2023 Vol. 16, No. 3

Review
Recent progress of non-line-of-sight imaging reconstruction algorithms in typical imaging modalities
ZHAO Lu-da, DONG Xiao, XU Shi-long, HU Yi-hua, ZHANG Xin-yuan, ZHONG Yi-cheng
2023, 16(3): 479-499. doi: 10.37188/CO.2022-0186
Abstract:

Non-line-of-sight (NLoS) imaging is a promising technique developed in recent years, which can reconstruct hidden scenes by analyzing the information in the intermediate surface, and "see around the corner", and has strong application value in many fields. In this paper, we review the reconstruction algorithm for NLoS imaging tasks. Firstly, considering the crossover and non-independent phenomena existing in the NLoS imaging classification, we use the different features of physical imaging models and algorithm models to reclassify them. Secondly, according to the proposed classification criteria, we respectively review the traditional and deep learning-based NLoS imaging reconstruction algorithms, summarize the state-of-the-art algorithms, and derive the implement principle. We also compare the results of deep learning-based and traditional NLoS imaging reconstruction algorithms for reconstruction tasks. Finally, the current challenges and the future development of NLoS imaging are summarized. Different types of NLoS imaging reconstruction algorithms are comprehensively analyzed in this review, which provides important support for the further development of NLoS imaging reconstruction algorithms.

Original Article
Research progress of grating projection on machine 3D topography inspection technology
LV Hong-yu, LI Mao-yue, CAI Dong-chen, ZHAO Wei-xiang
2023, 16(3): 500-513. doi: 10.37188/CO.2022-0083
Abstract:

Vision-based measurement has good application prospects and far-reaching development significance for advanced manufacturing fields such as aerospace, the military industry and electronic chips. Among them, on-machine 3D vision detection technology based on structured light is one of the hotspots and challenges in the field of precision machining. Based on the on-machine 3D measurement process of structured light, we discuss and summarize the key technologies, including its technical requirements, methods and principles involved, related research status and existing problems in the measurement calibration, phase optimization solution, on-machine 3D point cloud processing and reconstruction of different feature surfaces. Finally, according to the actual needs of relevant technologies in the future, prospects are made with regard to processing field calibration, dynamic real-time 3D reconstruction, sub-micron and nano measurement, and measurement processing integrated data transmission technology, with the corresponding research ideas put forward.

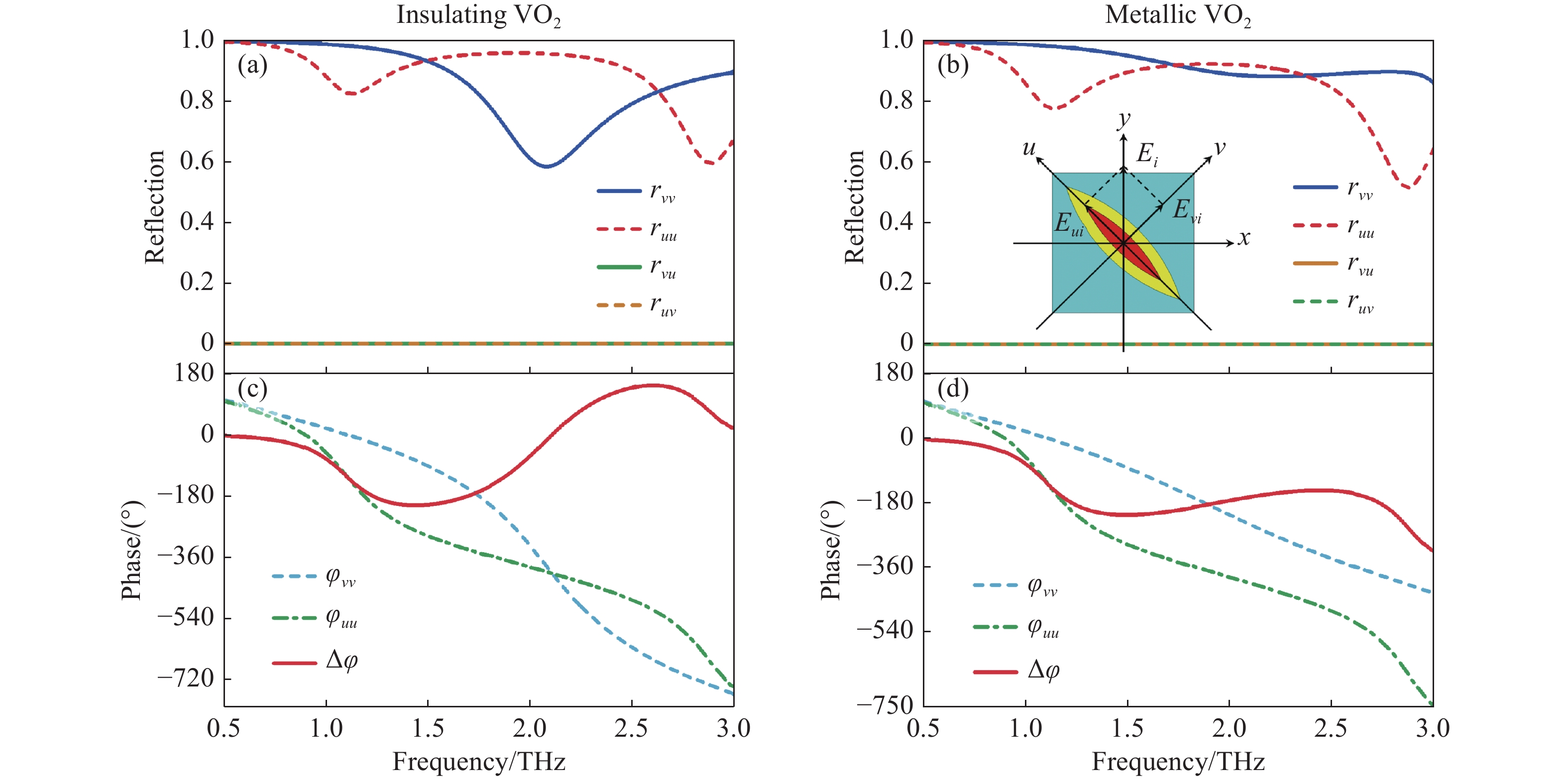
A vanadium dioxide-assisted switchable multifunctional metamaterial structure
YAN De-xian, CHEN Xin-yi, FENG Qin-yin, LU Zi-jun, ZHANG He, LI Xiang-jun, LI Ji-ning
2023, 16(3): 514-522. doi: 10.37188/CO.2022-0195
Abstract:

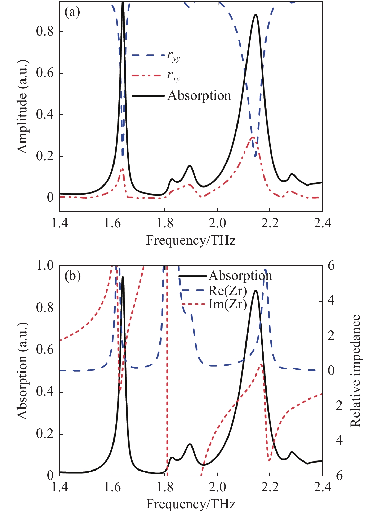
In this paper, a multifunctional metamaterial device based on the phase transition properties of vanadium dioxide (VO2) is proposed. The metamaterial structure consists of a top layer combined with VO2-filled Split Ring Resonator (SRR) and a metal cross, a polyimide (PI) dielectric layer, and a metal substrate. When the VO2 is in the insulating state, the cross-polarization conversion function can be realized, and its Polarization Conversion Rate (PCR) is greater than 90% in the range of 0.48-0.87 THz. When the VO2 is in the metallic state, the device can realize dual-frequency absorption and be applied in high-sensitivity sensing functions. The absorption rates are higher than 88% at the frequencies of 1.64 THz and 2.15 THz. By changing the refractive index of the sample material, the sensing sensitivities at the two related frequencies are about 25.6 GHz/RIU and 159 GHz/RIU, and the Q-factors are 71.34 and 23.12, respectively. The proposed metamaterial multifunctional device exhibits the advantages of a simple structure, a switchable function, and high-efficiency polarization conversion, and provides potential application value in future terahertz communication, imaging and other fields.

Graphene quantum dots fluorescence enhancement and pH response characteristics
ZHANG Bei-long, LI Jin-hua, LU Dong-xiao, ZHANG Ke-xin, WANG Xiao-jun, MA Li
2023, 16(3): 523-534. doi: 10.37188/CO.2023-0053
Abstract:

In this paper, the effect of the cross-linking agent 1-(3-Dimethylaminopropyl)-3-ethylcarbodiimide hydrochloride (EDC) on the optical properties of graphene quantum dots (GQDs) and the reasons are investigated in detail. GQDs were prepared by a hydrothermal method and reacted with EDC to obtain GQDs/EDC composites. The spectral properties of GQDs and GQDs/EDC were investigated. The effect of pH on the fluorescence of GQDs/EDC and its mechanism were investigated using PBS solution and artificial gastric juice samples. The experimental results show that EDC passives the surface defects of GQDs, making the fluorescence of GQDs increase rapidly in <1 min time and remain stable up to 20 min. Under different EDC contents the fluorescence intensity of GQDs/EDC is significantly enhanced by about 264 times compared to GQDs alone. The pH response experiments shows that GQDs/EDC had a linear response pattern of fluorescence and absorption intensity in the pH range of 1.75−4.01 and 4.01−9.28. Biocompatibility showed that the cell viability of human breast cancer cells was greater than 80% at sample concentrations of 25−300 µg/mL and remained at 74% even at high concentrations of 500 µg/mL; Finally, the detection of artificial gastric pH has high accuracy with relative standard deviation RSD ≤1.10%. The EDC-mediated fluorescence enhancement makes GQDs more advantageous in the fields of detection, sensing and imaging. Besides, the sensitive pH response characteristics of GQDs/EDC provide a good prospect for pH detection applications.

Assembling and test method for main focus survey telescope based on curvature sensing
AN Qi-chang, WU Xiao-xia, LI Hong-wen, CAI Yu-qi
2023, 16(3): 535-541. doi: 10.37188/CO.2023-0010
Abstract:

The integrated detection of the main focus telescope is realized by sensing the curvature wavefront of the telescope. First of all, the curvature sensing process of the main focus telescope and the basic principle of dynamic stability transfer in multiple links are analyzed using Fourier optics theory. Secondly, the error analysis of static correction and dynamic surface shape measurement in the integrated detection of the main focus telescope is carried out. After that, the degree of freedom locking in the adjustment process is analyzed. Finally, the principle of the integrated detection process is realized through experiments. The obtained wavefront detection residual is better than 0.08λ( λ=633 nm). The spatial resolution is 10/m−1, and the temporal resolution is 0.2 Hz. This method can effectively improve the imaging quality of main focus telescope with the large-aperture large-field, and reduce the demand for the stability of the external environment in the integrated detection process by using the non-interference and high robustness characteristics of the curvature sensor, so as to provide assistance for the more detailed time-domain astronomical observation in the future.

Thermal control design and flight test of a satellite-borne cryogenic optical system
LIU Qing-zhi, YI Hua, JIANG Hai, LIU Yin-nian
2023, 16(3): 542-549. doi: 10.37188/CO.2022-0200
Abstract:

In order to reduce influence of background infrared radiation, the temperature of the whole optical system should be below −20 °C for satellite-borne long-wave infrared imagers working in orbit. On the base of the weak heat conduction structure, a Ω type flexible sunshield made of MLI was developed and a cryogenic optical system was achieved through direct radiation cooling. Cage-like three-dimensional heat conduction straps made of copper were developed and an isothermal design for the body tube was realized. The cryogenic optical system applied to space remote sensing was used for the first time in China when it was tested in orbit with SJ-9B satellite. The results showed the temperature of the whole optical system could be maintained at −35 °C~−20 °C all the time, and the temperature difference in the body tube was no more than 4 °C. All flight test data met the temperature requirement of the long-wave infrared imager. This thermal control method is simple and effective, which can provide a reference for the thermal design of similar satellite-borne infrared optical systems.

Effect of atmospheric turbulence on the tracking accuracy of high-resolution remote sensing satellites
CAO Zong-xin, CAO Nan, YANG Yan-yan, DING Zhi-ya, MAO Hong-min, PENG Jian-tao, FAN Li-na, LU Huan-jun, SUN Hui-juan, HU Li-fa, CAO Zhao-liang
2023, 16(3): 550-558. doi: 10.37188/CO.2022-0196
Abstract:

We focuse on the effects of camera aperture, atmospheric turbulence intensity and satellite orbit height on the tracking and positioning accuracy of high-resolution remote sensing satellites. Firstly, we establish a turbulence model and turbulence simulation method based on Kolmogorov turbulence theory for observation of the Earth. Then, the influence of camera aperture, satellite orbit height and atmospheric coherence length on the positioning accuracy of the satellite is simulated and analyzed, and then a universal formula is deduced to calculate the tilt aberration of turbulence wavefront. Finally, based on this universal formula, a theoretical formula for calculating jitter is derived for Earth observation. This work can provide a theoretical basis of the influence of atmospheric turbulence for the design, analysis and evaluation of high-resolution remote sensing satellites.

Synchronization transmission technology of semiconductor lasers with transverse effect
ZHAO Li-na, WEI Qing-tao
2023, 16(3): 559-566. doi: 10.37188/CO.2022-0031
Abstract:

In this paper, a dynamic equation of a semiconductor laser with transverse effect is given by modifying the dynamic model, and the influence of the transverse effect on its output characteristics is analyzed. On this basis, the synchronization transmission technology of a semiconductor laser’s output signal with transverse effect is further studied. The results show that the output of the semiconductor laser presents a new spatiotemporal chaotic state after considering the transverse effect, and is very sensitive to the initial value. At the same time, whether the synchronization transmission of single-channel or multi-channel signals is carried out by a semiconductor laser, its transmission performance is very stable. The synchronization technology is very simple and easy to apply in practice.

Short pulse laser drive technology in a distance-selective imaging system
WANG Chong, YANG Jia-hao, ZHU Bing-li, HAN Jiang-hao, DANG Wen-bin
2023, 16(3): 567-577. doi: 10.37188/CO.2022-0142
Abstract:

In a distance-selected imaging system based on single-photon detection, a short-pulse laser is emitted and synchronization control between the transmitter and receiver is performed, and the detector operates in photon counting mode and integrates in time to complete the imaging. In order to obtain a short pulse laser that meets the system requirements while reducing the system’s size and cost, we propose to apply two types of narrow pulse generation circuits based on RF bipolar transistor and Step Recovery Diode (SRD) to single photon distance selective imaging systems. We introduce the principle and design method of both types and verify the system through simulation, physical fabrication and testing. The characteristics of the pulse generator and factors affecting its pulse width and amplitude are analyzed. The physical test results show that the transistor-based method can generate a narrow pulse with a rise time of 903.5 ps, a fall time of 946.1 ps, a pulse width of 824 ps, and an amplitude of 2.46 V; the SRD-based method can generate a narrow pulse with a rise time of 456.8 ps, a fall time of 458.3 ps, a pulse width of 1.5 ns, and an amplitude of 2.38 V; and the repetition frequency of both can reach 50 MHz. Both design methods can be used with external current-driven laser diodes to achieve excellent short pulse laser output.

Design of reflector assembly and adhesive layer under airborne wide temperature conditions
ZHANG Jia-qi, GUO Yi-bo, ZHANG You-jian, ZHANG Zhi-hua
2023, 16(3): 578-586. doi: 10.37188/CO.2022-0194
Abstract:

Airborne ambient temperature varies widely and airborne vibration can be strong. Because there is a difference in the thermal expansion coefficients of an Invar inlay and mirror material, a mirror’s higher coating temperature means that the traditional bonding process will lead to bonding failure and the surface precision of the mirror cannot meet system requirements. Therefore, this paper proposes a new method of bonding the mirror after processing and coating, and designs some important parameters for the adhesive layer. RTV is used as the main binder for the mirror and the inlay, and the effect of RTV curing on the structure is alleviated by favorable elasticity. The thickness of RTV is 1.1 mm, its width is 7.2 mm and the thickness of the epoxy adhesive is 0.022 mm. The simulation results show that the RMS of the mirror shape is 25.91 nm and the first-order frequency of the mirror group mode is 242 Hz when the gravity is 1 g and temperature change are −40 °C (the initial temperature is 20 °C). The final surface detection RMS is 15.8 nm and the resonance frequency is 213 Hz. The experimental results show that the design, structure and bonding layer can meet the wide temperature range and vibration requirements.

Development and algorithm research of optical alignment system for a high precision flip chip bonder
HAN Bing, MA Hong-tao, XU Hong-gang, YAN Ying, JU De-han, ZHAO Chun-yu
2023, 16(3): 587-595. doi: 10.37188/CO.2022-0101
Abstract:

Aiming at the urgent demand of high-precision optical alignment systems for a domestic infrared focal plane flip chip bonder, an optical alignment system was designed and verified, and the parallel adjustment, optical alignment and coordinate system error compensation algorithms applied to the system were researched. Firstly, this paper analysed the optical alignment process of a flip chip bonder, then introduced the parallelism adjustment and optical alignment algorithm, and proposed a more reasonable error compensation algorithm according to the test process of the optical alignment system. Finally, based on the above calculation algorithm, the optical alignment system was designed including three parts: a collimation system, a microscopic imaging system and a laser ranging system. The functions of parallel coarse adjustment, feature point recognition and parallel fine adjustment were realized. The experimental results show that the collimation system has a good collimation effect, the microscopic imaging system has high resolution and good imaging quality, and the ranging accuracy of the laser ranging system is 0.084 μm. The designed high-precision optical alignment system solves the urgent need of a domestic infrared focal plane flip chip bonder for high-precision optical alignment systems. It has been applied in a certain types of flip chip bonders, and has very important social significance for improving the independent research and development and production capacity of domestic high-end large-scale integrated circuits.

Sea-sky-line detection method based on polarization difference images
SU De-zhi, LIU Liang, WANG Kun, WU Shi-yong, LIU Ling-shun, MING Rui-long, GONG Jian
2023, 16(3): 596-606. doi: 10.37188/CO.2022-0181
Abstract:

Aiming at the problem of sea-sky-line detection in low-contrast infrared images being difficult and easily affected by interference factors such as clouds, strip waves and sea clutter, we propose a method of using polarization difference images for sea-sky-line detection. Firstly, Polarization Difference Imaging (PDI) is used to enhance the local contrast of the sea surface area and the Signal-to-Noise Ratio (SNR) of the sea-sky-line. A large-scale local contrast accumulation method of the polarization difference images is then used to determine the sea-sky-line area. Finally, the accurate detection of a small-scale sea-sky-line is completed by combining the gradient significance and polynomial fitting in the sea-sky-line area. Overall, the methodology integrates multi-dimensional information such as the Degree of Linear Polarization (DOLP) and the Angle of Polarization (AOP) for sea-sky-line detection, and combines large-scale and small-scale detection, which can effectively overcome interference of factors such as clouds, strip waves and sea clutter. The experimental results show that the accuracy of this algorithm for sea-sky-line detection is 98.5%, and the average time consumed is 16 ms. The experimental results indicate that the proposed algorithm can realize fast and accurate sea-sky-line detection so it has wide applicability in different scenes.

Lightweight infrared detection of ammonia leakage using shuffle and self-attention
ZHANG Yin-hui, ZHUANG Hong, HE Zi-fen, YANG Hong-kuan, HUANG Ying
2023, 16(3): 607-619. doi: 10.37188/CO.2022-0127
Abstract:

Ammonia gas is an important basic industrial raw material, and realizing its non-contact detection is of great significance for the timely detection of ammonia gas leaks to avoid major safety incidents. Aiming at the shortcoming of conventional ammonia leak detection devices that can only respond when ammonia diffuses to a certain range and makes contact with a sensor, a Shuffling Self-Attention Network (SSANet) model is proposed to realize the infrared non-contact detection of ammonia leaks. Due to the high noise and low contrast of ammonia leakage images obtained by infrared cameras, an infrared detection dataset of ammonia leakage was established through non-local mean denoising and contrast-limited adaptive histogram equalization preprocessing. On the basis of YOLOv5s, the SSANet model uses the K-means algorithm to cluster and analyze the candidate frame suitable for the infrared detection of ammonia gas leakage to preset the model’s parameters. Using the lightweight ShuffleNetv2 network, the depth of 3×3 in the Shuffle Block can be adjusted. The separate convolution kernel is replaced with a 5×5 depth, and the feature extraction network is reconstructed with an SK5 Block containing a new convolution module, which makes the model size, calculation and parameters non-intensive while improving the detection accuracy. The Transformer module is used instead of its original version. The C3 module in the network bottleneck module is replaced by Transformer module to realize the bottom-up fusion of multi-head attention in the leake area, and further improves the detection accuracy. The experimental results show that the size and parameter requirements of the SSANet model are reduced by 76.40% and 78.30%, respectively, to 3.40 M and 1.53 M compared with the basic model of YOLOv5s; the average detection speed of a single image is increased by 1.10% to 3.20 ms; and the average detection accuracy is increased by 3.50% , reaching 96.30%. We provide an effective detection algorithm for the development of a non-contact detection device for ammonia leakage to ensure the safe production and stable operation of ammonia-related enterprises.

A flux measurement for high-magnification convergent radiation spots
WEI Xiu-dong, ZHAO Yu-hang, ZHANG Ya-nan, XU Ying-chao
2023, 16(3): 620-626. doi: 10.37188/CO.2022-0139
Abstract:

A new method for measuring the flux distribution of a high-magnification convergent radiation spot is proposed. A radiation flux sensor is used to measure the flux density at different positions of the spot, and the calibration curve of the grayscale and flux density at different positions of the spot is fitted by a polynomial, and finally the flux distribution of the radiation spot is obtained and its principle is also elaborated. In order to verify the accuracy and feasibility of the measurement method, a high-magnification convergent radiation spot flux distribution measurement experiment is carried out, and the results are compared with the direct measurement results from the radiant flux sensor. The results show that the measurement results of the proposed method are consistent with the direct measurement results, and the average deviation is less than 0.54%. Through analysis, the measurement uncertainty of this measurement method is 4.35%, and the measurement accuracy is higher than the traditional measurement method. The experimental results indicate that the proposed method can meet the needs of practical applications.

An improved algorithm for monocular camera edge spectrum based ranging by defocused images
JIE Deng-fei, WANG Hao, LV Hui-fang, TIAN Bo-tao, ZHANG Zhan-xiang
2023, 16(3): 627-636. doi: 10.37188/CO.2022-0171
Abstract:

In order to achieve accurate target ranging of weak or non surface texture features using a monocular camera, an improved defocused image ranging algorithm based on preserving edge spectral information is presented. By comparing two classical defocal ranging theories with Fourier transform and Laplace transform as the foundational principals of calculation, a corresponding definition evaluation function is constructed. We select the method based on the spectrum definition function with better sensitivity, and select the calculation range of the frequency domain by retaining the information on the target edge. To verify the feasibility of the algorithm, 6 sets of different duck egg samples are used to obtain scattered focus images of different apertures and distances, and the improved algorithm was used to solve the distance of the duck eggs from the camera lens. The experimental results show that the improved algorithm based on the edge spectrum preservation has a good ranging effect with a correlation coefficient of 0.986 and Root Mean Square Error (RMSE) of 11.39 mm. It is found that the range ability can be effectively improved after the image rotation processing of the duck egg image taken at an oblique angle, with the RMSE is reduced from 11.39 mm to 8.76 mm, the average relative error is reduced from 2.85% to 2.28% and the correlation coefficient reaches 0.99. The proposed algorithm fundamentally meets the requirements of stability and high accuracy in ranging targets with weak or non surface texture features.

White light interferometry micro measurement algorithm based on principal component analysis
CHEN Hao-bo, ZHANG Li-wei, SUN Wen-qing, CHEN Bao-hua, CAO Zhao-liang, WU Quan-ying
2023, 16(3): 637-644. doi: 10.37188/CO.2022-0172
Abstract:

A white light interferometry micro measurement algorithm based on principal component analysis is proposed to solve the problem of the phase solution in white light interferometry and realize the height measurement of micro morphology. The white light microscopic interference system is used to collect multiple interferograms and reconstruct them into vector form. From a set of interferograms, the background illumination can be estimated by a temporal average, eliminating background light components. Then, the eigenvalues and eigenvectors representing the original data are obtained by a matrix operation. Finally, the phase distribution is calculated by the arctangent function. Experimental results indicate that the measurement result of a standard step height of 956.05 nm by the proposed method is about 953.66 nm and the solution is approximately consistent with the iterative algorithm. In comparison to the iterative algorithm, the processing speed of the proposed method is 2 orders of magnitude faster. The interference fringes with surface roughness of 0.025 μm is analyzed, the mean of the surface roughness calculated by the proposed method is 24.83 nm, and the sample’s standard deviation is 0.3831 nm. The proposed method improves the deficiency of monochromatic interferometry and has the advantages of high speed, low computational requirements and high accuracy.

Lane detection based on dual attention mechanism
REN Feng-lei, ZHOU Hai-bo, YANG Lu, HE Xin
2023, 16(3): 645-653. doi: 10.37188/CO.2022-0033
Abstract:

In order to improve the performance of lane detection algorithms under complex scenes like obstacles, we proposed a multi-lane detection method based on dual attention mechanism. Firstly, we designed a lane segmentation network based on a spatial and channel attention mechanism. With this, we obtained a binary image which shows lane pixels and the background region. Then, we introduced HNet which can output a perspective transformation matrix and transform the image to a bird’s eye view. Next, we did curve fitting and transformed the result back to the original image. Finally, we defined the region between the two-lane lines near the middle of the image as the ego lane. Our algorithm achieves a 96.63% accuracy with real-time performance of 134 FPS on the Tusimple dataset. In addition, it obtains 77.32% of precision on the CULane dataset. The experiments show that our proposed lane detection algorithm can detect multi-lane lines under different scenarios including obstacles. Our proposed algorithm shows more excellent performance compared with the other traditional lane line detection algorithms.

Aligning method for point cloud prism boundaries of cultural relics based on normal vector and faceted index features
YANG Peng-cheng, YANG Zhao, MENG Jie, XIAO Yuan, CUI Jia-bao
2023, 16(3): 654-662. doi: 10.37188/CO.2022-0156
Abstract:

Three-dimensional reconstruction is a common method for cultural relics information conservation, mainly through point cloud alignment technology to reorganize the spatial point cloud information of cultural relics, and its alignment accuracy has an important impact on cultural relics recovery. To address the problems of low accuracy and poor robustness in the alignment of complex point cloud texture features on the surface of cultural relics, this paper proposes a local point cloud alignment method based on normal vector angle and faceted index features. Firstly, the normal vector angle and covariance matrix thresholds are set according to the point cloud planar characteristics, and the point cloud feature points satisfying both features are extracted; secondly, the point cloud local feature point set is extracted by the K-nearest neighbor search methhod, and the two sets of point cloud center-of-mass positions are overlapped by rigid transformation for coarse alignment; finally, the nearest points are iterated based on ICP for fine alignment. By comparing with the traditional ICP, the point cloud alignment error of the proposed method reduces by 3% and the matching time reduces by 50%, which effectively improves the accuracy and efficiency of alignment and enhances the robustness of point cloud alignment.

3D reconstruction method based on a rotating 2D laser scanner and multi-sensor
ZHANG Xin-rong, WANG Xin, WANG Yao, XIANG Gao-feng
2023, 16(3): 663-672. doi: 10.37188/CO.2022-0159
Abstract:

3D reconstruction technology is one of the most popular research directions in machine vision, and has been widely used in the fields of unmanned driving and digital processing and production. Traditional 3D reconstruction methods include depth cameras and multi-line laser scanners, but the point clouds obtained by depth cameras have incomplete and inaccurate information, and the high cost of multi-line laser scanners hinders their application and research. To solve these problems, a three-dimensional reconstruction method based on a rotating two-dimensional laser scanner was proposed. First, a stepper motor was used to rotate a 2D laser scanner to obtain 3D point cloud data. Then, the position of the laser scanner was calibrated by multi-sensor fusion, and the point cloud data was matched by transforming the coordinate system. Finally, the collected point cloud data were filtered and simplified. The experimental results show that compared with depth camera/IMU data fusion, the reconstruction method’s average error of the proposed method is reduced by 0.93 mm, and it is 4.24 mm, the accuracy has reached the millimeter level, and the error rate is also controlled within 2%. The cost of the whole set of equipment is also greatly reduced compared to the multi-line laser scanner. It basically meets the requirements of high precision and low cost and retaining the shape characteristics of the object.

Design and simulation of the dummy thoracic finite element model based on mashine vision
LIU Shuang, CHEN Li-xin, ZHANG Jun-dong, SHA Lu-ming, YU Zheng-lei, XU Tao, ZHANG Qi
2023, 16(3): 673-681. doi: 10.37188/CO.2023-0005
Abstract:

This paper focuses on the field of automobile passive safety in my country. By scanning the Hybrid III 50th automobile crash dummy, a finite element simulation model of the dummy chest is constructed. The genetic algorithm is used to optimize the parameters. After optimization, all the indicators of the calibration test meet the requirements of the regulations. The simulation results are consistent with the experimental test results, and the error is less than 5%. Then we put the finite element dummy model containing the chest model into the vehicle system for frontal collision simulation analysis. The results show that the score of chest injury is 80%, and the error of the simulation results is less than 10% compared with the test results. The model has a good degree of simulation and can be used for the study of vehicle crash safety performance.

Phase-extracting method of optical frequency scanning interference signals based on the CEEMD-HT algorithm
YANG Ke-yuan, DENG Zhong-wen, CHEN Wen-jun, YAO Xin, SUN Hai-feng, SHEN Li-rong
2023, 16(3): 682-700. doi: 10.37188/CO.2022-0173
Abstract:

Aiming at the problem that the optical frequency scanning nonlinearity affects the phase extracting accuracy of the optical Frequency Scanning Interferometry (FSI) signal, and thus reduces the FSI ranging accuracy, a phase-extracting method based on the Complementary Ensemble Empirical Mode Decomposition and Hilbert Transform (CEEMD-HT) algorithm is proposed in this paper. Based on theoretical derivation and simulation analysis of the CEEMD-HT algorithm, the effectiveness of the algorithm in solving the phase of the non-stationary interference signal in scanning-frequency is verified by simulation. Further simulation experiments were implemented by using the real output optical frequency obtained with FSI ranging system as the simulation conditions. The simulation results showed that the CEEMD-HT algorithm significantly improved the phase extracting accuracy of the interference signal and the FSI ranging accuracy. Finally, the proposed interference signal phase-extracting method was verified via the experiment of the FSI ranging system. The results showed that the ranging repeatability of the measurement system based on the CEEMD-HT algorithm was 2.79 μm in the free space measurement range of 2 m. Compared with EMD-HT and direct measurement methods, the ranging repeatability was improved by 5.19 times and 8.28 times, respectively.

Bandwidth-tunable terahertz metamaterial half-wave plate component
LV Ting-ting, FU Tian-shu, LIU Dong-ming, SHI Jin-hui
2023, 16(3): 701-714. doi: 10.37188/CO.2022-0198
Abstract:

We propose a “leaf-type” hybrid metamaterial to realize bandwidth-tunable half-wave plate based on vanadium dioxide (VO2) phase transition. The hybrid metamaterial is regarded as a hollow “leaf-type” metallic structure and act as a dual-band half-wave plate when VO2 film is in the insulating phase. Within 1.01−1.17 THz and 1.47−1.95 THz, it can accomplish y- to x-polarization conversion with a polarization conversion rate over 0.9 and an average relative bandwidth of 26%. The metamaterial becomes a solid core “leaf-type” metallic structure when VO2 is in the metallic phase. Within 1.13−2.80 THz, it can act as a broadband half-wave plate with a relative bandwidth of 85%. The working principle of the bandwidth-tunable half-wave plate is explained by the instantaneous surface current distribution and electric field theory in detail. The proposed “leaf-type” hybrid metamaterial half-wave plate has potential application prospects in THz imaging, sensing and polarization detection.

Fabric image retrieval algorithm based on fractal coding and Zernike moment under the wavelet transform
ZHANG Qin, CAO Yi-qing
2023, 16(3): 715-725. doi: 10.37188/CO.EN-2022-0021
Abstract:

A fabric image retrieval algorithm based on fractal coding and Zernike moments under a wavelet transform is proposed, which can quickly and accurately retrieve images from a database that are similar to fabric images submitted for retrieval. Firstly, the low-frequency component is obtained by a wavelet transform, and the transformed low-frequency sub-image is fractally encoded to obtain its coding parameters. Then, the Zernike moment of the low-frequency sub-image is calculated. The fractal coding parameters and Zernike moment under a wavelet transform are combined as the fabric image retrieval characteristic. The algorithm overcomes the problems of low retrieval accuracy and the high time consumption of direct feature extraction under a single feature. Compared with the Basic Fractal Image Compression (BFIC) algorithm, the joint orthogonal fractal parameters with the improved Hu invariant moment and Variable bandwidth Kernel density estimation of Fractal parameters (HVKF) algorithm and the Sparse Fractal Image Compression (SFIC) algorithm, the proposed algorithm ensures the quality and lower encoding time of the reconstructed image. The experiments show that the average precision and average recall of fabric image retrieval are higher than those of existing methods.

Phase measurement with dual-frequency grating in a nonlinear system
QIAO Nao-sheng, SHANG Xue
2023, 16(3): 726-732. doi: 10.37188/CO.EN.2022-0013
Abstract:

To gain better phase measurement results in nonlinear measurement systems, a phase measurement method that uses dual-frequency grating after reducing the nonlinear effect is proposed. Firstly, the nonlinear effect of the phase measurement system is discussed, the basic reason for the existence of high-order spectra components in the frequency domain is analyzed, and the basic method used to reduce the nonlinear effect and separate fundamental frequency information is given. Then, on the basis of reducing the nonlinear effect’s influence on the system, the basic principle of phase measurement for the fringe image of a measured object using the dual-frequency grating method is analyzed. To verify the correctness and effectiveness of the proposed phase measurement method, a computer simulation and a practical experiments were implemented with good results. In the simulation, the error value of this method was 27.97% for the method with nonlinear influence, and 52.51% for that with almost no nonlinear influence. In the experiment, the effect of phase recovery produces the best results. This shows that the proposed phase measurement method is effective with a small error.

SSFM-global-error-local-energy method for improving computational efficiency of passively mode-locked fiber laser
YAN Run-bin, HE Xiao-ying, ZHANG Chuan, ZHANG Yin-dong, RAO Lan
2023, 16(3): 733-742. doi: 10.37188/CO.EN.2022-0016
Abstract:

We propose a method for improving the computational efficiency of passively mode-locked fiber laser, which is composed by Symmetric Split-step Fourier Method (SSFM) and the Global-Error-Local-Energy (GELE) method for solving propagating equations. Our proposed method relies on the limitation of local energy increment related with global error within a certain value to control the selection of step size. This method has advantage of an automatic step adjustment mechanism. To achieve the same order of computation accuracy, the computational time of our method is 255 s, while SSFM with small constant step size method needs to calculate 3855 s. The computational time of our proposed method is one or two orders of magnitude less than that of the SSFM, which indicates our method can enhance the computational efficiency by a factor up to 10. It could be expanded with high-order algorithms, such as the fourth-order Runge-Kutta in the interaction picture (RK4IP), Adams, predictor–corrector, etc. for improving the accuracy.

Baidu
map