Volume 15 Issue 1
Jan.  2022
Turn off MathJax
Article Contents
DU Ming-xin, YAN Yu-feng, ZHANG Ran, CAI Cun-liang, YU Xin, BAI Su-ping, YU Yang. 3D position angle measurement based on a lens array[J]. Chinese Optics, 2022, 15(1): 45-55. doi: 10.37188/CO.2021-0129
Citation: DU Ming-xin, YAN Yu-feng, ZHANG Ran, CAI Cun-liang, YU Xin, BAI Su-ping, YU Yang. 3D position angle measurement based on a lens array[J]. Chinese Optics, 2022, 15(1): 45-55. doi: 10.37188/CO.2021-0129

3D position angle measurement based on a lens array

cstr: 32171.14.CO.2021-0129
Funds:  Supported by “13th Five-Year” Science and Technology Project of Education Department of Jilin Province (No. JJKH20200756KJ); Science and Technology Development Project of Jilin Province (No. 20200401054GX); Youth Fund of Changchun University of Science and Technology (No. XQNJJ-2019-01)
More Information
  • Corresponding author: yanyufeng@cust.edu.cn
  • Received Date: 25 Jun 2021
  • Rev Recd Date: 21 Jul 2021
  • Available Online: 20 Oct 2021
  • Publish Date: 19 Jan 2022
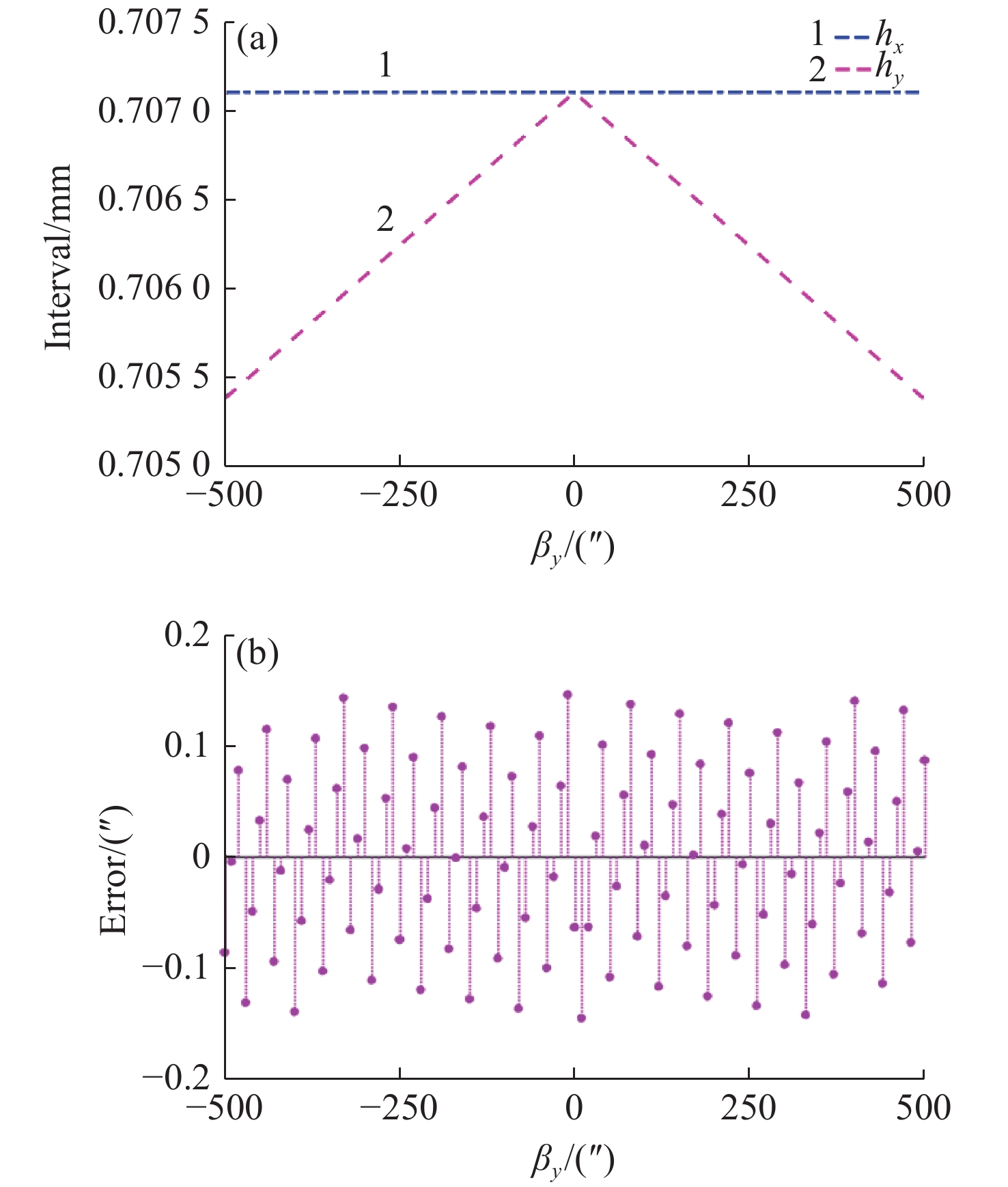
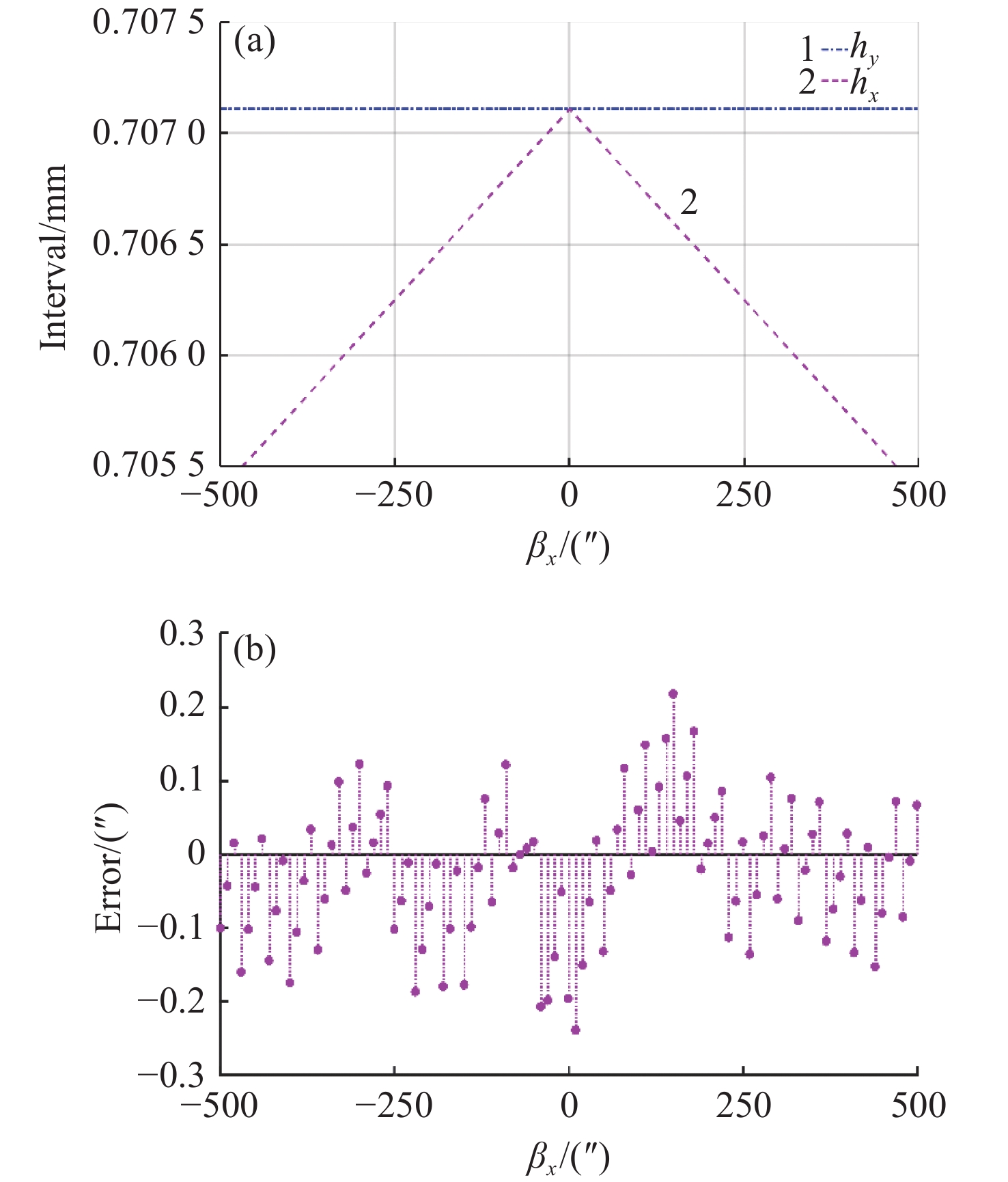
  • Accurate measurement of three-dimensional attitude angle is widely used in aviation, aerospace, national defense and other fields. In order to realize convenient and accurate measurement of three-dimensional attitude angle, an optical system based on a lens array is designed and an analysis model of micro-three-dimensional attitude angle measurement is established in this paper. In the system, the collimated parallel beam passes through four array lenses arranged in a pyramid shape to form regular array spots on a CCD. By analyzing the distance between the spots on the CCD image, the distance between the adjacent aperture on the lens array and the inclination angle between the lens array and CCD, the beam pitch angle and azimuth angle relative to the receiving system can be obtained. By using the angle of the lines of the array spots relative to the horizontal or vertical plane, the roll angle about the Z axis can also be obtained. Compared with the measurement results of the high-precision autocollimator, the measurement accuracy of the proposed method is verified to be RMS≤0.1″. The results show that the proposed method can realize the measurement of three-dimensional attitude angle.

     

  • loading
  • [1]
    RAJ A A B, SELVI A J V, DURAI K D, et al. Intensity feedback-based beam wandering mitigation in free-space optical communication using neural control technique[J]. EURASIP Journal on Wireless Communications and Networking, 2014, 2014(1): 160. doi: 10.1186/1687-1499-2014-160
    [2]
    BAI SH, WANG J Y, QIANG J, et al. Predictive filtering-based fast reacquisition approach for space-borne acquisition, tracking, and pointing systems[J]. Optics Express, 2014, 22(22): 26462-26475. doi: 10.1364/OE.22.026462
    [3]
    HSIEH T H, CHEN P Y, JYWE W Y, et al. A geometric error measurement system for linear guideway assembly and calibration[J]. Applied Sciences (Switzerland), 2019, 9(3): 574. doi: 10.3390/app9030574
    [4]
    HU P H, YU CH W, FAN K CH, et al. Error averaging effect in parallel mechanism coordinate measuring machine[J]. Applied Sciences, 2016, 6(12): 383. doi: 10.3390/app6120383
    [5]
    SCHERFF M L D, NUTTER J, FUSS-KAILUWEIT P, et al. Spectral mismatch and solar simulator quality factor in advanced LED solar simulators[J]. Japanese Journal of Applied Physics, 2017, 56(8S2): 08MB24. doi: 10.7567/JJAP.56.08MB24
    [6]
    TANG SH ZH, WANG ZH, GAO J M, et al. Influence of tilt on collinear calibration of a laser interferometer[J]. Applied Optics, 2013, 52(4): B46-B51. doi: 10.1364/AO.52.000B46
    [7]
    SAITO Y, WEI G, KIYONO S. A micro-angle sensor based on laser autocollimation[J]. Proceedings of SPIE, 2005, 6052: 60520Q. doi: 10.1117/12.647981
    [8]
    廉孟冬, 金伟锋, 居冰峰. 二维光学自准直微角度传感器[J]. 机电工程,2010,27(12):23-26,35. doi: 10.3969/j.issn.1001-4551.2010.12.006

    LIAN M D, JIN W F, JU B F. 2D micro-angle sensor based on laser autocollimation[J]. Journal of Mechanical &Electrical Engineering, 2010, 27(12): 23-26,35. (in Chinese) doi: 10.3969/j.issn.1001-4551.2010.12.006
    [9]
    HSIEH H L, PAN S W. Development of a grating-based interferometer for six-degree-of-freedom displacement and angle measurements[J]. Optics Express, 2015, 23(3): 2451-2465. doi: 10.1364/OE.23.002451
    [10]
    陈琎, 杨程亮, 穆全全, 等. 基于琼斯矩阵的液晶偏振光栅扭曲角及厚度的测量方法[J]. 液晶与显示,2021,36(5):656-662. doi: 10.37188/CJLCD.2020-0336

    CHEN J, YANG CH L, MU Q Q, et al. Method for measuring the twist angle and thickness of liquid crystal polarization grating based on Jones matrix[J]. Chinese Journal of Liquid Crystals and Displays, 2021, 36(5): 656-662. (in Chinese) doi: 10.37188/CJLCD.2020-0336
    [11]
    SABATYAN A, HOSEINI S A. Fresnel biprism as a 1D refractive axicon[J]. Optik, 2013, 124(21): 5046-5048. doi: 10.1016/j.ijleo.2013.03.126
    [12]
    ZHANG E ZH, CHEN B Y, ZHANG H, et al. Note: comparison experimental results of the laser heterodyne interferometer for angle measurement based on the Faraday effect[J]. Review of Scientific Instruments, 2018, 89(4): 046104. doi: 10.1063/1.5013630
    [13]
    WU Y M, CHENG H B, WEN Y F. High-precision rotation angle measurement method based on a lensless digital holographic microscope[J]. Applied Optics, 2018, 57(1): 112-118. doi: 10.1364/AO.57.000112
    [14]
    YUAN J H, DAI P, LIANG D, et al. Grid deformation real-time measurement system of ion thruster based on videometrics[J]. Applied Sciences, 2019, 9(9): 1759. doi: 10.3390/app9091759
    [15]
    李娜, 姜志, 王军, 等. 基于Faster R-CNN的仪表识别方法[J]. 液晶与显示,2020,35(12):1291-1298. doi: 10.37188/YJYXS20203512.1291

    LI N, JIANG ZH, WANG J, et al. Instrument recognition method based on faster R-CNN[J]. Chinese Journal of Liquid Crystals and Displays, 2020, 35(12): 1291-1298. (in Chinese) doi: 10.37188/YJYXS20203512.1291
    [16]
    KONYAKHIN I, SAKHARIYANOVA A M, SMEKHOV A. Investigation vignetting beams in optoelectronic autocollimation angle measurement system[J]. Proceedings of SPIE, 2015, 9526: 95260H.
    [17]
    CHEN Y L, SHIMIZU Y, TAMADA J, et al. Laser autocollimation based on an optical frequency comb for absolute angular position measurement[J]. Precision Engineering, 2018, 54: 284-293. doi: 10.1016/j.precisioneng.2018.06.005
    [18]
    樊华, 曹小文, 李臻赜, 等. 飞秒脉冲金宝搏188软件怎么用 空间光场调控的微透镜阵列制备技术进展[J]. 液晶与显示,2021,36(6):827-840. doi: 10.37188/CJLCD.2020-0334

    FAN H, CAO X W, LI ZH Z, et al. Progress in femtosecond laser fabrication of microlens array with spatial light modulators[J]. Chinese Journal of Liquid Crystals and Displays, 2021, 36(6): 827-840. (in Chinese) doi: 10.37188/CJLCD.2020-0334
    [19]
    SARKAR S K, BASURAY A, SENGUPTA K. A compound interferometer for angle measurement[J]. Optics Communications, 1992, 89(2-4): 153-158. doi: 10.1016/0030-4018(92)90150-P
    [20]
    LI X J, HUI M, ZHAO ZH, et al. Differential computation method used to calibrate the angle-centroid relationship in coaxial reverse Hartmann test[J]. Review of Scientific Instruments, 2018, 89(5): 053104. doi: 10.1063/1.5021313
    [21]
    SHAIKH S A, TONELLO A M. Radio source localization in multipath channels using EM lens assisted massive antennas arrays[J]. IEEE Access, 2019, 7: 9001-9012. doi: 10.1109/ACCESS.2019.2891110
    [22]
    FUH Y K, LAI ZH H. A fast processing route of aspheric polydimethylsiloxane lenses array (APLA) and optical characterization for smartphone microscopy[J]. Optics Communications, 2017, 385: 160-166. doi: 10.1016/j.optcom.2016.10.029
    [23]
    CHANG X F, XU K Y, XIE D, et al. Microforging technique for fabrication of spherical lens array mold[J]. The International Journal of Advanced Manufacturing Technology, 2018, 96(9-12): 3843-3850. doi: 10.1007/s00170-018-1719-1
    [24]
    COPPOLA S, PAGLIARULO V, VESPINI V, et al. Direct fabrication of polymer micro-lens array[J]. Proceedings of SPIE, 2017, 10329: 103294Q.
    [25]
    LIU K H, CHEN M F, PAN C T, et al. Fabrication of various dimensions of high fill-factor micro-lens arrays for OLED package[J]. Sensors and Actuators A:Physical, 2010, 159(1): 126-134. doi: 10.1016/j.sna.2010.02.020
    [26]
    吴从均, 颜昌翔, 刘伟. 像差对通信捕获光斑质心的影响分析[J]. 中国金宝搏188软件怎么用 ,2013,40(10):1005004. doi: 10.3788/CJL201340.1005004

    WU C J, YAN CH X, LIU W. Analysis of optical aberration impact on acquisition performance[J]. Chinese Journal of Lasers, 2013, 40(10): 1005004. (in Chinese) doi: 10.3788/CJL201340.1005004
    [27]
    张艳艳, 郝晓龙, 陈洁玮. 加门限的一阶矩光斑质心探测方法[J]. 光学技术,2015,41(1):59-63. doi: 10.3788/GXJS20154101.0059

    ZANG Y Y, HAO X L, CHEN J W. First moment spot centroid detection with a threshold to compute the centroid[J]. Optical Technique, 2015, 41(1): 59-63. (in Chinese) doi: 10.3788/GXJS20154101.0059
  • 加载中

Catalog

    通讯作者: 陈斌, bchen63@163.com
    • 1. 

      沈阳化工大学材料科学与工程学院 沈阳 110142

    1. 本站搜索
    2. 百度学术搜索
    3. 万方数据库搜索
    4. CNKI搜索

    Figures(13)

    Article views(1355) PDF downloads(157) Cited by()
    Proportional views
    Related

    /

    DownLoad:  Full-Size Img  PowerPoint
    Return
    Return
    Baidu
    map