2020 Vol. 13, No. 2
2020, 13(2): 217-228.
doi: 10.3788/CO.20201302.0217
Abstract:
In recent years, OLED(Organic Light Emitting Diode) devices have been widely used in small-and medium-sized displays, and have gradually been popularized in large area display applications, such as in TVs and lighting. With the continuous development of organic light-emitting technology, higher requirements drive research on the color and pattern of OLED devices. Compared with the traditional vacuum evaporation process, inkjet printing technology easily colors large-area devices and patterns composite functional materials. It is also simple to implement, low in cost and has a more flexible process. In this paper, the current progress of inkjet-printed OLED devices is reviewed. Furthermore, this paper systematically introduces the development of inkjet printing equipment, by optimizing bank structures to improve the resolution of their display screens, by optimizing the ink formulation and composition ratio to suppress the coffee ring effect of inkjet droplets, and improves the uniformity of display luminescence. Finally, this paper summarizes and provides prospects for the future development of this technology at home and abroad.
In recent years, OLED(Organic Light Emitting Diode) devices have been widely used in small-and medium-sized displays, and have gradually been popularized in large area display applications, such as in TVs and lighting. With the continuous development of organic light-emitting technology, higher requirements drive research on the color and pattern of OLED devices. Compared with the traditional vacuum evaporation process, inkjet printing technology easily colors large-area devices and patterns composite functional materials. It is also simple to implement, low in cost and has a more flexible process. In this paper, the current progress of inkjet-printed OLED devices is reviewed. Furthermore, this paper systematically introduces the development of inkjet printing equipment, by optimizing bank structures to improve the resolution of their display screens, by optimizing the ink formulation and composition ratio to suppress the coffee ring effect of inkjet droplets, and improves the uniformity of display luminescence. Finally, this paper summarizes and provides prospects for the future development of this technology at home and abroad.
2020, 13(2): 229-248.
doi: 10.3788/CO.20201302.0229
Abstract:
Laser technology in rock removal is an important research direction in the field of applied optics. It is a complex, high-temperature and high-pressure physical and chemical process with multi-phase, multi-coupling and multi-scale applications. In order to clarify the core difficulties in laser-rock interaction research and to provide an effective theory reference and trend information for researchers, an overview of research on laser rock removal technology is summarized. Firstly, the mechanism of rock removal using lasers is clarified. Then, existing research of laser rock removal is summarized and analyzed from different perspectives, including laser equipment for petroleum drilling and completion, its influencing factors, the phase-change heat transfer of temperature fields, its physical and mechanical properties, and its feasibility in the oil and gas industry. Finally, the advantages of rock removal by laser technology compared with traditional drilling and completion methods are elaborated. In view of the existing problems in laser-rock interaction research, the future development trend of rock removal by laser technology is predicted. The research results show that rock removal by laser technology can lead to research breakthroughs in field-supporting facilities, multi-factor evaluation, multi-field coupling mechanisms and theoretical systems of underground applicability.
Laser technology in rock removal is an important research direction in the field of applied optics. It is a complex, high-temperature and high-pressure physical and chemical process with multi-phase, multi-coupling and multi-scale applications. In order to clarify the core difficulties in laser-rock interaction research and to provide an effective theory reference and trend information for researchers, an overview of research on laser rock removal technology is summarized. Firstly, the mechanism of rock removal using lasers is clarified. Then, existing research of laser rock removal is summarized and analyzed from different perspectives, including laser equipment for petroleum drilling and completion, its influencing factors, the phase-change heat transfer of temperature fields, its physical and mechanical properties, and its feasibility in the oil and gas industry. Finally, the advantages of rock removal by laser technology compared with traditional drilling and completion methods are elaborated. In view of the existing problems in laser-rock interaction research, the future development trend of rock removal by laser technology is predicted. The research results show that rock removal by laser technology can lead to research breakthroughs in field-supporting facilities, multi-factor evaluation, multi-field coupling mechanisms and theoretical systems of underground applicability.
2020, 13(2): 249-257.
doi: 10.3788/CO.20201302.0249
Abstract:
In order to achieve rapid and high spectral resolution detection in the broad band from ultraviolet to near infrared with an atomic emission spectrometer, an ultra-precision rotation stage is used to drive grating rotation to realize spectral segment-scan with high speed and high precision functioning together with an imaging CCD. However, during the scan, the wavelength increment of detector pixel changes nonlinearly with the angle of the grating, and the wavelength increments of different pixels are different, which becomes an obstacle to accurate spectral calibration. To compensate for the nonlinearity of the grating dispersion, the corresponding relationship between the wavelengths of the pixels at both ends of the detector and the rotational angles of the grating is calculated based on the grating equation while the wavelengths of the other pixels are calculated by using the wavelengths of the pixels at both ends with the linear dispersion law. Thus, with this methodology, the calibration of the full band of wavelength is implemented. After calibration, according to the corresponding relationship between the angle and the detection wavelength band, the grating is driven to rotate successively to realize the spectral segment-scan with high resolution and high speed in broad band. The wavelength accuracy and repeatability with this method are tested by using a mercury lamp. The results show that the wavelength accuracy is better than 0.018 nm and the wavelength repeatability is better than 0.001 nm in the wave band from 200 nm to 800 nm.
In order to achieve rapid and high spectral resolution detection in the broad band from ultraviolet to near infrared with an atomic emission spectrometer, an ultra-precision rotation stage is used to drive grating rotation to realize spectral segment-scan with high speed and high precision functioning together with an imaging CCD. However, during the scan, the wavelength increment of detector pixel changes nonlinearly with the angle of the grating, and the wavelength increments of different pixels are different, which becomes an obstacle to accurate spectral calibration. To compensate for the nonlinearity of the grating dispersion, the corresponding relationship between the wavelengths of the pixels at both ends of the detector and the rotational angles of the grating is calculated based on the grating equation while the wavelengths of the other pixels are calculated by using the wavelengths of the pixels at both ends with the linear dispersion law. Thus, with this methodology, the calibration of the full band of wavelength is implemented. After calibration, according to the corresponding relationship between the angle and the detection wavelength band, the grating is driven to rotate successively to realize the spectral segment-scan with high resolution and high speed in broad band. The wavelength accuracy and repeatability with this method are tested by using a mercury lamp. The results show that the wavelength accuracy is better than 0.018 nm and the wavelength repeatability is better than 0.001 nm in the wave band from 200 nm to 800 nm.
2020, 13(2): 258-265.
doi: 10.3788/CO.20201302.0258
Abstract:
Single Crystal Fiber (SCF) laser is widely applied into scientific research and engineering, owing to its superior thermal management, compact mechanical structure and high power output. In this paper, the temperature field of an Nd:YAG SCF laser related to thermal effect produced by pump laser is presented. By solving the heat conduction equation with the analytical method, the thermal model of Nd:YAG SCF is studied. The temperature distribution of Nd:YAG SCF producing a 946 nm laser by an 808 nm pumping light with power of 86 W is obtained. Results show that the maximum temperature rise at the incident end face of SCF is 30.98℃, obviously lower than that of an Nd:YAG crystal of 94.37℃ under the same conditions. Besides, compared with a temperature rise of 19℃ in SCF obtained by Finite Element Analysis(FEA), temperature rise calculated by analytical method are closer to the experimentally measured value of 31℃. This indicates that the analytical method is more realistic and accurate in describing the temperature field of Nd:YAG SCF. The temperature characteristics of the SCF and the influence of some important parameters are also studied. One of the key factors is the absorption coefficient of the SCF, which has an approximately linear relationship with its temperature rise. Another factor is the core radius of the SCF, which is proportional in value to the rise in temperature. The temperature rise increases with core radius, while decreasing with beam radius of 808 nm pump laser. The root mean square is applied to precisely describe the temperature affected by these parameters. According to the data analysis, uniform distribution in the temperature field can be realized by appropriately selecting the above parameters. The research can be a reference for controlling the thermal effect of single crystal fiber lasers and improving its performance.
Single Crystal Fiber (SCF) laser is widely applied into scientific research and engineering, owing to its superior thermal management, compact mechanical structure and high power output. In this paper, the temperature field of an Nd:YAG SCF laser related to thermal effect produced by pump laser is presented. By solving the heat conduction equation with the analytical method, the thermal model of Nd:YAG SCF is studied. The temperature distribution of Nd:YAG SCF producing a 946 nm laser by an 808 nm pumping light with power of 86 W is obtained. Results show that the maximum temperature rise at the incident end face of SCF is 30.98℃, obviously lower than that of an Nd:YAG crystal of 94.37℃ under the same conditions. Besides, compared with a temperature rise of 19℃ in SCF obtained by Finite Element Analysis(FEA), temperature rise calculated by analytical method are closer to the experimentally measured value of 31℃. This indicates that the analytical method is more realistic and accurate in describing the temperature field of Nd:YAG SCF. The temperature characteristics of the SCF and the influence of some important parameters are also studied. One of the key factors is the absorption coefficient of the SCF, which has an approximately linear relationship with its temperature rise. Another factor is the core radius of the SCF, which is proportional in value to the rise in temperature. The temperature rise increases with core radius, while decreasing with beam radius of 808 nm pump laser. The root mean square is applied to precisely describe the temperature affected by these parameters. According to the data analysis, uniform distribution in the temperature field can be realized by appropriately selecting the above parameters. The research can be a reference for controlling the thermal effect of single crystal fiber lasers and improving its performance.
2020, 13(2): 266-272.
doi: 10.3788/CO.20201302.0266
Abstract:
The inner surface profile of capsule, which is one of the essential parameters of laser nuclear fusion capsule, needs to be measured precisely. In this paper, the basic measurement principle of the capsule's inner surface profile, which is based on the white light confocal spectrum and precision air flotation bearing, is analyzed firstly and the corresponding measuring method is presented.Then, the experimental apparatus applied to measure the inner surface profile of capsule is developed, and an auxiliary aligning method based on optical image is proposed. The precise measurement of the inner surface profile of capsule is achieved and the accurate inner surface profile curve of capsule is obtained. Finally, the reliability of measured data is verified experimentally and the measuring uncertainty is analyzed. The experimental results illustrate that the inner surface profile of capsule can be measured accurately using white light confocal spectrum and the measuring uncertainty is less than 0.1 μm.
The inner surface profile of capsule, which is one of the essential parameters of laser nuclear fusion capsule, needs to be measured precisely. In this paper, the basic measurement principle of the capsule's inner surface profile, which is based on the white light confocal spectrum and precision air flotation bearing, is analyzed firstly and the corresponding measuring method is presented.Then, the experimental apparatus applied to measure the inner surface profile of capsule is developed, and an auxiliary aligning method based on optical image is proposed. The precise measurement of the inner surface profile of capsule is achieved and the accurate inner surface profile curve of capsule is obtained. Finally, the reliability of measured data is verified experimentally and the measuring uncertainty is analyzed. The experimental results illustrate that the inner surface profile of capsule can be measured accurately using white light confocal spectrum and the measuring uncertainty is less than 0.1 μm.
2020, 13(2): 273-280.
doi: 10.3788/CO.20201302.0273
Abstract:
Dermoscopy has been widely used in the diagnosis of skin lesions in the clinical field. However, difficulty remains in clear and accurate observation of the size, shape, color depth and size of superficial vascular plexus vessels in the epidermis, dermal-epidermal junction and dermal papilla. Since the epidermis is specularly reflective, it does not change the polarization state of the reflected light. Contrarily, tissue below the epidermal layer of the skin tissue changes the polarization state of the source light. Based on this, we designed a handheld system with a field of view of 22 mm and a magnification of 10×that performs polarized dermoscopy through the use of polarized illumination imaging technology, which more clearly and effectively observe the lesions of deep skin tissue and the morphology of lesions, thereby improving the efficiency of clinical diagnoses.
Dermoscopy has been widely used in the diagnosis of skin lesions in the clinical field. However, difficulty remains in clear and accurate observation of the size, shape, color depth and size of superficial vascular plexus vessels in the epidermis, dermal-epidermal junction and dermal papilla. Since the epidermis is specularly reflective, it does not change the polarization state of the reflected light. Contrarily, tissue below the epidermal layer of the skin tissue changes the polarization state of the source light. Based on this, we designed a handheld system with a field of view of 22 mm and a magnification of 10×that performs polarized dermoscopy through the use of polarized illumination imaging technology, which more clearly and effectively observe the lesions of deep skin tissue and the morphology of lesions, thereby improving the efficiency of clinical diagnoses.
Testing on diesel engine emission temperature using tunable laser absorption spectroscopy technology
2020, 13(2): 281-289.
doi: 10.3788/CO.20201302.0281
Abstract:
To measure CO2 gas in the exhaust of the D4114B diesel engine, the volume fraction and temperature of the gas were studied and analyzed. Based on the principles of Tunable Diode Laser Absorption Spectroscopy (TDLAS), the process of exhaust gas measurement was simulated using various modules in the SIMULINK library of MATLAB. Through simulation, the relative temperature error of the CO2 was 0.03%. The simulation results were verified with a D4114B marine diesel engine. A visualization window was added to its exhaust pipe and a corresponding test system was installed. A tunable laser with a semiconductor as a working medium was used as the laser light source to carry out on-line tests of the CO2 temperature in the gas emissions. In this study, the relative error of the test was less than 4.0%. It can be seen from the results that the different between the temperature measured by the model built with a SIMULINK and that of the actual diesel exhaust emission is slight. Therefore, the simulation result can be used as a reference for the diesel engine exhaust temperature measurement.
To measure CO2 gas in the exhaust of the D4114B diesel engine, the volume fraction and temperature of the gas were studied and analyzed. Based on the principles of Tunable Diode Laser Absorption Spectroscopy (TDLAS), the process of exhaust gas measurement was simulated using various modules in the SIMULINK library of MATLAB. Through simulation, the relative temperature error of the CO2 was 0.03%. The simulation results were verified with a D4114B marine diesel engine. A visualization window was added to its exhaust pipe and a corresponding test system was installed. A tunable laser with a semiconductor as a working medium was used as the laser light source to carry out on-line tests of the CO2 temperature in the gas emissions. In this study, the relative error of the test was less than 4.0%. It can be seen from the results that the different between the temperature measured by the model built with a SIMULINK and that of the actual diesel exhaust emission is slight. Therefore, the simulation result can be used as a reference for the diesel engine exhaust temperature measurement.
2020, 13(2): 290-301.
doi: 10.3788/CO.20201302.0290
Abstract:
In practical applications, when the coding template of coded aperture spectral imagers does not match the resolution of their detector, the resolution of the system is lowered. For this problem, by using a mathematical model for the Coded Aperture Snapshot Spectral Imaging system (CASSI), its limiting factors such as a mismatch between its coding template and the detector's resolution are analyzed and the corresponding solutions are given. Considering that the resolution of the coding template is higher than the resolution of the detector, it is proposed that super-resolution technology is introduced to the CASSI system to achieve super-resolution spectral imaging through compressed sensing. For cases in which the resolution of the coding template is lower than the resolution of the detector, a grayscale coding aperture with threshold partitioning grading is proposed to achieve a high-resolution coding mode, which can ensure the resolution of the coded aperture spectral imager. The GPSR algorithm is used to reconstruct the data cube. Experimental results show that the spectral image measured by the CASSI system based on super-resolution theory is more accurate and richer in content. The CASSI system based on a coded aperture with grayscale grading is employed and shown to have higher spatial resolution and spectral resolution. It can be concluded that after optimization, the resolution and imaging quality of the CASSI system are greatly improved and its high resolution components are fully utilized.
In practical applications, when the coding template of coded aperture spectral imagers does not match the resolution of their detector, the resolution of the system is lowered. For this problem, by using a mathematical model for the Coded Aperture Snapshot Spectral Imaging system (CASSI), its limiting factors such as a mismatch between its coding template and the detector's resolution are analyzed and the corresponding solutions are given. Considering that the resolution of the coding template is higher than the resolution of the detector, it is proposed that super-resolution technology is introduced to the CASSI system to achieve super-resolution spectral imaging through compressed sensing. For cases in which the resolution of the coding template is lower than the resolution of the detector, a grayscale coding aperture with threshold partitioning grading is proposed to achieve a high-resolution coding mode, which can ensure the resolution of the coded aperture spectral imager. The GPSR algorithm is used to reconstruct the data cube. Experimental results show that the spectral image measured by the CASSI system based on super-resolution theory is more accurate and richer in content. The CASSI system based on a coded aperture with grayscale grading is employed and shown to have higher spatial resolution and spectral resolution. It can be concluded that after optimization, the resolution and imaging quality of the CASSI system are greatly improved and its high resolution components are fully utilized.
2020, 13(2): 302-312.
doi: 10.3788/CO.20201302.0302
Abstract:
Surface measurement using a Coordinate Measuring Machine(CMM) is the main method of processing large-aperture high order aspheric mirror fabrication. Because three main types of measurement error exist in original data, the achieved surface residual cannot be directly used in mirror fabrication. Therefore, a series of algorithms for cleaning the errors of CMM point clouds is proposed. Firstly, Probe Radius Compensation(PRC) based on aspherical surface reconstruction is used to compensate for probe radius error in acquired data. Then, the compensation data is processed to remove the rotation and translation errors in the coordinate system. Finally, Surface Residual Denoising(SRD) based on KNN is used to denoise the extracted surface residual data. In the PRC algorithm, a high-precision surface fitting model for probe center points is proposed, which takes rotation and translation errors into consideration. With this model, a correcting vector for each point can be calculated to compensate for the probe radius error. The Simulation experiments show that with PRC algorithm, the precision can reach RMS < 4 nm. By densifying the sampling points with spatial interpolation and optimizing the noise characterization, the proposed SRD algorithm can identify the noise points with a high degree of sensitivity, making the denoising intelligent. Software was constructed according to the error cleaning algorithm and its application shows that it can effectively improve the accuracy and efficiency of CMM point cloud processing during aspheric mirror fabrication.
Surface measurement using a Coordinate Measuring Machine(CMM) is the main method of processing large-aperture high order aspheric mirror fabrication. Because three main types of measurement error exist in original data, the achieved surface residual cannot be directly used in mirror fabrication. Therefore, a series of algorithms for cleaning the errors of CMM point clouds is proposed. Firstly, Probe Radius Compensation(PRC) based on aspherical surface reconstruction is used to compensate for probe radius error in acquired data. Then, the compensation data is processed to remove the rotation and translation errors in the coordinate system. Finally, Surface Residual Denoising(SRD) based on KNN is used to denoise the extracted surface residual data. In the PRC algorithm, a high-precision surface fitting model for probe center points is proposed, which takes rotation and translation errors into consideration. With this model, a correcting vector for each point can be calculated to compensate for the probe radius error. The Simulation experiments show that with PRC algorithm, the precision can reach RMS < 4 nm. By densifying the sampling points with spatial interpolation and optimizing the noise characterization, the proposed SRD algorithm can identify the noise points with a high degree of sensitivity, making the denoising intelligent. Software was constructed according to the error cleaning algorithm and its application shows that it can effectively improve the accuracy and efficiency of CMM point cloud processing during aspheric mirror fabrication.
2020, 13(2): 313-322.
doi: 10.3788/CO.20201302.0313
Abstract:
In this paper, the surface of stainless steel is treated with a fiber laser to prepare a circular array structure to enhance the bonding strength between stainless steel and plastic. The stainless steel is connected to the plastic under heat and pressure. In order to obtain the expected bonding strength of stainless steel and plastic, the effects of the circular array structure's parameters and bonding parameters on bonding strength are investigated. The results show that when the heating temperature is 400℃, the shear force of stainless steel and plastic bond is the strongest. When the pressure is 75 kN, the shear force of stainless steel and plastic bond is at its strongest. The height, quantity and coverage of burrs on the metal surface after laser treatment have an important effect on the bonding strength between stainless steel and plastics. When the proportion of burr number Tm value is less than 14.82%, the stainless steel and plastic fractured at the bond's surface and the shear force increases with the increase of Tm. When the Tm value is greater than 14.82%, the stainless steel and plastic fractured at the plastic, and the strength of the shear force fluctuates around the average tensile fracture force of 950 N. The coverage of the laser processing area has an impact on the connection strength, 38.5% is the minimum coverage of stainless steel and plastics when they fracture at the plastic, which then has shear force of 900 N.
In this paper, the surface of stainless steel is treated with a fiber laser to prepare a circular array structure to enhance the bonding strength between stainless steel and plastic. The stainless steel is connected to the plastic under heat and pressure. In order to obtain the expected bonding strength of stainless steel and plastic, the effects of the circular array structure's parameters and bonding parameters on bonding strength are investigated. The results show that when the heating temperature is 400℃, the shear force of stainless steel and plastic bond is the strongest. When the pressure is 75 kN, the shear force of stainless steel and plastic bond is at its strongest. The height, quantity and coverage of burrs on the metal surface after laser treatment have an important effect on the bonding strength between stainless steel and plastics. When the proportion of burr number Tm value is less than 14.82%, the stainless steel and plastic fractured at the bond's surface and the shear force increases with the increase of Tm. When the Tm value is greater than 14.82%, the stainless steel and plastic fractured at the plastic, and the strength of the shear force fluctuates around the average tensile fracture force of 950 N. The coverage of the laser processing area has an impact on the connection strength, 38.5% is the minimum coverage of stainless steel and plastics when they fracture at the plastic, which then has shear force of 900 N.
2020, 13(2): 323-332.
doi: 10.3788/CO.20201302.0323
Abstract:
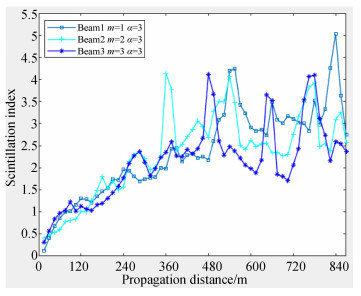
The propagation and scintillation index of elliptical vortex beams propagating in oceanic turbulence were simulated using a step-by-step phase screen method.It was found that the beam spot rotates significantly when an elliptical vortex beam transmits through the oceanic turbulence and dark cores are produced, whose number is equal to the topological charge of the beam. A phase singularity with the topological charge m splits into m phase singularities with 1 unit of topological charge and as oceanic turbulence is made stronger, the beam spot experiences greater distortion. It was also found that with an increment in propagation distance, the scintillation index of the elliptical vortex beam is lower than that of the Gaussian beam and the vortex beam in weaker ocean turbulence.Likewise, it was found that the scintillation index reduces more evidently with a larger topological charge when the elliptical vortex beam propagates over a longer distance and that the scintillation index of the vortex beam is lower than that of Gaussian beam after a given transmission distance. In stronger oceanic turbulence, the scintillation indices of the elliptical vortex beams overlap. For oceanic turbulence of different strength, the on-axis scintillation index of the elliptical vortex beam increases with an increment in the rate of dissipation of the mean-square temperature. At a constant propagation distance, a smaller elliptical vortex beam waist width corresponds to a smaller scintillation index.
The propagation and scintillation index of elliptical vortex beams propagating in oceanic turbulence were simulated using a step-by-step phase screen method.It was found that the beam spot rotates significantly when an elliptical vortex beam transmits through the oceanic turbulence and dark cores are produced, whose number is equal to the topological charge of the beam. A phase singularity with the topological charge m splits into m phase singularities with 1 unit of topological charge and as oceanic turbulence is made stronger, the beam spot experiences greater distortion. It was also found that with an increment in propagation distance, the scintillation index of the elliptical vortex beam is lower than that of the Gaussian beam and the vortex beam in weaker ocean turbulence.Likewise, it was found that the scintillation index reduces more evidently with a larger topological charge when the elliptical vortex beam propagates over a longer distance and that the scintillation index of the vortex beam is lower than that of Gaussian beam after a given transmission distance. In stronger oceanic turbulence, the scintillation indices of the elliptical vortex beams overlap. For oceanic turbulence of different strength, the on-axis scintillation index of the elliptical vortex beam increases with an increment in the rate of dissipation of the mean-square temperature. At a constant propagation distance, a smaller elliptical vortex beam waist width corresponds to a smaller scintillation index.
2020, 13(2): 333-343.
doi: 10.3788/CO.20201302.0333
Abstract:
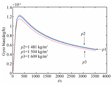
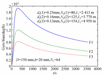
In order to improve accuracy and thermal performance, an analytical model of thermal-induced drift in interferometric fiber-optic gyroscopes containing all of the known phase perturbations is proposed. Unlike in previous studies, by incorporating fiber birefringence as one of the model's known error sources, the proposed model directly relates gyro performance to mechanical, geometric, thermal and optical parameters in coiled fibers. The influence of these parameters on the gyro drift was numerically calculated according to the presented model. Measurement results of a quadrupole coil within gyroscopes at 10-3 deg/h accuracy confirmed that the bias and its thermal drift induced by the intrinsic high birefringence and its thermal fluctuation in polarization-maintaining fibers are in the order of 10-3 deg/h and 10-2 deg/h. The results also confirmed that the thermal drift induced by the Shupe effect and the photoelastic effect in single-mode fibers are in the order of 10-4 deg/h and 10-3 deg/h, respectively. The proposed model shows that the highly stress-induced birefringence in polarization-maintaining fibers is a dominant source of error that results in bias and thermal drift in high performance interferometric fiber-optic gyroscopes. The model also comprehensively describes how the errors rise from fiber performance in fiber-optic gyroscopes and explains the non-linear dependence that the gyroscopic error has on fiber birefringence.
In order to improve accuracy and thermal performance, an analytical model of thermal-induced drift in interferometric fiber-optic gyroscopes containing all of the known phase perturbations is proposed. Unlike in previous studies, by incorporating fiber birefringence as one of the model's known error sources, the proposed model directly relates gyro performance to mechanical, geometric, thermal and optical parameters in coiled fibers. The influence of these parameters on the gyro drift was numerically calculated according to the presented model. Measurement results of a quadrupole coil within gyroscopes at 10-3 deg/h accuracy confirmed that the bias and its thermal drift induced by the intrinsic high birefringence and its thermal fluctuation in polarization-maintaining fibers are in the order of 10-3 deg/h and 10-2 deg/h. The results also confirmed that the thermal drift induced by the Shupe effect and the photoelastic effect in single-mode fibers are in the order of 10-4 deg/h and 10-3 deg/h, respectively. The proposed model shows that the highly stress-induced birefringence in polarization-maintaining fibers is a dominant source of error that results in bias and thermal drift in high performance interferometric fiber-optic gyroscopes. The model also comprehensively describes how the errors rise from fiber performance in fiber-optic gyroscopes and explains the non-linear dependence that the gyroscopic error has on fiber birefringence.
2020, 13(2): 344-353.
doi: 10.3788/CO.20201302.0344
Abstract:
In order to ensure the normal operation of space inertial sensors in orbit, it is necessary to ensure the test mass is fixed during launch to prevent collision with the surrounding capacitor plate. It must grab the test mass after reaching its predetermined orbit and precisely release it in its correct position with minimal residual velocity such that it remains free-floating. In this paper, a piezoelectric linear actuator that is used to grab the test mass is designed, customized and tested for performance. The test results show that the customized piezoelectric actuator can achieve a minimum step size of less than 1 nm, but the step length stability error is large; the maximum driving force at 150 V of input is 72 N; the single stepping drive force is stable; during the process of fixing the test mass, the driving force is stable and the deviation in its stability is 0.16%. These findings meet the needs of the grabbing, positioning, and release mechanisms.
In order to ensure the normal operation of space inertial sensors in orbit, it is necessary to ensure the test mass is fixed during launch to prevent collision with the surrounding capacitor plate. It must grab the test mass after reaching its predetermined orbit and precisely release it in its correct position with minimal residual velocity such that it remains free-floating. In this paper, a piezoelectric linear actuator that is used to grab the test mass is designed, customized and tested for performance. The test results show that the customized piezoelectric actuator can achieve a minimum step size of less than 1 nm, but the step length stability error is large; the maximum driving force at 150 V of input is 72 N; the single stepping drive force is stable; during the process of fixing the test mass, the driving force is stable and the deviation in its stability is 0.16%. These findings meet the needs of the grabbing, positioning, and release mechanisms.
2020, 13(2): 354-362.
doi: 10.3788/CO.20201302.0354
Abstract:
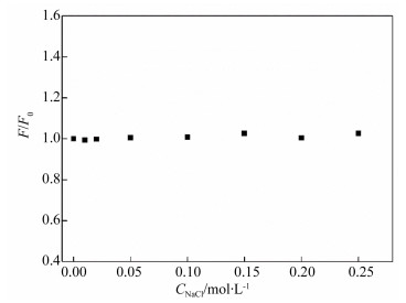
In order to explore the active mechanisms of meloxicam and lysozyme, the interaction between the molecules of rheumatoid arthritis drugs, meloxicam and lysozyme was studied using fluorescence spectroscopy, synchronous fluorescence spectroscopy and theoretical modeling analysis under the pH=7.40 experimental conditions. The results showed that meloxicam was able to effectively quench the endogenous fluorescence of lysozyme, forming a 1:1 complex and changing the conformation of lysozyme. Thermodynamic results indicated that the main type of meloxicam-lysozyme system was a hydrophobic interaction. The results of theoretical modeling indicated that the system had hydrogen bonds in addition to hydrophobic interactions and that meloxicam was surrounded by the active amino acid residues Glu35 and Asp52 from the lysozyme, which changed the microenvironment of amino acid residues at the active center of the lysozyme. When a patient took meloxicam 15 mg, the protein binding rate of meloxicam to lysozyme W(B) was 3.71%~8.79%, indicating that the combination of meloxicam and lysozyme has little effect on anti-inflammatory and antibacterial function of lysozyme itself, and the system drug binding rate W(Q) was 1.08%~1.14%, indicating that the combination of lysozyme and meloxicam does not affect the efficacy of meloxicam. This study theoretically proved that lysozyme does not have a serious effect on its own function or the efficacy of meloxicam after it is combined with meloxicam in plasma.
In order to explore the active mechanisms of meloxicam and lysozyme, the interaction between the molecules of rheumatoid arthritis drugs, meloxicam and lysozyme was studied using fluorescence spectroscopy, synchronous fluorescence spectroscopy and theoretical modeling analysis under the pH=7.40 experimental conditions. The results showed that meloxicam was able to effectively quench the endogenous fluorescence of lysozyme, forming a 1:1 complex and changing the conformation of lysozyme. Thermodynamic results indicated that the main type of meloxicam-lysozyme system was a hydrophobic interaction. The results of theoretical modeling indicated that the system had hydrogen bonds in addition to hydrophobic interactions and that meloxicam was surrounded by the active amino acid residues Glu35 and Asp52 from the lysozyme, which changed the microenvironment of amino acid residues at the active center of the lysozyme. When a patient took meloxicam 15 mg, the protein binding rate of meloxicam to lysozyme W(B) was 3.71%~8.79%, indicating that the combination of meloxicam and lysozyme has little effect on anti-inflammatory and antibacterial function of lysozyme itself, and the system drug binding rate W(Q) was 1.08%~1.14%, indicating that the combination of lysozyme and meloxicam does not affect the efficacy of meloxicam. This study theoretically proved that lysozyme does not have a serious effect on its own function or the efficacy of meloxicam after it is combined with meloxicam in plasma.
2020, 13(2): 363-371.
doi: 10.3788/CO.20201302.0363
Abstract:
In order to design an ultra-short-focus objective lens with a low throw ratio, a system of ultra-short-focus, low-throw-ratio objective lenses is designed using a freeform surface and refractive-reflective optical structure. The objective lenses consist of a rotationally symmetrical refractive lens group and a freeform surface mirror. A 11.938 mm Digital Micromirror Device (DMD) is used as a spatial light modulator to generate the image source. The normal-weighted iterative optimization method is used to calculate the freeform surface. Finally, the performance of the system is analyzed. The simulation results show that the ultra-short-focus projection objective lens can achieve a 3 048 mm screen projection at a distance of 580 mm. The throw ratio of the system is 0.19, which is extraordinarily low, and the maximum distortion of the system is less than 0.72%. This can meet the design requirements of low throw ratio ultra-short-focus projection objective lenses. This projection system is advantageous for its low throw ratio, low distortion and good imaging quality, which can provide a useful reference for the further development of ultra-short-focus projection systems.
In order to design an ultra-short-focus objective lens with a low throw ratio, a system of ultra-short-focus, low-throw-ratio objective lenses is designed using a freeform surface and refractive-reflective optical structure. The objective lenses consist of a rotationally symmetrical refractive lens group and a freeform surface mirror. A 11.938 mm Digital Micromirror Device (DMD) is used as a spatial light modulator to generate the image source. The normal-weighted iterative optimization method is used to calculate the freeform surface. Finally, the performance of the system is analyzed. The simulation results show that the ultra-short-focus projection objective lens can achieve a 3 048 mm screen projection at a distance of 580 mm. The throw ratio of the system is 0.19, which is extraordinarily low, and the maximum distortion of the system is less than 0.72%. This can meet the design requirements of low throw ratio ultra-short-focus projection objective lenses. This projection system is advantageous for its low throw ratio, low distortion and good imaging quality, which can provide a useful reference for the further development of ultra-short-focus projection systems.
2020, 13(2): 372-380.
doi: 10.3788/CO.20201302.0372
Abstract:
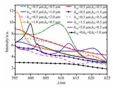
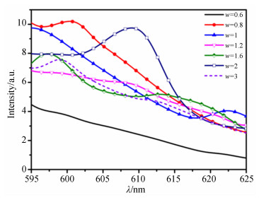
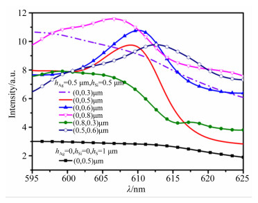
In order to improve the sensitivity of fluorescence biosensing and solve the near-field limitations to enhancement when the fluorescent nanoparticle is in the structure's far-field range, a large-scale hybrid metal-dielectric structure(Ag-Si structure) is proposed to enhance fluorescence in the far-field range.This hybrid metal-dielectric structure is different from previous metal-dielectric structures because it achieves fluorescence enhancement when the fluorescent nanoparticle is in the structure's far-field range due to scattering and interference. In this paper, the Ag-Si structure is investigated with respect to its excitation process and the emission process using the Finite-Difference Time-Domain (FDTD) method. In the excitation process, the intensity of the Ag-Si structure's fluorescence is higher than that of the bare glass structure and the electric field distribution of the Ag-Si structure is more uniform in the slit between the two pillars than it is in the metal structure (Ag structure). With this structure, fluorescence enhancement can be achieved and its detection of molecular motion behavior is more accurate. In the emission process, fluorescence enhancement in the Ag-Si structure is higher than that of the bare glass structure when the fluorescent nanoparticle is in the structure's far-field range. The mechanisms that achieve fluorescence enhancement in the Ag-Si structure are scattering and interference. Fluorescence is scattered upward by the silver film while the silver and silicon pillars on both sides of the structure simultaneously scatter the partial fluorescence, then the fluorescence interferes and propagates to the far-field to achieve fluorescence enhancement.Further advocating its use, an Ag-Si structure is simple to fabricate and integrate, allowing seamless application in biosensing.
In order to improve the sensitivity of fluorescence biosensing and solve the near-field limitations to enhancement when the fluorescent nanoparticle is in the structure's far-field range, a large-scale hybrid metal-dielectric structure(Ag-Si structure) is proposed to enhance fluorescence in the far-field range.This hybrid metal-dielectric structure is different from previous metal-dielectric structures because it achieves fluorescence enhancement when the fluorescent nanoparticle is in the structure's far-field range due to scattering and interference. In this paper, the Ag-Si structure is investigated with respect to its excitation process and the emission process using the Finite-Difference Time-Domain (FDTD) method. In the excitation process, the intensity of the Ag-Si structure's fluorescence is higher than that of the bare glass structure and the electric field distribution of the Ag-Si structure is more uniform in the slit between the two pillars than it is in the metal structure (Ag structure). With this structure, fluorescence enhancement can be achieved and its detection of molecular motion behavior is more accurate. In the emission process, fluorescence enhancement in the Ag-Si structure is higher than that of the bare glass structure when the fluorescent nanoparticle is in the structure's far-field range. The mechanisms that achieve fluorescence enhancement in the Ag-Si structure are scattering and interference. Fluorescence is scattered upward by the silver film while the silver and silicon pillars on both sides of the structure simultaneously scatter the partial fluorescence, then the fluorescence interferes and propagates to the far-field to achieve fluorescence enhancement.Further advocating its use, an Ag-Si structure is simple to fabricate and integrate, allowing seamless application in biosensing.
2020, 13(2): 381-395.
doi: 10.3788/CO.20201302.0381
Abstract:
In order to study the relationship between the output frequency of Smith-Purcell free-electron laser and the depth, length and width of grating groove, the rectangular grating size of Smith-Purcell free-electron laser is discussed by means of theoretical analysis and particle simulation methods. First, by particle simulation, we found that the output frequency of Smith-Purcell free-electron laser decreases with the increase of grating groove depth, grating groove length and grating groove width. Then, the grating groove of Smith-Purcell free-electron laser is discussed by means of theoretical analysis. It is found that each grating groove can be equivalent to an LC resonant circuit. There are two kinds of radiation in Smith-Purcell free-electron laser, one is Smith-Purcell radiation and the other is LC oscillatory radiation. Finally, the LC oscillatory radiation of grating groove is estimated as well. It is found that the simulated values of output frequency of Smith-Purcell free-electron laser and the estimation values of LC oscillatory radiation of grating groove are both on the order of 102 GHz, and the variation is consistent. It is inferred that the output frequency of Smith-Purcell free-electron laser should be determined by grating groove rather than resonator.
In order to study the relationship between the output frequency of Smith-Purcell free-electron laser and the depth, length and width of grating groove, the rectangular grating size of Smith-Purcell free-electron laser is discussed by means of theoretical analysis and particle simulation methods. First, by particle simulation, we found that the output frequency of Smith-Purcell free-electron laser decreases with the increase of grating groove depth, grating groove length and grating groove width. Then, the grating groove of Smith-Purcell free-electron laser is discussed by means of theoretical analysis. It is found that each grating groove can be equivalent to an LC resonant circuit. There are two kinds of radiation in Smith-Purcell free-electron laser, one is Smith-Purcell radiation and the other is LC oscillatory radiation. Finally, the LC oscillatory radiation of grating groove is estimated as well. It is found that the simulated values of output frequency of Smith-Purcell free-electron laser and the estimation values of LC oscillatory radiation of grating groove are both on the order of 102 GHz, and the variation is consistent. It is inferred that the output frequency of Smith-Purcell free-electron laser should be determined by grating groove rather than resonator.
2020, 13(2): 396-410.
doi: 10.3788/CO.20201302.0396
Abstract:
By using the transmission matrix, the activation effect of complex medium on the optical propagation properties of optical quantum well has been studied. The result shows that, the light transmissivity and internal local electric field of an optical quantum well can be activated by complex medium. There is always an internal local electric field in the optical quantum well made of whether real medium or complex medium. The local electric field will always cause the frequency quantization and the appearance of discrete narrow transmission peaks in the transmission spectrum. Active impurities are added to the medium A. When the imaginary part of dielectric constant of complex medium, namely k, is positive, both the local electric field in the optical quantum well and the transmissivity of discrete narrow transmission peaks will be attenuated. With the increase of k value, the monotonic attenuation of internal local electric field becomes more obvious. However, the sensitivity of the response of local electric field to the positive imaginary part k is different at different wavelengths of optical quantum well, and the electric field at the central wavelength of the quantum well is the most sensitive to the k value. When the imaginary part of dielectric constant of complex medium, is negative, both the local electric field in the optical quantum well and the transmissivity of discrete narrow transmission peaks will have an amplified gain. As the value of negative imaginary part |k| increases, the internal local electric field will increase to a maximal value and then become attenuated. However, the maximal value of the local electric field in gain amplification and the corresponding |k| value are different at different wavelengths of the quantum well. To be specific, the local electric field in the short-wave direction of the quantum well is the most sensitive to |k| value, while the local electric field in the long-wave direction is the least sensitive to |k| value. The modulation mechanism of complex medium towards the light transmission characteristics of optical quantum well has positive guiding significance for the theoretical research and practical design of new optical filters, optical amplifiers and optical holophotes, and for the research of internal mechanism of light transmission characteristics of an optical quantum well.
By using the transmission matrix, the activation effect of complex medium on the optical propagation properties of optical quantum well has been studied. The result shows that, the light transmissivity and internal local electric field of an optical quantum well can be activated by complex medium. There is always an internal local electric field in the optical quantum well made of whether real medium or complex medium. The local electric field will always cause the frequency quantization and the appearance of discrete narrow transmission peaks in the transmission spectrum. Active impurities are added to the medium A. When the imaginary part of dielectric constant of complex medium, namely k, is positive, both the local electric field in the optical quantum well and the transmissivity of discrete narrow transmission peaks will be attenuated. With the increase of k value, the monotonic attenuation of internal local electric field becomes more obvious. However, the sensitivity of the response of local electric field to the positive imaginary part k is different at different wavelengths of optical quantum well, and the electric field at the central wavelength of the quantum well is the most sensitive to the k value. When the imaginary part of dielectric constant of complex medium, is negative, both the local electric field in the optical quantum well and the transmissivity of discrete narrow transmission peaks will have an amplified gain. As the value of negative imaginary part |k| increases, the internal local electric field will increase to a maximal value and then become attenuated. However, the maximal value of the local electric field in gain amplification and the corresponding |k| value are different at different wavelengths of the quantum well. To be specific, the local electric field in the short-wave direction of the quantum well is the most sensitive to |k| value, while the local electric field in the long-wave direction is the least sensitive to |k| value. The modulation mechanism of complex medium towards the light transmission characteristics of optical quantum well has positive guiding significance for the theoretical research and practical design of new optical filters, optical amplifiers and optical holophotes, and for the research of internal mechanism of light transmission characteristics of an optical quantum well.
2020, 13(2): 411-425.
doi: 10.3788/CO.20201302.0411
Abstract:
In order to achieve the goal of miniaturization and light weight of Fourier transform spectrometer, a light-weight grid beam splitter structure was designed instead of the traditional parallel plate beam splitter. The influence of the grid edge of the grid beam splitter on spectrum reconstruction was analyzed, and the tolerance of production error was proposed. The micro-Fourier transform spectrometer was modeled and simulated, and the optimal structure of the grid beam splitter was obtained. The spectral inversion was performed by system simulation, and the restored spectrum was obtained. The spectral error introduced by the grid beam splitter was calculated. The construction and debugging of the prototype was completed, and the recovered spectrum of the actual system was obtained, which proved the feasibility of the miniaturized system. Compared with the traditional Fourier transform spectrometer, the miniaturization system has the advantages of small volume and good stability, and can be used for online monitoring.
In order to achieve the goal of miniaturization and light weight of Fourier transform spectrometer, a light-weight grid beam splitter structure was designed instead of the traditional parallel plate beam splitter. The influence of the grid edge of the grid beam splitter on spectrum reconstruction was analyzed, and the tolerance of production error was proposed. The micro-Fourier transform spectrometer was modeled and simulated, and the optimal structure of the grid beam splitter was obtained. The spectral inversion was performed by system simulation, and the restored spectrum was obtained. The spectral error introduced by the grid beam splitter was calculated. The construction and debugging of the prototype was completed, and the recovered spectrum of the actual system was obtained, which proved the feasibility of the miniaturized system. Compared with the traditional Fourier transform spectrometer, the miniaturization system has the advantages of small volume and good stability, and can be used for online monitoring.
Abstract
FullText HTML
PDF 3187KB