2019 Vol. 12, No. 6
2019, 12(6): 1155-1178.
doi: 10.3788/CO.20191206.1155
Abstract:
Due to the diffraction limit, it is difficult to achieve far-field super-resolution focusing and imaging for traditional optical systems. The appearance of planar superlenses based on the super-oscillation principle provides a possible solution to the problem. It can achieve far-field super-resolution focus without using evanescent waves. By precisely adjusting the diffraction and interference effects among the diffractive elements, electric field oscillation that is higher than the highest spatial frequency of the system can be measured in the local area of the focal plane, and thus the transverse and axial sizes of the diffractive focal spot can be precisely controlled. Compared with conventional optical lenses, planar Super-Oscillatory Lenses(SOLs) hold advantages for their arbitrary control over the optical field, large degree of freedom in design and easy integration with optical systems. Due to the above-mentioned reasons, SOLs have attracted extensive attention from researchers in the fields of diffractive optics and micro-nano optics. In this paper, concerning practical applications, the research state-of-the-art and application scenarios of planar SOLs are presented and discussed. Finally, the system's problems and its corresponding solutions are also described.
Due to the diffraction limit, it is difficult to achieve far-field super-resolution focusing and imaging for traditional optical systems. The appearance of planar superlenses based on the super-oscillation principle provides a possible solution to the problem. It can achieve far-field super-resolution focus without using evanescent waves. By precisely adjusting the diffraction and interference effects among the diffractive elements, electric field oscillation that is higher than the highest spatial frequency of the system can be measured in the local area of the focal plane, and thus the transverse and axial sizes of the diffractive focal spot can be precisely controlled. Compared with conventional optical lenses, planar Super-Oscillatory Lenses(SOLs) hold advantages for their arbitrary control over the optical field, large degree of freedom in design and easy integration with optical systems. Due to the above-mentioned reasons, SOLs have attracted extensive attention from researchers in the fields of diffractive optics and micro-nano optics. In this paper, concerning practical applications, the research state-of-the-art and application scenarios of planar SOLs are presented and discussed. Finally, the system's problems and its corresponding solutions are also described.
2019, 12(6): 1179-1194.
doi: 10.3788/CO.20191206.1179
Abstract:
Compared with the traditional mechanical zoom lens, the variable-focus liquid lens has a smaller lens, faster response time, lower cost and higher integration capabilities. These lenses are widely used in image acquisition, target tracking and feature recognition. The performance and applications of liquid lenses are determined by the focal length adjustment method. This paper summarizes the progress of liquid crystals, dielectrophoresis, electrochemistry, electrowetting principle-based function control variable-focus lenses, electrostatic force, electromagnetic force, pressure regulation, and environmental-response-technology-based mechanical driven variable-focus lenses. The integrated applications of variable-focus liquid lenses in optofluidic chips are introduced. Also, the major obstacles and the settlement are described. Furthermore, the development potential and future research direction of the variable-focus liquid lens are also predicted and summarized.
Compared with the traditional mechanical zoom lens, the variable-focus liquid lens has a smaller lens, faster response time, lower cost and higher integration capabilities. These lenses are widely used in image acquisition, target tracking and feature recognition. The performance and applications of liquid lenses are determined by the focal length adjustment method. This paper summarizes the progress of liquid crystals, dielectrophoresis, electrochemistry, electrowetting principle-based function control variable-focus lenses, electrostatic force, electromagnetic force, pressure regulation, and environmental-response-technology-based mechanical driven variable-focus lenses. The integrated applications of variable-focus liquid lenses in optofluidic chips are introduced. Also, the major obstacles and the settlement are described. Furthermore, the development potential and future research direction of the variable-focus liquid lens are also predicted and summarized.
2019, 12(6): 1195-1234.
doi: 10.3788/CO.20191206.1195
Abstract:
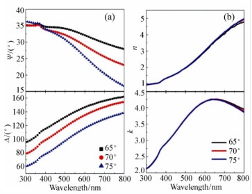
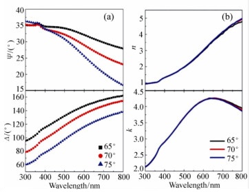
Spectroscopic ellipsometry is used to measure the relative amplitude and phase change of linearly polarized light reflected by a material surface, so as to obtain the ellipsometric parameters. The optical properties of a material can be deduced by fitting these parameters. This technique is advantageous for being non-contact, highly sensitive, non-destructive, so it is widely used in physics, chemistry, materials science and microelectronics, etc, being an indispensable optical measurement method. This article first introduces the development history of the technology, and then presents the basic principle of the traditional ellipsometer. According to different measurement principles, ellipsometers can be divided into two types:extinction and photometric. The basic structure, measurement principle and related application of these two different types of ellipsometer are briefly clarified. After comparing these various ellipsometers, their advantages and disadvantages are introduced. At this point, a double Fourier transform infrared ellipsometry system developed by Fudan University is highlighted. Then, according to the basic steps of ellipsometric parameter manipulation, a measurement, modeling and fitting process is introduced. The equations of various optical dispersion models used for parameter fitting are introduced in detail and application examples are illustrated. Finally, the future development direction of spectroscopic ellipsometry is proposed.
Spectroscopic ellipsometry is used to measure the relative amplitude and phase change of linearly polarized light reflected by a material surface, so as to obtain the ellipsometric parameters. The optical properties of a material can be deduced by fitting these parameters. This technique is advantageous for being non-contact, highly sensitive, non-destructive, so it is widely used in physics, chemistry, materials science and microelectronics, etc, being an indispensable optical measurement method. This article first introduces the development history of the technology, and then presents the basic principle of the traditional ellipsometer. According to different measurement principles, ellipsometers can be divided into two types:extinction and photometric. The basic structure, measurement principle and related application of these two different types of ellipsometer are briefly clarified. After comparing these various ellipsometers, their advantages and disadvantages are introduced. At this point, a double Fourier transform infrared ellipsometry system developed by Fudan University is highlighted. Then, according to the basic steps of ellipsometric parameter manipulation, a measurement, modeling and fitting process is introduced. The equations of various optical dispersion models used for parameter fitting are introduced in detail and application examples are illustrated. Finally, the future development direction of spectroscopic ellipsometry is proposed.
2019, 12(6): 1235-1248.
doi: 10.3788/CO.20191206.1235
Abstract:
Continuous monitoring of blood glucose levels is a prerequisite for controlling diabetes and its complications. Noninvasive methods have attracted great attention for their lack of injury and widespread acceptance. With the improvement of measurement accuracy in recent decades, optics-based methods of noninvasive blood glucose detection have shown great potential in clinical applications. In this paper, the main optics-based methods of noninvasive blood glucose detection, such as polarimetry, optical coherence tomography and infrared spectroscopy, are reviewed with regards to their principles, advantages, accuracy, problems and the possible solutions to those problems. By comparison, it concludes that the method of infrared spectroscopy has obvious advantages in detection accuracy. In the future, major challenges will be in increasing the signal-to-noise ratio of instruments, eliminating background interference and establishing universal calibration models.
Continuous monitoring of blood glucose levels is a prerequisite for controlling diabetes and its complications. Noninvasive methods have attracted great attention for their lack of injury and widespread acceptance. With the improvement of measurement accuracy in recent decades, optics-based methods of noninvasive blood glucose detection have shown great potential in clinical applications. In this paper, the main optics-based methods of noninvasive blood glucose detection, such as polarimetry, optical coherence tomography and infrared spectroscopy, are reviewed with regards to their principles, advantages, accuracy, problems and the possible solutions to those problems. By comparison, it concludes that the method of infrared spectroscopy has obvious advantages in detection accuracy. In the future, major challenges will be in increasing the signal-to-noise ratio of instruments, eliminating background interference and establishing universal calibration models.
2019, 12(6): 1249-1259.
doi: 10.3788/CO.20191206.1249
Abstract:
Ultraviolet Raman spectroscopy is a relatively effective and promising method for the detection of long-distance dangerous items. It has broad applications in the fields of anti-terrorism, drug control and food safety. Based on an analysis of the basic principles of Raman spectroscopy remote detection, this paper summarizes the advantages of ultraviolet Raman detection technology and comprehensively analyzes its research status. The module's design methods, key techniques and existing problems are analyzed from the perspective of laser emission, optical receiving system, spectral reception and spectral processing. The research difficulties and development trends of remote detection technology with ultraviolet Raman spectroscopy are summarized.
Ultraviolet Raman spectroscopy is a relatively effective and promising method for the detection of long-distance dangerous items. It has broad applications in the fields of anti-terrorism, drug control and food safety. Based on an analysis of the basic principles of Raman spectroscopy remote detection, this paper summarizes the advantages of ultraviolet Raman detection technology and comprehensively analyzes its research status. The module's design methods, key techniques and existing problems are analyzed from the perspective of laser emission, optical receiving system, spectral reception and spectral processing. The research difficulties and development trends of remote detection technology with ultraviolet Raman spectroscopy are summarized.
2019, 12(6): 1260-1270.
doi: 10.3788/CO.20191206.1260
Abstract:
In this article we explain the advancement and importance of spaceborne laser communication comparing with traditional microwave communication, introduce the basic components of laser communication systems, and briefly describe the working process of the system. After that, the foreign satellite-borne laser communication projects and development plans are summarized, focusing on the research status of satellite-borne laser communication in Japan, the United States and Europe in recent years. Besides, we also concisely describe the research progress in domestic universities and research institutes and point out the difficulties of current spaceborne laser communication and summarize the key technologies related to it. Finally, the future of the development of spaceborne laser communication is prospected.
In this article we explain the advancement and importance of spaceborne laser communication comparing with traditional microwave communication, introduce the basic components of laser communication systems, and briefly describe the working process of the system. After that, the foreign satellite-borne laser communication projects and development plans are summarized, focusing on the research status of satellite-borne laser communication in Japan, the United States and Europe in recent years. Besides, we also concisely describe the research progress in domestic universities and research institutes and point out the difficulties of current spaceborne laser communication and summarize the key technologies related to it. Finally, the future of the development of spaceborne laser communication is prospected.
2019, 12(6): 1271-1278.
doi: 10.3788/CO.20191206.1271
Abstract:
ZnO nanorods were prepared on ITO substrate using the hydrothermal method and then CdS quantum dots were synthesized on the ZnO nanorods with the chemical bath deposition method. The morphologies and crystalline structure of the as-prepared samples were characterized by SEM and XRD, respectively. The results indicated that after the chemical bath deposition, spherical CdS quantum dots were evenly coated on the surface of ZnO nanorods with good crystalline quality. The photodetectors made up of ZnO nanorods and ZnO nanorods/CdS quantum dots showed good response under ultraviolet(UV) irradiation. The photocurrent of ZnO nanorods/CdS quantum dots detector(0.52 mA) was 7 times higher than that of ZnO nanorods. In addition, the photodetector based on ZnO nanorods/CdS quantum dots exhibited good response to green and blue light.
ZnO nanorods were prepared on ITO substrate using the hydrothermal method and then CdS quantum dots were synthesized on the ZnO nanorods with the chemical bath deposition method. The morphologies and crystalline structure of the as-prepared samples were characterized by SEM and XRD, respectively. The results indicated that after the chemical bath deposition, spherical CdS quantum dots were evenly coated on the surface of ZnO nanorods with good crystalline quality. The photodetectors made up of ZnO nanorods and ZnO nanorods/CdS quantum dots showed good response under ultraviolet(UV) irradiation. The photocurrent of ZnO nanorods/CdS quantum dots detector(0.52 mA) was 7 times higher than that of ZnO nanorods. In addition, the photodetector based on ZnO nanorods/CdS quantum dots exhibited good response to green and blue light.
2019, 12(6): 1279-1287.
doi: 10.3788/CO.20191206.1279
Abstract:
Li+, Na+ co-doped (YxGdyLu1-x-y)2O3:0.5%Pr3+ phosphors were synthesized with a high temperature solid-state reaction. The structures of the samples were characterized by XRD. The excitation spectra, emission spectra and fluorescence lifetime of the samples were measured and analyzed using a fluorescence spectrophotometer. The results show that they are still the cubic phase of the matrix for Li+, Na+, doped (YxGdyLu1-x-y)2O3:Pr3+ samples. The doping of Li+ and Na+ in a single matrix can effectively improve the grain size while the doping of Li+ and Na+ in a composite matrix not only effectively improves the grain size, but also causes the sample to become ceramic. Under excitation at 272 nm, the powder samples present strong red emissions of Pr3+ at 632 nm. Under different conditions, (Y0.05Gd0.05Lu0.9)2O3:0.5%Pr3+, 2.5%Li+, 1%Na+ fluorescent powder obtained by calcination at 1 000℃ for two hours has the strongest luminescence, while the lifetime of the sample is shorter.
Li+, Na+ co-doped (YxGdyLu1-x-y)2O3:0.5%Pr3+ phosphors were synthesized with a high temperature solid-state reaction. The structures of the samples were characterized by XRD. The excitation spectra, emission spectra and fluorescence lifetime of the samples were measured and analyzed using a fluorescence spectrophotometer. The results show that they are still the cubic phase of the matrix for Li+, Na+, doped (YxGdyLu1-x-y)2O3:Pr3+ samples. The doping of Li+ and Na+ in a single matrix can effectively improve the grain size while the doping of Li+ and Na+ in a composite matrix not only effectively improves the grain size, but also causes the sample to become ceramic. Under excitation at 272 nm, the powder samples present strong red emissions of Pr3+ at 632 nm. Under different conditions, (Y0.05Gd0.05Lu0.9)2O3:0.5%Pr3+, 2.5%Li+, 1%Na+ fluorescent powder obtained by calcination at 1 000℃ for two hours has the strongest luminescence, while the lifetime of the sample is shorter.
2019, 12(6): 1288-1294.
doi: 10.3788/CO.20191206.1288
Abstract:
Laser-induced upconversion luminescence of lanthanide-doped nanoparticles has attracted great interest from researchers for many years due to its unique optical properties. The influence of solvents on the surfaces of these nanoparticles is a common problem in practical applications of these materials. However, traditional analysis methods are incapable of quantifying the influences of solvents. In response to this difficulty, we used a Monte Carlo simulation to reconstruct macroscopic upconversion luminescence at the microscopic level of ion-ion interaction. Then, we succeeded in obtaining quantified analysis results of the surface effects from four different aqueous solvents, which were water, methanol, ethanol and N, N-dimethylformamide(DMF). Both steady-state and dynamic spectra results show that the surface quenching rate of the upconversion nanoparticles in the highest to the lowest order of the four solvents are water, methanol, ethanol and DMF, which is attributed to the hydroxyl group and its activity. The computational simulation results show that the surface quenching rates of the Yb3+ excited state(2F5/2) in NaYF4:20%Yb, 2%Er upconversion nanoparticles in the four solvents are 2.5×104 s-1(DMF), 1×105 s-1(methanol and ethanol) and 5×105 s-1(water), which confirms our hypothesis.
Laser-induced upconversion luminescence of lanthanide-doped nanoparticles has attracted great interest from researchers for many years due to its unique optical properties. The influence of solvents on the surfaces of these nanoparticles is a common problem in practical applications of these materials. However, traditional analysis methods are incapable of quantifying the influences of solvents. In response to this difficulty, we used a Monte Carlo simulation to reconstruct macroscopic upconversion luminescence at the microscopic level of ion-ion interaction. Then, we succeeded in obtaining quantified analysis results of the surface effects from four different aqueous solvents, which were water, methanol, ethanol and N, N-dimethylformamide(DMF). Both steady-state and dynamic spectra results show that the surface quenching rate of the upconversion nanoparticles in the highest to the lowest order of the four solvents are water, methanol, ethanol and DMF, which is attributed to the hydroxyl group and its activity. The computational simulation results show that the surface quenching rates of the Yb3+ excited state(2F5/2) in NaYF4:20%Yb, 2%Er upconversion nanoparticles in the four solvents are 2.5×104 s-1(DMF), 1×105 s-1(methanol and ethanol) and 5×105 s-1(water), which confirms our hypothesis.
2019, 12(6): 1295-1302.
doi: 10.3788/CO.20191206.1295
Abstract:
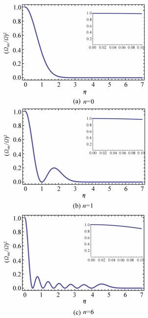
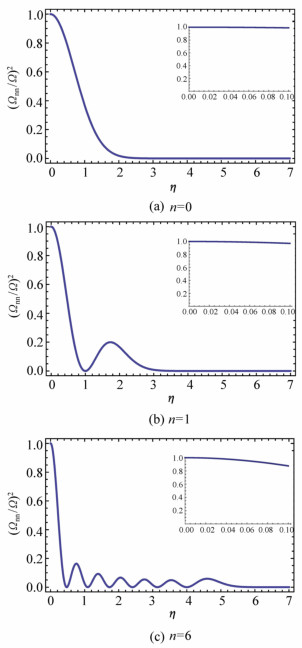
In order to optimize the trapping potential well of the lattice, an integrated three-dimensional(3-D) optical lattice system with cavity enhancement effect is proposed. Based on the theory of laser-atom interaction, the potential well for loading alkaline-earth metal 88Sr atoms is studied. The effects of confinement ability on cold atoms is obtained by discussing the Lamb-Dicke parameter η. When η < < 1, atoms are confined tightly in the well and the Rabi radiations associated with the carrier transition have maximum values. The sideband transition is suppressed. Three pairs of lasers are placed orthogonally to each other to form a three-dimensional optical lattice by making an incident laser propagate among mirrors set at several special angles. Results show that the input laser power required by this 3-D optical lattice system is only 1/15 of the power of the traditional system and the maximum depth of the potential well is 86 μK. The trapping frequency along the axis of the lattice is about 158 kHz and the corresponding parameter is only 0.17. It is also shown that the polarization characteristics of the lattice laser have a significant influence on the stability of the potential well distribution. This negative influence of instability induced by interference can be eliminated by perpendicular polarization between beams in each dimension. The integrated three-dimensional optical lattice can reduce the interference to the atom itself and is conducive to the precise detection of the trapped atom. This study provides a theoretical reference for efficiently loading cold Strontium atoms and other alkaline earth metal atoms into the optical lattice in experiments.
In order to optimize the trapping potential well of the lattice, an integrated three-dimensional(3-D) optical lattice system with cavity enhancement effect is proposed. Based on the theory of laser-atom interaction, the potential well for loading alkaline-earth metal 88Sr atoms is studied. The effects of confinement ability on cold atoms is obtained by discussing the Lamb-Dicke parameter η. When η < < 1, atoms are confined tightly in the well and the Rabi radiations associated with the carrier transition have maximum values. The sideband transition is suppressed. Three pairs of lasers are placed orthogonally to each other to form a three-dimensional optical lattice by making an incident laser propagate among mirrors set at several special angles. Results show that the input laser power required by this 3-D optical lattice system is only 1/15 of the power of the traditional system and the maximum depth of the potential well is 86 μK. The trapping frequency along the axis of the lattice is about 158 kHz and the corresponding parameter is only 0.17. It is also shown that the polarization characteristics of the lattice laser have a significant influence on the stability of the potential well distribution. This negative influence of instability induced by interference can be eliminated by perpendicular polarization between beams in each dimension. The integrated three-dimensional optical lattice can reduce the interference to the atom itself and is conducive to the precise detection of the trapped atom. This study provides a theoretical reference for efficiently loading cold Strontium atoms and other alkaline earth metal atoms into the optical lattice in experiments.
2019, 12(6): 1303-1310.
doi: 10.3788/CO.20191206.1303
Abstract:
This paper proposes a new position-resolving readout anode based on charge capacitance-division, which can improve the spatial resolution and photon counting rate of its detector. Firstly, the key factors affecting the imaging performance of existing photon-counting imaging detectors are introduced and the advantages of using capacitance-division readout anodes are analyzed. Secondly, the principle of charge capacitance-division is theoretically deduced and the relation between photon position and detector signal output is analyzed. Then, based on the theoretical deduction, the impact of a capacitance-division anode's physical parameters on the detector's performance is analyzed. After that, the optimized design principle for a capacitance-division position-resolved anode is proposed. A novel readout anode based on charge capacitance-division for a photon counting detector is designed. Finally, by using the finite element simulation tool COMSOL, a model for that readout anode is established, which is used to simulate the process of position-sensitivity and its accuracy. The simulation results show that the position-resolution performance of the new readout anode with the optimized design is better than 50 μm in most areas.
This paper proposes a new position-resolving readout anode based on charge capacitance-division, which can improve the spatial resolution and photon counting rate of its detector. Firstly, the key factors affecting the imaging performance of existing photon-counting imaging detectors are introduced and the advantages of using capacitance-division readout anodes are analyzed. Secondly, the principle of charge capacitance-division is theoretically deduced and the relation between photon position and detector signal output is analyzed. Then, based on the theoretical deduction, the impact of a capacitance-division anode's physical parameters on the detector's performance is analyzed. After that, the optimized design principle for a capacitance-division position-resolved anode is proposed. A novel readout anode based on charge capacitance-division for a photon counting detector is designed. Finally, by using the finite element simulation tool COMSOL, a model for that readout anode is established, which is used to simulate the process of position-sensitivity and its accuracy. The simulation results show that the position-resolution performance of the new readout anode with the optimized design is better than 50 μm in most areas.
2019, 12(6): 1311-1320.
doi: 10.3788/CO.20191206.1311
Abstract:
Aiming at the halo effect and the color distortion of bright areas when using traditional dark priori image defogging algorithms, we propose a traffic image dehaze method based on adaptive transmittance estimation with multi-scale window in this paper. Firstly, a new 8-direction edge detection operator is used to detect abrupt changes in field depth in images. According to the dark channel prior theory and the abrupt change of field depth obtained in the previous step, a 5×5 window is used in the larger area of field depth transformation and a 15×15 window is used in the smaller area to obtain a dark primary color estimation image. At the same time, targetting the problem of inaccurate estimation of transmittance when there is a white area in the close-range region due to the dark channel priori principle, we introduce an adaptive transmittance restoration method. An edge-enhanced dark image is obtained by using a guide filter, and the texture difference between the edge-enhanced dark image and the original dark primary image is used to correct the transmittance in the close-range region, and then to complete image dehazing. The experimental results show that the halo phenomenon exists in both the bilateral filter and the gradient bilateral filter, and the color distortion is serious in the bright area containing white objects, causing the objective evaluation index to be meaningless. Compared with the guide filter, the indexes of the dehazing algorithm used in this paper show improvement, wherein the average gradient increased by 8.305%, the PSNR increased by 12.455% and the edge strength factor increased by 7.77%. The algorithm can effectively solve issues arising from the halo effect and color distortion in bright areas in restored images while providing a more effective dehazing effect.
Aiming at the halo effect and the color distortion of bright areas when using traditional dark priori image defogging algorithms, we propose a traffic image dehaze method based on adaptive transmittance estimation with multi-scale window in this paper. Firstly, a new 8-direction edge detection operator is used to detect abrupt changes in field depth in images. According to the dark channel prior theory and the abrupt change of field depth obtained in the previous step, a 5×5 window is used in the larger area of field depth transformation and a 15×15 window is used in the smaller area to obtain a dark primary color estimation image. At the same time, targetting the problem of inaccurate estimation of transmittance when there is a white area in the close-range region due to the dark channel priori principle, we introduce an adaptive transmittance restoration method. An edge-enhanced dark image is obtained by using a guide filter, and the texture difference between the edge-enhanced dark image and the original dark primary image is used to correct the transmittance in the close-range region, and then to complete image dehazing. The experimental results show that the halo phenomenon exists in both the bilateral filter and the gradient bilateral filter, and the color distortion is serious in the bright area containing white objects, causing the objective evaluation index to be meaningless. Compared with the guide filter, the indexes of the dehazing algorithm used in this paper show improvement, wherein the average gradient increased by 8.305%, the PSNR increased by 12.455% and the edge strength factor increased by 7.77%. The algorithm can effectively solve issues arising from the halo effect and color distortion in bright areas in restored images while providing a more effective dehazing effect.
2019, 12(6): 1321-1328.
doi: 10.3788/CO.20191206.1321
Abstract:
To obtain a lifetime of surface discharge optical pumping source, the sectioned-surface discharge optical pumping source with an Al2O3 ceramic substrate is developed. Based on the discharge voltage and the discharge current waveforms of a pump source, the discharge period, the discharge channel resistance, the energy deposition efficiency and the average power density of discharge plasma are investigated in detail under different conditions. The discharge period, the discharge channel resistance and the energy deposition efficiency increase with an increase in the length of the discharge gap and the pressure of the mixed gas. A trend toward the opposite is observed as the charging voltage increases. The average power density of discharge plasma mainly depends on the charging voltage and the length of the discharge gap but is almost unaffected by the gas pressure. Normally, the energy deposition efficiency can be more than 82% and the average power density of discharge plasma is 9.36 MW/cm when the charging voltage is 26.8 kV, the discharge gap length is 8 cm, and the gas pressure is 100 kPa. The experimental results show that Al2O3 ceramic surface discharge optical pump source performs good discharge characteristics, and has a higher average discharge plasma power density than Teflon surface discharge optical pumping source under the same conditions, which results in a better vacuum ultraviolet radiation intensity and a brightness temperature above 23 kK. An Al2O3 ceramic surface discharge optical pumping source is appropriate for optical pumping XeF2 to obtain a high power XeF(C-A) blue-green laser.
To obtain a lifetime of surface discharge optical pumping source, the sectioned-surface discharge optical pumping source with an Al2O3 ceramic substrate is developed. Based on the discharge voltage and the discharge current waveforms of a pump source, the discharge period, the discharge channel resistance, the energy deposition efficiency and the average power density of discharge plasma are investigated in detail under different conditions. The discharge period, the discharge channel resistance and the energy deposition efficiency increase with an increase in the length of the discharge gap and the pressure of the mixed gas. A trend toward the opposite is observed as the charging voltage increases. The average power density of discharge plasma mainly depends on the charging voltage and the length of the discharge gap but is almost unaffected by the gas pressure. Normally, the energy deposition efficiency can be more than 82% and the average power density of discharge plasma is 9.36 MW/cm when the charging voltage is 26.8 kV, the discharge gap length is 8 cm, and the gas pressure is 100 kPa. The experimental results show that Al2O3 ceramic surface discharge optical pump source performs good discharge characteristics, and has a higher average discharge plasma power density than Teflon surface discharge optical pumping source under the same conditions, which results in a better vacuum ultraviolet radiation intensity and a brightness temperature above 23 kK. An Al2O3 ceramic surface discharge optical pumping source is appropriate for optical pumping XeF2 to obtain a high power XeF(C-A) blue-green laser.
2019, 12(6): 1329-1337.
doi: 10.3788/CO.20191206.1329
Abstract:
In digital image correlation measurements, the speckle area is manually selected before the correlation calculation is performed to define the matching area. With the development of industrial automation, facing the complex shape of the speckle area and the need to measure a large number of speckle images, it is crucial to find an automatic area extraction method. According to the characteristics of speckles and by comparing various conventional edge detection methods, a decision function based on second-order gradient entropy is proposed for automatically detecting speckle regions in images. By analyzing different speckle images, the optimal sub-region entropy size interval and the adaptive threshold interval in different speckle patterns were determined and the automatic extraction of the speckle region were completed by using connected region segmentation. The method was verified by using the actual speckle pattern. The experimental results show that when the entropy size of the subregion is more than 10 pixel, the decision function is sensitive to the speckle area. When the adaptive threshold value is within the range of Q-1.25 to Q, the speckle area and the background area can be effectively separated. The automatic extraction of a speckle area can be completed and the selection of speckle area before correlation calculation is achieved.
In digital image correlation measurements, the speckle area is manually selected before the correlation calculation is performed to define the matching area. With the development of industrial automation, facing the complex shape of the speckle area and the need to measure a large number of speckle images, it is crucial to find an automatic area extraction method. According to the characteristics of speckles and by comparing various conventional edge detection methods, a decision function based on second-order gradient entropy is proposed for automatically detecting speckle regions in images. By analyzing different speckle images, the optimal sub-region entropy size interval and the adaptive threshold interval in different speckle patterns were determined and the automatic extraction of the speckle region were completed by using connected region segmentation. The method was verified by using the actual speckle pattern. The experimental results show that when the entropy size of the subregion is more than 10 pixel, the decision function is sensitive to the speckle area. When the adaptive threshold value is within the range of Q-1.25 to Q, the speckle area and the background area can be effectively separated. The automatic extraction of a speckle area can be completed and the selection of speckle area before correlation calculation is achieved.
2019, 12(6): 1338-1347.
doi: 10.3788/CO.20191206.1338
Abstract:
On the basis of traditional interferometric holography technology, we propose a purely optical three-dimensional display holography technology. A spatial light modulator is used to realize wavefront reproduction of object beams from a real object and holographic images of the object are presented on different planes through tomography. First, a wavefront sensor is used to acquire the wavefront information of the real object. After that, a single fast Fourier transform algorithm is applied to simulate the transfer function of the imaging lens in the optical path and a phase grayscale image containing the wavefront information of the object light passing through the lens is prepared. Then, the incident parallel light field is modulated using two spatial light modulators to achieve wavefront reproduction of the light field passing through the lens. Finally, according to the imaging principle of the lens, a CCD is placed on the imaging surface of the two objects to obtain their tomography. The experimental results show that the stereoscopic tomographic image of the detected object is observed at a distance of 298.5 mm and 337.6 mm from the spatial light modulator when the focal length of the simulated lens is set to 150 mm and the calculated diffraction distance is 150 mm, respectively. The lateral magnifications of the two front and back imaging planes in the x and y axes are (1.1, 1.08) and (1.34, 1.09), respectively. Compared with the lateral magnification (1, 1.2) calculated by the lens imaging formula, these relative errors are (10.6%, 8%) and (11.7%, 8%). The angular spread is 2.95° and 2.61°, respectively, and the relative error is less than 5%, which confirms the experiment principals. The experiment provides an effective research method for the subsequent three-dimensional display and new holographic technology.
On the basis of traditional interferometric holography technology, we propose a purely optical three-dimensional display holography technology. A spatial light modulator is used to realize wavefront reproduction of object beams from a real object and holographic images of the object are presented on different planes through tomography. First, a wavefront sensor is used to acquire the wavefront information of the real object. After that, a single fast Fourier transform algorithm is applied to simulate the transfer function of the imaging lens in the optical path and a phase grayscale image containing the wavefront information of the object light passing through the lens is prepared. Then, the incident parallel light field is modulated using two spatial light modulators to achieve wavefront reproduction of the light field passing through the lens. Finally, according to the imaging principle of the lens, a CCD is placed on the imaging surface of the two objects to obtain their tomography. The experimental results show that the stereoscopic tomographic image of the detected object is observed at a distance of 298.5 mm and 337.6 mm from the spatial light modulator when the focal length of the simulated lens is set to 150 mm and the calculated diffraction distance is 150 mm, respectively. The lateral magnifications of the two front and back imaging planes in the x and y axes are (1.1, 1.08) and (1.34, 1.09), respectively. Compared with the lateral magnification (1, 1.2) calculated by the lens imaging formula, these relative errors are (10.6%, 8%) and (11.7%, 8%). The angular spread is 2.95° and 2.61°, respectively, and the relative error is less than 5%, which confirms the experiment principals. The experiment provides an effective research method for the subsequent three-dimensional display and new holographic technology.
2019, 12(6): 1348-1361.
doi: 10.3788/CO.20191206.1348
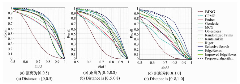
Abstract:
Region proposals are usually used to efficiently detect objects in object detection. In order to solve the problem that the region proposals have low quality, the convolutional edge features, object saliency and position information of objects are introduced into the region proposals algorithm. Firstly, the edge features with semantically meaningful information are generated from the images to be detected using the convolutional neural networks, and the score of edge information for per sliding window is obtained through the strategy of edge clustering and the similarities between the edge groups. Then, the salient object scores of each sliding window are computed using the local features of salient objects. Thirdly, the scores of object position information are calculated according to the location where objects may occur. Finally, the region proposals are determined by three components including edge information scores, salient object scores and the object positions scores. The experimental results in PASCAL VOC 2007 validation set show that given just 10 000 region proposals, the object recall of the proposed algorithm is 90.50%, that is increased by 3% comparing with Edge Boxes with intersection over union threshold of 0.7. The run time of the proposed method is about 0.76 seconds for processing one image, and this demonstrates that our approach can yield a set of region proposals with higher quality at a fast speed.
Region proposals are usually used to efficiently detect objects in object detection. In order to solve the problem that the region proposals have low quality, the convolutional edge features, object saliency and position information of objects are introduced into the region proposals algorithm. Firstly, the edge features with semantically meaningful information are generated from the images to be detected using the convolutional neural networks, and the score of edge information for per sliding window is obtained through the strategy of edge clustering and the similarities between the edge groups. Then, the salient object scores of each sliding window are computed using the local features of salient objects. Thirdly, the scores of object position information are calculated according to the location where objects may occur. Finally, the region proposals are determined by three components including edge information scores, salient object scores and the object positions scores. The experimental results in PASCAL VOC 2007 validation set show that given just 10 000 region proposals, the object recall of the proposed algorithm is 90.50%, that is increased by 3% comparing with Edge Boxes with intersection over union threshold of 0.7. The run time of the proposed method is about 0.76 seconds for processing one image, and this demonstrates that our approach can yield a set of region proposals with higher quality at a fast speed.
2019, 12(6): 1362-1375.
doi: 10.3788/CO.20191206.1362
Abstract:
For air-water Quantum Key Distribution(QKD), considering the effects of sea breeze, irregular sea surfaces with foam, the complicacy and variety of air-water channels and multiple scattering processes of the polarized quantum state, a heterogeneous air-water channel composite model is established. Based on this, the theoretical model of the error rate of air-water QKD systems is improved. Then, through a polarization vector Monte Carlo simulation, the transmission characteristics of photons in heterogeneous air-water channels and the overall transmission performance of air-water QKDs under different marine environments are analyzed in detail. The results show that heterogeneous air-water channels under clear seawater conditions can achieve a key distribution of 100 meters underwater, but the increase of wind speed and transmission distance will lead to an increase in the photon depolarization ratio and a decrease in fidelity, thereby increasing the polarization error rate. Meanwhile, the rise of wind speed and foam layer thickness adds the quantum error rate of air-water QKD systems and decreases the key generation rate and transmission distance. Both of these factors increase with an increase in signal wavelength. When the wavelength is 532 nm and the channel changes from best(no wind and foam) to worst(storm and foam layer thickness of 6 cm) conditions, the underwater transmission distance is shortened from 120.8 m to 85 m. It can guarantee a 100 m safety depth in underwater vehicles and alternate contingencies such as dragging the buoy can further increase the safety distance of air-water QKD. Therefore, this paper verifies the feasibility of a decoy QKD in a heterogeneous air-water channel with a foam-irregular sea surface and acts as a significant reference for future technologies in air-water integrated quantum communication links.
For air-water Quantum Key Distribution(QKD), considering the effects of sea breeze, irregular sea surfaces with foam, the complicacy and variety of air-water channels and multiple scattering processes of the polarized quantum state, a heterogeneous air-water channel composite model is established. Based on this, the theoretical model of the error rate of air-water QKD systems is improved. Then, through a polarization vector Monte Carlo simulation, the transmission characteristics of photons in heterogeneous air-water channels and the overall transmission performance of air-water QKDs under different marine environments are analyzed in detail. The results show that heterogeneous air-water channels under clear seawater conditions can achieve a key distribution of 100 meters underwater, but the increase of wind speed and transmission distance will lead to an increase in the photon depolarization ratio and a decrease in fidelity, thereby increasing the polarization error rate. Meanwhile, the rise of wind speed and foam layer thickness adds the quantum error rate of air-water QKD systems and decreases the key generation rate and transmission distance. Both of these factors increase with an increase in signal wavelength. When the wavelength is 532 nm and the channel changes from best(no wind and foam) to worst(storm and foam layer thickness of 6 cm) conditions, the underwater transmission distance is shortened from 120.8 m to 85 m. It can guarantee a 100 m safety depth in underwater vehicles and alternate contingencies such as dragging the buoy can further increase the safety distance of air-water QKD. Therefore, this paper verifies the feasibility of a decoy QKD in a heterogeneous air-water channel with a foam-irregular sea surface and acts as a significant reference for future technologies in air-water integrated quantum communication links.
2019, 12(6): 1376-1384.
doi: 10.3788/CO.20191206.1376
Abstract:
By using electron wave packet interference methodology, the effects of long-range Coulomb potential and rescattering electrons on the above-threshold ionization of hydrogen atoms in few-cycle intense laser field are investigated. Firstly, using the strong field approximation and Coulomb-Volkov approximation combined with the time window function, the intra- and inter-cycle interference images of hydrogen atoms in a linearly polarized laser field with a wavelength of 800 nm and a pulse width of 5 fs are simulated. It was found that a part of fanlike structure in 2D momentum spectra is formed by the interplay of inter-cycle and intra-cycle interferences under the action of long-range Coulomb. Subsequently, the first principle solution of the Time-Dependent Schrodinger Equation(TDSE) is used to calculate the 2D momentum spectrum of hydrogen atoms under the deep tunneling ionization mechanism. It was found that there are some abvious radial fringes in the 2D momentum spectrum. The results show that the radial fringes are formed by the interference of the rescattering electron wave packets, which are independent of the long-range coulomb potential.
By using electron wave packet interference methodology, the effects of long-range Coulomb potential and rescattering electrons on the above-threshold ionization of hydrogen atoms in few-cycle intense laser field are investigated. Firstly, using the strong field approximation and Coulomb-Volkov approximation combined with the time window function, the intra- and inter-cycle interference images of hydrogen atoms in a linearly polarized laser field with a wavelength of 800 nm and a pulse width of 5 fs are simulated. It was found that a part of fanlike structure in 2D momentum spectra is formed by the interplay of inter-cycle and intra-cycle interferences under the action of long-range Coulomb. Subsequently, the first principle solution of the Time-Dependent Schrodinger Equation(TDSE) is used to calculate the 2D momentum spectrum of hydrogen atoms under the deep tunneling ionization mechanism. It was found that there are some abvious radial fringes in the 2D momentum spectrum. The results show that the radial fringes are formed by the interference of the rescattering electron wave packets, which are independent of the long-range coulomb potential.
2019, 12(6): 1385-1394.
doi: 10.3788/CO.20191206.1385
Abstract:
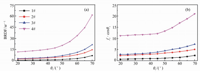
In this paper, the in-plane spectral bidirectional reflectance distribution function(BRDF) of red copper surfaces in the waveband of visible light was measured using a self-developed measuring device. The influences of wavelength, incident zenith angle and surface roughness on the measurement results were analyzed in detail. The results show that the BRDF curve versus wavelength is mainly affected by the color of the sample surface and is not affected by the incident and reflected angle; the incident zenith angle has obvious influence on the measurement results, which can be attributed to angle factor and the change of reflectance intensity varying with incident zenith; and roughness has a significant impact on the measurement results. With an increase of roughness, the reflection near the mirror's direction is weakened, while the reflection in the other directions is strengthened. In addition, Gauss and Lorentz distribution functions are used to fit the measurement data and the fitting results are incoordance with Lorentz distribution.
In this paper, the in-plane spectral bidirectional reflectance distribution function(BRDF) of red copper surfaces in the waveband of visible light was measured using a self-developed measuring device. The influences of wavelength, incident zenith angle and surface roughness on the measurement results were analyzed in detail. The results show that the BRDF curve versus wavelength is mainly affected by the color of the sample surface and is not affected by the incident and reflected angle; the incident zenith angle has obvious influence on the measurement results, which can be attributed to angle factor and the change of reflectance intensity varying with incident zenith; and roughness has a significant impact on the measurement results. With an increase of roughness, the reflection near the mirror's direction is weakened, while the reflection in the other directions is strengthened. In addition, Gauss and Lorentz distribution functions are used to fit the measurement data and the fitting results are incoordance with Lorentz distribution.
2019, 12(6): 1395-1402.
doi: 10.3788/CO.20191206.1395
Abstract:
When taking the film diffractive optical elements as main lens, large aperture diffractive telescope has the characteristics such as low mass density(surface mass density can reach 0.1 kg/m2), loose surface shape tolerance(surface accuracy requirements are the magnitude of centimeter) and low launch costs. In this paper, the imaging theory and the configuration of diffractive telescope are discussed. Then, the calculation process of the initial structure of this optical system is derived. A prototype system with 300-mm aperture, 2-m focal length and working wavelength from 0.58 μm to 0.68 μm is designed and star image test and resolution board test are carried out. The test result of star image is close to diffraction limit, which is agree well with the design result. The work in this paper can provide theory foundation and initial model for diffractive telescope designer, and can help them to reduce design time and increase imaging quality.
When taking the film diffractive optical elements as main lens, large aperture diffractive telescope has the characteristics such as low mass density(surface mass density can reach 0.1 kg/m2), loose surface shape tolerance(surface accuracy requirements are the magnitude of centimeter) and low launch costs. In this paper, the imaging theory and the configuration of diffractive telescope are discussed. Then, the calculation process of the initial structure of this optical system is derived. A prototype system with 300-mm aperture, 2-m focal length and working wavelength from 0.58 μm to 0.68 μm is designed and star image test and resolution board test are carried out. The test result of star image is close to diffraction limit, which is agree well with the design result. The work in this paper can provide theory foundation and initial model for diffractive telescope designer, and can help them to reduce design time and increase imaging quality.
2019, 12(6): 1403-1417.
doi: 10.3788/CO.20191206.1403
Abstract:
Phase modulation technology is widely used in detecting the rotational signal of gyro in resonator integrated optic gyroscopes in order to improve the sensitivity and suppress noises. This paper we review various phase modulation techniques that have been proposed by many researchers in recent years. The influences of backscattering noises on the performance of RIOG are introduced firstly. Various improved phase modulation techniques are proposed by different research groups. The advantages and limitations of these modulation techniques are investigated. The modulation techniques include two broad categories:namely, single-phase modulation technique (SPMT) and double phase modulation technique (DPMT). Compared with SPMT, DPMT can further improve accuracy and system robustness of RIOGs. High precision sideband locking technology is the latest emerging modulation method that is expected to fulfill performance requirements in the fields of aerospace and defense.
Phase modulation technology is widely used in detecting the rotational signal of gyro in resonator integrated optic gyroscopes in order to improve the sensitivity and suppress noises. This paper we review various phase modulation techniques that have been proposed by many researchers in recent years. The influences of backscattering noises on the performance of RIOG are introduced firstly. Various improved phase modulation techniques are proposed by different research groups. The advantages and limitations of these modulation techniques are investigated. The modulation techniques include two broad categories:namely, single-phase modulation technique (SPMT) and double phase modulation technique (DPMT). Compared with SPMT, DPMT can further improve accuracy and system robustness of RIOGs. High precision sideband locking technology is the latest emerging modulation method that is expected to fulfill performance requirements in the fields of aerospace and defense.
2019, 12(6): 1418-1430.
doi: 10.3788/CO.20191206.1418
Abstract:
In order to obtain point spread functions(PSFs) of a simple optical system accurately and improve the restored image quality, we present a wide-spectrum PSF estimation method based on PSF measurements. First, narrow-band PSFs are measured, and combining image matching algorithm, the sensor position and the deviation of the optical axis in the real optical system are calibrated. Then, the PSF of each wavelength and field of view is simulated and used for calculating the wide-spectrum PSFs of the real optical system according to the object reflectance spectrum and the spectral sensitivity information of the sensor. Experimental results indicate that the proposed PSF estimation method is better than the narrow-band PSF estimation and blind PSF estimation. The restored image is more stable and its quality is improved significantly. The proposed method can estimate the PSFs of the real optical imaging system accurately.
In order to obtain point spread functions(PSFs) of a simple optical system accurately and improve the restored image quality, we present a wide-spectrum PSF estimation method based on PSF measurements. First, narrow-band PSFs are measured, and combining image matching algorithm, the sensor position and the deviation of the optical axis in the real optical system are calibrated. Then, the PSF of each wavelength and field of view is simulated and used for calculating the wide-spectrum PSFs of the real optical system according to the object reflectance spectrum and the spectral sensitivity information of the sensor. Experimental results indicate that the proposed PSF estimation method is better than the narrow-band PSF estimation and blind PSF estimation. The restored image is more stable and its quality is improved significantly. The proposed method can estimate the PSFs of the real optical imaging system accurately.
2019, 12(6): 1431-1441.
doi: 10.3788/CO.20191206.1431
Abstract:
Top-emitting devices have the potential to achieve high aperture ratio of 100%, and thus it is very important for high-quality OLED displays. However, traditional fabrication methods used for achieving red, green and blue(RGB) OLED display are complicated and difficult, and spectral stability of such RGB OLEDs is always poor as time goes on. In this paper, to achieve color-stable RGB OLEDs, red and green quantum dots down-conversion films with microstructure are prepared by integrating CdSe/ZnS quantum dots into polymethyl methacrylate and using transfer imprint process, and then they are combined with efficient top-emitting blue OLED and color filters to achieve RGB emission using the same organic functional layers. RGB OLEDs exhibit a maximum current efficiency of 3.6, 21.9 and 10.6 cd/A, respectively, and their chromaticity coordinates are (0.70, 0.30), (0.24, 0.62) and (0.10, 0.20), respectively. Spectra and chromaticity coordinates of RGB OLEDs are almost invariable under different voltages, and emission of such RGB OLEDs also show excellent angle stability. This method used for realizing full-color OLED has the advantages of simple fabrication technique and low cost, and thus has broad development prospects.
Top-emitting devices have the potential to achieve high aperture ratio of 100%, and thus it is very important for high-quality OLED displays. However, traditional fabrication methods used for achieving red, green and blue(RGB) OLED display are complicated and difficult, and spectral stability of such RGB OLEDs is always poor as time goes on. In this paper, to achieve color-stable RGB OLEDs, red and green quantum dots down-conversion films with microstructure are prepared by integrating CdSe/ZnS quantum dots into polymethyl methacrylate and using transfer imprint process, and then they are combined with efficient top-emitting blue OLED and color filters to achieve RGB emission using the same organic functional layers. RGB OLEDs exhibit a maximum current efficiency of 3.6, 21.9 and 10.6 cd/A, respectively, and their chromaticity coordinates are (0.70, 0.30), (0.24, 0.62) and (0.10, 0.20), respectively. Spectra and chromaticity coordinates of RGB OLEDs are almost invariable under different voltages, and emission of such RGB OLEDs also show excellent angle stability. This method used for realizing full-color OLED has the advantages of simple fabrication technique and low cost, and thus has broad development prospects.
Abstract
FullText HTML
PDF 14797KB