Volume 18 Issue 3
May  2025
Turn off MathJax
Article Contents
XU Xin, LIN Qiu-tong, MU Heng-lin, LI Zi-mo, LI Yan, TAN Yi-dong. Laser heterodyne interferometry for picometer-level displacement measurement[J]. Chinese Optics, 2025, 18(3): 535-546. doi: 10.37188/CO.2024-0192
Citation: XU Xin, LIN Qiu-tong, MU Heng-lin, LI Zi-mo, LI Yan, TAN Yi-dong. Laser heterodyne interferometry for picometer-level displacement measurement[J]. Chinese Optics, 2025, 18(3): 535-546. doi: 10.37188/CO.2024-0192

Laser heterodyne interferometry for picometer-level displacement measurement

cstr: 32171.14.CO.2024-0192
Funds:  Supported by National Key R & D Program of China (No. 2022YFC2204504, No. 2020YFC2200204); Postdoctoral Fellowship Program of CPSF (No. GZC20240802)
More Information
  • Corresponding author: tanyd@tsinghua.edu.cn
  • Received Date: 18 Oct 2024
  • Rev Recd Date: 18 Nov 2024
  • Accepted Date: 13 Dec 2024
  • Available Online: 22 Jan 2025
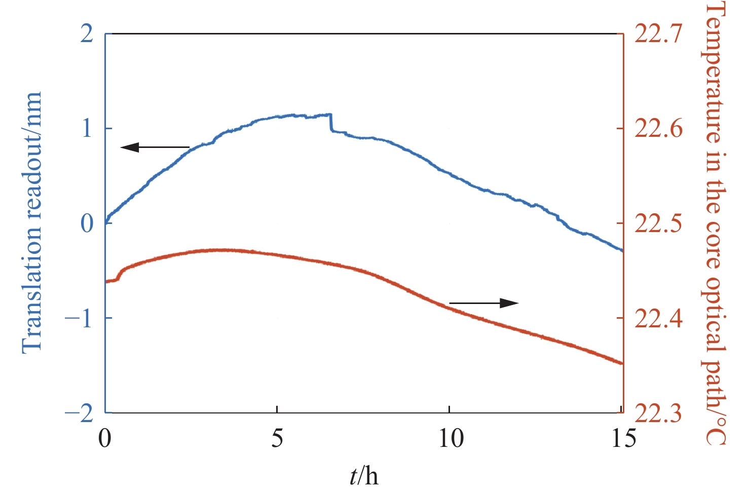
  • To address the high sensitivity measurement requirement of the test mass’s displacement in spaceborne gravitational wave detection, a ground-based simulation system using laser heterodyne interferometry has been established, initiating research into picometer-level displacement measurement techniques. Initially, the translational sensitivity of the designed laser heterodyne interferometer is tested under vacuum conditions. Subsequently, based on the sensitivity outcomes, noise source tracing research for the laser heterodyne interferometric system is conducted, including the development of a system noise model, analysis of various noise source mechanisms, and investigation of strategies to reduce the predominant noise sources. Ultimately, upon completion of the noise source tracing, the interferometric system is optimized, with tests indicating a displacement measurement sensitivity better than 1 pm/Hz1/2 in the range of 30 mHz to 1 Hz. This paper is expected to provide a reliable ground-based test platform for noise source tracing, facilitating the advancement of picometer-level laser interferometry technologies for spaceborne gravitational wave detection.

     

  • loading
  • [1]
    K Danzmann for the LISA Study Team. LISA-an ESA cornerstone mission for a gravitational wave observatory[J]. Classical and Quantum Gravity, 1997, 14(6): 1399-1404. doi: 10.1088/0264-9381/14/6/002
    [2]
    LUO Z R, GUO Z K, JIN G, et al. A brief analysis to Taiji: science and technology[J]. Results in Physics, 2020, 16: 102918. doi: 10.1016/j.rinp.2019.102918
    [3]
    WU Y L. Space gravitational wave detection in China[C]. Presentation on 1st eLISA Consortium Meeting, APC-Paris, 2012.
    [4]
    罗俊, 艾凌皓, 艾艳丽, 等. 天琴计划简介[J]. 中山大学学报(自然科学版),2021,60(1-2):1-19.

    LUO J, AI L H, AI Y L, et al. A brief introduction to the TianQin project[J]. Acta Scientiarum Naturalium Universitatis Sunyatseni, 2021, 60(1-2): 1-19. (in Chinese).
    [5]
    HECHLER F, FOLKNER W M. Mission analysis for the Laser Interferometer Space Antenna (LISA) mission[J]. Advances in Space Research, 2003, 32(7): 1277-1282. doi: 10.1016/S0273-1177(03)90332-2
    [6]
    HU W R, WU Y L. The Taiji program in space for gravitational wave physics and the nature of gravity[J]. National Science Review, 2017, 4(5): 685-686. doi: 10.1093/nsr/nwx116
    [7]
    LUO J, CHEN L S, DUAN H Z, et al. TianQin: a space-borne gravitational wave detector[J]. Classical and Quantum Gravity, 2016, 33(3): 035010. doi: 10.1088/0264-9381/33/3/035010
    [8]
    AMARO-SEOANE P, AUDLEY H, BABAK S, et al. Laser interferometer space antenna[J]. arXiv: 1702.00786, 2017.
    [9]
    ARMANO M, AUDLEY H, BAIRD J, et al. Sensor noise in LISA pathfinder: in-flight performance of the optical test mass readout[J]. Physical Review Letters, 2021, 126(13): 131103. doi: 10.1103/PhysRevLett.126.131103
    [10]
    ARMANO M, AUDLEY H, BAIRD J, et al. Sensor noise in LISA Pathfinder: an extensive in-flight review of the angular and longitudinal interferometric measurement system[J]. Physical Review D, 2022, 106(8): 082001. doi: 10.1103/PhysRevD.106.082001
    [11]
    LIU H SH, LUO Z R, SHA W, et al. In-orbit performance of the laser interferometer of Taiji-1 experimental satellite[J]. International Journal of Modern Physics A, 2021, 36(11n12): 2140004. doi: 10.1142/S0217751X21400042
    [12]
    LUO J, BAI Y ZH, CAI L, et al. The first round result from the TianQin-1 satellite[J]. Classical and Quantum Gravity, 2020, 37(18): 185013. doi: 10.1088/1361-6382/aba66a
    [13]
    XU X, LIU H SH, TAN Y D. Verification of laser heterodyne interferometric bench for Chinese spaceborne gravitational wave detection missions[J]. Research, 2024, 7: 0302. doi: 10.34133/research.0302
    [14]
    GARCÍA MARÍN A. Minimisation of optical pathlength noise for the detection of gravitational waves with the spaceborne laser interferometer LISA and LISA Pathfinder[D]. Hannover: Albert Einstein Institute & University of Hannover, 2007.
    [15]
    DEHNE M. Construction and noise behaviour of ultra-stable optical systems for space interferometers[D]. Hannover: Gottfried Wilhelm Leibniz Universität Hannover, 2012.
    [16]
    颜浩. 基于金宝搏188软件怎么用 干涉的高精度多自由度光学传感研究[D]. 武汉: 华中科技大学, 2019.

    YAN H. Study on ultra-precision multi-degree-of-freedom optical measurement base on laser interferometry[D]. Wuhan: Huazhong University of Science and Technology, 2019. (in Chinese).
    [17]
    FULDA P, DEROSA R T, DEMARCO E, et al. Multi-axis heterodyne interferometry at MHz frequencies: a short-arm measurement demonstration for LISA with off-the-shelf hardware[J]. Applied Optics, 2019, 58(23): 6346-6356. doi: 10.1364/AO.58.006346
    [18]
    SASSO C P, MANA G, MOTTINI S. The LISA interferometer: Impact of stray light on the phase of the heterodyne signal[J]. Classical and Quantum Gravity, 2019, 36(7): 075015. doi: 10.1088/1361-6382/ab0a15
    [19]
    DEHNE M, TRÖBS M, HEINZEL G, et al. Verification of polarising optics for the LISA optical bench[J]. Optics Express, 2012, 20(25): 27273-27287. doi: 10.1364/OE.20.027273
    [20]
    WITTCHEN A, LPF Collaboration. Coupling of relative intensity noise and pathlength noise to the length measurement in the optical metrology system of LISA Pathfinder[J]. Journal of Physics: Conference Series, 2017, 840: 012003. doi: 10.1088/1742-6596/840/1/012003
    [21]
    WISSEL L, WITTCHEN A, SCHWARZE T S, et al. Relative-intensity-noise coupling in heterodyne interferometers[J]. Physical Review Applied, 2022, 17(2): 024025. doi: 10.1103/PhysRevApplied.17.024025
  • 加载中

Catalog

    通讯作者: 陈斌, bchen63@163.com
    • 1. 

      沈阳化工大学材料科学与工程学院 沈阳 110142

    1. 本站搜索
    2. 百度学术搜索
    3. 万方数据库搜索
    4. CNKI搜索

    Figures(16)

    Article views(459) PDF downloads(84) Cited by()
    Proportional views
    Related

    /

    DownLoad:  Full-Size Img  PowerPoint
    Return
    Return
    Baidu
    map