2021 Vol. 14, No. 2
2021, 14(2): 227-244.
doi: 10.37188/CO.2020-0126
cstr: 32171.14.CO.2020-0126
Abstract:
Optical free-form surfaces are difficult to detect due to their rich degrees of freedom. Interference detection methods are both highly precise and non-contact. However, the static compensator in a traditional interferometer faces difficulty in achieving in-situ tests of unknown surface shapes or those changing during fabrication. Therefore, programmable adaptive compensators for large dynamic ranges have become a well-researched topic in recent years. Combined with the research work in the field of freeform surface metrology, we introduce the latest research progress in adaptive interferometry for optical freeform surfaces. Adaptive interferometers based on a Deformable Mirror (DM) or Liquid Crystal Spatial Light Modulator (LC-SLM) are analyzed in detail. An adaptive controlling algorithm in the adaptive interferometer is introduced as well. Finally, the advantages and development bottleneck of the above two kinds of adaptive interferometry are summarized and the prospects for the future development of freeform surface adaptive interferometers are proposed.
Optical free-form surfaces are difficult to detect due to their rich degrees of freedom. Interference detection methods are both highly precise and non-contact. However, the static compensator in a traditional interferometer faces difficulty in achieving in-situ tests of unknown surface shapes or those changing during fabrication. Therefore, programmable adaptive compensators for large dynamic ranges have become a well-researched topic in recent years. Combined with the research work in the field of freeform surface metrology, we introduce the latest research progress in adaptive interferometry for optical freeform surfaces. Adaptive interferometers based on a Deformable Mirror (DM) or Liquid Crystal Spatial Light Modulator (LC-SLM) are analyzed in detail. An adaptive controlling algorithm in the adaptive interferometer is introduced as well. Finally, the advantages and development bottleneck of the above two kinds of adaptive interferometry are summarized and the prospects for the future development of freeform surface adaptive interferometers are proposed.
2021, 14(2): 245-263.
doi: 10.37188/CO.2020-0121
cstr: 32171.14.CO.2020-0121
Abstract:
Quasi-distributed fiber sensing systems play an important role in the fields of civil engineering, energy surveying, aerospace, national defense, chemicals, etc. Interrogation technology for quasi-distributed fiber sensing systems based on microwave photonics is widely used in high-speed and high-precision signal demodulation and sensor positioning in optical fiber multiplexing systems. Compared to conventional optical wavelength interrogation, this technology greatly improves system demodulation rate and compensates for the defects of traditional sensor positioning methods. This paper introduces the recent research progress of quasi-distributed fiber sensing interrogation technology based on microwave photonics; compares and analyzes the advantages and disadvantages of several existing microwave demodulation systems from the perspective of their fiber grating quasi-distributed sensing and fiber Fabry-Perot quasi-distributed sensing systems, respectively; and provides a summary of the prospective direction of future research in quasi-distributed fiber sensing interrogation technology based on microwave photonics.
Quasi-distributed fiber sensing systems play an important role in the fields of civil engineering, energy surveying, aerospace, national defense, chemicals, etc. Interrogation technology for quasi-distributed fiber sensing systems based on microwave photonics is widely used in high-speed and high-precision signal demodulation and sensor positioning in optical fiber multiplexing systems. Compared to conventional optical wavelength interrogation, this technology greatly improves system demodulation rate and compensates for the defects of traditional sensor positioning methods. This paper introduces the recent research progress of quasi-distributed fiber sensing interrogation technology based on microwave photonics; compares and analyzes the advantages and disadvantages of several existing microwave demodulation systems from the perspective of their fiber grating quasi-distributed sensing and fiber Fabry-Perot quasi-distributed sensing systems, respectively; and provides a summary of the prospective direction of future research in quasi-distributed fiber sensing interrogation technology based on microwave photonics.
2021, 14(2): 264-274.
doi: 10.37188/CO.2020-0193
cstr: 32171.14.CO.2020-0193
Abstract:
Near-infrared continuous-wave fiber lasers with wavelengths of 0.9~1.0 μm have important application prospects in the fields of high-power blue and ultraviolet laser generation, high-power single-mode pump sources, biomedicine and lidars. They have thus become a heavily researched topic in recent years. At present, their gain mechanisms mainly include a rare earth ion gain or a nonlinear effect gain. In this paper, the research progress of 0.9~1.0 μm fiber lasers based on these two kinds of gain mechanisms are reviewed in detail, and the technical bottlenecks and solutions of these lasers are analyzed. Furthermore, the potential directions for the future of their research are proposed.
Near-infrared continuous-wave fiber lasers with wavelengths of 0.9~1.0 μm have important application prospects in the fields of high-power blue and ultraviolet laser generation, high-power single-mode pump sources, biomedicine and lidars. They have thus become a heavily researched topic in recent years. At present, their gain mechanisms mainly include a rare earth ion gain or a nonlinear effect gain. In this paper, the research progress of 0.9~1.0 μm fiber lasers based on these two kinds of gain mechanisms are reviewed in detail, and the technical bottlenecks and solutions of these lasers are analyzed. Furthermore, the potential directions for the future of their research are proposed.
2021, 14(2): 275-288.
doi: 10.37188/CO.2020-0098
cstr: 32171.14.CO.2020-0098
Abstract:
The Time-delay Interferometry (TDI) technique is of important value for China’s gravitational wave detection program and other space-based laser interferometry missions. In space-based gravitational wave detection, laser interferometry is utilized to achieve ten-picometer precision in the displacement measurements between drag-free proof masses. Laser frequency noise and clock frequency noise are the two dominant noises in the measurement. In the European LISA (Laser Interferometer Space Antenna) program for gravitational wave detection, TDI technique is used to remove laser noise and displacement noise of optical platform by time-delaying and linearly combining the twelve phase measurement data of the three satellites and thus creating an interferometer with equal-length beams. For the cancellation of clock noise, the frequencies of onboard clocks are multiplied to GHz levels and then the GHz clock signals are added on inter-satellite laser links by phase modulation. Finally, the clock noise can be extracted from the generated clock-sideband beat note, eliminating the clock noise terms in the TDI data combination. For the time-delay operation in the data post-processing of the TDI, there is also a requirement for the precise measurement of the absolute distances between three satellites. Therefore, in the TDI scheme, there are three functions applicable to the inter-satellite laser links: displacement measurement, clock sideband modulation and absolute distance ranging. The latter two functions consume the power of the optical carrier by 10% and 1%, respectively. The TDI demonstration in the LISA’s ground-based testbed shows the laser noise and clock noise can be suppressed by the factor of 109 and 5.8×104, respectively.
The Time-delay Interferometry (TDI) technique is of important value for China’s gravitational wave detection program and other space-based laser interferometry missions. In space-based gravitational wave detection, laser interferometry is utilized to achieve ten-picometer precision in the displacement measurements between drag-free proof masses. Laser frequency noise and clock frequency noise are the two dominant noises in the measurement. In the European LISA (Laser Interferometer Space Antenna) program for gravitational wave detection, TDI technique is used to remove laser noise and displacement noise of optical platform by time-delaying and linearly combining the twelve phase measurement data of the three satellites and thus creating an interferometer with equal-length beams. For the cancellation of clock noise, the frequencies of onboard clocks are multiplied to GHz levels and then the GHz clock signals are added on inter-satellite laser links by phase modulation. Finally, the clock noise can be extracted from the generated clock-sideband beat note, eliminating the clock noise terms in the TDI data combination. For the time-delay operation in the data post-processing of the TDI, there is also a requirement for the precise measurement of the absolute distances between three satellites. Therefore, in the TDI scheme, there are three functions applicable to the inter-satellite laser links: displacement measurement, clock sideband modulation and absolute distance ranging. The latter two functions consume the power of the optical carrier by 10% and 1%, respectively. The TDI demonstration in the LISA’s ground-based testbed shows the laser noise and clock noise can be suppressed by the factor of 109 and 5.8×104, respectively.
2021, 14(2): 289-297.
doi: 10.37188/CO.2020-0130
cstr: 32171.14.CO.2020-0130
Abstract:
The averaging of multiple B-Scans is an effective method of reducing speckle noise in Swept-Source Optical Coherence Tomography (SS-OCT) and obtaining clear structural information. However, physiological characteristics such as eye tremor, drift, micro-saccade, and the optical structure of an SS-OCT system cause geometric transformation between images, resulting in poor multi-frame averaging. In this paper, we propose a registration algorithm based on the combination of gray distribution information and target geometric information. This method extracts the region of interest containing target information using the average gray distribution of an image, and corrects the transformation of the image with the collective effect of the phase correlation algorithm and the gray projection algorithm based on the fitting of the curve of its segments. Then, the process is repeated with the upper boundary of the retinal image fitted as the feature points to determine the optimal rotation parameters. The translation parameters are re-estimated again to achieve the rigid registration of the image. Finally, a one-to-one mapping method of axial scanning is used to achieve the non-rigid registration of the image with the energy function as the constraint. Experiments on live rabbit eyes show that the averaged image has clear boundaries, enhanced structural information, and its signal-to-noise and contrast-to-noise ratios are more than doubled their previous values on average. The algorithm is suitable for the registration of B-Scan images with strong speckle noise and can meet the averaging needs of many types of OCT systems. It has high robustness and image registration accuracy.
The averaging of multiple B-Scans is an effective method of reducing speckle noise in Swept-Source Optical Coherence Tomography (SS-OCT) and obtaining clear structural information. However, physiological characteristics such as eye tremor, drift, micro-saccade, and the optical structure of an SS-OCT system cause geometric transformation between images, resulting in poor multi-frame averaging. In this paper, we propose a registration algorithm based on the combination of gray distribution information and target geometric information. This method extracts the region of interest containing target information using the average gray distribution of an image, and corrects the transformation of the image with the collective effect of the phase correlation algorithm and the gray projection algorithm based on the fitting of the curve of its segments. Then, the process is repeated with the upper boundary of the retinal image fitted as the feature points to determine the optimal rotation parameters. The translation parameters are re-estimated again to achieve the rigid registration of the image. Finally, a one-to-one mapping method of axial scanning is used to achieve the non-rigid registration of the image with the energy function as the constraint. Experiments on live rabbit eyes show that the averaged image has clear boundaries, enhanced structural information, and its signal-to-noise and contrast-to-noise ratios are more than doubled their previous values on average. The algorithm is suitable for the registration of B-Scan images with strong speckle noise and can meet the averaging needs of many types of OCT systems. It has high robustness and image registration accuracy.
2021, 14(2): 298-306.
doi: 10.37188/CO.2020-0099
cstr: 32171.14.CO.2020-0099
Abstract:
Aiming at the problems that the robust of existing polarization defogging algorithms is poor and image enhancement abilities are limited, an image fusion defogging algorithm based on Multi-scale Singular Value Decomposition (MSVD) is proposed. Firstly, considering the redundancy in polarization measurement information, the least square method is used to improve the accuracy of the polarization information in the traditional defogging algorithm for polarized images; then, with respect to the limitations of that algorithm, a qualitative analysis of the feasibility of image fusion defogging is implemented, and a polarized image fusion defogging algorithm based on multi-scale singular value decomposition is proposed. Finally, a verification experiment under different visibility conditions is designed and quantified. The results show that compared with the classic polarized image defogging algorithm, this algorithm does not require manual parameter adjustment, it has strong adaptability and robustness, and can effectively improve the halos and overexposure of sky areas that occur in the traditional algorithm. The image information entropy and the average gradient can be increased by 18.9% and 38.4% respectively, which effectively improves the quality of visual imaging under complex lighting conditions. The proposed algorithm has great application prospects.
Aiming at the problems that the robust of existing polarization defogging algorithms is poor and image enhancement abilities are limited, an image fusion defogging algorithm based on Multi-scale Singular Value Decomposition (MSVD) is proposed. Firstly, considering the redundancy in polarization measurement information, the least square method is used to improve the accuracy of the polarization information in the traditional defogging algorithm for polarized images; then, with respect to the limitations of that algorithm, a qualitative analysis of the feasibility of image fusion defogging is implemented, and a polarized image fusion defogging algorithm based on multi-scale singular value decomposition is proposed. Finally, a verification experiment under different visibility conditions is designed and quantified. The results show that compared with the classic polarized image defogging algorithm, this algorithm does not require manual parameter adjustment, it has strong adaptability and robustness, and can effectively improve the halos and overexposure of sky areas that occur in the traditional algorithm. The image information entropy and the average gradient can be increased by 18.9% and 38.4% respectively, which effectively improves the quality of visual imaging under complex lighting conditions. The proposed algorithm has great application prospects.
2021, 14(2): 307-319.
doi: 10.37188/CO.2020-0142
cstr: 32171.14.CO.2020-0142
Abstract:
In biological Photoacoustic Tomography (PAT), the images of initial pressure, optical deposition and optical properties are usually reconstructed from acoustic measurements based on an ideal assumption of uniform and stable illumination for simplicity. However, in practical applications, optical attenuation and inhomogeneous distribution of light fluence in tissues may occur after the imaging target is illuminated by short laser pulses, which results in inaccurate image reconstruction and reduced image quality. This paper summarizes current methods for reducing errors caused by inhomogeneous and unstable illumination in PAT under non-ideal conditions and discusses the advantages and limits of these methods.
In biological Photoacoustic Tomography (PAT), the images of initial pressure, optical deposition and optical properties are usually reconstructed from acoustic measurements based on an ideal assumption of uniform and stable illumination for simplicity. However, in practical applications, optical attenuation and inhomogeneous distribution of light fluence in tissues may occur after the imaging target is illuminated by short laser pulses, which results in inaccurate image reconstruction and reduced image quality. This paper summarizes current methods for reducing errors caused by inhomogeneous and unstable illumination in PAT under non-ideal conditions and discusses the advantages and limits of these methods.
2021, 14(2): 320-328.
doi: 10.37188/CO.2020-0111
cstr: 32171.14.CO.2020-0111
Abstract:
In order to improve the accuracy of the projector calibration in 3D shape measurement using digital fringe projection, a new projector calibration method that combines secondary projection technology and cross-ratio invariance is proposed. The secondary projection technology is used to solve the mutual interference between the projection pattern and the calibration pattern, and the cross-ratio invariance method is used to avoid introducing camera calibration error. A comparative experiment is carried out to verify the effectiveness of the proposed method. Compared with the traditional method of projector calibration that requires camera parameters and that using global homography, the RMS values of reprojection error of this method is reduced from (0.2275, 0.2264) and (0.1397, 0.0997) pixels to (0.0645, 0.0601) pixels, and the maximum value of the reprojection error is reduced from 1.222 pixels and 0.5617 pixels to 0.2421 pixels. In addition, this method allows the camera to be simultaneously calibrated during operation, and therefore the parameters of the entire 3D measurement system can be acquired. The above results show that the method proposed in this paper can prevent error propagation of camera calibration parameters and improve the calibration accuracy of a projector.
In order to improve the accuracy of the projector calibration in 3D shape measurement using digital fringe projection, a new projector calibration method that combines secondary projection technology and cross-ratio invariance is proposed. The secondary projection technology is used to solve the mutual interference between the projection pattern and the calibration pattern, and the cross-ratio invariance method is used to avoid introducing camera calibration error. A comparative experiment is carried out to verify the effectiveness of the proposed method. Compared with the traditional method of projector calibration that requires camera parameters and that using global homography, the RMS values of reprojection error of this method is reduced from (0.2275, 0.2264) and (0.1397, 0.0997) pixels to (0.0645, 0.0601) pixels, and the maximum value of the reprojection error is reduced from 1.222 pixels and 0.5617 pixels to 0.2421 pixels. In addition, this method allows the camera to be simultaneously calibrated during operation, and therefore the parameters of the entire 3D measurement system can be acquired. The above results show that the method proposed in this paper can prevent error propagation of camera calibration parameters and improve the calibration accuracy of a projector.
2021, 14(2): 329-335.
doi: 10.37188/CO.2020-0161
cstr: 32171.14.CO.2020-0161
Abstract:
In order to explore the theoretical and technical basis for the application of high accuracy laser near 500 nm, a double pump source composite cavity combined with nonlinear sum frequency conversion is used to realize zero gain competition of two kinds of fundamental frequency laser in the cavity. This method can improve the output power of fundamental frequency laser, as well as carry out multiple nonlinear frequency conversion in the composite cavity. By adjusting the fundamental frequency laser injection power ratio, the photon number ratio in the cavity reaches 1∶1, which effectively improves the optical-to-optical conversion efficiency and sum-frequency output power. The theoretical model established for the first time is verified experimentally, and Nd:YAG and Nd:YVO4 are used as gain media to obtain 946 nm and 1064 nm fundamental frequency laser output respectively. LBO is sum-frequency crystal. The 946 nm and 1064 nm fundamental frequency laser without gain competition is realized by using the double pump source structure. By adjusting the injection LBO optical power, the sum frequency conversion efficiency and output power are researched when the injection power ratio is different. Finally, the maximum output power of 501 nm cyan laser is 923 mW when the injection power ratio is 1.48∶1 (i.e. the photon number ratio in the cavity is 1∶1).
In order to explore the theoretical and technical basis for the application of high accuracy laser near 500 nm, a double pump source composite cavity combined with nonlinear sum frequency conversion is used to realize zero gain competition of two kinds of fundamental frequency laser in the cavity. This method can improve the output power of fundamental frequency laser, as well as carry out multiple nonlinear frequency conversion in the composite cavity. By adjusting the fundamental frequency laser injection power ratio, the photon number ratio in the cavity reaches 1∶1, which effectively improves the optical-to-optical conversion efficiency and sum-frequency output power. The theoretical model established for the first time is verified experimentally, and Nd:YAG and Nd:YVO4 are used as gain media to obtain 946 nm and 1064 nm fundamental frequency laser output respectively. LBO is sum-frequency crystal. The 946 nm and 1064 nm fundamental frequency laser without gain competition is realized by using the double pump source structure. By adjusting the injection LBO optical power, the sum frequency conversion efficiency and output power are researched when the injection power ratio is different. Finally, the maximum output power of 501 nm cyan laser is 923 mW when the injection power ratio is 1.48∶1 (i.e. the photon number ratio in the cavity is 1∶1).
2021, 14(2): 336-343.
doi: 10.37188/CO.2020-0118
cstr: 32171.14.CO.2020-0118
Abstract:
The signal intensity of Laser-Induced Breakdown Spectroscopy (LIBS) can be improved by increasing sample temperature and confining space confinement. The combination of the two techniques can further improve the spectral intensity of LIBS. In this paper, the effects of increasing a sample’s temperature and spatial confinement on LIBS are studied in air, and the time-resolved spectra of laser-induced aluminum plasma are measured. The experimental results show that increasing the sample’s temperature can increase the signal intensity of LIBS since a sample with a higher temperature can absorb more laser energy; when the cylindrical cavity is used to confine the plasma, the spectral emission is further improved. The effect of the combination of the two experimental conditions is that the signal intensity of LIBS is significantly stronger than that of either condition alone. The intensity of Al (I) 396.2 nm increases to 1.4 times at 200 °C with higher temperature conditions alone, 1.3 times when spatial confinement is applied alone, and 2.1 times at 200 °C with spatial confinement. The emission intensity with the combined effects is higher than the sum of that under the two individual conditions. The effect of the combination is mainly based on the fact that laser irradiation of the sample under a higher temperature generates stronger shock waves that can more effectively compress a larger-sized plasma plume, thereby further improving the spectral intensity of LIBS.
The signal intensity of Laser-Induced Breakdown Spectroscopy (LIBS) can be improved by increasing sample temperature and confining space confinement. The combination of the two techniques can further improve the spectral intensity of LIBS. In this paper, the effects of increasing a sample’s temperature and spatial confinement on LIBS are studied in air, and the time-resolved spectra of laser-induced aluminum plasma are measured. The experimental results show that increasing the sample’s temperature can increase the signal intensity of LIBS since a sample with a higher temperature can absorb more laser energy; when the cylindrical cavity is used to confine the plasma, the spectral emission is further improved. The effect of the combination of the two experimental conditions is that the signal intensity of LIBS is significantly stronger than that of either condition alone. The intensity of Al (I) 396.2 nm increases to 1.4 times at 200 °C with higher temperature conditions alone, 1.3 times when spatial confinement is applied alone, and 2.1 times at 200 °C with spatial confinement. The emission intensity with the combined effects is higher than the sum of that under the two individual conditions. The effect of the combination is mainly based on the fact that laser irradiation of the sample under a higher temperature generates stronger shock waves that can more effectively compress a larger-sized plasma plume, thereby further improving the spectral intensity of LIBS.
2021, 14(2): 344-352.
doi: 10.37188/CO.2020-0205
cstr: 32171.14.CO.2020-0205
Abstract:
In large aircraft product automation, the accuracy requirements for hole position detection are gradually increasing, and the vertical accuracy of a drill is the most important evaluation condition for this standard. When drilling and riveting are performed by automatic robotic systems, assembly error, bumps, offsets and other adverse conditions can reduce the accuracy of manufacturing and detection, and in turn the fatigue performance of the entire structure. To solve this problem, we proposed a technique for detecting a freeform surface’s normal-direction based on the adaptive alignment method using multiple laser sensor assemblies, built a mathematical model for posture alignment, and studied the calibration method and process required by the detection device. Additionally, we investigated techniques for error compensation using an electronic theodolite and other devices when the adaptive method is used for detection. In our verification experiments, multiple sets of results demonstrated that the key technical indicators were as follows: normal accuracy < ±0.5°, average deviation after correction is 0.0667°. This method can effectively compensate for the errors affecting hole making in automated manufacturing, and further improve the positioning accuracy and normal-direction detection accuracy of a robot.
In large aircraft product automation, the accuracy requirements for hole position detection are gradually increasing, and the vertical accuracy of a drill is the most important evaluation condition for this standard. When drilling and riveting are performed by automatic robotic systems, assembly error, bumps, offsets and other adverse conditions can reduce the accuracy of manufacturing and detection, and in turn the fatigue performance of the entire structure. To solve this problem, we proposed a technique for detecting a freeform surface’s normal-direction based on the adaptive alignment method using multiple laser sensor assemblies, built a mathematical model for posture alignment, and studied the calibration method and process required by the detection device. Additionally, we investigated techniques for error compensation using an electronic theodolite and other devices when the adaptive method is used for detection. In our verification experiments, multiple sets of results demonstrated that the key technical indicators were as follows: normal accuracy < ±0.5°, average deviation after correction is 0.0667°. This method can effectively compensate for the errors affecting hole making in automated manufacturing, and further improve the positioning accuracy and normal-direction detection accuracy of a robot.
2021, 14(2): 353-360.
doi: 10.37188/CO.2020-0137
cstr: 32171.14.CO.2020-0137
Abstract:
The influencing factors of beam quality β factor of high-energy laser system is analyzed based on two-dimension chirp z transformation. The effects of the sampling number within the diffraction limit and the beam spot’s energy loss on the beam quality β factor are analyzed. The simulation results based on different sampling numbers indicate that a larger sampling number induces higher beam spot diffraction image resolution which is beneficial for more accurate calculation of a beam quality β factor. When the sampling number of the diffraction limit angle is no less than ten, the measurement error can be limited within 3%. Meanwhile, different wavefront aberrations have different sensitivities against beam spot energy loss. The beam quality β factor of high order wavefront aberration is larger than that of low order aberration with equal energy loss. Especially, the spherical aberration is most sensitive to energy loss, and about 5% energy loss can induce 15% to 30% calculation error of the β factor.
The influencing factors of beam quality β factor of high-energy laser system is analyzed based on two-dimension chirp z transformation. The effects of the sampling number within the diffraction limit and the beam spot’s energy loss on the beam quality β factor are analyzed. The simulation results based on different sampling numbers indicate that a larger sampling number induces higher beam spot diffraction image resolution which is beneficial for more accurate calculation of a beam quality β factor. When the sampling number of the diffraction limit angle is no less than ten, the measurement error can be limited within 3%. Meanwhile, different wavefront aberrations have different sensitivities against beam spot energy loss. The beam quality β factor of high order wavefront aberration is larger than that of low order aberration with equal energy loss. Especially, the spherical aberration is most sensitive to energy loss, and about 5% energy loss can induce 15% to 30% calculation error of the β factor.
2021, 14(2): 361-367.
doi: 10.37188/CO.2020-0169
cstr: 32171.14.CO.2020-0169
Abstract:
In this paper, a 1064 nm ytterbium-doped fiber laser with Main Oscillation Power Amplification (MOPA) was used as the pump source to achieve mid-infrared 3.8 μm MgO:PPLN Optical Parametric Oscillation (OPO) laser output. In the pump source, the Distributed Feedback Laser (DFB) was used as the seed source to realize the modulation of the narrow linewidth of the fiber laser. The linewidth of 2.5 nm was compressed to 0.1 nm, and the maximum output power was 40 W. The mid-infrared 3.8 μm MgO:PPLN OPO laser was researched under different pump linewidths. Finally, when the pump power was 18.1 W, the line width was 0.1 nm, the repetition frequency was 1 MHz, and the pulse width was 2 ns, the output laser with the maximum power of 2.06 W and the wavelength of 3822.5 nm was achieved. The corresponding optical-optical conversion efficiency is 11.38%, and the beam quality is M2 = 2.34. This research can efficiency improve the output efficiency of narrow linewidth pumped mid-infrared MgO:PPLN OPO.
In this paper, a 1064 nm ytterbium-doped fiber laser with Main Oscillation Power Amplification (MOPA) was used as the pump source to achieve mid-infrared 3.8 μm MgO:PPLN Optical Parametric Oscillation (OPO) laser output. In the pump source, the Distributed Feedback Laser (DFB) was used as the seed source to realize the modulation of the narrow linewidth of the fiber laser. The linewidth of 2.5 nm was compressed to 0.1 nm, and the maximum output power was 40 W. The mid-infrared 3.8 μm MgO:PPLN OPO laser was researched under different pump linewidths. Finally, when the pump power was 18.1 W, the line width was 0.1 nm, the repetition frequency was 1 MHz, and the pulse width was 2 ns, the output laser with the maximum power of 2.06 W and the wavelength of 3822.5 nm was achieved. The corresponding optical-optical conversion efficiency is 11.38%, and the beam quality is M2 = 2.34. This research can efficiency improve the output efficiency of narrow linewidth pumped mid-infrared MgO:PPLN OPO.
2021, 14(2): 368-374.
doi: 10.37188/CO.2020-0124
cstr: 32171.14.CO.2020-0124
Abstract:
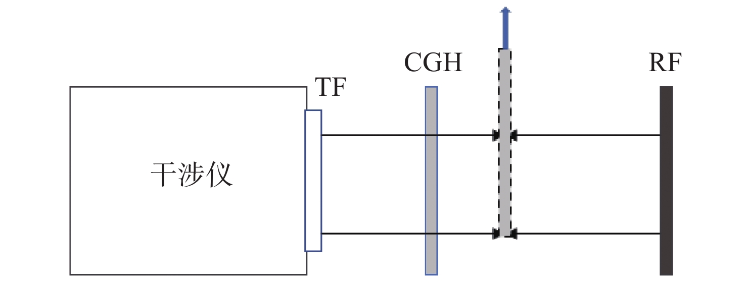
In the field of aspheric testing, Computer-Generated Hologram (CGH) technology has been widely used. For CGH encoding, when applying the conventional encoding method to achieve highly accurate coding, it will use an amount of data that is often up to tens or even hundreds of GB. Therefore, in order to achieve high encoding accuracy with a small amount of encoded data, we propose a variable step size CGH encoding method. This method first obtains CGH fringe distribution through finding isophase surface, then selects different sampling steps by calculating the phase distribution gradient so that the CGH achieves high precision coding using as few points as possible. Finally, the method was used to CGH encode, then the resulting CGH was manufactured to test an aspheric surface. The test result is 3.142 nm (RMS). In order to verify the credibility of the test results, we design and make a compensator to test the same aspheric surface. The test result is 3.645 nm (RMS). The difference between the two results is 1.291 nm (RMS), and shows that the encoding method can meet the requirements of high-precision testing of aspheric surfaces.
In the field of aspheric testing, Computer-Generated Hologram (CGH) technology has been widely used. For CGH encoding, when applying the conventional encoding method to achieve highly accurate coding, it will use an amount of data that is often up to tens or even hundreds of GB. Therefore, in order to achieve high encoding accuracy with a small amount of encoded data, we propose a variable step size CGH encoding method. This method first obtains CGH fringe distribution through finding isophase surface, then selects different sampling steps by calculating the phase distribution gradient so that the CGH achieves high precision coding using as few points as possible. Finally, the method was used to CGH encode, then the resulting CGH was manufactured to test an aspheric surface. The test result is 3.142 nm (RMS). In order to verify the credibility of the test results, we design and make a compensator to test the same aspheric surface. The test result is 3.645 nm (RMS). The difference between the two results is 1.291 nm (RMS), and shows that the encoding method can meet the requirements of high-precision testing of aspheric surfaces.
2021, 14(2): 375-381.
doi: 10.37188/CO.2020-0162
cstr: 32171.14.CO.2020-0162
Abstract:
The purpose of this paper is to establish a diffraction Bidirectional Reflection Distribution Function (BRDF) model of surface defects including scratches and pits, and to analyze the model being applied in various fields. By using nonparaxial scalar diffraction theory, a coherent window function filtering method is proposed, which can obtain the BRDF model of surface defect diffraction under incoherent light conditions. The effectiveness of the model is verified in related work, and the scattering characteristics of surface scratches and pits are obtained. The method and the results obtained by the model have high value in surface defect detection, surface defect stray light analysis and image rendering technology.
The purpose of this paper is to establish a diffraction Bidirectional Reflection Distribution Function (BRDF) model of surface defects including scratches and pits, and to analyze the model being applied in various fields. By using nonparaxial scalar diffraction theory, a coherent window function filtering method is proposed, which can obtain the BRDF model of surface defect diffraction under incoherent light conditions. The effectiveness of the model is verified in related work, and the scattering characteristics of surface scratches and pits are obtained. The method and the results obtained by the model have high value in surface defect detection, surface defect stray light analysis and image rendering technology.
2021, 14(2): 382-389.
doi: 10.37188/CO.2020-0084
cstr: 32171.14.CO.2020-0084
Abstract:
In order to improve the spectral calibration accuracy of the large aperture static imaging spectrometer when its field of view is increased, and to reduce the influence of radial distortion on its spectral accuracy, we propose a corrective method for spectral calibration coefficients based on a spectral distortion correlation model. To begin the process, the wave number and wavelength correction formulas are given. Using 594.1 nm and 632.8 nm gas lasers, a spectroscopic imaging experiment was performed on the imaging spectrometer, and the data was processed and analyzed. The results show that when there is a barrel distortion of 0.3%, the inversion spectrum at the edge of the field of view shifts approximately 2 nm. After implementing the corrective method of this paper, the line shift is reduced to approximately 0.1 nm. This method only needs to be corrected according to the lens distortion parameters, which simplifies the laboratory spectral calibration process and improves work efficiency. It can also be applied to the orbit parameter correction of spaceborne interference spectral data.
In order to improve the spectral calibration accuracy of the large aperture static imaging spectrometer when its field of view is increased, and to reduce the influence of radial distortion on its spectral accuracy, we propose a corrective method for spectral calibration coefficients based on a spectral distortion correlation model. To begin the process, the wave number and wavelength correction formulas are given. Using 594.1 nm and 632.8 nm gas lasers, a spectroscopic imaging experiment was performed on the imaging spectrometer, and the data was processed and analyzed. The results show that when there is a barrel distortion of 0.3%, the inversion spectrum at the edge of the field of view shifts approximately 2 nm. After implementing the corrective method of this paper, the line shift is reduced to approximately 0.1 nm. This method only needs to be corrected according to the lens distortion parameters, which simplifies the laboratory spectral calibration process and improves work efficiency. It can also be applied to the orbit parameter correction of spaceborne interference spectral data.
2021, 14(2): 390-396.
doi: 10.37188/CO.2020-0050
cstr: 32171.14.CO.2020-0050
Abstract:
In order to achieve the quantitative evaluation of the stray light attenuation in optical systems, we demonstrated a point source transmission test facility with 10−9-order sensitivity in this paper. We employed a pulsed source and measured the pulse to obtain the weak signal at the image plane, as well as to simplify the detection system. Using this scheme, we constructed a test facility with a maximum aperture of 600 mm and a test wavelength of 527 nm, and conducted the test with a 250 mm aperture optical system. Experimental results showed that the point transmission at a 60-degree incident angle is 1.68×10−9. The results prove that the test error of this facility is in the order of 10−9 or below, and the test facility has the ability to test 10−9-order point source transmissions. This technology can provide quantitative evaluation for various optical systems with strict stray light requirements, like astronomical telescopes, star sensors and spaced target monitor payloads.
In order to achieve the quantitative evaluation of the stray light attenuation in optical systems, we demonstrated a point source transmission test facility with 10−9-order sensitivity in this paper. We employed a pulsed source and measured the pulse to obtain the weak signal at the image plane, as well as to simplify the detection system. Using this scheme, we constructed a test facility with a maximum aperture of 600 mm and a test wavelength of 527 nm, and conducted the test with a 250 mm aperture optical system. Experimental results showed that the point transmission at a 60-degree incident angle is 1.68×10−9. The results prove that the test error of this facility is in the order of 10−9 or below, and the test facility has the ability to test 10−9-order point source transmissions. This technology can provide quantitative evaluation for various optical systems with strict stray light requirements, like astronomical telescopes, star sensors and spaced target monitor payloads.
2021, 14(2): 397-408.
doi: 10.37188/CO.2020-0108
cstr: 32171.14.CO.2020-0108
Abstract:
Due to the existence of diffraction limit as the basic characteristic of light, the lasing on subwavelength scale cannot be achieved by traditional methods. In order to break this diffraction limit, a stacked structure composed of metal, dielectric layer and semiconductor was designed in this paper to achieve lasing on the deep subwavelength scale and its influence on the propagation mode was discussed. In terms of structural design, we used silver, a metal with low dielectric constant, as the substrate, a 10 nm-thick LiF layer as the dielectric layer, and a ZnO semiconductor nanowire with hexagonal section as the high-dielectric-constant layer. We adopted the finite-difference eigen mode and Finite-Difference Time-Domain (FDTD) method to perform optical simulation of the designed structure. First, by changing the nanowire diameter and using the finite eigen mode, the optical modes in the dielectric layer were analyzed to obtain four mode distributions. Then the effective refractive indexes and losses of the four optical modes at different nanowire diameters were used to calculate the corresponding waveguide propagation distances and lasing threshold gains. Finally, the three-dimensional FDTD method was introduced to simulate the electric field distribution of the four modes during the steady-state laser emissionin of the nanowire. The results showed that there were hybrid plasmonic mode and hybrid electric mode in the dielectric layer between the nanowire and the metal substrate. When the diameter of ZnO nanowire was smaller than 75 nm, there was no effective physical optical mode, that is, both the hybrid plasmonic mode and the hybrid electric mode were cut off. When the nanowire diameter was larger than 75 nm, the hybrid plasmonic mode could effectively exist. The hybrid electric mode did not appear until the nanowire diameter reached 120 nm. Although the hybrid plasmonic mode could be better confined to the dielectric layer, its loss was too large and its propagation distance was relatively small. In addition, the hybrid electric mode traveled a longer distance than hybrid plasmonic mode. At the given diameter of the micron wire (D = 240 μm), the hybrid electric mode propagated for over 50 μm. In conclusion, the hybrid leaky mode on the deep subwavelength scale can break the optical diffraction limit and realize lasing.
Due to the existence of diffraction limit as the basic characteristic of light, the lasing on subwavelength scale cannot be achieved by traditional methods. In order to break this diffraction limit, a stacked structure composed of metal, dielectric layer and semiconductor was designed in this paper to achieve lasing on the deep subwavelength scale and its influence on the propagation mode was discussed. In terms of structural design, we used silver, a metal with low dielectric constant, as the substrate, a 10 nm-thick LiF layer as the dielectric layer, and a ZnO semiconductor nanowire with hexagonal section as the high-dielectric-constant layer. We adopted the finite-difference eigen mode and Finite-Difference Time-Domain (FDTD) method to perform optical simulation of the designed structure. First, by changing the nanowire diameter and using the finite eigen mode, the optical modes in the dielectric layer were analyzed to obtain four mode distributions. Then the effective refractive indexes and losses of the four optical modes at different nanowire diameters were used to calculate the corresponding waveguide propagation distances and lasing threshold gains. Finally, the three-dimensional FDTD method was introduced to simulate the electric field distribution of the four modes during the steady-state laser emissionin of the nanowire. The results showed that there were hybrid plasmonic mode and hybrid electric mode in the dielectric layer between the nanowire and the metal substrate. When the diameter of ZnO nanowire was smaller than 75 nm, there was no effective physical optical mode, that is, both the hybrid plasmonic mode and the hybrid electric mode were cut off. When the nanowire diameter was larger than 75 nm, the hybrid plasmonic mode could effectively exist. The hybrid electric mode did not appear until the nanowire diameter reached 120 nm. Although the hybrid plasmonic mode could be better confined to the dielectric layer, its loss was too large and its propagation distance was relatively small. In addition, the hybrid electric mode traveled a longer distance than hybrid plasmonic mode. At the given diameter of the micron wire (D = 240 μm), the hybrid electric mode propagated for over 50 μm. In conclusion, the hybrid leaky mode on the deep subwavelength scale can break the optical diffraction limit and realize lasing.
2021, 14(2): 409-417.
doi: 10.37188/CO.2020-0095
cstr: 32171.14.CO.2020-0095
Abstract:
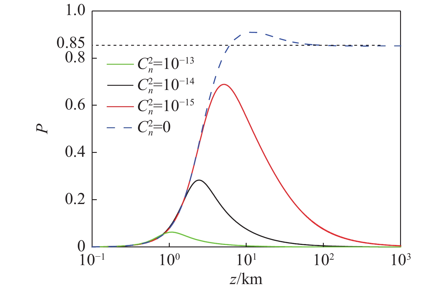
Investigating polarization changes in a turbulent atmosphere holds great significance because polarization is one of the most important parameters in laser communication. Based on the extended Huygens-Fresnel principle and the unified theory of coherence and polarization, an analytical expression for the degree of polarization (DoP) in partially-coherent Airy-Gaussian beams propagating in a slanted turbulent atmosphere is derived. It is then used to study the dependence of polarization changes in turbulent parameter, coherence length, zenith angle, truncation and distribution factor. The polarization between the slanted and horizontal paths is also compared. Compared with horizontal turbulence, the beams traverse a longer distance to recover their initial polarization in slanted turbulence. An increase in the zenith angle, receiving height and truncation factor, or a decrease in the coherence length can increase the DoP. A smaller distribution factor or a higher coherence length is beneficial to reducing the effect of the zenith angle on the polarization. Analysis of the influence of the distribution factor on polarization also shows that maintaining the polarization of a Gaussian beam with higher coherence in a horizontally turbulent atmosphere has a greater advantage to that of a pure Airy beam from the view of keeping polarization invariance. The results show that optical information encoding can be achieved by selecting appropriate parameters, which is useful for studying atmospheric communication.
Investigating polarization changes in a turbulent atmosphere holds great significance because polarization is one of the most important parameters in laser communication. Based on the extended Huygens-Fresnel principle and the unified theory of coherence and polarization, an analytical expression for the degree of polarization (DoP) in partially-coherent Airy-Gaussian beams propagating in a slanted turbulent atmosphere is derived. It is then used to study the dependence of polarization changes in turbulent parameter, coherence length, zenith angle, truncation and distribution factor. The polarization between the slanted and horizontal paths is also compared. Compared with horizontal turbulence, the beams traverse a longer distance to recover their initial polarization in slanted turbulence. An increase in the zenith angle, receiving height and truncation factor, or a decrease in the coherence length can increase the DoP. A smaller distribution factor or a higher coherence length is beneficial to reducing the effect of the zenith angle on the polarization. Analysis of the influence of the distribution factor on polarization also shows that maintaining the polarization of a Gaussian beam with higher coherence in a horizontally turbulent atmosphere has a greater advantage to that of a pure Airy beam from the view of keeping polarization invariance. The results show that optical information encoding can be achieved by selecting appropriate parameters, which is useful for studying atmospheric communication.
2021, 14(2): 418-430.
doi: 10.37188/CO.2020-0097
cstr: 32171.14.CO.2020-0097
Abstract:
Lanthanide-ion-doped upconversion luminescence is limited by the small absorption cross-section and narrow absorption band of lanthanide ions, which results in weak luminescence. Recently, a dye-sensitized method has proven to be an effective strategy of increasing upconversion luminescence. However, simply attaching dye molecules to nanoparticles with classic Yb-doped nanostructures cannot effectively activate the sensitizing ability of the dye molecules. In response to this problem, we designed Nd-sensitized core/shell/shell (NaYF4:Yb/Er (20/2%)@ NaYF4:Yb (10 %)@ NaYF4:Nd (80 %)) nanostructures, compared with the classic IR-806 sensitized NaYF4:Yb/Er nanostructure, their upconversion luminescence (500 to 700 nm) was approximately enhanced by a factor of 38. Through analysis of the nanostructure’s emission and luminescence lifetime data, the enhancement was confirmed by the effective overlap of Nd absorption with the emission of near-infrared dye molecules and the protective effects of the shell structure on the luminescent center (the lifetime of Er (4S3/2→4I15/2) was increased by 1.7 times). In addition, we found that the doping Yb3+ in the outermost layer will decrease the dye-sensitized luminescence intensity. Furthermore, this Nd-sensitized core/shell/shell structure also achieved enhancement in the sensitized upconversion luminescence of the luminescence centers of Ho and Tm, which establishes a foundation for enhanced dye-sensitized upconversion luminescence.
Lanthanide-ion-doped upconversion luminescence is limited by the small absorption cross-section and narrow absorption band of lanthanide ions, which results in weak luminescence. Recently, a dye-sensitized method has proven to be an effective strategy of increasing upconversion luminescence. However, simply attaching dye molecules to nanoparticles with classic Yb-doped nanostructures cannot effectively activate the sensitizing ability of the dye molecules. In response to this problem, we designed Nd-sensitized core/shell/shell (NaYF4:Yb/Er (20/2%)@ NaYF4:Yb (10 %)@ NaYF4:Nd (80 %)) nanostructures, compared with the classic IR-806 sensitized NaYF4:Yb/Er nanostructure, their upconversion luminescence (500 to 700 nm) was approximately enhanced by a factor of 38. Through analysis of the nanostructure’s emission and luminescence lifetime data, the enhancement was confirmed by the effective overlap of Nd absorption with the emission of near-infrared dye molecules and the protective effects of the shell structure on the luminescent center (the lifetime of Er (4S3/2→4I15/2) was increased by 1.7 times). In addition, we found that the doping Yb3+ in the outermost layer will decrease the dye-sensitized luminescence intensity. Furthermore, this Nd-sensitized core/shell/shell structure also achieved enhancement in the sensitized upconversion luminescence of the luminescence centers of Ho and Tm, which establishes a foundation for enhanced dye-sensitized upconversion luminescence.
2021, 14(2): 431-445.
doi: 10.37188/CO.2020-0120
cstr: 32171.14.CO.2020-0120
Abstract:
Resolution in a confocal microscope is limited by the diffraction limit. Structured modulation has been proven to be able to achieve super-resolution in confocal microscopy, however, its limited speed in image acquisition limits its applicability in practical applications. In order to improve its imaging speed, we introduce a method that can achieve rapid super-resolution confocal microscopy by combining line-scanning and structured detection. A cylindrical lens is used to focus the light into a line, and a digital mask with a sinusoidal function is used to modulate the descanned image in the light detection arm. Unlike the virtual structured method, there is no need for a subsequent frequency shift process. In order to improve the isotropic resolution of the system, a scanning angle of 0 ° and 90 ° is achieved by rotating the sample. Simulation and experiment results indicate that the spectrum width of coherent transfer function expands and the resolution is 1.4 times as large as that of a conventional confocal microscope. This method increases the system’s imaging acquisition speed 104-fold when compared with a confocal structured modulation microscope that uses spot-scanning.
Resolution in a confocal microscope is limited by the diffraction limit. Structured modulation has been proven to be able to achieve super-resolution in confocal microscopy, however, its limited speed in image acquisition limits its applicability in practical applications. In order to improve its imaging speed, we introduce a method that can achieve rapid super-resolution confocal microscopy by combining line-scanning and structured detection. A cylindrical lens is used to focus the light into a line, and a digital mask with a sinusoidal function is used to modulate the descanned image in the light detection arm. Unlike the virtual structured method, there is no need for a subsequent frequency shift process. In order to improve the isotropic resolution of the system, a scanning angle of 0 ° and 90 ° is achieved by rotating the sample. Simulation and experiment results indicate that the spectrum width of coherent transfer function expands and the resolution is 1.4 times as large as that of a conventional confocal microscope. This method increases the system’s imaging acquisition speed 104-fold when compared with a confocal structured modulation microscope that uses spot-scanning.
Abstract
FullText HTML
PDF 3333KB