Volume 18 Issue 3
May  2025
Turn off MathJax
Article Contents
JIANG Hong, YAO Zhen-dong, YANG Li-wei, XU Peng, QIANG Li'e. Echo state network-based data recovery method for low-low satellite-to-satellite tracking missions in laser interferometry[J]. Chinese Optics, 2025, 18(3): 641-649. doi: 10.37188/CO.2024-0177
Citation: JIANG Hong, YAO Zhen-dong, YANG Li-wei, XU Peng, QIANG Li'e. Echo state network-based data recovery method for low-low satellite-to-satellite tracking missions in laser interferometry[J]. Chinese Optics, 2025, 18(3): 641-649. doi: 10.37188/CO.2024-0177

Echo state network-based data recovery method for low-low satellite-to-satellite tracking missions in laser interferometry

cstr: 32171.14.CO.2024-0177
Funds:  Supported by National Key Research and Development Program of China (No. 2020YFC2200603, No. 2020YFC2200601); Chinese Academy of Sciences Key Deployment Research Program (No. KGFZD-145-24-04-03); The International Partnership Program of the Chinese Academy of Sciences (No. 025GJHZ2023106GC); Project supported by the Young Scientists Fund of the National Natural Science Foundation of China (No. 11905017)
More Information
  • Corresponding author: xupeng@imech.ac.cn
  • Received Date: 29 Sep 2024
  • Rev Recd Date: 08 Nov 2024
  • Accepted Date: 17 Dec 2024
  • Available Online: 22 Jan 2025
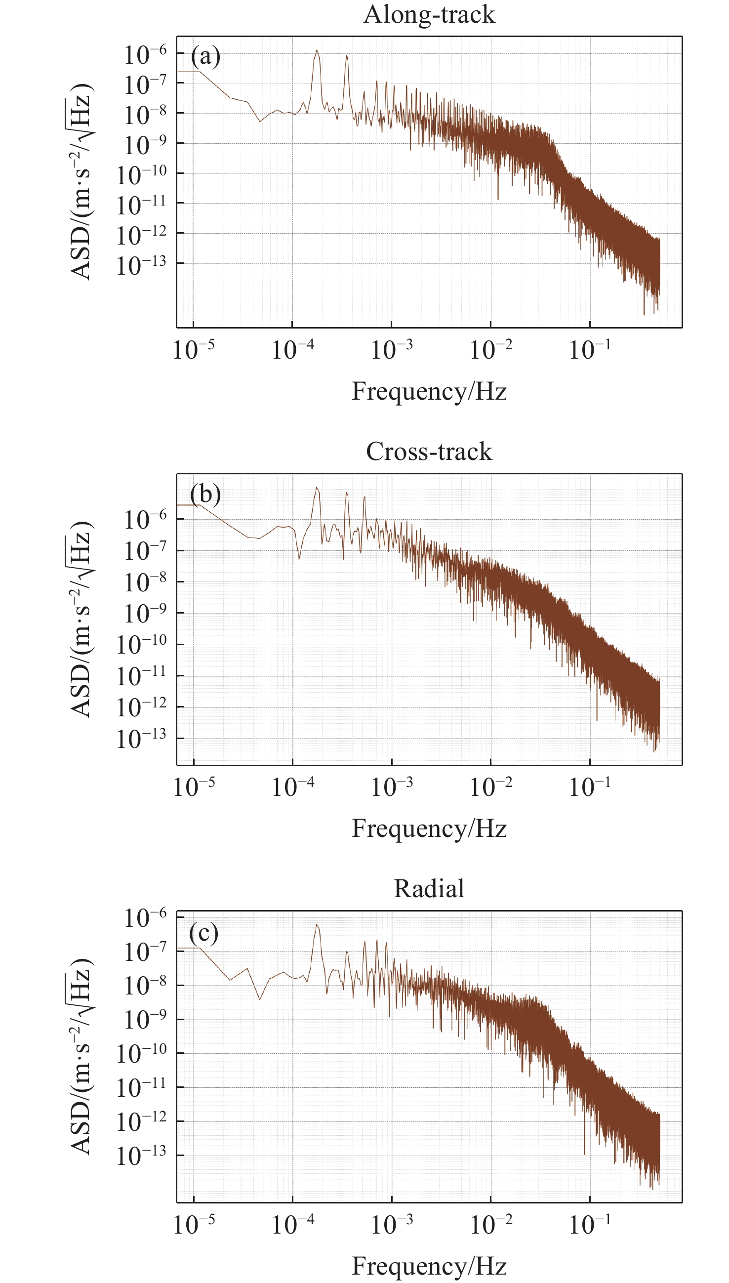
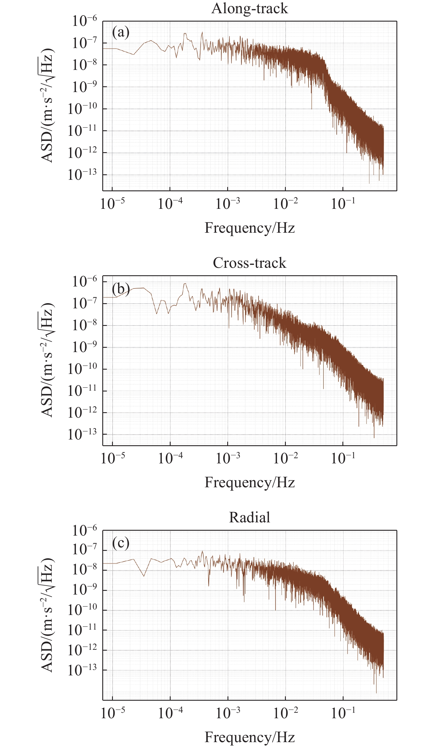
  • As a follow-on mission to the GRACE low-low satellite-to-satellite tracking gravity mission, one of the twin satellites of laser ranging interferometer gravity mission GRACE Follow-On experienced an anomaly in its accelerometer payload after one month of operation. This anomaly resulted in the loss of scientific measurement data, a situation similar to the final phase of the GRACE. Therefore, research on accelerometer data recovery is important to achieve the detection objectives of both GRACE and GRACE Follow-On. This paper proposes a novel method for accelerometer data recovery and reconstruction based on the Echo State Network in machine learning. By constructing a mapping relationship of accelerometer data between the twin satellites using the Echo State Network and improving the network performance through Bayesian optimization, this method can achieve high-precision and high-efficiency reconstruction of missing accelerometer data. Through experimental comparison with measured data, in the frequency band of gravity field detection, the prediction results in the along-track and radial directions have been shown to reach the level of $ {10}^{-8} $ m∙s−2/$ \sqrt{\mathrm{Hz}} $. In the cross-track direction, the results reach levels between $ {10}^{-8}$ m∙s−2/$ \sqrt{\mathrm{Hz}} $~${10}^{-7} $ m∙s−2/$\sqrt{\mathrm{Hz}} $. This reconstruction accuracy is comparable to, or even partially superior to, the official GRACE data transplant accuracy, making it preliminarily applicable to gravity field inversion. This research achieves high-precision accelerometer data recovery for low-low satellite-to-satellite tracking missions using machine learning methods.

     

  • loading
  • [1]
    TAPLEY B D, BETTADPUR S, RIES J C, et al. GRACE measurements of mass variability in the earth system[J]. Science, 2004, 305(5683): 503-505.
    [2]
    TAPLEY B D, WATKINS M M, FLECHTNER F, et al. Contributions of GRACE to understanding climate change[J]. Nature Climate Change, 2019, 9(5): 358-369.
    [3]
    TAPLEY B D, BETTADPUR S, WATKINS M, et al. The gravity recovery and climate experiment: mission overview and early results[J]. Geophysical Research Letters, 2004, 31(9): L09607.
    [4]
    FENG W, ZHONG M, LEMOINE J M, et al. Evaluation of groundwater depletion in north China using the Gravity Recovery and Climate Experiment (GRACE) data and ground-based measurements[J]. Water Resources Research, 2013, 49(4): 2110-2118. doi: 10.1002/wrcr.20192
    [5]
    CHEN J L, CAZENAVE A, DAHLE C, et al. Applications and challenges of GRACE and GRACE Follow-On satellite gravimetry[J]. Surveys in Geophysics, 2022, 43(1): 305-345.
    [6]
    苏晓莉, 平劲松, 叶其欣. GRACE卫星重力观测揭示华北地区陆地水量变化[J]. 中国科学: 地球科学,2011,54(12):1965-1970.

    SU X L, PING J S, YE Q X. Terrestrial water variations in the North China Plain revealed by the GRACE mission[J]. Science China Earth Sciences, 2011, 54(12): 1965-1970.
    [7]
    王正涛. 卫星跟踪卫星测量确定地球重力场的理论与方法[D]. 武汉: 武汉大学, 2005.

    WANG ZH T. Theory and methodology of earth gravity field recovery by satellite-to-satellite tracking data[D]. Wuhan: Wuhan University, 2005. (in Chinese).
    [8]
    GAFUROV A, SELYUZHENOK V, LATINOVIC M, et al. GRACE observes the natural and irrigation-induced regional redistribution of water storage in Central Asia[J]. Journal of Hydrology: Regional Studies, 2024, 56: 101994.
    [9]
    LANDERER F W, FLECHTNER F M, SAVE H, et al. Extending the global mass change data record: GRACE follow-on instrument and science data performance[J]. Geophysical Research Letters, 2020, 47(12): e2020GL088306. doi: 10.1029/2020GL088306
    [10]
    KORNFELD R P, ARNOLD B W, GROSS M A, et al. GRACE-FO: the gravity recovery and climate experiment follow-on mission[J]. Journal of Spacecraft and Rockets, 2019, 56(3): 931-951.
    [11]
    罗志才, 钟波, 周浩, 等. 利用卫星重力测量确定地球重力场模型的进展[J]. 武汉大学学报·信息科学版,2022,47(10):1713-1727.

    LUO ZH C, ZHONG B, ZHOU H, et al. Progress in determining the earth's gravity field model by satellite gravimetry[J]. Geomatics and Information Science of Wuhan University, 2022, 47(10): 1713-1727. (in Chinese).
    [12]
    ABICH K, ABRAMOVICI A, AMPARAN B, et al. In-orbit performance of the GRACE follow-on laser ranging interferometer[J]. Physical Review Letters, 2019, 123(3): 031101.
    [13]
    王娟, 齐克奇, 王少鑫, 等. 面向空间引力波探测的金宝搏188软件怎么用 干涉技术研究进展及展望[J]. 中国科学: 物理学 力学 天文学,2024,54(7):270405.

    WANG J, QI K Q, WANG SH X, et al. Advance and prospect in the study of laser interferometry technology for space gravitational wave detection[J]. Scientia Sinica Physica, Mechanica & Astronomica, 2024, 54(7): 270405. (in Chinese).
    [14]
    SAVE H V, BETTADPUR S V, TAPLEY B D. Single accelerometer gravity solutions for GRACE[C]. AGU Fall Meeting, American Geophysical Union, 2006: G13A-0026.
    [15]
    SAVE H. GRACE battery status and science impact[C]. GRACE Science Team Meeting, 2016.
    [16]
    BANDIKOVA T, MCCULLOUGH C, KRUIZINGA G L, et al. GRACE accelerometer data transplant[J]. Advances in Space Research, 2019, 64(3): 623-644.
    [17]
    BEHZADPOUR S, MAYER-GÜRR T, KRAUSS S. GRACE follow-on accelerometer data recovery[J]. Journal of Geophysical Research: Solid Earth, 2021, 126(5): e2020JB021297.
    [18]
    张荣, 李伟平, 莫同. 深度学习研究综述[J]. 信息与控制,2018,47(4):385-397.

    ZHANG R, LI W P, MO T. Review of deep learning[J]. Information and Control, 2018, 47(4): 385-397. (in Chinese).
    [19]
    SHILENGWE C, BANDA K, NYAMBE I. Machine learning downscaling of GRACE/GRACE-FO data to capture spatial-temporal drought effects on groundwater storage at a local scale under data-scarcity[J]. Environmental Systems Research, 2024, 13(1): 38.
    [20]
    JAEGER H, HAAS H. Harnessing nonlinearity: predicting chaotic systems and saving energy in wireless communication[J]. Science, 2004, 304(5667): 78-80.
    [21]
    SUN CH X, SONG M X, CAI D R, et al. A systematic review of echo state networks from design to application[J]. IEEE Transactions on Artificial Intelligence, 2024, 5(1): 23-37.
    [22]
    GASPARIN A, LUKOVIC S, ALIPPI C. Deep learning for time series forecasting: the electric load case[J]. CAAI Transactions on Intelligence Technology, 2022, 7(1): 1-25. doi: 10.1049/cit2.12060
    [23]
    LI ZH, YANG Y F. Universality and approximation bounds for echo state networks with random weights[J]. IEEE Transactions on Neural Networks and Learning Systems, 2025, 36(2): 2720-2732.
    [24]
    CHEN X F, LIU M, LI SH. Echo state network with probabilistic regularization for time series prediction[J]. IEEE/CAA Journal of Automatica Sinica, 2023, 10(8): 1743-1753. doi: 10.1109/JAS.2023.123489
    [25]
    LIU CH, ZHANG H G, LUO Y H, et al. Dual heuristic programming for optimal control of continuous-time nonlinear systems using single echo state network[J]. IEEE Transactions on Cybernetics, 2022, 52(3): 1701-1712.
    [26]
    SNOEK J, LAROCHELLE H, ADAMS R P. Practical Bayesian optimization of machine learning algorithms[C]. Proceedings of the 26th International Conference on Neural Information Processing Systems, Curran Associates Inc. , 2012: 2951-2959.
    [27]
    BECKERS T. An introduction to Gaussian process models[J]. arXiv preprint arXiv: 2102.05497, 2021.
    [28]
    HE X, ZHAO K Y, CHU X W. AutoML: a survey of the state-of-the-art[J]. Knowledge-Based Systems, 2021, 212: 106622. doi: 10.1016/j.knosys.2020.106622
  • 加载中

Catalog

    通讯作者: 陈斌, bchen63@163.com
    • 1. 

      沈阳化工大学材料科学与工程学院 沈阳 110142

    1. 本站搜索
    2. 百度学术搜索
    3. 万方数据库搜索
    4. CNKI搜索

    Figures(7)  / Tables(2)

    Article views(532) PDF downloads(76) Cited by()
    Proportional views
    Related

    /

    DownLoad:  Full-Size Img  PowerPoint
    Return
    Return
    Baidu
    map