2022 Vol. 15, No. 1
2022, 15(1): 1-13.
doi: 10.37188/CO.2021-0115
cstr: 32171.14.CO.2021-0115
Abstract:
Electro-optic modulators based on lithium niobate (LiNbO3, LN) thin-film platforms are advantageous for their small volume, high bandwidth and low half-wave voltage. They have important application prospects in the field of optical fiber communication and optical fiber sensing, and thus have became a heavily researched topic in recent years. In this paper, the research progress of the waveguide structures, coupling structures and electrode structures of LN thin-film modulators are reviewed in detail. The fabrication process of a LN thin-film waveguide is summarized, and the performances of different modulator structures are analyzed. Based on SOI and LNOI, a platform modulator is realized with VπL<2 V∙cm, a bilayer inversely tapered coupling scheme achieves a coupling loss <0.5 dB/facet , and a traveling wave electrode structure achieves a modulation bandwidth >100 GHz. Thin-film LN modulators are better than commercial LN modulators in most aspects. It can be predicted that in the near future, with the further improvement in waveguide technology, thin-film LN will become a popular scheme of LN modulators. Finally, the potential directions for the future of their research are proposed.
Electro-optic modulators based on lithium niobate (LiNbO3, LN) thin-film platforms are advantageous for their small volume, high bandwidth and low half-wave voltage. They have important application prospects in the field of optical fiber communication and optical fiber sensing, and thus have became a heavily researched topic in recent years. In this paper, the research progress of the waveguide structures, coupling structures and electrode structures of LN thin-film modulators are reviewed in detail. The fabrication process of a LN thin-film waveguide is summarized, and the performances of different modulator structures are analyzed. Based on SOI and LNOI, a platform modulator is realized with VπL<2 V∙cm, a bilayer inversely tapered coupling scheme achieves a coupling loss <0.5 dB/facet , and a traveling wave electrode structure achieves a modulation bandwidth >100 GHz. Thin-film LN modulators are better than commercial LN modulators in most aspects. It can be predicted that in the near future, with the further improvement in waveguide technology, thin-film LN will become a popular scheme of LN modulators. Finally, the potential directions for the future of their research are proposed.
2022, 15(1): 14-21.
doi: 10.37188/CO.2021-0061
cstr: 32171.14.CO.2021-0061
Abstract:
The diffraction of optical fields is a universal phenomenon that can cause beams to spread during propagation in free space. Ideal non-diffracting (spatially stable) structured beams can propagate in free space without changing their initial field distribution at any plane orthogonal to the direction of propagation. Moreover, the non-diffracting structured beams also have the ability for self-recovery after encountering obstacles. Hence generating non-diffracting beams or structured beams is a very important field of research for overcoming the diffraction behavior of beams during propagation in free space. Any non-diffracting structured beams with a certain intensity, phase distribution, and propagation properties have special applications in the field of optics. Lately, some non-diffracting beams with complex structures are introduced one after another, such as Mathieu beams, parabolic beams, Lommel beams, asymmetric Bessel beams, and so on. The complex amplitude modulation is necessary to produce the non-diffracting beams with abundant structures. At present, no commercial optical modulator can modulate the phase and amplitude of light waves simultaneously. Based on binary computer-generated holography that can encode the two-dimensional transmission function distribution, a binary real amplitude computer-generated hologram with complex amplitude modulation functionality is designed and constructed. Binary real amplitude computer-generated holograms, which are a kind of binary optical diffracting element that generate non-diffracting beams with complex optical morphology, are designed and constructed by encoding the complex optical filed information by using the Lohmann-type detour phase coding method. For the Lohmann-type detour phase coding method, the coding principle is mainly that the complex field distribution information is transformed into amplitude and phase information. The complex field distribution is sampled, and one can obtain a matrix of point sources. Here, we extract the amplitude and phase information as input information to generate two 2D real value matrices for detour phase coding. By using the homemade projection imaging lithography system, the silver salt halide plate was exposed, developed and fixed, and then a binary mask is precisely machined. The homemade projection imaging lithography system can machine holograms with an ultrahigh resolution of 79874 × 79874 dpi and a maximum output of 156 mm × 156 mm. Using the mask, the non-diffracting beams with abundant structures can be produced accurately.
Taking the non-diffracting Mathieu beam as an example, two kinds of binary real amplitude computer-generated holograms for generating Mathieu beams are constructed by using the Roman type detour phase coding method. In the process of the machine, the photolithography file is firstly divided into 47 unit patterns of 600 pixel × 600 pixel, where each unit pattern is automatically inputted into a DMD (Digital Micromirror Device) in proper sequence, and then subsequently scanned line-by-line for projection exposure. When the lithography is complete, the silver halide plate is processed to obtain the mask. In this experiment, the calculated CGH is 28000 pixel × 28000 pixel, and the size of a pixel is 318 nm×318 nm. The size of the produced binary masks is 8.9 mm × 8.9 mm. The non-diffracting Mathieu beams with elliptic coefficient q=10 and topological charge number m=0, 1 are generated, which belong to the even type Mathieu beams of the first kind. Undoubtedly, the classes of non-diffracting Mathieu beams, including the even type Mathieu beams of the second kind, odd type Mathieu beams of the first kind, and odd-type Mathieu beams of the second kind can also be generated using the same encoding method and experimental setup. Since one can encode both the amplitude information and the phase information of optical field in sole spatial light modulation, the experimental system is simple in structure. The experimental results show that the coding method of binary computer-generated holography is an accurate, convenient and efficient way to generate high-quality non-diffracting beams with abundant structures.
2022, 15(1): 22-33.
doi: 10.37188/CO.2021-0101
cstr: 32171.14.CO.2021-0101
Abstract:
To address the difficulty in measuring the strain limit of pliable composite film forming tests, a measurement method based on binocular stereo vision combined with digital image correlation is proposed. Firstly, to address the image matching problem in large deformations or cracks in thin films, a weak-correlation step-by-step matching method based on adaptive updating of image matching benchmarks is proposed according to the continuity of adjacent state deformation of series images. Then, according to the differences in the surface strain distribution of the film material with that of the steel parts, a strain field is proposed to fit the limit strain curve of the film material. The software and hardware system of visual measurement is built, and the limit strain curve of a Q235 steel specimen is measured and compared to results from the coordinate grid method. The limit strain accuracy can be improved by 0.02%, which proves the feasibility and accuracy of this method. The pliable composite film specimens prepared by PET, Nylon, Al foil, PP were each measured. The method and system successfully completed the measurement of the forming limit curve of the pliable composite film. The comparative experiments show that the proposed method can quickly and accurately measure the surface strain distribution of pliable composite film during forming. Compared with the coordinate grid method, it has obvious advantages and provides a highly reliable and highly precise method for solving the forming limit strain curve of film materials.
To address the difficulty in measuring the strain limit of pliable composite film forming tests, a measurement method based on binocular stereo vision combined with digital image correlation is proposed. Firstly, to address the image matching problem in large deformations or cracks in thin films, a weak-correlation step-by-step matching method based on adaptive updating of image matching benchmarks is proposed according to the continuity of adjacent state deformation of series images. Then, according to the differences in the surface strain distribution of the film material with that of the steel parts, a strain field is proposed to fit the limit strain curve of the film material. The software and hardware system of visual measurement is built, and the limit strain curve of a Q235 steel specimen is measured and compared to results from the coordinate grid method. The limit strain accuracy can be improved by 0.02%, which proves the feasibility and accuracy of this method. The pliable composite film specimens prepared by PET, Nylon, Al foil, PP were each measured. The method and system successfully completed the measurement of the forming limit curve of the pliable composite film. The comparative experiments show that the proposed method can quickly and accurately measure the surface strain distribution of pliable composite film during forming. Compared with the coordinate grid method, it has obvious advantages and provides a highly reliable and highly precise method for solving the forming limit strain curve of film materials.
2022, 15(1): 34-44.
doi: 10.37188/CO.2021-0114
cstr: 32171.14.CO.2021-0114
Abstract:
Image with the scene of haze at night has low contrast, non-uniform illumination, color cast and significant noise. These cause nighttime haze removal from single image to be problematic and challenging. In this paper, we put forward a method that can remove nighttime haze from images and improve image quality. The input image is first decomposed into a glow layer and a haze layer with a modified color channel transformation for glow artifacts and color correction. A new light segmentation function is proposed next by using gamma correction of the channel difference and setting the threshold levels as the probability of a pixel belonging to a light source region. Then we estimate the ambient illuminance map by combining the maximum reflectance prior value with the aforementioned probability and computing the atmospheric light in the light and non-light regions. Finally, we establish a novel linear model to build the connection between the image depth map and three image features including luminance, saturation and gradient map for the light source regions while using the dark channel prior for the non-light source regions. The result of the light segmentation is 0.07, and the parameters of the linear depth estimation are 1.0267, −0.5966, 0.6735 and 0.004135. Experimental results show the proposed method is reliable for removing nighttime haze and glow of active light sources, reducing significant noise and improving visibility.
Image with the scene of haze at night has low contrast, non-uniform illumination, color cast and significant noise. These cause nighttime haze removal from single image to be problematic and challenging. In this paper, we put forward a method that can remove nighttime haze from images and improve image quality. The input image is first decomposed into a glow layer and a haze layer with a modified color channel transformation for glow artifacts and color correction. A new light segmentation function is proposed next by using gamma correction of the channel difference and setting the threshold levels as the probability of a pixel belonging to a light source region. Then we estimate the ambient illuminance map by combining the maximum reflectance prior value with the aforementioned probability and computing the atmospheric light in the light and non-light regions. Finally, we establish a novel linear model to build the connection between the image depth map and three image features including luminance, saturation and gradient map for the light source regions while using the dark channel prior for the non-light source regions. The result of the light segmentation is 0.07, and the parameters of the linear depth estimation are 1.0267, −0.5966, 0.6735 and 0.004135. Experimental results show the proposed method is reliable for removing nighttime haze and glow of active light sources, reducing significant noise and improving visibility.
2022, 15(1): 45-55.
doi: 10.37188/CO.2021-0129
cstr: 32171.14.CO.2021-0129
Abstract:
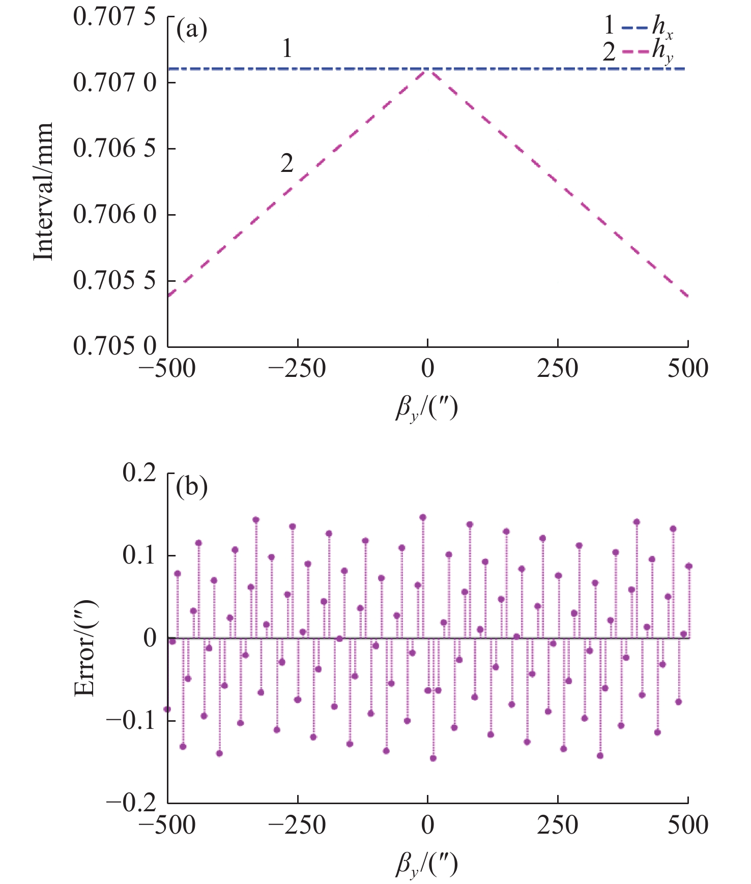
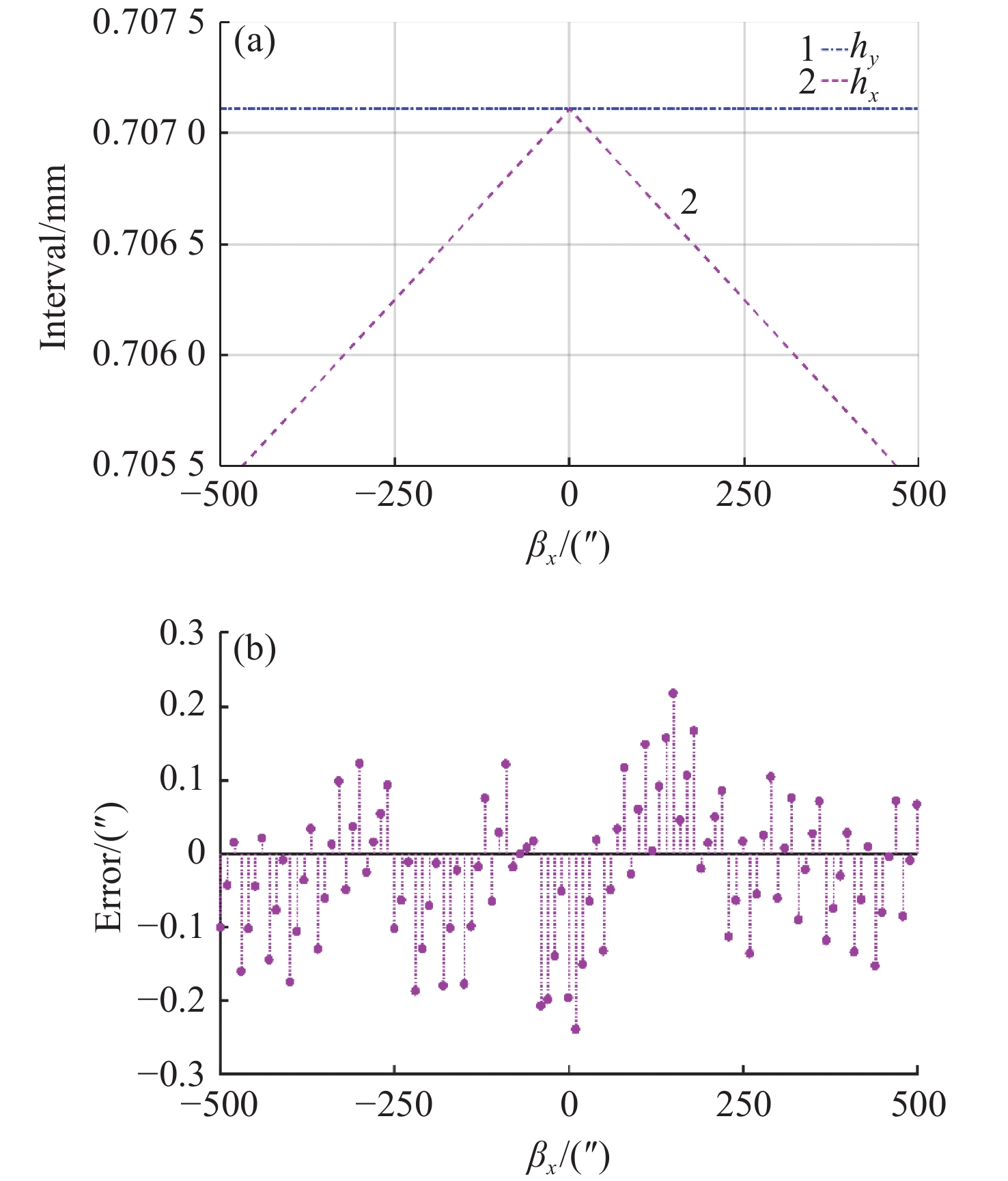
Accurate measurement of three-dimensional attitude angle is widely used in aviation, aerospace, national defense and other fields. In order to realize convenient and accurate measurement of three-dimensional attitude angle, an optical system based on a lens array is designed and an analysis model of micro-three-dimensional attitude angle measurement is established in this paper. In the system, the collimated parallel beam passes through four array lenses arranged in a pyramid shape to form regular array spots on a CCD. By analyzing the distance between the spots on the CCD image, the distance between the adjacent aperture on the lens array and the inclination angle between the lens array and CCD, the beam pitch angle and azimuth angle relative to the receiving system can be obtained. By using the angle of the lines of the array spots relative to the horizontal or vertical plane, the roll angle about the Z axis can also be obtained. Compared with the measurement results of the high-precision autocollimator, the measurement accuracy of the proposed method is verified to be RMS≤0.1″. The results show that the proposed method can realize the measurement of three-dimensional attitude angle.
Accurate measurement of three-dimensional attitude angle is widely used in aviation, aerospace, national defense and other fields. In order to realize convenient and accurate measurement of three-dimensional attitude angle, an optical system based on a lens array is designed and an analysis model of micro-three-dimensional attitude angle measurement is established in this paper. In the system, the collimated parallel beam passes through four array lenses arranged in a pyramid shape to form regular array spots on a CCD. By analyzing the distance between the spots on the CCD image, the distance between the adjacent aperture on the lens array and the inclination angle between the lens array and CCD, the beam pitch angle and azimuth angle relative to the receiving system can be obtained. By using the angle of the lines of the array spots relative to the horizontal or vertical plane, the roll angle about the Z axis can also be obtained. Compared with the measurement results of the high-precision autocollimator, the measurement accuracy of the proposed method is verified to be RMS≤0.1″. The results show that the proposed method can realize the measurement of three-dimensional attitude angle.
2022, 15(1): 65-71.
doi: 10.37188/CO.2021-0127
cstr: 32171.14.CO.2021-0127
Abstract:
Ultraviolet detection technology is widely used in various fields of production and human life. It is thus greatly significant to study wide-spectrum ultraviolet (UV) imager systems. Through deducing the theoretical formula of chromatic aberration, a scheme for correcting the chromatic aberration of the optical system of the wide-spectrum UV imager with the lenses made of single material was proposed. Combined with the performance index of a high-sensitivity dynamic UV imaging detector, the optical system of the 210~400 nm wide-spectrum UV imager with only one lens material and all lenses being spherical was designed. The optical design software CODE V was used to optimize the system and evaluate the image quality. The results demonstrate that the Modulation Transfer Function (MTF) in the entire field of view and waveband of the system is better than 0.6 at the Nyquist frequency of 40 lp/mm and RMS<7.8 μm. Thus, the system has good imaging quality. The system does not contain aspheric optical elements, which makes it not only easy to process and assemble, but also reduces its cost and lays a technical foundation for the development of a wide-spectrum UV imaging spectrometer.
Ultraviolet detection technology is widely used in various fields of production and human life. It is thus greatly significant to study wide-spectrum ultraviolet (UV) imager systems. Through deducing the theoretical formula of chromatic aberration, a scheme for correcting the chromatic aberration of the optical system of the wide-spectrum UV imager with the lenses made of single material was proposed. Combined with the performance index of a high-sensitivity dynamic UV imaging detector, the optical system of the 210~400 nm wide-spectrum UV imager with only one lens material and all lenses being spherical was designed. The optical design software CODE V was used to optimize the system and evaluate the image quality. The results demonstrate that the Modulation Transfer Function (MTF) in the entire field of view and waveband of the system is better than 0.6 at the Nyquist frequency of 40 lp/mm and RMS<7.8 μm. Thus, the system has good imaging quality. The system does not contain aspheric optical elements, which makes it not only easy to process and assemble, but also reduces its cost and lays a technical foundation for the development of a wide-spectrum UV imaging spectrometer.
2022, 15(1): 72-78.
doi: 10.37188/CO.2021-0116
cstr: 32171.14.CO.2021-0116
Abstract:
Aiming at 640×512 long-wavelength infrared cooled detectors, a cooled long-wavelength infrared optical system was designed to track and detect an infrared target. The optical system adopts the secondary imaging structure to ensure 100% cold-shielding efficiency, and adopts a combination of optical material Ge and ZnS to achieve aberration correction and achromatic design. By introducing the high-order aspheric surface, the high aberration of the system is well-corrected, thus the system structure is simplified. The optical system is composed of 6 lenses. The focal length is 400 mm, the working bands are 7.7~9.3 μm, the field of view is 1.37°×1.10°, and the F-number is 2. The design results show that at a spatial frequency of 33 lp/mm, the MTF of off-axis field of view is more than 0.24, which approaches the diffraction limit and has high imaging quality. In the operating temperature range of −35~+55 ℃, the focusing lens is used to ensure the imaging quality under high and low temperature environments, which can be used for infrared tracking detection over a wide range of temperatures.
Aiming at 640×512 long-wavelength infrared cooled detectors, a cooled long-wavelength infrared optical system was designed to track and detect an infrared target. The optical system adopts the secondary imaging structure to ensure 100% cold-shielding efficiency, and adopts a combination of optical material Ge and ZnS to achieve aberration correction and achromatic design. By introducing the high-order aspheric surface, the high aberration of the system is well-corrected, thus the system structure is simplified. The optical system is composed of 6 lenses. The focal length is 400 mm, the working bands are 7.7~9.3 μm, the field of view is 1.37°×1.10°, and the F-number is 2. The design results show that at a spatial frequency of 33 lp/mm, the MTF of off-axis field of view is more than 0.24, which approaches the diffraction limit and has high imaging quality. In the operating temperature range of −35~+55 ℃, the focusing lens is used to ensure the imaging quality under high and low temperature environments, which can be used for infrared tracking detection over a wide range of temperatures.
2022, 15(1): 79-89.
doi: 10.37188/CO.EN.2021-0009
cstr: 32171.14.CO.EN.2021-0009
Abstract:
Dual-wavelength retinal imaging adaptive optics systems are suitable for high contrast and resolution imaging of retinal capillaries. The compensation of the Longitudinal Chromatic Aberrations (LCAs) in dual-wavelength adaptive systems is researched. The LCA is measured, the measured wavefronts are analyzed, and the arbitrary wavefront LCA compensation method is given. An adaptive correction experiment is carried out and the experimental results indicate that the root mean square error of the wavefront is reduced to 0.16 λ (λ=589 nm) and the retinal capillary resolution is improved to 6 μm. This work may be used for the clinical applications of retinal imaging.
Dual-wavelength retinal imaging adaptive optics systems are suitable for high contrast and resolution imaging of retinal capillaries. The compensation of the Longitudinal Chromatic Aberrations (LCAs) in dual-wavelength adaptive systems is researched. The LCA is measured, the measured wavefronts are analyzed, and the arbitrary wavefront LCA compensation method is given. An adaptive correction experiment is carried out and the experimental results indicate that the root mean square error of the wavefront is reduced to 0.16 λ (λ=589 nm) and the retinal capillary resolution is improved to 6 μm. This work may be used for the clinical applications of retinal imaging.
2022, 15(1): 90-100.
doi: 10.37188/CO.EN.2021-0004
cstr: 32171.14.CO.EN.2021-0004
Abstract:
As a testing method for large convex aspheric surface, the single optical wedge compensation test has good applicability, robustness and flexibility. However, various errors are coupled with one another during the test process and these errors are difficult to decouple. This affects the accuracy and reliability of the tests. To address this, a method is developed to calibrate the system error of single optical wedge test paths using a Computer Generation Hologram (CGH). We first analysed the source of system error in the optical path of a single optical wedge compensation test as well as the feasibility of using CGH for the calibration of an optical wedge compensation test system. In combination with engineering examples, a CGH was designed for optical wedge compensators with a diameter of 150 mm. Based on the analysis results, the calibration accuracy of the CGH was 1.98 nm RMS, and after calibration the test accuracy of single wedge compensation was 3.43 nm RMS, thereby meeting the high-precision test requirements of large convex aspheric mirrors. This shows that CGH can accurately calibrate the pose of single optical wedge compensators and the test system errors of optical paths. Thus we address the problems affecting error decoupling in test optical paths, and improve the accuracy and reliability of the single optical wedge compensation method. Meanwhile, using CGH calibration, the system errors of the test optical paths, Tap#2 and Tap#3, were 0.023 and 0.011 λ RMS, respectively.
As a testing method for large convex aspheric surface, the single optical wedge compensation test has good applicability, robustness and flexibility. However, various errors are coupled with one another during the test process and these errors are difficult to decouple. This affects the accuracy and reliability of the tests. To address this, a method is developed to calibrate the system error of single optical wedge test paths using a Computer Generation Hologram (CGH). We first analysed the source of system error in the optical path of a single optical wedge compensation test as well as the feasibility of using CGH for the calibration of an optical wedge compensation test system. In combination with engineering examples, a CGH was designed for optical wedge compensators with a diameter of 150 mm. Based on the analysis results, the calibration accuracy of the CGH was 1.98 nm RMS, and after calibration the test accuracy of single wedge compensation was 3.43 nm RMS, thereby meeting the high-precision test requirements of large convex aspheric mirrors. This shows that CGH can accurately calibrate the pose of single optical wedge compensators and the test system errors of optical paths. Thus we address the problems affecting error decoupling in test optical paths, and improve the accuracy and reliability of the single optical wedge compensation method. Meanwhile, using CGH calibration, the system errors of the test optical paths, Tap#2 and Tap#3, were 0.023 and 0.011 λ RMS, respectively.
2022, 15(1): 101-110.
doi: 10.37188/CO.EN.2021-0006
cstr: 32171.14.CO.EN.2021-0006
Abstract:
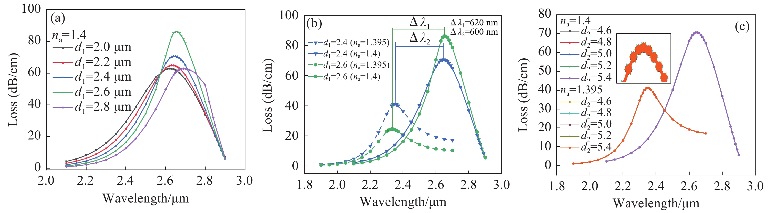
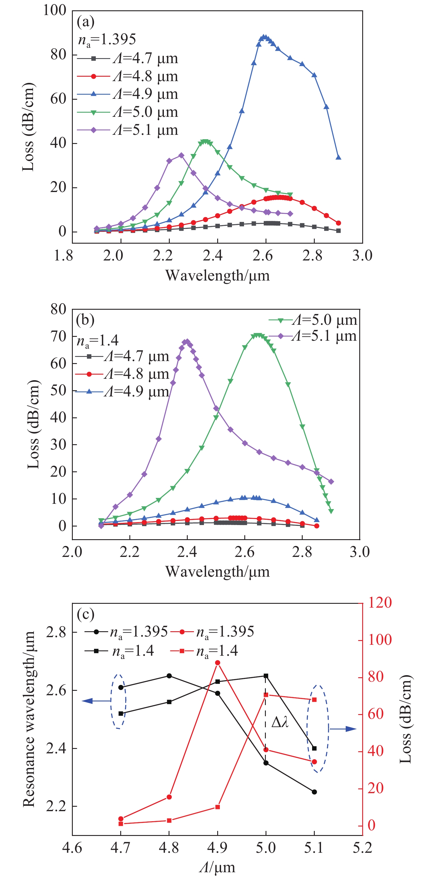
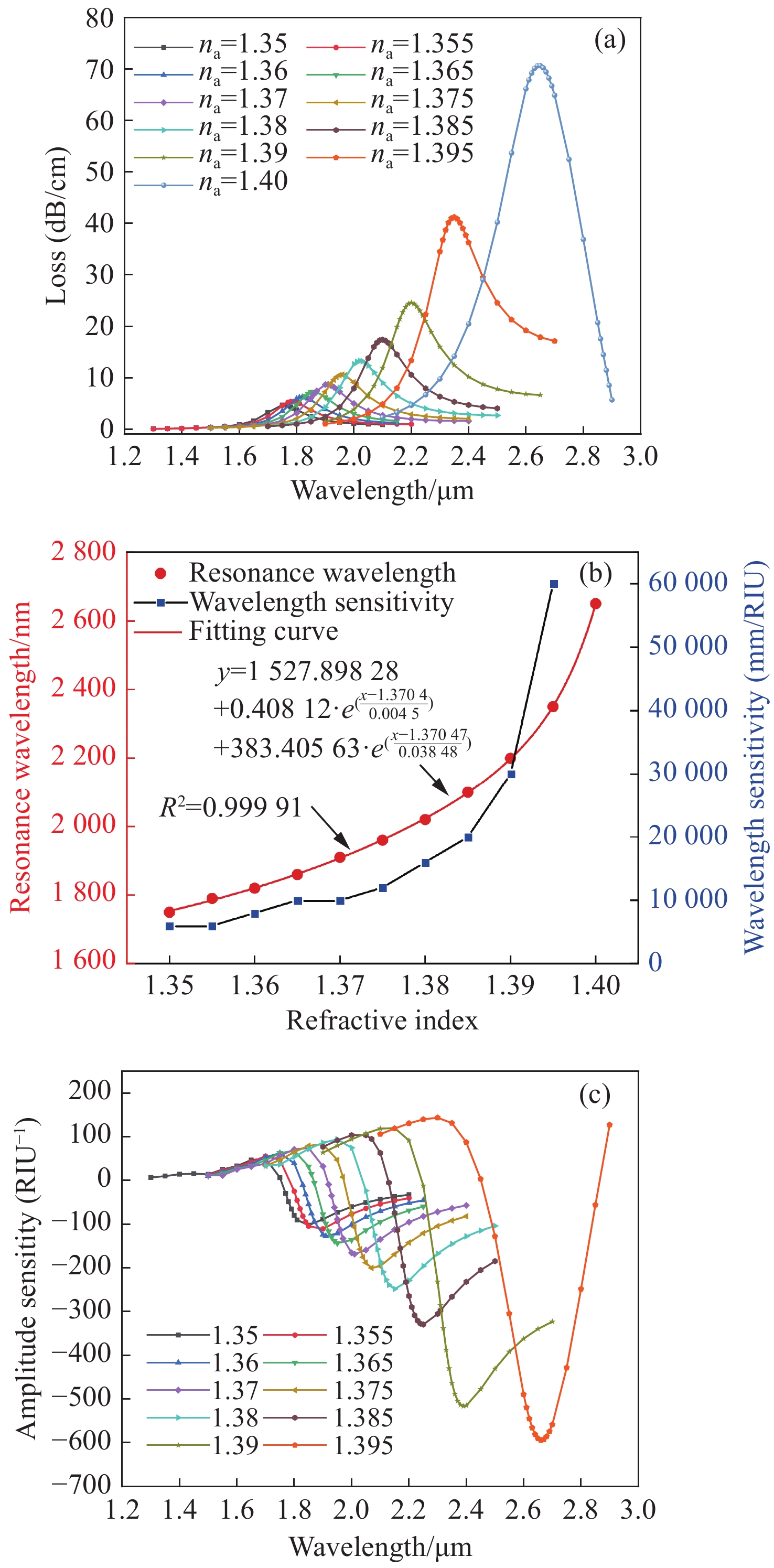
A high-sensitivity Surface Plasmon Resonance (SPR) sensor comprising of an eccentric core ten-fold Photonic Quasi-crystal Fiber (PQF) with a D-shaped structure and partially coated with Indium Tin Oxide (ITO) is designed and numerically analyzed. The eccentric core D-shaped structure makes the analysis of liquids more convenient and also strengthens the coupling between the core mode and Surface Plasmon Polariton (SPP) mode to improve the sensing sensitivity. The characteristics of the sensor are investigated by the Finite Element Method (FEM). The wavelength sensitivity increases with increasing Refractive Indexes (RIs) and the maximum wavelength sensitivity and resolution are 60000 nm/RIU and 1.67×10−6 RIU, respectively. The sensor delivers excellent performance and has large potential applications in the measurement of liquid refractive indexes.
A high-sensitivity Surface Plasmon Resonance (SPR) sensor comprising of an eccentric core ten-fold Photonic Quasi-crystal Fiber (PQF) with a D-shaped structure and partially coated with Indium Tin Oxide (ITO) is designed and numerically analyzed. The eccentric core D-shaped structure makes the analysis of liquids more convenient and also strengthens the coupling between the core mode and Surface Plasmon Polariton (SPP) mode to improve the sensing sensitivity. The characteristics of the sensor are investigated by the Finite Element Method (FEM). The wavelength sensitivity increases with increasing Refractive Indexes (RIs) and the maximum wavelength sensitivity and resolution are 60000 nm/RIU and 1.67×10−6 RIU, respectively. The sensor delivers excellent performance and has large potential applications in the measurement of liquid refractive indexes.
2022, 15(1): 111-118.
doi: 10.37188/CO.EN.2021-0001
cstr: 32171.14.CO.EN.2021-0001
Abstract:
It is very important to study the propagation characteristics of light beams in ocean turbulence. In order to get closer to the actual situation, we build a device which can control both the salinity and the intensity of underwater turbulence to study the propagation characteristics of vortex beams and a Gaussian beam in underwater turbulence. The results show that compared with the underwater turbulence without sea salt, the light spot will be more diffuse and the light intensity will be weaker in the underwater turbulence with sea salt. When the topological charge m is 2, the scintillation index of the vortex beam in the underwater turbulence with salinity of 4.35‰ is larger than that in the underwater turbulence with salinity of 2.42‰, no matter it is strong turbulence or weak turbulence. When the vortex beam with m=2 propagates to the same distance, the scintillation index increases with the increment of the salinity and the intensity of underwater turbulence. Under different salinity conditions, the radial scintillation index of the vortex beam with m=2 decreases firstly and then increases with the increase of the radial distance. In addition, we set up another experimental device which can transmit a longer distance. The scintillation index of the vortex beam with m=2 is much higher than that of the Gaussian beam in the underwater turbulence within 20 m propagation distance, and the scintillation indices of both the vortex beam with m=2 and the Gaussian beam increase with the increase of the propagation distance.
It is very important to study the propagation characteristics of light beams in ocean turbulence. In order to get closer to the actual situation, we build a device which can control both the salinity and the intensity of underwater turbulence to study the propagation characteristics of vortex beams and a Gaussian beam in underwater turbulence. The results show that compared with the underwater turbulence without sea salt, the light spot will be more diffuse and the light intensity will be weaker in the underwater turbulence with sea salt. When the topological charge m is 2, the scintillation index of the vortex beam in the underwater turbulence with salinity of 4.35‰ is larger than that in the underwater turbulence with salinity of 2.42‰, no matter it is strong turbulence or weak turbulence. When the vortex beam with m=2 propagates to the same distance, the scintillation index increases with the increment of the salinity and the intensity of underwater turbulence. Under different salinity conditions, the radial scintillation index of the vortex beam with m=2 decreases firstly and then increases with the increase of the radial distance. In addition, we set up another experimental device which can transmit a longer distance. The scintillation index of the vortex beam with m=2 is much higher than that of the Gaussian beam in the underwater turbulence within 20 m propagation distance, and the scintillation indices of both the vortex beam with m=2 and the Gaussian beam increase with the increase of the propagation distance.
2022, 15(1): 119-131.
doi: 10.37188/CO.2021-0092
cstr: 32171.14.CO.2021-0092
Abstract:
Owing to the strong penetrating ability in the atmosphere, 532 nm-wavelength green laser has wide applications including free-space optical communications and laser three-dimensional mapping. A spectral filter, with a half-power bandwidth of less than 100 pm, is an important optical element to suppress the interference of background light. Therefore, an ultra-narrow band-pass filter based on optical interference film is designed and fabricated in this paper. The high and low refractive index film are made of tantalum pentoxide (Ta2O5) and silicon dioxide (SiO2), respectively. The designed optical thin films are deposited on a fused quartz substrate by double-ion-beam sputtering deposition method. The transmission spectra of the filters are measured by a tunable laser and a power meter. The half-power bandwidths of the filters are (60±2) pm, and the transmittance reaches 62.6%.
Owing to the strong penetrating ability in the atmosphere, 532 nm-wavelength green laser has wide applications including free-space optical communications and laser three-dimensional mapping. A spectral filter, with a half-power bandwidth of less than 100 pm, is an important optical element to suppress the interference of background light. Therefore, an ultra-narrow band-pass filter based on optical interference film is designed and fabricated in this paper. The high and low refractive index film are made of tantalum pentoxide (Ta2O5) and silicon dioxide (SiO2), respectively. The designed optical thin films are deposited on a fused quartz substrate by double-ion-beam sputtering deposition method. The transmission spectra of the filters are measured by a tunable laser and a power meter. The half-power bandwidths of the filters are (60±2) pm, and the transmittance reaches 62.6%.
2022, 15(1): 132-143.
doi: 10.37188/CO.2021-0058
cstr: 32171.14.CO.2021-0058
Abstract:
Helmholtz-Kohlrausch effect (H-K effect) describes the influence of color purity on the perceived brightness of a colored object. Quantum dots (QD) based backlights can enhance the color quality of Liquid Crystal Display (LCD) with improved perceived brightness due to the well-known H-K effect. However, the H-K effect of QD embedded TVs (also known as QLED TV) has not been fully demonstrated. In this paper, we investigated the H-K effect of QLED TVs through a comparative study between QLED backlights and YAG-LED backlights. By comparing the viewers’ experimental results with the Kaiser and Nayatani model, we demonstrate that a QLED TV shows significant H-K effect. To achieve the same perceived brightness with YAG-LED TV, the physical brightness of QLED TV was greatly decreased to 75% for pure red, 86% for pure green, and 74%-88% for bright colorful images. Moreover, QLED TVs are strongly preferred over YAG-LED TVs even when both QLED TV and YAG-LED TV show the same perceived brightness. The results imply the bright future of QLED TVs toward healthly displays.
Helmholtz-Kohlrausch effect (H-K effect) describes the influence of color purity on the perceived brightness of a colored object. Quantum dots (QD) based backlights can enhance the color quality of Liquid Crystal Display (LCD) with improved perceived brightness due to the well-known H-K effect. However, the H-K effect of QD embedded TVs (also known as QLED TV) has not been fully demonstrated. In this paper, we investigated the H-K effect of QLED TVs through a comparative study between QLED backlights and YAG-LED backlights. By comparing the viewers’ experimental results with the Kaiser and Nayatani model, we demonstrate that a QLED TV shows significant H-K effect. To achieve the same perceived brightness with YAG-LED TV, the physical brightness of QLED TV was greatly decreased to 75% for pure red, 86% for pure green, and 74%-88% for bright colorful images. Moreover, QLED TVs are strongly preferred over YAG-LED TVs even when both QLED TV and YAG-LED TV show the same perceived brightness. The results imply the bright future of QLED TVs toward healthly displays.
2022, 15(1): 144-160.
doi: 10.37188/CO.2021-0084
cstr: 32171.14.CO.2021-0084
Abstract:
The technology of enhancing fluorescence emission can increase the sensitivity of fluorescence detection and the brightness of Light Emitting Diodes (LEDs), and is of great significance in improving the performance of light-emitting devices. Since the metal structure has a good effect in enhancing the local field and fluorescence emission, and the flexible dielectric material has flexible bendability characteristics, on the basis of above, we propose a flexible structure composed of Metal-Dielectric-Metal (MDM) to enhance the fluorescence emission. The influence of the structure on the directional emission enhancement of quantum dots is systematically studied by using the finite difference time domain method. Theoretical calculations show that the local undulations and arcs of the flexible MDM structure can promote fluorescence enhancement and increase the quantum efficiency of the quantum dots located at the center of the structure by about 7 times. They can alao change the refractive index and thickness of the dielectric to achieve the tunability of the target wavelength. At the same time, the experimental results shows that the flexible MDM structure does have a positive effect on the fluorescence enhancement. This discovery is valuable for future display technologies and flexible light-emitting devices. It is of certain guiding significance for the development and application of high-efficiency flexible devices.
The technology of enhancing fluorescence emission can increase the sensitivity of fluorescence detection and the brightness of Light Emitting Diodes (LEDs), and is of great significance in improving the performance of light-emitting devices. Since the metal structure has a good effect in enhancing the local field and fluorescence emission, and the flexible dielectric material has flexible bendability characteristics, on the basis of above, we propose a flexible structure composed of Metal-Dielectric-Metal (MDM) to enhance the fluorescence emission. The influence of the structure on the directional emission enhancement of quantum dots is systematically studied by using the finite difference time domain method. Theoretical calculations show that the local undulations and arcs of the flexible MDM structure can promote fluorescence enhancement and increase the quantum efficiency of the quantum dots located at the center of the structure by about 7 times. They can alao change the refractive index and thickness of the dielectric to achieve the tunability of the target wavelength. At the same time, the experimental results shows that the flexible MDM structure does have a positive effect on the fluorescence enhancement. This discovery is valuable for future display technologies and flexible light-emitting devices. It is of certain guiding significance for the development and application of high-efficiency flexible devices.
Abstract
FullText HTML
PDF 3910KB