2017 Vol. 10, No. 5
2017, 10(5): 523-540.
doi: 10.3788/CO.20171005.0523
Abstract:
Metasurfaces, a specific type of subwavelength-scale two-dimensional(2D) array, have shown great flexibilities to control the light field. Metasurfaces possess the unique advantages of ultrathin, low-loss and easy fabrication, therefore attract immense attentions and show broad prospects for applications. This paper reviews recent progress in the physics of metasurfaces and the applications for generalized refraction and reflection, polarization conversion, controlling the orbit angular moment of light and computer generated holography(CGH). Due to the extra design freedom and powerful functionality, metasurfaces allow the possibility to substitute the conventional optical components in a variety of applications. In the future, novel types of metasurfaces with broadband, high efficiency, multi-task and active tunability are still highly desired and of great value.
Metasurfaces, a specific type of subwavelength-scale two-dimensional(2D) array, have shown great flexibilities to control the light field. Metasurfaces possess the unique advantages of ultrathin, low-loss and easy fabrication, therefore attract immense attentions and show broad prospects for applications. This paper reviews recent progress in the physics of metasurfaces and the applications for generalized refraction and reflection, polarization conversion, controlling the orbit angular moment of light and computer generated holography(CGH). Due to the extra design freedom and powerful functionality, metasurfaces allow the possibility to substitute the conventional optical components in a variety of applications. In the future, novel types of metasurfaces with broadband, high efficiency, multi-task and active tunability are still highly desired and of great value.
2017, 10(5): 541-554.
doi: 10.3788/CO.20171005.0541
Abstract:
Near-infrared photothermal(PT) conversion nanocrystals(NCs), due to their excellent PT conversion performance in near-infrared region(generally in range of 780-1 400 nm), has a wide application potential in the field of cancer cell killing, tumor therapy as well as desalination. These NCs attracted great attention on PT imaging and PT therapy, because of their diverse liquid phase synthesize methods, morphology-controll, nanostructure composite, increasing PT conversion efficiency and easy functionalization. This review aimed to summarize the research progress of near-infrared PT conversion NCs, including noble metal NCs, copper chalcogenide semiconductor NCs, carbon-related NCs, hybrid structure composed of nanocrystalline materials. In addition, the research progress of surface plasmon resonance(SPR) materials with high photothermal conversion efficiency is introduced, especially the application prospect of dual-mode SPR coupling in the field of photothermal conversion. Through the research on the literatures at home and abroad, it is known that the hybrid nanocrystals with dual mode surface plasmon resonance coupling will be an important direction for the development of photothermal conversion nanocrystals in recent years due to the characteristics of performance coordination and coupling.
Near-infrared photothermal(PT) conversion nanocrystals(NCs), due to their excellent PT conversion performance in near-infrared region(generally in range of 780-1 400 nm), has a wide application potential in the field of cancer cell killing, tumor therapy as well as desalination. These NCs attracted great attention on PT imaging and PT therapy, because of their diverse liquid phase synthesize methods, morphology-controll, nanostructure composite, increasing PT conversion efficiency and easy functionalization. This review aimed to summarize the research progress of near-infrared PT conversion NCs, including noble metal NCs, copper chalcogenide semiconductor NCs, carbon-related NCs, hybrid structure composed of nanocrystalline materials. In addition, the research progress of surface plasmon resonance(SPR) materials with high photothermal conversion efficiency is introduced, especially the application prospect of dual-mode SPR coupling in the field of photothermal conversion. Through the research on the literatures at home and abroad, it is known that the hybrid nanocrystals with dual mode surface plasmon resonance coupling will be an important direction for the development of photothermal conversion nanocrystals in recent years due to the characteristics of performance coordination and coupling.
2017, 10(5): 555-567.
doi: 10.3788/CO.20171005.0555
Abstract:
In recent years, quantum dots outperformed organic dye in solar concentrator in terms of optical efficiency, by virtue of recent achievement in the field of the structure engineering, tunable spectroscopy and enhanced stability. Quantum dots luminescent solar concentrator(LSC) has been considered as a new direction in the research field of quantum dots. Due to the development of mass production techniques and green procedures, which facilitate a gradual reduction in the manufacturing cost of quantum dots, quantum dot concentrators have an advantage in the high efficiency and low cost of photoelectric conversion. In this review, we summarize the recent advances in quantum dots based LSC, including the advantages of the solar concentrator, the requirements for the optical properties of the concentrator, the process of the device fabrication and the performance characterization of the device. We focuse on the influence of essential factors on LSC performance, including solar absorption capability, photoluminescence quantum efficiency and reabsorption. Meanwhile, recent new research directions in this field are introduced and the future potential application of low-cost solar window for urban architecture is envisioned.
In recent years, quantum dots outperformed organic dye in solar concentrator in terms of optical efficiency, by virtue of recent achievement in the field of the structure engineering, tunable spectroscopy and enhanced stability. Quantum dots luminescent solar concentrator(LSC) has been considered as a new direction in the research field of quantum dots. Due to the development of mass production techniques and green procedures, which facilitate a gradual reduction in the manufacturing cost of quantum dots, quantum dot concentrators have an advantage in the high efficiency and low cost of photoelectric conversion. In this review, we summarize the recent advances in quantum dots based LSC, including the advantages of the solar concentrator, the requirements for the optical properties of the concentrator, the process of the device fabrication and the performance characterization of the device. We focuse on the influence of essential factors on LSC performance, including solar absorption capability, photoluminescence quantum efficiency and reabsorption. Meanwhile, recent new research directions in this field are introduced and the future potential application of low-cost solar window for urban architecture is envisioned.
2017, 10(5): 568-577.
doi: 10.3788/CO.20171005.0568
Abstract:
Hybrid perovskites (e.g., CH3NH3PbX3, X represents a halide) are attracting more and more attention from both industry and academic due to their widely applications in the field of photoelectric device, especially as light absorption material in solar cells. The process of industrialization of perovskite solar cells is in progress, and in the pursuit of low-cost and efficient perovskite PV technology, it is crucial to develop a facile and high reproducible technique for preparing perovskite films. Unlike other conventional solution treatments, the vapor-assisted solution process(VASP) treatment avoids the dissolution and solvation of the film during growth, inhibits the formation of crystal nucleus and allows rapid recombination of the film to obtain dense high-quality perovskite film. At present, the conversion efficiency of planar structure perovskite solar cells based on this film is reaching up to 16.8%. In this paper, the research progress of perovskite thin films and photovoltaic devices prepared by low temperature( < 150℃) VASP method is reviewed. This paper also prospects the industrialization of the technology. VASP has the advantages of simple preparation process, excellent performance and high reproducibility, which provides the possibility of further preparation of large-area and high-quality film.
Hybrid perovskites (e.g., CH3NH3PbX3, X represents a halide) are attracting more and more attention from both industry and academic due to their widely applications in the field of photoelectric device, especially as light absorption material in solar cells. The process of industrialization of perovskite solar cells is in progress, and in the pursuit of low-cost and efficient perovskite PV technology, it is crucial to develop a facile and high reproducible technique for preparing perovskite films. Unlike other conventional solution treatments, the vapor-assisted solution process(VASP) treatment avoids the dissolution and solvation of the film during growth, inhibits the formation of crystal nucleus and allows rapid recombination of the film to obtain dense high-quality perovskite film. At present, the conversion efficiency of planar structure perovskite solar cells based on this film is reaching up to 16.8%. In this paper, the research progress of perovskite thin films and photovoltaic devices prepared by low temperature( < 150℃) VASP method is reviewed. This paper also prospects the industrialization of the technology. VASP has the advantages of simple preparation process, excellent performance and high reproducibility, which provides the possibility of further preparation of large-area and high-quality film.
2017, 10(5): 578-587.
doi: 10.3788/CO.20171005.0578
Abstract:
This paper first introduces the significant status and state-of-the-art of laser weapon in future war, discusses the thermal damage mechanism of high-energy laser beam interacting with target materials, and summarizes the research progress of reflective laser protective coating based on plasma spraying, including plasma-sprayed metallic and ceramic coatings. In addition, their individual technical characteristics and protecting performance are also analyzed, which provide a reference in research field of high-energy laser protection. The result of research shows that the control of oxidation for the metallic coating in the process of laser irradiation can effectively improve the laser protective performance. Moreover, we believe that the new ceramic coatings with excellent reflectivity will have a better development prospects in the field of high-energy laser protection.
This paper first introduces the significant status and state-of-the-art of laser weapon in future war, discusses the thermal damage mechanism of high-energy laser beam interacting with target materials, and summarizes the research progress of reflective laser protective coating based on plasma spraying, including plasma-sprayed metallic and ceramic coatings. In addition, their individual technical characteristics and protecting performance are also analyzed, which provide a reference in research field of high-energy laser protection. The result of research shows that the control of oxidation for the metallic coating in the process of laser irradiation can effectively improve the laser protective performance. Moreover, we believe that the new ceramic coatings with excellent reflectivity will have a better development prospects in the field of high-energy laser protection.
2017, 10(5): 588-602.
doi: 10.3788/CO.20171005.0588
Abstract:
Holography is a very promising technique which records rich information on small holograms by interfering with signal light and reference light. Unlike conventional holography, polarized holography not only records the phase and amplitude information of light waves, but also records additional polarization information in polarized state sensitive materials. In this paper, the production process of polarized holography is introduced in detail based on polarized holographic materials. At the same time, the principle and research progress of polarization holography based on Jones theory and tensor theory are introduced respectively. Finally, the development prospect of polarized holography in holographic storage and nanometer optics is described. In addition, the principle and research progress of polarization holography based on Jones matrix and tensor theory are introduced respectively. Finally, the development prospect of polarized holography in holographic storage and nanometer optics is discussed.
Holography is a very promising technique which records rich information on small holograms by interfering with signal light and reference light. Unlike conventional holography, polarized holography not only records the phase and amplitude information of light waves, but also records additional polarization information in polarized state sensitive materials. In this paper, the production process of polarized holography is introduced in detail based on polarized holographic materials. At the same time, the principle and research progress of polarization holography based on Jones theory and tensor theory are introduced respectively. Finally, the development prospect of polarized holography in holographic storage and nanometer optics is described. In addition, the principle and research progress of polarization holography based on Jones matrix and tensor theory are introduced respectively. Finally, the development prospect of polarized holography in holographic storage and nanometer optics is discussed.
2017, 10(5): 603-618.
doi: 10.3788/CO.20171005.0603
Abstract:
The optical microlens array is widely used in the optical system with high demand. The glass molding technology is the most efficient methods of mass production and processing of microlens array with characteristics of high precision, good consistency and low production cost, which has important application and research value. In this paper, the design principle of optical microlens array, as well as mold manufacturing technology, glass molding technology and the corresponding detection technology is introduced. The latest development of microlens array molding test and FEM simulation are mainly discussed. The development of microlens molding, including the material for microlens array molding, the mold surface coating technology, and the application of ultrasonic composite processing technology in the microlens array molding is prospected at the end of this paper.
The optical microlens array is widely used in the optical system with high demand. The glass molding technology is the most efficient methods of mass production and processing of microlens array with characteristics of high precision, good consistency and low production cost, which has important application and research value. In this paper, the design principle of optical microlens array, as well as mold manufacturing technology, glass molding technology and the corresponding detection technology is introduced. The latest development of microlens array molding test and FEM simulation are mainly discussed. The development of microlens molding, including the material for microlens array molding, the mold surface coating technology, and the application of ultrasonic composite processing technology in the microlens array molding is prospected at the end of this paper.
2017, 10(5): 619-640.
doi: 10.3788/CO.20171005.0619
Abstract:
Laser induced breakdown spectroscopy(LIBS) is a new material identification and quantitative analysis technique, and the low repeatability of the emission spectrum is a key factor in influencing and hindering technology transition from qualitative analysis to quantitative analysis. Therefore, improving the single-to-noise ratio(SNR) and the space stability of plasma are a positive way to improve the spectral repeatability and reduce matrix effect and other unfavorable factors. In addition, SNR enhancement can reduce the requirement of laser output energy, thus effectively reducing the cost of the system based on LIBS, and furthermore facilitating the expansion of LIBS technology to more areas. In this paper, double-pulse and multiple-pulse enhancement, discharge pulse re-excitation, spatial confinement, magnetic field confinement and microwave assisted enhancement are summarized and concluded. Accordingly, the physical mechanism of the spectral enhancement is deeply discussed, which provides strong theoretical basis for further improving of the spectral repeatability and the accuracy of quantitative analysis.
Laser induced breakdown spectroscopy(LIBS) is a new material identification and quantitative analysis technique, and the low repeatability of the emission spectrum is a key factor in influencing and hindering technology transition from qualitative analysis to quantitative analysis. Therefore, improving the single-to-noise ratio(SNR) and the space stability of plasma are a positive way to improve the spectral repeatability and reduce matrix effect and other unfavorable factors. In addition, SNR enhancement can reduce the requirement of laser output energy, thus effectively reducing the cost of the system based on LIBS, and furthermore facilitating the expansion of LIBS technology to more areas. In this paper, double-pulse and multiple-pulse enhancement, discharge pulse re-excitation, spatial confinement, magnetic field confinement and microwave assisted enhancement are summarized and concluded. Accordingly, the physical mechanism of the spectral enhancement is deeply discussed, which provides strong theoretical basis for further improving of the spectral repeatability and the accuracy of quantitative analysis.
2017, 10(5): 641-655.
doi: 10.3788/CO.20171005.0641
Abstract:
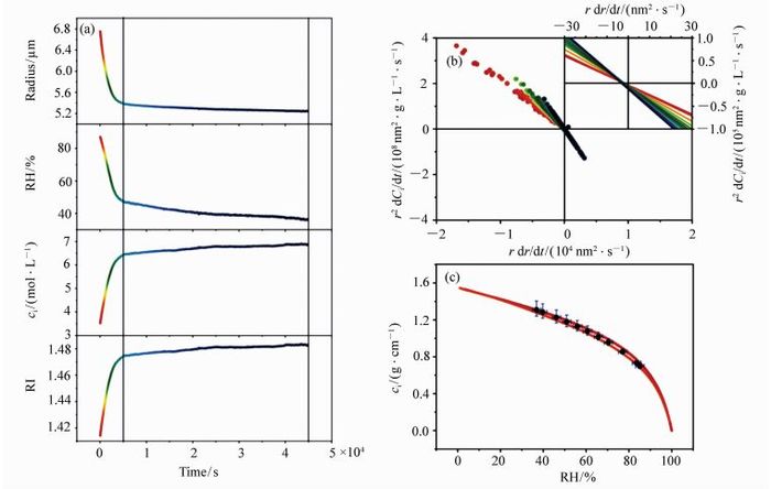
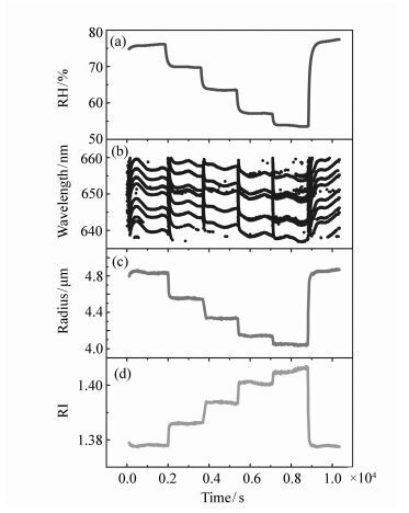
Investigation of thermodynamics and kinetics process of organic aerosol is a cross-cutting field of multidisciplinary research, in which core issues are non-ideal mixing, including volatility, liquid-liquid phase separation and non-equilibrium mass transfer kinetics. At present, the study of the accurate measurement of the relevant physical and chemical parameters of these processes enters the bottleneck period. The optical tweezers system allows the aerosol single particles to be in a suspended state, resulting in a high signal-to-noise ratio of the stimulated Raman spectra. The system has unique advantages in the study of the physical and chemical properties of aerosols and its atmospheric effects. The system has been widely used in the research of the hygroscopicity, volatility, water mass transfer kinetics, and liquid-liquid phase separation processes of organic and inorganic mixture system aerosol. In this review, the progress of laser aerosol single particle technology is reviewed, including the principle and technical means of optical tweezers technology and the measurement of key physical and chemical parameters of aerosols. The results show that on one hand, accurate results of important physical and chemical parameters can be obtained by optical tweezers; on the other hand, the state of suspended droplets can be simulated and measured in the actual environment, which provides important support for atmospheric science research and pollution control.
Investigation of thermodynamics and kinetics process of organic aerosol is a cross-cutting field of multidisciplinary research, in which core issues are non-ideal mixing, including volatility, liquid-liquid phase separation and non-equilibrium mass transfer kinetics. At present, the study of the accurate measurement of the relevant physical and chemical parameters of these processes enters the bottleneck period. The optical tweezers system allows the aerosol single particles to be in a suspended state, resulting in a high signal-to-noise ratio of the stimulated Raman spectra. The system has unique advantages in the study of the physical and chemical properties of aerosols and its atmospheric effects. The system has been widely used in the research of the hygroscopicity, volatility, water mass transfer kinetics, and liquid-liquid phase separation processes of organic and inorganic mixture system aerosol. In this review, the progress of laser aerosol single particle technology is reviewed, including the principle and technical means of optical tweezers technology and the measurement of key physical and chemical parameters of aerosols. The results show that on one hand, accurate results of important physical and chemical parameters can be obtained by optical tweezers; on the other hand, the state of suspended droplets can be simulated and measured in the actual environment, which provides important support for atmospheric science research and pollution control.
2017, 10(5): 656-665.
doi: 10.3788/CO.20171005.0656
Abstract:
Terahertz waves play an increasingly important role in the field of atmosphere remote sensing due to its unique atmosphere sensitivity. Terahertz atmospheric remote sensing technology has been a research hotspot at the international level. In 2004, NASA launched AURA, which included 2.5THz radiometer with two polarization properties. In 2007, ESA developed the Marschals heterodyne spectrometer, which adopted limb scanning method to detect the hyperspectral spectra of gas components in sub-millimeter wave thermal radiation. Currently, China's in-orbit meteorological satellite Fengyun-Ⅲ is equipped with a millimeter-band radiometer, and Fengyun-Ⅳ is the world's first GEMS carrying terahertz remote sensing instrument. Based on the analysis of the application and technology of terahertz remote sensing at home and abroad, this paper puts forward the idea of developing remote sensing technology with independent intellectual property rights according to the current situation of atmospheric remote sensing in China.
Terahertz waves play an increasingly important role in the field of atmosphere remote sensing due to its unique atmosphere sensitivity. Terahertz atmospheric remote sensing technology has been a research hotspot at the international level. In 2004, NASA launched AURA, which included 2.5THz radiometer with two polarization properties. In 2007, ESA developed the Marschals heterodyne spectrometer, which adopted limb scanning method to detect the hyperspectral spectra of gas components in sub-millimeter wave thermal radiation. Currently, China's in-orbit meteorological satellite Fengyun-Ⅲ is equipped with a millimeter-band radiometer, and Fengyun-Ⅳ is the world's first GEMS carrying terahertz remote sensing instrument. Based on the analysis of the application and technology of terahertz remote sensing at home and abroad, this paper puts forward the idea of developing remote sensing technology with independent intellectual property rights according to the current situation of atmospheric remote sensing in China.
2017, 10(5): 666-680.
doi: 10.3788/CO.20171005.0666
Abstract:
Quantum dots are rising as suitable candidates in the field of display application due to their extremely high color purity, tunable emission spectra and high photoluminescence efficiency, especially for their contribution to the expanded color gamut in display technology. Motivated by the commercialization in the market, quantum dots based backlights have drawn great deal of attentions from both the scientific and industrial circles. In this paper, the research progress of quantum dot liquid crystal display backlight technology is reviewed, including the selection of quantum dots materials, the application of backlight structure and the development of composite materials and encapsulation technology. In addition, this paper also introduces the low-cost perovskite quantum dot optical film technology, which is widely concerned by industrial circle, especially the low-cost perovskite quantum dot optical film technology with independent intellectual property rights. This technology has the advantages of wide color gamut(124% NTSC), easy processing, and low cost with a great development potential.
Quantum dots are rising as suitable candidates in the field of display application due to their extremely high color purity, tunable emission spectra and high photoluminescence efficiency, especially for their contribution to the expanded color gamut in display technology. Motivated by the commercialization in the market, quantum dots based backlights have drawn great deal of attentions from both the scientific and industrial circles. In this paper, the research progress of quantum dot liquid crystal display backlight technology is reviewed, including the selection of quantum dots materials, the application of backlight structure and the development of composite materials and encapsulation technology. In addition, this paper also introduces the low-cost perovskite quantum dot optical film technology, which is widely concerned by industrial circle, especially the low-cost perovskite quantum dot optical film technology with independent intellectual property rights. This technology has the advantages of wide color gamut(124% NTSC), easy processing, and low cost with a great development potential.
2017, 10(5): 681-698.
doi: 10.3788/CO.20171005.0681
Abstract:
As a new panoramic vision system developed in recent 10 years, the catadioptric panoramic system has advantages in miniaturization, structural flexibility, low cost and real-time compared to conventional methods such as camera rotation scanning, multi-camera image stitching, and fisheye lens large field imaging. In this review, the recent progress in basic catadioptric panoramic system, including imaging models, system calibration, distortion correction and overall well-focused imaging, are summarized. Moreover, the extended applications in infrared imaging and stereo vision are also presented. Finally, the existing unsolved problems are discussed. It is also suggested that the future catadioptric panoramic system will focus on non-single view imaging model, improving of the spatial resolution method and implementing of the real-time processing algorithm.
As a new panoramic vision system developed in recent 10 years, the catadioptric panoramic system has advantages in miniaturization, structural flexibility, low cost and real-time compared to conventional methods such as camera rotation scanning, multi-camera image stitching, and fisheye lens large field imaging. In this review, the recent progress in basic catadioptric panoramic system, including imaging models, system calibration, distortion correction and overall well-focused imaging, are summarized. Moreover, the extended applications in infrared imaging and stereo vision are also presented. Finally, the existing unsolved problems are discussed. It is also suggested that the future catadioptric panoramic system will focus on non-single view imaging model, improving of the spatial resolution method and implementing of the real-time processing algorithm.
Abstract
FullText HTML
PDF 8286KB