2021 Vol. 14, No. 4
2021, 14(4): 717-735.
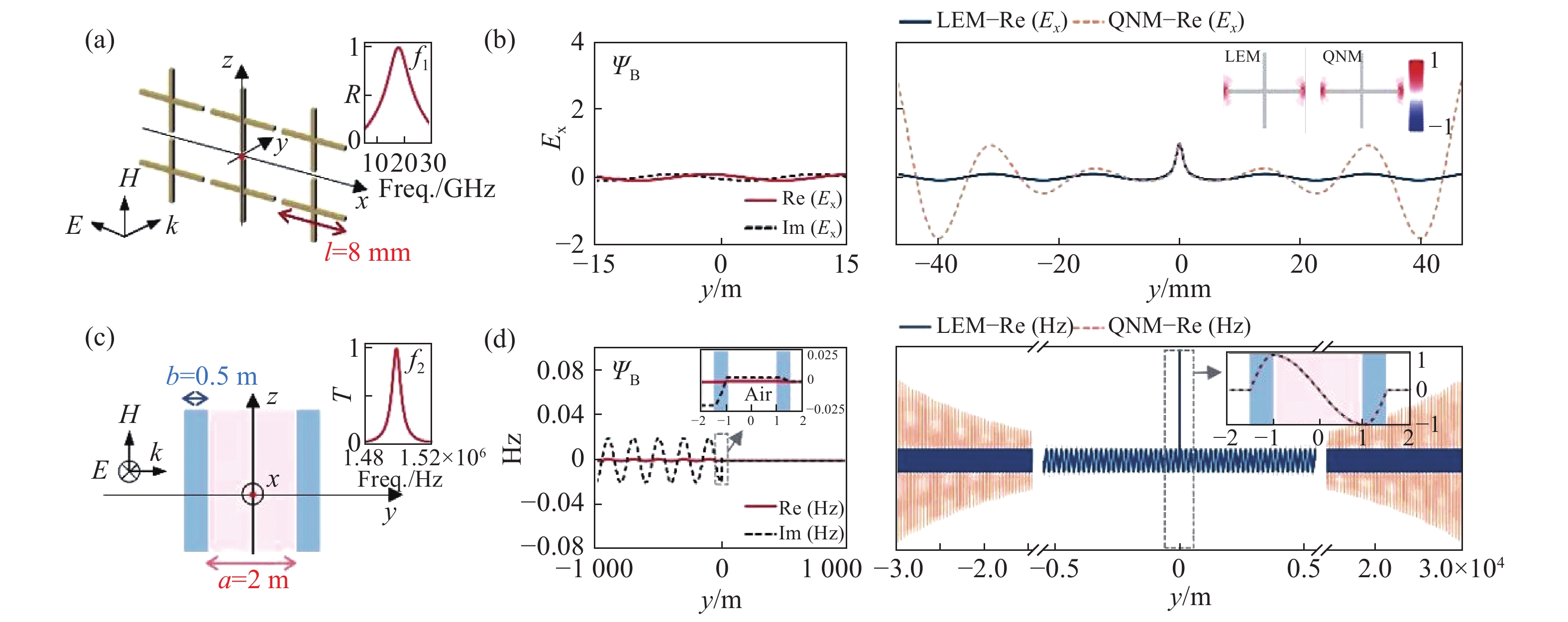
doi: 10.37188/CO.2021-0030
cstr: 32171.14.CO.2021-0030
Abstract:
Nanophotonic systems have attracted tremendous attention due to their exotic abilities to freely control electromagnetic (EM) waves. In particular, much attention has been given to metasurfaces consisting of multiple plasmonic/dielectric meta-atoms coupled in different ways. Compared to simple systems containing only one type of resonator, coupled photonic systems exhibit more fascinating capabilities to manipulate EM waves. However, despite the great advances already achieved in experimental conditions, theoretical understandings of these complex systems are far from satisfactory. In this article, we summarize the theorized tools for developing nanophotonic systems including both coupled resonators and periodic metasurfaces. We aim to understand the EM properties in closed and open systems, and introduce methods of employing them to design new functional metasurfaces for various applications. We will mainly focus on works done in our own group and we hope that this short review can provide useful guidance and act as a reference for researchers in related fields.
Nanophotonic systems have attracted tremendous attention due to their exotic abilities to freely control electromagnetic (EM) waves. In particular, much attention has been given to metasurfaces consisting of multiple plasmonic/dielectric meta-atoms coupled in different ways. Compared to simple systems containing only one type of resonator, coupled photonic systems exhibit more fascinating capabilities to manipulate EM waves. However, despite the great advances already achieved in experimental conditions, theoretical understandings of these complex systems are far from satisfactory. In this article, we summarize the theorized tools for developing nanophotonic systems including both coupled resonators and periodic metasurfaces. We aim to understand the EM properties in closed and open systems, and introduce methods of employing them to design new functional metasurfaces for various applications. We will mainly focus on works done in our own group and we hope that this short review can provide useful guidance and act as a reference for researchers in related fields.
2021, 14(4): 736-753.
doi: 10.37188/CO.2021-0095
cstr: 32171.14.CO.2021-0095
Abstract:
Exploring topological phases of matter and their exotic physics appeared as a rapidly growing field of study in solid-state electron systems in the past decade. In recent years, there has been a trend on the emulation of topological insulators/semimetals in many other systems, including ultracold quantum gases, trapped ions, photonic, acoustic, mechanical, and electrical circuit systems. Among these platforms, topological circuits made of simple capacitive and inductive circuit elements emerged as a very competitive platform because of its highly controllable degrees of freedom, lowercost, easy implementation, and great flexibility for integration. Owing to the unique advantages of electrical circuits such as arbitrary engineering of long-range hopping, convenient realization of nonlinear, nonreciprocal, and gain effects, highly flexible measurement, many of the nonlinear, non-abelian, and non-Hermitian physics can be potentially realized and investigated using the electrical circuit platform. In this review, we provide the first short overview of the main achievements of topological circuits developed in the past six years, primarily focusing on their theoretical modeling, circuit construction, experimental characterization, and their distinction from their counterparts in quantum electronics and photonics. The scope of this review covers a wide variety of topological circuits, including Hermitian topological circuits hosting nontrivial edge state, higher-order corner state, Weyl particles; higher dimensional topological circuits exhibiting nodal link and nodal knot states; non-Hermitian topological circuits showing skin effects, gain and loss induced nontrivial edge state; self-induced topological edge state in nonlinear topological circuit; topological circuit having non-Abelian gauge potential.
Exploring topological phases of matter and their exotic physics appeared as a rapidly growing field of study in solid-state electron systems in the past decade. In recent years, there has been a trend on the emulation of topological insulators/semimetals in many other systems, including ultracold quantum gases, trapped ions, photonic, acoustic, mechanical, and electrical circuit systems. Among these platforms, topological circuits made of simple capacitive and inductive circuit elements emerged as a very competitive platform because of its highly controllable degrees of freedom, lowercost, easy implementation, and great flexibility for integration. Owing to the unique advantages of electrical circuits such as arbitrary engineering of long-range hopping, convenient realization of nonlinear, nonreciprocal, and gain effects, highly flexible measurement, many of the nonlinear, non-abelian, and non-Hermitian physics can be potentially realized and investigated using the electrical circuit platform. In this review, we provide the first short overview of the main achievements of topological circuits developed in the past six years, primarily focusing on their theoretical modeling, circuit construction, experimental characterization, and their distinction from their counterparts in quantum electronics and photonics. The scope of this review covers a wide variety of topological circuits, including Hermitian topological circuits hosting nontrivial edge state, higher-order corner state, Weyl particles; higher dimensional topological circuits exhibiting nodal link and nodal knot states; non-Hermitian topological circuits showing skin effects, gain and loss induced nontrivial edge state; self-induced topological edge state in nonlinear topological circuit; topological circuit having non-Abelian gauge potential.
2021, 14(4): 764-781.
doi: 10.37188/CO.2021-0096
cstr: 32171.14.CO.2021-0096
Abstract:
Metasurface consists of the arrangement of the specially designed subwavelength nano units, which is the two-dimensional counterpart of metamaterial. Metasurface can modulate the electromagnetic field on a microscopic scale to allow the arbitrary wavefront manipulation. At present, it has been used to flexibly control various optical parameters such as phase, polarization, and amplitude. Among all of the applications based on metasurfaces, metalens is no doubt one of the most important and basic research interset. Because its thickness is on the order of wavelength, compared with traditional optical lenses, it can significantly increase the integration of optical devices and reduce the systematic complexity. However, the chromatic aberration caused by the inherent dispersion of the material of the unit structure and the diffraction effect of the structural geometry will severely influence the imaging quality of the metalens, and hence isolating us from a rich variety of advanced applications. Herein, we firstly discuss the principle of controlling chromatic aberration with metalens. Then we review several important imaging applications, including discrete wavelength achromatic, broadband focus imaging, light field imaging and other important imaging systems. Finally, this article makes some prospects for the incoming development direction and potential applications of metalens.
Metasurface consists of the arrangement of the specially designed subwavelength nano units, which is the two-dimensional counterpart of metamaterial. Metasurface can modulate the electromagnetic field on a microscopic scale to allow the arbitrary wavefront manipulation. At present, it has been used to flexibly control various optical parameters such as phase, polarization, and amplitude. Among all of the applications based on metasurfaces, metalens is no doubt one of the most important and basic research interset. Because its thickness is on the order of wavelength, compared with traditional optical lenses, it can significantly increase the integration of optical devices and reduce the systematic complexity. However, the chromatic aberration caused by the inherent dispersion of the material of the unit structure and the diffraction effect of the structural geometry will severely influence the imaging quality of the metalens, and hence isolating us from a rich variety of advanced applications. Herein, we firstly discuss the principle of controlling chromatic aberration with metalens. Then we review several important imaging applications, including discrete wavelength achromatic, broadband focus imaging, light field imaging and other important imaging systems. Finally, this article makes some prospects for the incoming development direction and potential applications of metalens.
2021, 14(4): 792-811.
doi: 10.37188/CO.2021-0066
cstr: 32171.14.CO.2021-0066
Abstract:
In the last two decades, optical vortices carried by twisted light wavefronts have attracted a great deal of interest, providing not only new physical insights into light-matter interactions, but also a transformative platform for boosting optical information capacity. Meanwhile, advances in nanoscience and nanotechnology lead to the emerging field of nanophotonics, offering an unprecedented level of light manipulation via nanostructured materials and devices. Many exciting ideas and concepts come up when optical vortices meet nanophotonic devices. Here, we provide a minireview on recent achievements made in nanophotonics for the generation and detection of optical vortices and some of their applications.
In the last two decades, optical vortices carried by twisted light wavefronts have attracted a great deal of interest, providing not only new physical insights into light-matter interactions, but also a transformative platform for boosting optical information capacity. Meanwhile, advances in nanoscience and nanotechnology lead to the emerging field of nanophotonics, offering an unprecedented level of light manipulation via nanostructured materials and devices. Many exciting ideas and concepts come up when optical vortices meet nanophotonic devices. Here, we provide a minireview on recent achievements made in nanophotonics for the generation and detection of optical vortices and some of their applications.
2021, 14(4): 812-822.
doi: 10.37188/CO.2021-0023
cstr: 32171.14.CO.2021-0023
Abstract:
Polaritons are half-light, half-matter quasi-particles formed by the interaction of light and different polarons. They can be applied for light-control at sub-wavelength scales and have shown intriguing potential for optical imaging, enhanced nonlinear optics and novel metamaterial design. Recent advances in the twistronics of two-dimensional van der Waals materials have enabled a vast variety of extraordinary phenomena associated with moiré physics, which also inspired new direction for the research of polaritons. In this article, we briefly review the rise of “twist-photonics”, including plasmon polaritons in twisted graphene system, exciton polaritons in a twisted transition-metal dichalcogenide system and phonon polaritons in a twisted h-BN and α-MoO3 system. Twist van der Waals materials may offer new directions to manipulate light-matter interactions at nanoscale.
Polaritons are half-light, half-matter quasi-particles formed by the interaction of light and different polarons. They can be applied for light-control at sub-wavelength scales and have shown intriguing potential for optical imaging, enhanced nonlinear optics and novel metamaterial design. Recent advances in the twistronics of two-dimensional van der Waals materials have enabled a vast variety of extraordinary phenomena associated with moiré physics, which also inspired new direction for the research of polaritons. In this article, we briefly review the rise of “twist-photonics”, including plasmon polaritons in twisted graphene system, exciton polaritons in a twisted transition-metal dichalcogenide system and phonon polaritons in a twisted h-BN and α-MoO3 system. Twist van der Waals materials may offer new directions to manipulate light-matter interactions at nanoscale.
2021, 14(4): 831-850.
doi: 10.37188/CO.2021-0014
cstr: 32171.14.CO.2021-0014
Abstract:
Traditional optical lenses and optical systems implement electromagnetic wave control based on the light propagation effect. So they usually suffer from the bulky size. Recently, metasurfaces comprised of artificial subwavelength structures have been widely studied, since they take great advantages of their subwavelength thickness and provide arbitrary control of electromagnetic waves. Here, the electromagnetic wave control mechanism is introduced. Then, we analyze the monochromatic aberrations and chromatic aberrations of the metalens and the corresponding image quality evaluation methods. Also, we discuss the research progress and applications of metalens for imaging. The exist problems and future goals are pointed out at the end of the review. Based on the advantages of portability and a high degree of design freedom, metalens are expected to replace the traditional imaging devices in many applications. High efficiency, large field of view, broadband, reconfigurable and tunable imaging devices based on metasurfaces will help in important future development directions.
Traditional optical lenses and optical systems implement electromagnetic wave control based on the light propagation effect. So they usually suffer from the bulky size. Recently, metasurfaces comprised of artificial subwavelength structures have been widely studied, since they take great advantages of their subwavelength thickness and provide arbitrary control of electromagnetic waves. Here, the electromagnetic wave control mechanism is introduced. Then, we analyze the monochromatic aberrations and chromatic aberrations of the metalens and the corresponding image quality evaluation methods. Also, we discuss the research progress and applications of metalens for imaging. The exist problems and future goals are pointed out at the end of the review. Based on the advantages of portability and a high degree of design freedom, metalens are expected to replace the traditional imaging devices in many applications. High efficiency, large field of view, broadband, reconfigurable and tunable imaging devices based on metasurfaces will help in important future development directions.
2021, 14(4): 851-866.
doi: 10.37188/CO.2021-0069
cstr: 32171.14.CO.2021-0069
Abstract:
Metasurfaces, composed of subwavelength-scale artificial nanostructures, can realize the versatile modulation of multiple attributes of light such as amplitude, phase and polarization, providing an excellent platform for nanophotonic devices. As a new type of layered material, 2D materials manifest peculiar optical and electrical properties compared to 3D bulk materials. The combination of 2D materials with metasurfaces offers new possibilities for the development of nanoscale planar optical devices. This paper reviews the development of metasurfaces based on 2D materials with atomic thicknesses, introduces the mechanism of light field modulation of various 2D material metasurfaces. An outlook on the challenges and potential applications for the development of atomic layer thickness metasurfaces are provided finally.
Metasurfaces, composed of subwavelength-scale artificial nanostructures, can realize the versatile modulation of multiple attributes of light such as amplitude, phase and polarization, providing an excellent platform for nanophotonic devices. As a new type of layered material, 2D materials manifest peculiar optical and electrical properties compared to 3D bulk materials. The combination of 2D materials with metasurfaces offers new possibilities for the development of nanoscale planar optical devices. This paper reviews the development of metasurfaces based on 2D materials with atomic thicknesses, introduces the mechanism of light field modulation of various 2D material metasurfaces. An outlook on the challenges and potential applications for the development of atomic layer thickness metasurfaces are provided finally.
2021, 14(4): 867-885.
doi: 10.37188/CO.2021-0036
cstr: 32171.14.CO.2021-0036
Abstract:
As one type of novel two-dimensional artificial micro-nano structure, metasurfaces have exhibited strong potential for application in light manipulation in recent decades. However, there is a substantial calling for next-generation optical metasurfaces endowed with remarkable reconfiguration capabilities for practical applications in increasingly miniaturized and integrated opto-electronic devices. In this paper, we review the recent progress of deformable optical metasurfaces mainly fabricated by focused-ion-beam-based nano-kirigami and focus on their excellent performance and applications in the active control of phase, polarization, optical chirality, nonlinear radiation, etc. Deformable metasurfaces with their exceptional flexibility and reconfigurability provide a novel and feasible strategy for the design of functional micro-nano-optoelectronic devices, and immensely promote the development of emerging strainoptronics.
As one type of novel two-dimensional artificial micro-nano structure, metasurfaces have exhibited strong potential for application in light manipulation in recent decades. However, there is a substantial calling for next-generation optical metasurfaces endowed with remarkable reconfiguration capabilities for practical applications in increasingly miniaturized and integrated opto-electronic devices. In this paper, we review the recent progress of deformable optical metasurfaces mainly fabricated by focused-ion-beam-based nano-kirigami and focus on their excellent performance and applications in the active control of phase, polarization, optical chirality, nonlinear radiation, etc. Deformable metasurfaces with their exceptional flexibility and reconfigurability provide a novel and feasible strategy for the design of functional micro-nano-optoelectronic devices, and immensely promote the development of emerging strainoptronics.
2021, 14(4): 886-899.
doi: 10.37188/CO.2021-0017
cstr: 32171.14.CO.2021-0017
Abstract:
Metasurfaces, a kind of artificial planar material with subwavelength feature sizes, have attracted much attention in recent years because they can precisely and flexibly manipulate the amplitude, phase, polarization, frequency and spectrum of incident electromagnetic waves at the subwavelength scale. Since amplitude is one of the fundamental properties of a lightwave, in this article, we focus on investigating the mechanism of amplitude-modulated metasurfaces. Amplitude modulation is carried out mainly by varying the sizes and orientation angles of nanostructures. In addition, the progress and applications of functional devices based on amplitude-modulated metasurfaces are summarized and discussed in detail. This article shows that amplitude-modulated metasurfaces have the advantages of flexible designs, simple fabrication, powerful functionality and are suitable for easily merging other optical property modulations. Amplitude-moderated metasurfaces have important research value and broad application prospects in the fields of high-resolution image display, high-density information storage, information encryption, information multiplexing, beam shaping, optical information processing, security, anticounterfeiting and many other related areas.
Metasurfaces, a kind of artificial planar material with subwavelength feature sizes, have attracted much attention in recent years because they can precisely and flexibly manipulate the amplitude, phase, polarization, frequency and spectrum of incident electromagnetic waves at the subwavelength scale. Since amplitude is one of the fundamental properties of a lightwave, in this article, we focus on investigating the mechanism of amplitude-modulated metasurfaces. Amplitude modulation is carried out mainly by varying the sizes and orientation angles of nanostructures. In addition, the progress and applications of functional devices based on amplitude-modulated metasurfaces are summarized and discussed in detail. This article shows that amplitude-modulated metasurfaces have the advantages of flexible designs, simple fabrication, powerful functionality and are suitable for easily merging other optical property modulations. Amplitude-moderated metasurfaces have important research value and broad application prospects in the fields of high-resolution image display, high-density information storage, information encryption, information multiplexing, beam shaping, optical information processing, security, anticounterfeiting and many other related areas.
2021, 14(4): 900-926.
doi: 10.37188/CO.2021-0108
cstr: 32171.14.CO.2021-0108
Abstract:
In contrast to conventional color filters exploiting chemical colorant pigments, structural color filters based on micro/nano patterns have potential applications in various fields including optical decoration, displaying, imaging, and photovoltaics, owing to their advantages of high purity, brightness, long-term stability, and environmental friendliness. Thanks to the continuing development of nanofabrication technology, metasurface-based structural color filters with different working mechanisms have been demonstrated. In this review, we will first introduce structural colors based on three representative types of resonance principles, then we will elaborate various applications of structural color filters including full-color display, holographic imaging, information encryption and colored photovoltaic devices. We conclude the review by discussing perspectives of metasurface-based structural colors.
In contrast to conventional color filters exploiting chemical colorant pigments, structural color filters based on micro/nano patterns have potential applications in various fields including optical decoration, displaying, imaging, and photovoltaics, owing to their advantages of high purity, brightness, long-term stability, and environmental friendliness. Thanks to the continuing development of nanofabrication technology, metasurface-based structural color filters with different working mechanisms have been demonstrated. In this review, we will first introduce structural colors based on three representative types of resonance principles, then we will elaborate various applications of structural color filters including full-color display, holographic imaging, information encryption and colored photovoltaic devices. We conclude the review by discussing perspectives of metasurface-based structural colors.
2021, 14(4): 935-954.
doi: 10.37188/CO.2021-0076
cstr: 32171.14.CO.2021-0076
Abstract:
Inspired by the exciting discovery of topological insulators in condensed-state physics, some topological physics phenomena, such as integer quantum Hall effect, quantum spin Hall effect, topological semimetals and higher order topological insulators, have successively realized in photonic system. Thanks to the clean energy band, simple design and accurate production of samples, the optical system has gradually become an important platform for studying physical topological models and novel topological phenomena. Topological photonics provides new methods to manipulate light fields and photons. The topological protected edge states can realize the propagation of photons which immune to material defects and impurity. Such ideal transport states are unprecedented in traditional optics, which may lead to radical changes in novel integrated optical devices. In this review, based on the two-dimensional optical system, we briefly introduce the exciting developments of topological photonics, such as photonic integer quantum Hall effect, photonic quantum spin Hall effect, photonic Floquet topological insulators, topological Anderson insulators and photonic higher order topological insulators. We focus on the topological insulators mentioned above and its topological model and novel topological phenomena. Finally, we conclude with the novel topological effects in optics and their applications in novel optical device.
Inspired by the exciting discovery of topological insulators in condensed-state physics, some topological physics phenomena, such as integer quantum Hall effect, quantum spin Hall effect, topological semimetals and higher order topological insulators, have successively realized in photonic system. Thanks to the clean energy band, simple design and accurate production of samples, the optical system has gradually become an important platform for studying physical topological models and novel topological phenomena. Topological photonics provides new methods to manipulate light fields and photons. The topological protected edge states can realize the propagation of photons which immune to material defects and impurity. Such ideal transport states are unprecedented in traditional optics, which may lead to radical changes in novel integrated optical devices. In this review, based on the two-dimensional optical system, we briefly introduce the exciting developments of topological photonics, such as photonic integer quantum Hall effect, photonic quantum spin Hall effect, photonic Floquet topological insulators, topological Anderson insulators and photonic higher order topological insulators. We focus on the topological insulators mentioned above and its topological model and novel topological phenomena. Finally, we conclude with the novel topological effects in optics and their applications in novel optical device.
2021, 14(4): 955-967.
doi: 10.37188/CO.2021-0074
cstr: 32171.14.CO.2021-0074
Abstract:
Two dimensional artificial metamaterials, represented by metasurfaces, could control the amplitude, phase, polarization and orbital angular momentum of light, through tailoring the interaction between light and matter. Nowadays, two dimensional artificial metamaterials with nontrivial topological properties have become research focus in optics due to their advantages in robust unidirectional transmission. The topological phase is not only a new degree of freedom to describe matter in the field of condensed matter physics, but also a new parameter to describe optical properties of artificial metamaterials. In this review, the origin of topological photonics and classification for topological properties of two dimensional metamaterials are introduced. The latest progress in topological photonics has also been presented. The summary and prospect of topological metamaterials are given at the end of the review.
Two dimensional artificial metamaterials, represented by metasurfaces, could control the amplitude, phase, polarization and orbital angular momentum of light, through tailoring the interaction between light and matter. Nowadays, two dimensional artificial metamaterials with nontrivial topological properties have become research focus in optics due to their advantages in robust unidirectional transmission. The topological phase is not only a new degree of freedom to describe matter in the field of condensed matter physics, but also a new parameter to describe optical properties of artificial metamaterials. In this review, the origin of topological photonics and classification for topological properties of two dimensional metamaterials are introduced. The latest progress in topological photonics has also been presented. The summary and prospect of topological metamaterials are given at the end of the review.
2021, 14(4): 968-985.
doi: 10.37188/CO.2021-0080
cstr: 32171.14.CO.2021-0080
Abstract:
Optical metamaterials are composed of array of artificial sub-wavelength resonators, exhibiting novel optical phenomena that not occur in natural materials. By using optical metamaterials, one can flexibly control the light propagation and realize fantastic optical phenomena such as negative refraction, cloaking and unidirectional transmission, etc. Traditional optical metamaterials usually have fixed geometric structures and unchanged material properties, which limits their capabilities of tuning optical responses. Recently, tunable optical metamaterials based on exceptional materials or structures have attracted much attention. In this review, we investigate the fundamentals of tunable optical metamaterials realized by either integrating the active materials (i.e., varactor diodes, liquid crystals, phase change materials, graphene, etc.) or reconstructing the resonators array (i.e., micro electromechanical systems, stretchable materials, etc.). We systematically summarize the progress in this area, analyze the features of tunable optical metamaterials under different control mechanisms, elaborate the challenges of tunable optical metamaterials facing in future applications, and predict the future development direction.
Optical metamaterials are composed of array of artificial sub-wavelength resonators, exhibiting novel optical phenomena that not occur in natural materials. By using optical metamaterials, one can flexibly control the light propagation and realize fantastic optical phenomena such as negative refraction, cloaking and unidirectional transmission, etc. Traditional optical metamaterials usually have fixed geometric structures and unchanged material properties, which limits their capabilities of tuning optical responses. Recently, tunable optical metamaterials based on exceptional materials or structures have attracted much attention. In this review, we investigate the fundamentals of tunable optical metamaterials realized by either integrating the active materials (i.e., varactor diodes, liquid crystals, phase change materials, graphene, etc.) or reconstructing the resonators array (i.e., micro electromechanical systems, stretchable materials, etc.). We systematically summarize the progress in this area, analyze the features of tunable optical metamaterials under different control mechanisms, elaborate the challenges of tunable optical metamaterials facing in future applications, and predict the future development direction.
2021, 14(4): 986-997.
doi: 10.37188/CO.2021-0110
cstr: 32171.14.CO.2021-0110
Abstract:
Moiré lattices are composite structures composed of two identical or similar periodic structures. Inspired by the research in the van der Waals heterostructures, the research interest on moiré physics in optical, acoustic, mechanical, and thermal systems is either renewing or emerging. Here we review the recent research developments on optical/photonic moiré lattices, including monolayered and bilayered moiré structures, discussing their linear and nonlinear optical properties of different realization of moiré lattices.
Moiré lattices are composite structures composed of two identical or similar periodic structures. Inspired by the research in the van der Waals heterostructures, the research interest on moiré physics in optical, acoustic, mechanical, and thermal systems is either renewing or emerging. Here we review the recent research developments on optical/photonic moiré lattices, including monolayered and bilayered moiré structures, discussing their linear and nonlinear optical properties of different realization of moiré lattices.
2021, 14(4): 998-1018.
doi: 10.37188/CO.2021-0093
cstr: 32171.14.CO.2021-0093
Abstract:
Silicon nitride provides a CMOS-compatible integrated photonic platform with rich optical properties. By adjusting the relevant fabrication parameters, silicon nitride with specific refractive index between 1.9~3.2 can be achieved, and its extinction and nonlinear coefficient can have a large adjustable range. Silicon nitride has wide potential applications in many fields such as thin film optics, micro-nano planar optics and nonlinear integrated photonics. In this paper, we review the optical properties of silicon nitride and its recent advances in optical film, micro-nano metamaterial and silicon photonics, and also review the research progresses on the applications of solar thin films, visible metasurfaces, grating couplers and nonlinear optical waveguides.
Silicon nitride provides a CMOS-compatible integrated photonic platform with rich optical properties. By adjusting the relevant fabrication parameters, silicon nitride with specific refractive index between 1.9~3.2 can be achieved, and its extinction and nonlinear coefficient can have a large adjustable range. Silicon nitride has wide potential applications in many fields such as thin film optics, micro-nano planar optics and nonlinear integrated photonics. In this paper, we review the optical properties of silicon nitride and its recent advances in optical film, micro-nano metamaterial and silicon photonics, and also review the research progresses on the applications of solar thin films, visible metasurfaces, grating couplers and nonlinear optical waveguides.
2021, 14(4): 754-763.
doi: 10.37188/CO.2021-0035
cstr: 32171.14.CO.2021-0035
Abstract:
Polarization imaging technology has important application value in target detection, biomedicine, and other fields, but traditional polarization imaging systems suffer from complex structures, large volume, and heavy weight. The polarization imaging system based on metasurfaces can avoid these problems effectively, which is conducive to the development of miniaturized, lighter and easily-integrated optical systems. However, the traditional design method for metasurfaces ignores near-field electromagnetic coupling caused by the local aperiodicity, which will seriously affect the diffraction efficiency of metalenses, especially if they have a large numerical aperture. To solve this problem, a general method for designing polarization-multiplexed metalenses based on boundary optimization is proposed in this paper, and a polarization imaging metalens with a large numerical aperture (~0.94) is designed, which can independently control x- and y-polarized light. For the optimization design with artificially optimal initial structures, the traditional design method of parameter scanning and manual selection was used to obtain the initial structure of the metalens, and then it was further optimized by the boundary optimization, resulting in about 20% improvement of the diffraction efficiency compared with that before optimization. For the optimization design with a uniform array as the initial structure, the diffraction efficiency can reach about 92% after about 20 iterations. The optimized design method proposed in this paper can effectively improve the efficiency of polarization-multiplexed metasurfaces, showing promising applications in polarization imaging, optical communication, and other fields.
Polarization imaging technology has important application value in target detection, biomedicine, and other fields, but traditional polarization imaging systems suffer from complex structures, large volume, and heavy weight. The polarization imaging system based on metasurfaces can avoid these problems effectively, which is conducive to the development of miniaturized, lighter and easily-integrated optical systems. However, the traditional design method for metasurfaces ignores near-field electromagnetic coupling caused by the local aperiodicity, which will seriously affect the diffraction efficiency of metalenses, especially if they have a large numerical aperture. To solve this problem, a general method for designing polarization-multiplexed metalenses based on boundary optimization is proposed in this paper, and a polarization imaging metalens with a large numerical aperture (~0.94) is designed, which can independently control x- and y-polarized light. For the optimization design with artificially optimal initial structures, the traditional design method of parameter scanning and manual selection was used to obtain the initial structure of the metalens, and then it was further optimized by the boundary optimization, resulting in about 20% improvement of the diffraction efficiency compared with that before optimization. For the optimization design with a uniform array as the initial structure, the diffraction efficiency can reach about 92% after about 20 iterations. The optimized design method proposed in this paper can effectively improve the efficiency of polarization-multiplexed metasurfaces, showing promising applications in polarization imaging, optical communication, and other fields.
2021, 14(4): 782-791.
doi: 10.37188/CO.2021-0098
cstr: 32171.14.CO.2021-0098
Abstract:
Surface waves supported by structured metallic surfaces, i.e.metasurfaces, have drawn wide attention recently.They are promising for various applications ranging from integrated photonic circuits to imaging and bio-sensing in various frequency regimes. In this work, we show that surface states with diverse polarization configurations can be supported by a metasurface consisting of a single layer of bianisotropic metamaterial elements.The structure possesses D2d symmetry, which includes mirror symmetry in the xz and yz plane, and C2 rotational symmetry along y = ±x axis. Due to this unique symmetry, the metasuface supports both transverse electric (TE) and transverse magnetic (TM) waves along kx and ky directions, while a purely longitudinal mode and an elliptically polarized transverse electromagnetic(TEM) mode along ky = ±kx directions. The versatility of the surface modes on the metasurface may lead to new surface wave phenomena and device applications.
Surface waves supported by structured metallic surfaces, i.e.metasurfaces, have drawn wide attention recently.They are promising for various applications ranging from integrated photonic circuits to imaging and bio-sensing in various frequency regimes. In this work, we show that surface states with diverse polarization configurations can be supported by a metasurface consisting of a single layer of bianisotropic metamaterial elements.The structure possesses D2d symmetry, which includes mirror symmetry in the xz and yz plane, and C2 rotational symmetry along y = ±x axis. Due to this unique symmetry, the metasuface supports both transverse electric (TE) and transverse magnetic (TM) waves along kx and ky directions, while a purely longitudinal mode and an elliptically polarized transverse electromagnetic(TEM) mode along ky = ±kx directions. The versatility of the surface modes on the metasurface may lead to new surface wave phenomena and device applications.
2021, 14(4): 823-830.
doi: 10.37188/CO.2021-0102
cstr: 32171.14.CO.2021-0102
Abstract:
Due to the intrinsic constraints of metalenses’ achromatic bandwidth, lens size, and numerical aperture, it’s hard to create a high-performance large scale broadband achromatic metalens. Discrete multi-wavelength achromatic metalenses can exceed multiple of these restrictions of these parameters, which means they could perform more suitably. Here, we introduce a phase-dispersion space, by which we prove that multiwavelength achromatic metalenses are theoretically more efficient than broadband achromatic metalenses. The efficiency of dualwavelength achromatic metalenses is 4 times that of broadband achromatic metalenses when calculated by simulation. We also analyze the relationship between efficiency and the frequency interval of multiwavelength achromatic metalens, and conclude that efficiency will decrease first and then increase as the frequency interval increases.
Due to the intrinsic constraints of metalenses’ achromatic bandwidth, lens size, and numerical aperture, it’s hard to create a high-performance large scale broadband achromatic metalens. Discrete multi-wavelength achromatic metalenses can exceed multiple of these restrictions of these parameters, which means they could perform more suitably. Here, we introduce a phase-dispersion space, by which we prove that multiwavelength achromatic metalenses are theoretically more efficient than broadband achromatic metalenses. The efficiency of dualwavelength achromatic metalenses is 4 times that of broadband achromatic metalenses when calculated by simulation. We also analyze the relationship between efficiency and the frequency interval of multiwavelength achromatic metalens, and conclude that efficiency will decrease first and then increase as the frequency interval increases.
2021, 14(4): 927-934.
doi: 10.37188/CO.2021-0097
cstr: 32171.14.CO.2021-0097
Abstract:
Based on the spin Hall effect of photons, a metasurface can be used to generate and control light beams. In this paper, by means of one-dimensional chains of nanohole, a metasurface with rotational symmetry is designed. The Bessel beam can be produced by the spin Hall effect of Left-handed Circularly Polarized (LCP) and Right-handed Circularly Polarized (RCP) light simultaneously. Through the excitation of linearly polarized light, we can dynamically control the intensity and polarization of Bessel beam by controlling the coherent interference between two circularly polarized light excitation beams. At the same time, this method has the advantage of broadband modulation range.
Based on the spin Hall effect of photons, a metasurface can be used to generate and control light beams. In this paper, by means of one-dimensional chains of nanohole, a metasurface with rotational symmetry is designed. The Bessel beam can be produced by the spin Hall effect of Left-handed Circularly Polarized (LCP) and Right-handed Circularly Polarized (RCP) light simultaneously. Through the excitation of linearly polarized light, we can dynamically control the intensity and polarization of Bessel beam by controlling the coherent interference between two circularly polarized light excitation beams. At the same time, this method has the advantage of broadband modulation range.
2021, 14(4): 1019-1028.
doi: 10.37188/CO.2020-0171
cstr: 32171.14.CO.2020-0171
Abstract:
Ultra-thin focusing mirror with adjustable focal length has important applications in compact systems, especially for on-chip terahertz spectroscopy, imaging systems and communication systems. By changing the geometric size and adjusting the chemical potential, the graphene subwavelength reflective structure can achieve a phase of 0~2π. Combined with the above properties and the dynamic stretching of polydimethylsiloxane (PDMS) flexible substrate, the ultra-thin terahertz focusing reflector with large dynamic adjustment range can be realized. In this paper, a dynamic focusing graphene metasurface focusing reflector based on flexible substrate with a working frequency of 1.0 THz, a width of 12 mm, a focal length of 60 mm and a thickness of 75 μm is designed and investigated. Firstly, by adjusting the chemical potential and width of the graphene unit strips, the reflective phase covers the 0~2π, and the reflective focusing effect can be achieved according to the predesigned phase spatial distribution. Then, the dynamic adjustment of the focal length of the reflective mirror can be realized by laterally stretching the flexible substrate. The simulation results demonstrate that when the length of the flexible substrate varies from 100% to 140%, the focal length of the reflective mirror increases from 53.4 mm to 112.1 mm, the dynamic focus range can reach 109.7% of the minimum focal length, and the focus efficiency decreases from 69.7% to 46.8%. In addition, the performance of the reflective mirror in a wide frequency range has also been investigated, and the simulation results demonstrate that the good dynamic focusing for incident plane waves in the frequency range of 0.85~1.0 THz can be achieved. The proposed tunable metasurface design is highly versatile in the development of ultra-thin, multifunctional and tunable terahertz devices for various applications.
Ultra-thin focusing mirror with adjustable focal length has important applications in compact systems, especially for on-chip terahertz spectroscopy, imaging systems and communication systems. By changing the geometric size and adjusting the chemical potential, the graphene subwavelength reflective structure can achieve a phase of 0~2π. Combined with the above properties and the dynamic stretching of polydimethylsiloxane (PDMS) flexible substrate, the ultra-thin terahertz focusing reflector with large dynamic adjustment range can be realized. In this paper, a dynamic focusing graphene metasurface focusing reflector based on flexible substrate with a working frequency of 1.0 THz, a width of 12 mm, a focal length of 60 mm and a thickness of 75 μm is designed and investigated. Firstly, by adjusting the chemical potential and width of the graphene unit strips, the reflective phase covers the 0~2π, and the reflective focusing effect can be achieved according to the predesigned phase spatial distribution. Then, the dynamic adjustment of the focal length of the reflective mirror can be realized by laterally stretching the flexible substrate. The simulation results demonstrate that when the length of the flexible substrate varies from 100% to 140%, the focal length of the reflective mirror increases from 53.4 mm to 112.1 mm, the dynamic focus range can reach 109.7% of the minimum focal length, and the focus efficiency decreases from 69.7% to 46.8%. In addition, the performance of the reflective mirror in a wide frequency range has also been investigated, and the simulation results demonstrate that the good dynamic focusing for incident plane waves in the frequency range of 0.85~1.0 THz can be achieved. The proposed tunable metasurface design is highly versatile in the development of ultra-thin, multifunctional and tunable terahertz devices for various applications.
2021, 14(4): 1029-1037.
doi: 10.37188/CO.2021-0100
cstr: 32171.14.CO.2021-0100
Abstract:
Dynamically tunable and broadband control of polarization is important in terahertz applications such as wireless communication, sensing, and medical imaging. We propose a single-layered “stepped” hybrid metasurface based on wire resonator and VO2 phase transition, which enables the flexible switching between broadband quarter-wave plate and half-wave plate. The hybrid metasurface is a transmission-type broadband quarter-wave plate when VO2 film is insulating phase. At 1.43~2.43 THz, it can convert the normally propagating x-polarization to left-handed circular polarization with an ellipticity over 0.99 and 52% bandwidth of the central wavelength. The hybrid metasurface can realize x- to y-polarization conversion and act as a half-wave plate when VO2 is in a metallic phase. In addition, we study the wave plate performance at different oblique incident angles. The results show that the quarter-wave plate can achieve dynamic switching between broadband and dual-band properties and the half-wave plate can achieve a frequency tunability of 57% with the increase of the incident angle. The proposed switchable terahertz qurter-/half-wave plate is expected to promote the development of broadband polarization conversion components, tunable switches and compact optical components.
Dynamically tunable and broadband control of polarization is important in terahertz applications such as wireless communication, sensing, and medical imaging. We propose a single-layered “stepped” hybrid metasurface based on wire resonator and VO2 phase transition, which enables the flexible switching between broadband quarter-wave plate and half-wave plate. The hybrid metasurface is a transmission-type broadband quarter-wave plate when VO2 film is insulating phase. At 1.43~2.43 THz, it can convert the normally propagating x-polarization to left-handed circular polarization with an ellipticity over 0.99 and 52% bandwidth of the central wavelength. The hybrid metasurface can realize x- to y-polarization conversion and act as a half-wave plate when VO2 is in a metallic phase. In addition, we study the wave plate performance at different oblique incident angles. The results show that the quarter-wave plate can achieve dynamic switching between broadband and dual-band properties and the half-wave plate can achieve a frequency tunability of 57% with the increase of the incident angle. The proposed switchable terahertz qurter-/half-wave plate is expected to promote the development of broadband polarization conversion components, tunable switches and compact optical components.
Abstract
FullText HTML
PDF 3209KB