Volume 18 Issue 3
May  2025
Turn off MathJax
Article Contents
TANG Ning-biao, YANG Zhong-guang, CAI Zhi-ming, FANG Zi-ruo, LIU Ye, HU Hai-ying, LI Hua-wang. Identification of test mass stiffness based on dual sensitive axis decomposition[J]. Chinese Optics, 2025, 18(3): 631-640. doi: 10.37188/CO.2024-0156
Citation: TANG Ning-biao, YANG Zhong-guang, CAI Zhi-ming, FANG Zi-ruo, LIU Ye, HU Hai-ying, LI Hua-wang. Identification of test mass stiffness based on dual sensitive axis decomposition[J]. Chinese Optics, 2025, 18(3): 631-640. doi: 10.37188/CO.2024-0156

Identification of test mass stiffness based on dual sensitive axis decomposition

cstr: 32171.14.CO.2024-0156
Funds:  Supported by the National Key Research and Development Program (No. 2020YFC2200901)
More Information
  • Corresponding author: yangzg@microsate.com
  • Received Date: 02 Sep 2024
  • Rev Recd Date: 27 Sep 2024
  • Accepted Date: 08 Nov 2024
  • Available Online: 22 Jan 2025
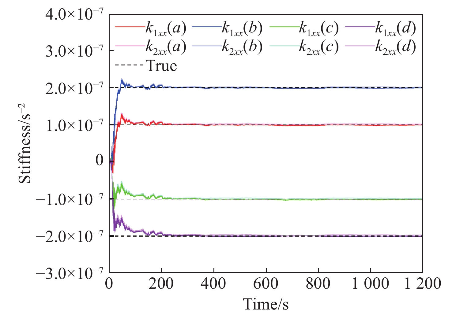
  • The coupling noise between test mass stiffness and displacement, as a significant component of the residual acceleration noise, critically impacts the performance of space gravitational wave detection, making stiffness identification essential for validating and optimizing control strategies and meeting the noise suppression requirements. For non-coaxial test mass configurations, this paper proposes a novel identification method based on dual sensitive axis decomposition. First, a relative dynamic model between the test mass and the spacecraft is constructed, and the model parameters are decomposed along the dual sensitive axis to isolate the influence of spacecraft acceleration disturbances and predominant angular acceleration disturbances on the on-orbit identification. Second, utilizing on-board laser interferometers, inertial sensors, and associated control loops, an on-orbit identification scheme is designed and a stiffness identification method using recursive least squares is proposed. Finally, numerical simulations are performed to verify the performance of the method. The experimental results demonstrate that the proposed stiffness identification method can effectively identify the stiffness of the test mass on the sensitive axis. Under the given simulation conditions, the mean absolute error is less than 5×10−9 s−2, the root mean square error is less than 1.5×10−8 s−2, and the maximum steady-state error is less than 2×10−9 s−2. These findings suggest that the method can be applied to future gravitational wave science missions.

     

  • loading
  • [1]
    GIAMMARCHI M, RICCI F. Gravitational waves, event horizons and black hole observation: a new frontier in fundamental physics[J]. Symmetry, 2022, 14(11): 2276.
    [2]
    MASTROGIOVANNI S, KARATHANASIS C, GAIR J, et al. Cosmology with gravitational waves: a review[J]. Annalen der Physik, 2024, 536(2): 2200180. doi: 10.1002/andp.202200180
    [3]
    吴岳良, 胡文瑞, 王建宇, 等. 空间引力波探测综述与拟解决的科学问题[J]. 空间科学学报,2023,43(4):589-599.

    WU Y L, HU W R, WANG J Y, et al. Review and scientific objectives of spaceborne gravitational wave detection missions[J]. Chinese Journal of Space Science, 2023, 43(4): 589-599. (in Chinese).
    [4]
    BAYLE J B, BONGA B, CAPRINI C, et al. Overview and progress on the laser interferometer space antenna mission[J]. Nature Astronomy, 2022, 6(12): 1334-1338.
    [5]
    LUO Z R, WANG Y, WU Y L, et al. The Taiji program: a concise overview[J]. Progress of Theoretical and Experimental Physics, 2021, 2021(5): 05A108. doi: 10.1093/ptep/ptaa083
    [6]
    MEI J W, BAI Y ZH, BAO J H, et al. The TianQin project: current progress on science and technology[J]. Progress of Theoretical and Experimental Physics, 2021, 2021(5): 05A107. doi: 10.1093/ptep/ptaa114
    [7]
    罗子人, 白姗, 边星, 等. 空间金宝搏188软件怎么用 干涉引力波探测[J]. 力学进展,2013,43(4):415-447. doi: 10.6052/1000-0992-13-044

    LUO Z R, BAI SH, BIAN X, et al. Space laser interferometry gravitational wave detection[J]. Advances in Mechanics, 2013, 43(4): 415-447. (in Chinese). doi: 10.6052/1000-0992-13-044
    [8]
    范一迪, 王鹏程, 卢苇, 等. 双检验质量无拖曳卫星鲁棒控制[J]. 深空探测学报(中英文),2023,10(3):310-321.

    FAN Y D, WANG P CH, LU W, et al. Robust controller design for drag-free satellites with two test masses[J]. Journal of Deep Space Exploration, 2023, 10(3): 310-321. (in Chinese).
    [9]
    苟兴宇, 王丽娇, 许现民, 等. 位移无拖曳控制的动力学协调条件研究[J]. 宇航学报,2024,45(4):540-549. doi: 10.3873/j.issn.1000-1328.2024.04.006

    GOU X Y, WANG L J, XU X M, et al. Study on dynamic coordination condition of displacement drag-free control[J]. Journal of Astronautics, 2024, 45(4): 540-549. (in Chinese). doi: 10.3873/j.issn.1000-1328.2024.04.006
    [10]
    YUE CH L, JIAO B H, DANG ZH H, et al. A review on DFACS (II): modeling and analysis of disturbances and noises[J]. Chinese Journal of Aeronautics, 2024, 37(5): 120-147. doi: 10.1016/j.cja.2024.02.013
    [11]
    HAO L W, ZHANG Y C. Design and analysis of the integrated drag-free and attitude control system for TianQin mission: a preliminary result[J]. Aerospace, 2024, 11(6): 416.
    [12]
    WANG J H, GUO X, MA ZH J, et al. A low fuel-consumption drag-free tracking approach for space-based gravitational wave detection satellite[J]. IEEE Transactions on Aerospace and Electronic Systems, 2024, 60(2): 1545-1555. doi: 10.1109/TAES.2023.3336827
    [13]
    VIDANO S, NOVARA C, COLANGELO L, et al. The LISA DFACS: a nonlinear model for the spacecraft dynamics[J]. Aerospace Science and Technology, 2020, 107: 106313.
    [14]
    ARMANO M, AUDLEY H, BAIRD J, et al. Beyond the required LISA free-fall performance: new LISA pathfinder results down to 20 μHz[J]. Physical Review Letters, 2018, 120(6): 061101. doi: 10.1103/PhysRevLett.120.061101
    [15]
    ZIEGLER T, FICHTER W. Test mass stiffness estimation for the LISA Pathfinder drag-free system[C]. Proceedings of AIAA Guidance, Navigation and Control Conference and Exhibit, AIAA, 2007: 6669.
    [16]
    NOFRARIAS M, RÖVER C, HEWITSON M, et al. Bayesian parameter estimation in the second LISA Pathfinder mock data challenge[J]. Physical Review D, 2010, 82(12): 122002. doi: 10.1103/PhysRevD.82.122002
    [17]
    CONGEDO G, FERRAIOLI L, HUELLER M, et al. Time domain maximum likelihood parameter estimation in LISA Pathfinder data analysis[J]. Physical Review D, 2012, 85(12): 122004. doi: 10.1103/PhysRevD.85.122004
    [18]
    ARMANO M, AUDLEY H, BAIRD J, et al. Calibrating the system dynamics of LISA Pathfinder[J]. Physical Review D, 2018, 97(12): 122002. doi: 10.1103/PhysRevD.97.122002
    [19]
    WEBER W J, BORTOLUZZI D, CAVALLERI A, et al. Position sensors for flight testing of LISA drag-free control[J]. Gravitational-Wave Detection, 2003, 4856: 31-42. doi: 10.1117/12.458564
    [20]
    ARMANO M, AUDLEY H, AUGER G, et al. Constraints on LISA Pathfinder’s self-gravity: design requirements, estimates and testing procedures[J]. Classical and Quantum gravity, 2016, 33(23): 235015. doi: 10.1088/0264-9381/33/23/235015
    [21]
    JIAO B H, LIU Q F, DANG ZH H, et al. A review on DFACS (I): system design and dynamics modeling[J]. Chinese Journal of Aeronautics, 2024, 37(5): 92-119. doi: 10.1016/j.cja.2024.01.031
    [22]
    王娟, 齐克奇, 王少鑫, 等. 面向空间引力波探测的金宝搏188软件怎么用 干涉技术研究进展及展望[J]. 中国科学: 物理学 力学 天文学,2024,54(7):109-127.

    WANG J, QI K Q, WANG SH X, et al. Advance and prospect in the study of laser interferometry technology for space gravitational wave detection[J]. Scientia Sinica (Physica, Mechanica & Astronomica), 2024, 54(7): 109-127. (in Chinese)
    [23]
    王少鑫, 郭纬川, 赵平安, 等. 空间引力波探测惯性传感器及其关键技术[J]. 中国科学: 物理学 力学 天文学,2024,54(7):91-108.

    WANG SH X, GUO W CH, ZHAO P A, et al. Inertial sensor for space gravitational wave detection and its key technologies[J]. Scientia Sinica (Physica, Mechanica & Astronomica), 2024, 54(7): 91-108. (in Chinese)
  • 加载中

Catalog

    通讯作者: 陈斌, bchen63@163.com
    • 1. 

      沈阳化工大学材料科学与工程学院 沈阳 110142

    1. 本站搜索
    2. 百度学术搜索
    3. 万方数据库搜索
    4. CNKI搜索

    Figures(10)  / Tables(3)

    Article views(361) PDF downloads(58) Cited by()
    Proportional views
    Related

    /

    DownLoad:  Full-Size Img  PowerPoint
    Return
    Return
    Baidu
    map