2025 Vol. 18, No. 3
The optical frequency standard based on two-photon transition is expected to become a practical miniaturized optical frequency standard due to its significant advantages such as high stability, good reproducibility and easy miniaturization. In this paper, the basic principle of two-photon transition is briefly described, and the research status and progress of rubidium atomic optical frequency standards based on two-photon transition at home and abroad are introduced. Finally, it is concluded that the future development trends of rubidium atomic optical frequency standards based on two-photon transition are system miniaturization, performance improvement, integrated application and engineering.
Laser communication utilizes light waves as the transmission medium. It offers many advantages, including high data rates, expansive bandwidth, compactness, robust interference resistance, and superior confidentiality. It has the critical capability to enable high-speed transmission and secure operation of space information networks. Prominent research institutions have committed to studying a series of challenges that need to be solved in the process of networking laser communication technology, including point-to-multipoint simultaneous laser communication, all-optical switching and forwarding of multi-channel signals within nodes, node dynamic random access, and network topology design. Numerous demonstration and verification experiments have been conducted, with a subset of these research results finding practical applications. Based on the analysis and discussion of space laser communication networking technology, this paper summarizes the development of laser communication networking technology both domestically and internationally, focusing on the application of laser communication networking technology in the fields of satellite constellations, satellite relays, and aviation networks. Furthermore, it presents a review of pertinent domestic research methodologies, experimental validations, and technical solutions. Finally, it predicts the development trend of laser communication networking technology and applications.
This paper proposes a fiber-optic Fabry-Perot pressure sensor based on microelectromechanical systems (MEMS) technology for the measurement of transient pressures, including shock waves. The sensitive unit is composed of etched silicon wafers and BF33 glass wafers by anodic bonding, and the adhesive-free integration of the optical fiber and the sensitive unit is realized by laser fusion bonding technology. A signal demodulation experiment platform was constructed to comprehensively evaluate the pressure sensing characteristics of the sensors in static and dynamic pressure environments. The experimental findings demonstrate that the sensor exhibits a satisfactory linear response within the pressure range of 0−10 MPa, with a full-scale non-linear error of 0.41% and a hysteresis of 0.37%. Furthermore, the sensor demonstrated a rise time of 8.5 μs during dynamic pressure measurements. The sensor has the advantages of anti-electromagnetic interference, high consistency, low cost, and has a theoretical resonant frequency of 1.39 MHz, demonstrating the prospect of its wide application for dynamic pressure measurement in harsh environments such as explosion fields.
In order to simplify the support method of the mirror of a ground-based telescope and ensure the imaging quality and accuracy of the telescope, the optimization design of a uniaxial supported SiC mirror with 460 mm aperture was studied. First, a uniaxial support scheme for materials with similar linear expansion coefficients and a fan-shaped mirror back structure were determined. Advanced SiC sintering technology was used to prepare anisotropic structures according to the support structure and the material characteristics. Combined with optimization design theory, the mirror was designed to be lightweight while meeting the required accuracy. The optimized mirror weighs only 4.82 kg, and the RMS of the horizontal simulation analysis of the mirror is λ/51.4. After actual engineering verification, the accuracy detection results of the horizontal state under the mirror support are found to be better than λ/42. The lightweight effect is significant and meets the requirements of practical use. This research provides a theoretical foundation and technical reserve for engineering projects.
To address issues related to the accurate control of infrared band film thickness and precise wavelength positioning, we employ the LabVIEW programming language to develop a dynamic monitoring and compensation technology for optical film thickness, based on an optical film thickness monitoring system. Based on the principles of light interference and optical thin film design, a mathematical model is constructed using the photoelectric polarimetric method. We focus on resolving stopping errors and filtering noise at extremum points, thereby accurately restoring the real-time monitoring data of light intensity. The system achieves real-time and synchronous fitting of the film’s transmittance curve, calculates and fits the stopping point corresponding to the extremum of the film thickness. To validate the reliability and stability of the optical control system, a
In this paper, we investigate the transmission loss characteristics of gallium nitride (GaN) planar optical waveguides using a finite element simulation model based on the beam propagation method (BPM). To address the high transmission loss in conventional GaN waveguides, we propose process optimization solutions. By constructing a comprehensive transmission loss model, we systematically analyze the impact of waveguide geometric parameters on the transmission characteristics, with a particular focus on investigating the improvement effects of two optimization processes: top etching and back thinning. The experiment results indicate that both processes significantly reduce the waveguide transmission loss, with the top etching process reducing loss from 2.29 dB/mm to 0.19 dB/mm and the back thinning process reducing it to 0.24 dB/mm. Additionally, we analyze the impact of manufacturing defects, such as sidewall angles and surface roughness, on transmission loss. Through parameter optimization, we identify the key dimensions necessary for single mode light transmission. This study provides a theoretical basis and process guidance for the development of low-loss GaN waveguides.
This paper proposes a novel metric that integrates confidence scores of correspondences, obtained through a Triangle Voting (TV) method, with correspondence-based metrics. The proposed metric assumes that a good hypothesis aligns correspondences with high-confidence scores very closely, thereby yielding higher score contributions. We further introduce two enhancement to improve the effectiveness of inlier-based metrics with confidence scores: (1) ignoring the distance of inliers with minor transformation errors, and (2) suppressing the erroneous high-score contributions caused by numerous low-confidence correspondences. Comparative experiments conducted on three datasets demonstrate the superiority of the proposed metric over all previously known correspondence-based metrics. The proposed metric achieves registration performance enhancements ranging from 1% to 16.95% and time savings ranging from 1.67% to 10.79% under default parameter settings. Moreover, it strikes a better balance among time consumption, robustness, and registration performance. Specifically, the improved inlier count metric exhibits highly robust and accurate performance. In conclusion, the proposed metric can accurately identify the more correct hypothesis during the hypothesis evaluation stage of RANSAC, thereby enabling precise point cloud registration.
Owing to the low p-type doping efficiency in the hole injection layers (HILs) of GaN-based ultraviolet (UV) vertical-cavity surface-emitting laser (VCSEL), effective hole injection in multi-quantum wells (MQW) is not achieved, significantly limiting the photoelectric performance of UV VCSELs. We developed a slope-shaped HIL and an EBL structure in AlGaN-based UV VCSELs. In this study, by improving hole injection efficiency, the hole concentration in the HIL is increased, and the hole barrier at the electron barrier layer (EBL)/HIL interface is decreased. This minimises the hindering effect of hole injection. A mathematical model of this structure was established using a commercial software, photonic integrated circuit simulator in three-dimension (PICS3D). We conducted simulations and theoretical analyses of the band structure and carrier concentration. Introducing polarisation doping through the Al composition gradient in the HIL enhanced the hole concentration, thereby improving the hole injection efficiency. Furthermore, modifying the EBL eliminated the abrupt potential barrier for holes at the HIL/EBL interface, smoothing the valence band. This improved the stimulated radiative recombination rate in the MQW, increasing the laser power. Therefore, the sloped p-type layer can enhance the optoelectronic performance of UV VCSELs.
In this paper, a conventional soliton (CS) mode-locked erbium-doped fiber (EDF) laser was developed using MAX phase material (MAX-PM) Nb4AlC3 as a saturable absorber (SA). First, the liquid phase exfoliation (LPE) method was utilized to prepare Nb4AlC3 nanosheets, and then a piece of tapered fiber was adopted to fabricate Nb4AlC3-SA. It was found that the saturation intensity and modulation depth of the Nb4AlC3-SA are 2.02 MW/cm2 and 1.88 %. Based on the Nb4AlC3-SA, a conventional soliton (CS) mode-locked EDF laser was achieved. The central wavelength, pulse duration, and pulse repetition rate were found to be
During the propagation of high-power lasers within internal channels, the laser beam heats the propagation medium, causing the thermal blooming effect that degrades the beam quality at the output. The intricate configuration of the optical path within the internal channel necessitates complex and time-consuming efforts to assess the impact of thermal blooming effect on the optical path. To meet the engineering need for rapid evaluation of thermal blooming effect in optical paths, this study proposed a rapid simulation method for the thermal blooming effect in internal optical paths based on the finite element method. This method discretized the fluid region into infinitesimal elements and employed finite element method for flow field analysis. A simplified analytical model of the flow field region in complex internal channels was established, and regions with similar thermal blooming effect were divided within this model. Based on the calculated optical path differences within these regions, numerical simulations of phase distortion caused by thermal blooming were conducted. The calculated result were compared with those obtained using the existing methods. The findings reveal that for complex optical paths, the discrepancy between the two approaches is less than 3.6%, with similar phase distortion patterns observed. For L-type units, this method and the existing methods identify the same primary factors influencing aberrations and exhibit consistent trends in their variation. This method was used to analyze the impact of thermal blooming effect in a straight channel under different gravity directions. The results show that phase distortion varies with changes in the direction of gravity, and the magnitude of the phase difference is strongly correlated with the component of gravity perpendicular to the optical axis. Compared to the existing methods, this approach offers greater flexibility, obviates the need for complex custom analysis programming. The analytical results of this method enable a rapid assessment of the thermal blooming effect in optical paths within the internal channel. This is especially useful during the engineering design. These results also provide crucial references for developing strategies to suppress thermal blooming effect.
To address the high sensitivity measurement requirement of the test mass’s displacement in spaceborne gravitational wave detection, a ground-based simulation system using laser heterodyne interferometry has been established, initiating research into picometer-level displacement measurement techniques. Initially, the translational sensitivity of the designed laser heterodyne interferometer is tested under vacuum conditions. Subsequently, based on the sensitivity outcomes, noise source tracing research for the laser heterodyne interferometric system is conducted, including the development of a system noise model, analysis of various noise source mechanisms, and investigation of strategies to reduce the predominant noise sources. Ultimately, upon completion of the noise source tracing, the interferometric system is optimized, with tests indicating a displacement measurement sensitivity better than 1 pm/Hz1/2 in the range of 30 mHz to 1 Hz. This paper is expected to provide a reliable ground-based test platform for noise source tracing, facilitating the advancement of picometer-level laser interferometry technologies for spaceborne gravitational wave detection.
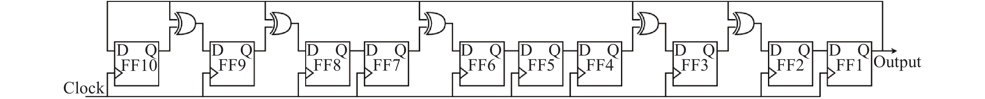
The Taiji program aims to achieve inter-satellite laser communication and absolute distance measurement using spread spectrum phase modulation technology based on the interferometric laser link. The selection of pseudo-random codes is the initial step in the design and implementation of the ranging and communication system, which requires comprehensive research and comparison of various aspects, including the implementation principles, correlation properties, and ranging error functions associated with different pseudo-random codes. This paper first elucidates the generation principles of m-sequences, Gold sequences, and Weil sequences. Pseudo-random sequences are generated using different hardware structures such as Fibonacci, Galois, and register addressing. The hardware circuits for Gold and Weil sequence generation are implemented on an FPGA development platform. The GPS C/A code is used as the Gold sequence, which facilitates its comparison and analysis with the Weil sequence. An analysis of the resource consumption and complexity of different hardware implementation methods is performed. Then, correlation values and root mean square errors are calculated to compare the pseudorandom noise performance of the Gold and Weil sequences. Finally, an error function for ranging is constructed based on the ranging principles and the intersymbol interference phenomenon after laser interference. This function is then compared with the ideal error function to evaluate the advantages and disadvantages of using different pseudorandom codes for ranging. The analysis reveals that Weil sequences demonstrate superior performance, exhibiting a sidelobe range of −60.27 dB to −24.01 dB, an autocorrelation rms of 0.303, and a cross-correlation rms of 0.307, outperforming Gold sequences in all metrics. Additionally, Weil sequences require only 30% of the hardware resources of Gold sequences and have a smaller error function deviation. Weil sequences are better suited to the laser ranging and data communication requirements of the Taiji program.
The traditional Pound-Drever-Hall (PDH) technique utilizes analog devices to actively stabilize the frequency of lasers. However, this results in a bulky system and a rigid control process, making it difficult to meet the requirements of miniaturization and automation of the frequency stabilization system for new applications such as space gravitational wave detection. In this paper, an automatic peak-finding algorithm based on backward difference is specifically designed for frequency discrimination signal peak search, which effectively reduces human intervention in the frequency stabilization process. This method identifies the main signal peak and controls state switching by comparing the time width of consecutive signal peaks. Moreover, it avoids the inherent drawbacks of the conventional thresholding method. We have also designed and built a digital frequency stabilization system based on a field-programmable gate array (FPGA). This system digitizes and integrates the discrete components of the stabilization servo feedback control into a single FPGA, forming a fast servo feedback loop with a piezoelectric actuator. The digital frequency stabilization system first obtains the frequency discrimination signal locally through an amplitude demodulation, and then achieves automatic peak-finding through the designed backward difference algorithm. Finally, the servo controller is activated at the lock-in point, and an incremental digital PID algorithm is used to successfully lock the frequency of a commercial Nd:YAG laser to a resonance of a 10 cm Fabry-Pérot cavity with a finesse of
To meet the picometer-level ranging accuracy requirements for space-based gravitational wave detection, this paper proposes an optimization method for the inter-spacecraft optical metrology noise link metrics. The method optimizes the design parameter to ensure the inter-spacecraft ranging accuracy while improving the technical feasibility of the spacecraft design. Firstly, the design parameters and objective functions of the optimization problem are clearly defined, and Sobol sensitivity analysis is used to effectively identify the key parameters. Subsequently, the optimization problem is solved using the Non-dominated Sorting Genetic Algorithm II (NSGA-II), from which the optimal solution is selected from the Pareto front based on the requirements. On this basis, the design metrics for each parameter are determined, and an initial metric tree is constructed. Simulation experiments verify the feasibility of the method. The results show that by optimizing the noise link metrics in accordance with the proposed approach, it is possible to achieve an optical metrology noise level of 8 pm/
The Taiji space gravitational wave detection mission employs laser interferometry to measure picometer-level distance variations induced by gravitational waves. Attitude jitter in both satellites and movable optical subassemblies (MOSA) generates tilt-to-length (TTL) coupling noise that critically degrades detection sensitivity. Therefore, it is necessary to fit and subtract TTL noise during the data processing stage. To address this challenge, we propose an iterative TTL noise suppression algorithm for post-processing. First, a first-order linear approximation model of TTL noise is established and incorporated into the time-delay interferometry (TDI) combinations to derive its expression in TDI outputs. We subsequently perform initial maximum likelihood estimation of the TTL coupling coefficients, subtract the preliminary TTL noise estimate from the TDI data to characterize the residual baseline noise statistics, and reincorporate these statistics into the updated likelihood function for subsequent TTL coefficient estimation. Through ten iterative cycles, we achieve a refined baseline noise model. Finally, The posterior distribution of the TTL coefficients is obtained via the Markov Chain Monte Carlo (MCMC) method, thereby accomplishing the precise fitting of the TTL noise and consequently achieving effective noise suppression. Results demonstrate that over 80% of estimated coefficients fall within three standard deviations, and more than 80% of the coefficient estimates deviate from the true values by less than 0.1 mm/rad. For various levels of TTL coefficients, the residual TTL noise after suppression is one order of magnitude lower than the secondary noise, demonstrating a certain degree of robustness. This is particularly applicable to real detection scenarios where the noise floor model is unknown, meeting the requirements for space-based gravitational wave detection.
To precisely evaluate the noise induced by magnetic field and magnetic field gradient fluctuations acting on the test masses in space gravitational wave detection missions, a Multi-stage Bias Correction Model (MSBCM) is proposed for the accurate reconstruction of the magnetic fields at the test mass. Based on the ensemble learning method, the standard fully connected neural network modules and residual fully connected neural network modules are constructed as weak predictors for the MSBCM. Each weak predictor sequentially corrects the prediction biases from the preceding model, cumulatively forming a robust predictive model to realize precise magnetic field reconstruction at test mass locations. Magnetic field reconstruction experiments conducts on the LISA Pathfinder, eLISA, and Taiji-2 space gravitational wave detection spacecraft, and the proposed MSBCM method demonstrates the lowest mean relative errors along sensitive axes in comparison with other interpolation or estimation methods. In simulating on-orbit experiments, the MSBCM method achieves the root mean square error of magnetic field fluctuations and gradient fluctuations in acceleration noise on the sensitive axis of test mass 1 of 1.68×10−17 (m/s2/Hz1/2) and 4.00×10−17 (m/s2/Hz1/2), respectively. Additionally, MSBCM closely only to the distance weighted method in minimizing the root mean square error for magnetic field fluctuations and gradient acceleration noise on the sensitive axis of test mass 2, records at 1.72×10−16 (m/s2/Hz1/2) and 2.93×10−16 (m/s2/Hz1/2), further validating the advantages of the proposed method in assessing magnetic fields around test masses in space-based gravitational wave detection missions.
High-precision inertial sensors have broad application prospects in fields such as aerospace, navigation, and precision measurement. However, the accurate evaluation of noise in these sensors is imperative for optimal performance, with residual gas noise being a significant source of noise in inertial sensors. The current methods for calculating the level of residual gas noise lack numerical simulations based on the actual structure of inertial sensors, which hinders the ability to meet the demands of high-precision noise analysis. This paper proposes a novel residual gas noise simulation method based on ray tracing technology. Firstly, the method simulates the trajectories of residual gas inside the electrode cage of the inertial sensor under orbital conditions using a real inertial sensor model to obtain the statistical characteristics of the residual gas acceleration noise. Secondly, the influence of different pressures and temperatures on the residual gas noise is investigated. Finally, the dependence of the residual gas noise on the gap size of the non-sensitive axis is analyzed. The simulation results demonstrate the efficacy of Ray Tracing technology in simulating and tracking the interaction between the residual gas and the sensitive structures, achieving a high-precision simulation of residual gas acceleration noise at the level of 10−15. Temperature and pressure have been shown to significantly affect the level of residual gas acceleration noise, and reducing the gap between the electrode cage and the test mass will increase the power spectrum of the residual gas noise in the inertial sensor.
Deep Frequency Modulation (DFM) interferometry is an effective approach for simplifying laser interferometry systems in space gravitational wave detection. However, the conventional use of kHz-level modulation frequencies in current DFM techniques introduces coupling of laser power noise into the system, which increases background noise and limits the ability to meet the stringent requirements of high-precision space measurements. This paper proposes to increase the DFM modulation frequency to the MHz range to mitigate the effects of laser power noise. Through an in-depth analysis of the DFM technique, we developed a phase signal extraction method for DFM interferometry using Bessel function expansion, orthogonal demodulation, and promotion of J1···J4 method. Based on the signal processing requirements at the MHz-level, the hardware and software architecture of a phase measurement system was developed, followed by extensive testing and evaluation under various operating conditions. The results demonstrate that the phase measurement system exhibits excellent linearity and accuracy, with phase noise in the frequency band from 2 mHz to 1 Hz consistently below 2π µrad/
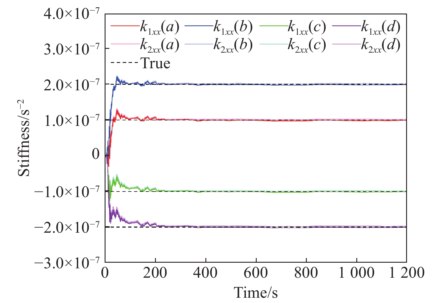
The coupling noise between test mass stiffness and displacement, as a significant component of the residual acceleration noise, critically impacts the performance of space gravitational wave detection, making stiffness identification essential for validating and optimizing control strategies and meeting the noise suppression requirements. For non-coaxial test mass configurations, this paper proposes a novel identification method based on dual sensitive axis decomposition. First, a relative dynamic model between the test mass and the spacecraft is constructed, and the model parameters are decomposed along the dual sensitive axis to isolate the influence of spacecraft acceleration disturbances and predominant angular acceleration disturbances on the on-orbit identification. Second, utilizing on-board laser interferometers, inertial sensors, and associated control loops, an on-orbit identification scheme is designed and a stiffness identification method using recursive least squares is proposed. Finally, numerical simulations are performed to verify the performance of the method. The experimental results demonstrate that the proposed stiffness identification method can effectively identify the stiffness of the test mass on the sensitive axis. Under the given simulation conditions, the mean absolute error is less than 5×10−9 s−2, the root mean square error is less than 1.5×10−8 s−2, and the maximum steady-state error is less than 2×10−9 s−2. These findings suggest that the method can be applied to future gravitational wave science missions.
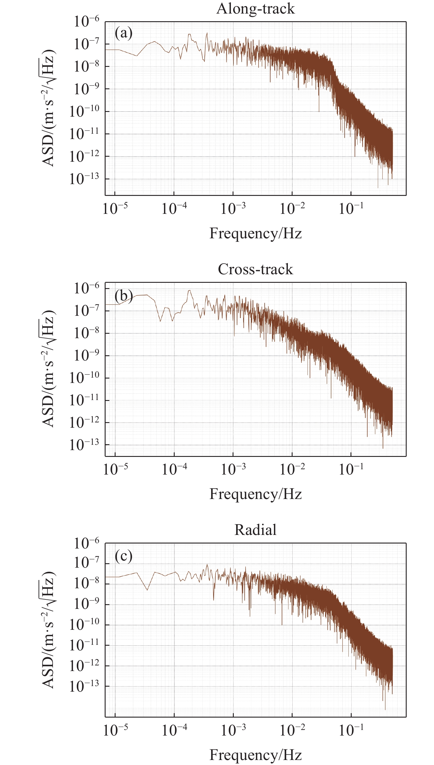
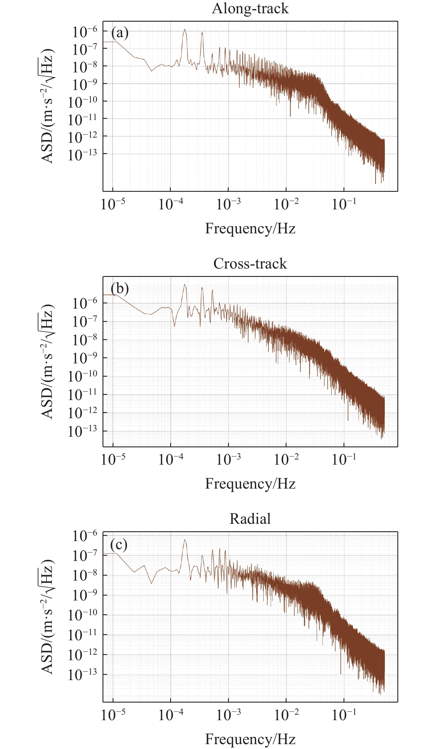
As a follow-on mission to the GRACE low-low satellite-to-satellite tracking gravity mission, one of the twin satellites of laser ranging interferometer gravity mission GRACE Follow-On experienced an anomaly in its accelerometer payload after one month of operation. This anomaly resulted in the loss of scientific measurement data, a situation similar to the final phase of the GRACE. Therefore, research on accelerometer data recovery is important to achieve the detection objectives of both GRACE and GRACE Follow-On. This paper proposes a novel method for accelerometer data recovery and reconstruction based on the Echo State Network in machine learning. By constructing a mapping relationship of accelerometer data between the twin satellites using the Echo State Network and improving the network performance through Bayesian optimization, this method can achieve high-precision and high-efficiency reconstruction of missing accelerometer data. Through experimental comparison with measured data, in the frequency band of gravity field detection, the prediction results in the along-track and radial directions have been shown to reach the level of
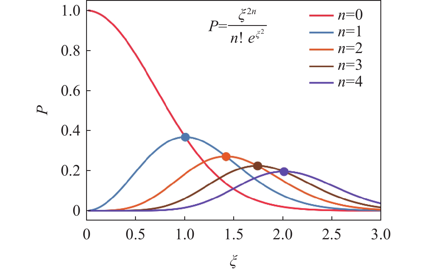
The space-based gravitational wave detection need to use laser acquisition technique to construct the inter-satellite laser link, and the spot center positioning is the core technique for measurement in the laser acquisition phase. Taking the Taiji program for example, the spot center positioning precision should be less than 0.1 pixel. However, the receiving laser intensity is nearly 100 pW at the detector surface due to the long-distance propagation. The precision of most of the conventional positioning methods is significant degraded under low signal-to-noise ratio conditions, so it is crucial to study how detector noise affects the spot center positioning precision. To address these challenges, we first elucidate the operational principles of laser acquisition and pointing technique, then theoretically analyze the mechanism by which the background noise of CMOS affects the spot center positioning precision and introduce an improved spot center positioning algorithm. Finally, the coupling relationship between different system parameters and the background noise of CMOS is measured through the experiment. The experimental results agree with the theoretical analysis, validating the correctness of the noise model and proving that this algorithm can achieve the measurement precision of 0.018 pixel under weak light conditions.
A space laser interferometric gravitational wave observatory requires spaceborne clocks with ultralow phase noise in the millihertz frequency band. Such noise can be suppressed using a sideband multiplication transfer scheme and pilot tone techniques. To meet the requirements of the clock noise suppression technique, ultralow residual phase noise synthesizers are required to generate the microwave (2.4 GHz) for electro-optic modulator modulation and the pilot tone signal (75 MHz). To this end, two different structures of microwave chains have been designed, implemented and compared. The application of low phase noise phase-locked dielectric resonator oscillators (PDROs) and frequency division techniques enabled the development of a frequency synthesis chain with ultralow residual phase noise. The residual phase noise of the 75 MHz pilot signal is measured to be
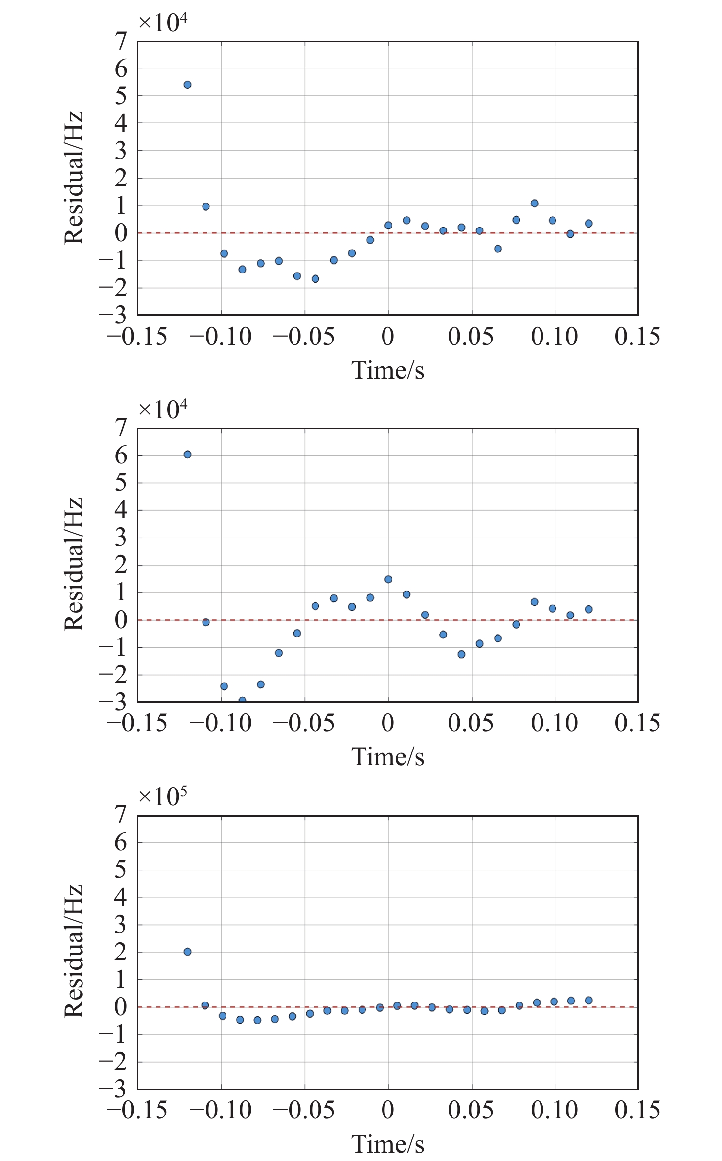
To address the measurement errors introduced by laser linewidth in the traditional swept-frequency methods, a signal analysis approach based on convolution fitting is proposed, leveraging the convolutional characteristics of Guassian-shaped laser spectrum and Lorentzian-type Fabry-Perot (F-P) cavity. An swept-frequency optical fiber experimental platform is constructed to verify the performance of the two F-P cavities (one is custom-built (Cavity 1) and another is commercial (Cavity 2)) . Firstly, the impact of laser linewidth on the signal profile is quantified through simulations, and the main process of the fitting algorithm is introduced. Secondly, the spectrum of the incident laser is measured via beat-frequency analysis. The experimental results indicated that the spectrum exhibited a Gaussian shape with a linewidth of (11.59 ± 1.23) kHz. Subsequently, the frequency modulation error of the swept-frequency platform is evaluated. Linewidth measurements are conducted on the cavity 1 and cavity 2 using the swept-frequency method. For Cavity 1, the results of Lorentzian fitting and convolutional fitting are (204.1 ± 11.2) kHz and (203.9 ± 11.2) kHz, respectively, showing no significant difference. For Cavity 2, which had a calibrated linewidth of 4.17 kHz, the result of Lorentzian fitting is (8.97 ± 0.42) kHz, while the result of convolutional fitting is (4.42 ± 0.50) kHz. The experimental results demonstrate that when the laser linewidth is comparable to the cavity’s linewidth, this method can accurately measure the true linewidth of the cavity. When the laser linewidth (11.59 kHz) is significantly smaller than the cavity’s linewidth (204.1 kHz), the results obtained using this method are similar to those from the Lorentzian fitting approach. This work broadens the range of options for selecting linewidth measurement equipment for narrow-linewidth Fabry-Pérot (F-P) cavities.
Addressing the issue of beam alignment with Fabry-Pérot cavities, this paper proposes an adaptive dual-mirror step adjustment method based on the gradient ascent of transmitted resonant mode energy to achieve cavity coupling. First, leveraging the relationship between the reflection angles of the dual mirrors and the beam pointing, independent adjustment of the incident beam position and angle was proposed. Second, the EfficientNet neural network was used to classify resonant mode images, enabling identification of different mode images. Third, the energy gradient of the cavity mode was utilized for adaptively dual mirrors step adjustment, enabling low-cost and efficient cavity coupling of both fundamental and higher-order modes. The beam pointing adjustment method proposed will offer a novel solution for coupling lasers with Fabry-Pérot cavities in ultra-stable lasers and gravitational wave detection.
To achieve high-precision residual stress detection in key components in precision manufacturing, an electro-optic modulated ellipsometric stress sensing system has been established. This study focused on the ellipsometric signal response of common 304 stainless-steel materials in engineering under uniaxial tensile stress conditions. Firstly, based on the fundamental principles of reflection ellipsometry, the relationship between the ellipsometric signal and the ordinary and extraordinary refractive indices was established for different optical axis directions. Secondly, the working point of ellipsometric stress sensing was optimized for stainless steel materials. By comparing the ellipsometric signals at the extinction point and the non-zero linear working point, it was demonstrated that the non-zero linear condition is suitable for stress signal sensing. Finally, the stress-induced ellipsometric signals were measured under different optical axis directions. The experimental results indicate that for 304 stainless steel, the system's minimum stress detection limit is 7.84 kPa, and the stress detection accuracy of the system is better than 7.84 kPa. This system can be utilized for high-precision stress detection requirements in metal workpieces in precision manufacturing.
Quantum noise is one of the main noises affecting the laser interferometric gravitational wave detection. To cope with quantum noise and further improve detection sensitivity, this paper applies the quantum transfer function method to rederive the source attribution of quantum noise in conventional Michelson interferometers. The findings reveal that for two types of quantum noise-radiation pressure noise and shot noise-radiation pressure noise can be directly attributed to the amplitude quadrature fluctuations of vacuum fluctuations at the unused port of the interferometer, while shot noise can be completely attributed to the phase quadrature fluctuations at the unused port only under certain conditions. Provided that the source attribution of the quantum noise is clearly known, the squeezed light technique can improve the sensitivity of detectors. However, when adopting unequal arm interference detection schemes, attention must be paid to the length difference between the two unequal arm lengths.
For space-borne gravitational wave detection missions based on the heterodyne interferometry principle, tilt-to-length (TTL) coupling noise is an important optical noise source, significantly influencing the accuracy of the measurement system. We present a method for analyzing TTL coupling noise under the joint influence of multiple factors. An equivalent simulated optical bench for the test mass interferometer was designed, and Gaussian beam tracing was adopted to simulate beam propagation. By simulating the interference signal, it can analyze the impact of various factors on the TTL coupling noise, including positional, beam parameters, detector parameters, and signal definition factors. On this basis, a random parameter space composed of multiple influential factors was constructed within a range satisfying the analysis requirement, and the corresponding simulation results from random sampling were evaluated via variance-based global sensitivity analysis. The calculated results of the main and total effect indexes show that the test mass rotation angle and the piston effect (lateral) significantly influence the TTL coupling noise in the test mass interferometer. The analysis provides a qualitative reference for designing and optimizing space-borne laser interferometry systems.
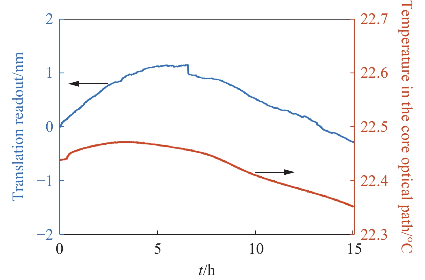
To detect space gravitational waves in the extremely low-frequency band, the telescope and optical platform require high stability and reliability. However, the cantilevered design presents challenges, especially in the glass-metal hetero-bonding process. This study focuses on the analysis and experimental research of the bonding layer in the integrated structure. By optimizing the structural configuration and selecting suitable bonding processes, the reliability of the telescope system is enhanced. The research indicates that using J-133 adhesive achieves the best performance, with a bonding layer thickness of 0.30 mm and a metal substrate surface roughness of Ra 0.8. These findings significantly enhance the reliability of the optical system while minimizing potential risks.
Abstract
FullText HTML
PDF 3639KB











