measured and calibrated with high precision. The laser output power stability was increased significantly by acousto-optic modulation in this system, avoiding larger errors caused by unstable measuring light. It is showed that the system is capable of stablizing light output power from experimental results; the stability is maintained at 0.05%/h, or even higher level, and it meets the requirements of small error and high precision for the measurement of the transmissivity and reflectivity of optical devices.
In all types of optical system design processes, the transmissivity and reflectivity of optical devices should be determined, because of different requirements in various experiment systems. One system was designed, by which the transmissivity and reflectivity of optical devices could be measured and calibrated with high precision. The laser output power stability was increased significantly by acousto-optic modulation in this system, avoiding larger errors caused by unstable measuring light. It is showed that the system is capable of stablizing light output power from experimental results; the stability is maintained at 0.05%/h, or even higher level, and it meets the requirements of small error and high precision for the measurement of the transmissivity and reflectivity of optical devices.
2016, 9(2): 270-276.
doi: 10.3788/CO.20160902.0270
Abstract:
Computer-generated hologram(CGH) is widely applied in the high-precision testing of asphere as high-accuracy null compensator, but the surface figure error of CGH substrate directly restricts the testing precision. In order to gain ultra-precision CGH substrates, the figuring of high-precision CGH substrates by ion beam is presented. A square fused silicon CGH substrate with 152 mm side length(140 mm valid aperture) and 6.35 mm thickness is figured by different scale IBF removal functions. Through seven iterations, an ultra-precision CGH substrate with transmitted wavefront PV value 20.779 nm and RMS value 0.685 nm is gained finally. The experiment result shows that figuring high-precision CGH substrates by ion beam has notable advantage, and it has not only high process efficiency but also ultra-high process precision.
Computer-generated hologram(CGH) is widely applied in the high-precision testing of asphere as high-accuracy null compensator, but the surface figure error of CGH substrate directly restricts the testing precision. In order to gain ultra-precision CGH substrates, the figuring of high-precision CGH substrates by ion beam is presented. A square fused silicon CGH substrate with 152 mm side length(140 mm valid aperture) and 6.35 mm thickness is figured by different scale IBF removal functions. Through seven iterations, an ultra-precision CGH substrate with transmitted wavefront PV value 20.779 nm and RMS value 0.685 nm is gained finally. The experiment result shows that figuring high-precision CGH substrates by ion beam has notable advantage, and it has not only high process efficiency but also ultra-high process precision.
2016, 9(2): 277-283.
doi: 10.3788/CO.20160902.0277
Abstract:
Because diffractive optical element can shape Gaussian beam, it is attached great importance. The conventional design methods such as G-S algorithm tend to need a large amount of calculation and a long time, while Hankel transformation can increase calculation speed and save time. We successfully designed a binary refractive and diffractive optical element applying Hankel transformation into G-S algorithm. When the diffractive optical element was placed at the waist of the laser beam with the wavelength of 775 nm and the waist diameter of 6 cm, a uniform spot could be gotten at the detector plane 35 cm behind it. Its radius was 200 μm and root-mean-square error was smaller than 0.021. The calculation time was only 20.05 s with PC, saving much time during the process of optimization, in which hundreds of calculation were needed. We fabricated the refractive and diffractive optical element by ion beam etching, and tested it in lab. The experiment results agreed well with the caculation. This kind of element not only can get good spot, but also is suitable of integration with laser.
Because diffractive optical element can shape Gaussian beam, it is attached great importance. The conventional design methods such as G-S algorithm tend to need a large amount of calculation and a long time, while Hankel transformation can increase calculation speed and save time. We successfully designed a binary refractive and diffractive optical element applying Hankel transformation into G-S algorithm. When the diffractive optical element was placed at the waist of the laser beam with the wavelength of 775 nm and the waist diameter of 6 cm, a uniform spot could be gotten at the detector plane 35 cm behind it. Its radius was 200 μm and root-mean-square error was smaller than 0.021. The calculation time was only 20.05 s with PC, saving much time during the process of optimization, in which hundreds of calculation were needed. We fabricated the refractive and diffractive optical element by ion beam etching, and tested it in lab. The experiment results agreed well with the caculation. This kind of element not only can get good spot, but also is suitable of integration with laser.
2016, 9(2): 284-297.
doi: 10.3788/CO.20160902.0284
Abstract:
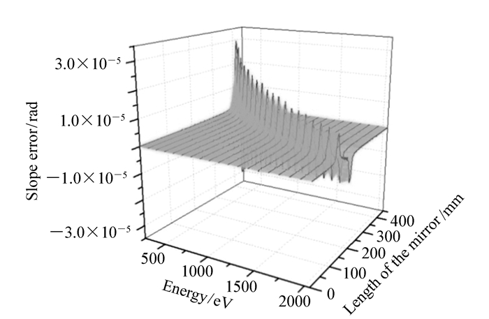
The variable-included-angle plane grating monochromator is broadly used in high performance soft X-ray due to its superior performance, such as high throughput and high resolution. With the development of Science, improving and optimizing the resolution of variables-included-angle plane grating monochromator is necessary and urgently. In order to study and explore the ultra-high resolution of variables-included-angle plane grating monochromator in synchrotron radiation, some issues were researched in this work. Firstly, the relationship between working modes of variables-included-angle plane grating monochromator with different cff is emphatically researched. According to the relationship, the high resolution working modes of the monochromator can be selected. Secondly, we studied the effects of high heat load on the optical system by using the simulation software and designed an appropriate cooling system in the optical elements to decrease the effect of heat load on monochromator. The results indicated that the slope error of plane mirror declined from 8.1 μrad to 3 μrad. Lastly, we studied the testing methods of the variables-included-angle grating monochromator with the resolution of already reaching 5×104. And the measuring accuracy of angel is 0.026".Those studies will provide some help for designing the monochromator with ultra-high resolution in the third generation synchrotron radiation.
The variable-included-angle plane grating monochromator is broadly used in high performance soft X-ray due to its superior performance, such as high throughput and high resolution. With the development of Science, improving and optimizing the resolution of variables-included-angle plane grating monochromator is necessary and urgently. In order to study and explore the ultra-high resolution of variables-included-angle plane grating monochromator in synchrotron radiation, some issues were researched in this work. Firstly, the relationship between working modes of variables-included-angle plane grating monochromator with different cff is emphatically researched. According to the relationship, the high resolution working modes of the monochromator can be selected. Secondly, we studied the effects of high heat load on the optical system by using the simulation software and designed an appropriate cooling system in the optical elements to decrease the effect of heat load on monochromator. The results indicated that the slope error of plane mirror declined from 8.1 μrad to 3 μrad. Lastly, we studied the testing methods of the variables-included-angle grating monochromator with the resolution of already reaching 5×104. And the measuring accuracy of angel is 0.026".Those studies will provide some help for designing the monochromator with ultra-high resolution in the third generation synchrotron radiation.
Abstract
FullText HTML
PDF 8655KB