2025 Vol. 18, No. 4

Review
Review of crosstalk between pixels in division of focal plane polarization camera
JIN Wei-qi, XUE Jia-an, QIU Su, LUO Lin, LIU Qi-wei
2025, 18(4): 725-737. doi: 10.37188/CO.2024-0217
Abstract:

Division of focal plane polarization camera is a widely used integrated polarization imaging system. Crosstalk between pixels of the micro-polarizer arrays (MPAs) is the unique interference factor in such system, and its crosstalk light intensity varies with the polarization characteristics of the incident light, bringing errors to the measurement of the target’s polarization information. This paper reviews the development of polarization crosstalk models and summarizes all the factors affecting crosstalk identified in relevant researchs. Taking sensor parameters and optical system parameters as key factors, this paper discusses the cause-effect model of crosstalk in cameras and its relation to temporal noise. It analyzes the results of parameter changes caused by crosstalk, primarily summarizing the crosstalk’s factor correlation, experimental repeatability, error randomness and parameter calibration. Finally, this paper prospects the future development trends of crosstalk models.

Original Article
Terahertz broadband absorption spectrum enhancement based on asymmetric dielectric meta-grating on a metal substrate
WANG Zi-jing, LI Xiang-jun, YAN De-xian
2025, 18(4): 738-747. doi: 10.37188/CO.2024-0197
Abstract:

Terahertz molecular fingerprinting is a promising method for label-free detection, particularly for micro or trace amount samples in practical applications. However, the wavelength of terahertz waves is much larger than the size of the molecules to be tested, resulting in a weak interaction between the waves and the matter. To address this challenge, additional structures are needed to enhance the absorption of electromagnetic waves by trace amount samples. In this study, we constructed an inverted asymmetric dielectric grating structure on a metal substrate. By utilizing guided-mode resonance (GMR) and a bound state in the continuum (BIC) effect, the terahertz absorption spectrum of thin film samples was significantly enhanced. The enhanced absorption spectra can be easily obtained by measuring the reflected absorption signal. The samples are coated on the flat back of the inverted dielectric grating, which simplifies the preparation process. For instance, when the thickness of an α-lactose film is 0.2 μm, the absorption enhancement factor reaches 236. This study provides a new method for detecting trace analytes in the terahertz band.

High-performance photodetectors based on zero-dimensional lead-free perovskite thin films
DI Jia-yu, CUI Yan, WU Rui-xiang, LU Bin
2025, 18(4): 748-755. doi: 10.37188/CO.2024-0214
Abstract:

In this study, we employ a MACl post-treatment to enhance the quality of MA3Sb2I9 perovskite thin films fabricated through antisolvent processing. This treatment facilitated the formation of Cl-Sb bond interactions between MACl and the perovskite thin films, effectively passivating the I vacancies and grain boundary defects on the MA3Sb2I9 thin-film surface. This process not only improved the surface morphology and crystallinity of the thin film but also reduced the defect states density of the surface, thereby enhancing the efficiency of carrier extraction and transport. Consequently, the sensitivity of self-powered photodetectors based on the optimized thin-film preparation increased from 3.89 × 107 Jones to 5.72 × 108 Jones, representing an improvement by one order of magnitude. Furthermore, the rise and fall times were shortened from 37/76 ms to 31/37 ms, respectively, indicating an enhancement in the response speed of the devices.

Domestic 3D visualization diffractive waveguide simulation module based on ray-field tracing
QIN Jia-jia, SONG Qiang, LIU Xiang-biao, ZHANG Shan-wen, DUAN Hui-gao, ZHOU Chang-he
2025, 18(4): 756-770. doi: 10.37188/CO.2025-0002
Abstract:

This work introduces the first domestically developed 3D visualization module for optical waveguide design and simulation based on ray-field tracing. Using this module, we engineers a two-dimensional exit-pupil-expansion diffractive waveguide, demonstrating a systematic design workflow, which integrates k-domain analysis, automated layout generation of grating regions within the optical waveguide, waveguide optimization, and ray-field tracing simulations, establishing a cohesive methodology for device development. The module extends beyond single-waveguide simulations to system-level analyses of near-eye displays, incorporating micro-dislplays, micro-projectors, and human eye models. By bridging microscopic and macroscopic scales, it enables holistic performance evaluation of AR optical systems, highlighting its capabilities and technical advantages. This module provides a robust and efficient platform for domestic optical engineers to advance optical waveguide design and simulation, thereby accelerating the industrialization and technological progression of AR optics in China.

Design of holographic reproduction images based on liquid crystal spatial light modulator
LEI Jun-ge, SUN Guo-bin, ZHANG Jin, JIANG Shi-lei, HU Chi
2025, 18(4): 771-783. doi: 10.37188/CO.2024-0224
Abstract:

Based on the principle of computer-generated holograms reproduction imaging, this paper used the Gerchberg-Saxton (GS) algorithm to iteratively solve the phase distribution of the original simulation images under different characteristic parameters (line width, ring diameter) and different calculated sampling intervals by performing direct and inverse Fourier transforms on the optical field distributions of the input and output planes, and the corresponding reproduced images were obtained by simulation calculation. The optical path of the holographic reproduction experiment was constructed by using the liquid crystal spatial light modulator, and the reproduction experiment was carried out by loading the phase distribution maps of different original simulation images, the holographic reproduction images of far-field diffraction were taken by the camera, and the actual feature size of the reproduced images was obtained by image processing. The experimental results show that the feature size of the reproduced images is basically linear with the characteristic size of the original simulation images. Furthermore, the reproduction image size shows a non-linear change relationship with the sampling intervals of the simulation calculation, which is consistent with the derived theoretical calculation relationship curve. In order to further verify the correctness of the conclusion, when the size of the expected reproduced image is designed as the ring diameter of 0.943 mm and the line width of the central cross of 0.015 mm. The characteristic size and sampling interval of the original simulation image of the expected target are obtained by the simulation calculation as the line width of 3 pixel, the ring diameter of 594 pixel and the sampling interval of 25 μm, respectively. The ring diameter and line width of the holographic reproduction image, as measured by the reproduction experiment, are 0.93 mm and 0.017 mm, respectively. The error accuracy is within 0.02 mm. The findings of this study provide an effective reference for application scenarios such as holographic display and AR/VR display to improve the authenticity of virtual display image size.

Improved simulated annealing algorithm for wavefront correction in free-space optical communication
LI Hong-li, LIU Xin-yue, DU Bo-jun, CAO Jing-tai, ZHANG Heng
2025, 18(4): 784-793. doi: 10.37188/CO.2025-0028
Abstract:

To compensate for atmospheric turbulence-induced wavefront distortion in coherent free-space optical communication, we develop an adaptive optical system based on the improved simulated annealing algorithm. The system seeks to optimize mixing efficiency and reduce the bit error rate, ultimately enhancing overall system performance. First, we describe the structure of a coherent optical communication system without a wavefront adaptive optics component, focusing on key parameters such as mixing efficiency and bit error rate. Next, the paper implements a detailed explanation of the working principles of the improved simulated annealing algorithm and its application in adaptive optical systems. To validate the proposed algorithm's effectiveness, numerical simulations are performed and compared against traditional algorithms. Finally, real-world data is collected from an experimental platform to further assess the algorithm's performance. Experimental results demonstrate that, in comparison to the standard simulated annealing algorithm, the improved simulated annealing algorithm reduces the iteration count by 50%, decreases the bit error rate to 10−9, and increases the mixing efficiency to 0.9. Overall, the improved simulated annealing algorithm effectively reduces the iteration count in traditional adaptive optical systems, enhances wavefront correction accuracy, and satisfies communication system requirements.

A spectrum signal pre-processing algorithm based on multi-scale wavelet transform
QIAN Fang, XU Yong-bo, ZHAO Wei
2025, 18(4): 794-802. doi: 10.37188/CO.2024-0230
Abstract:

Spectral technology can extract useful characteristic information from a large number of raw signals, which can be directly utilized for analyzing and identitying the material components of the observed samples. It has high application value in fields such as biomedicine, food safety and military reconnaissance. Due to the varying objectives and effects of the pretreatment, there are currently multiple spectral pre-processing methods available. We propose a spectrum signal pre-processing algorithm based on multi-scale wavelet transform, and the performance of the proposed algorithm and the designed softwere are evaluated through tests using both simulated and experimental spectra. The signal-to-noise ratio (SNR) of the simulated signal is 0.5 dB. After processing with the algorithm proposed in this paper, the SNR can reach to 8.978 dB. In the simulation, five different types of baselines are introduced, including linear, Gaussian, polynomial, exponential, and sigmoidal function types. Baseline estimation is performed using the algorithm proposed in this paper. The root mean square errors (RMSE) of the estimated values are 0.3759, 0.2883, 0.6631, 0.3489, 0.4520, respectively. The spectrum of Polytetrafluoroethylene was measured using a confocal micro-Raman spectrometer and preprocessed with the algorithm proposed in this paper. The results demonstrate that the algorithm is capable of fast and accurate processing of the spectra. The algorithm can be used to reduce noise and correct baseline. This study put on a set of new ideas on spectrum signal processing.

Crosshair detection method for orbital angular momentum of vortex beams
WANG Tong, XIONG Han, WANG Hua-xin, LAI You-li
2025, 18(4): 803-810. doi: 10.37188/CO.2024-0209
Abstract:

In this paper, a method for vortex beam OAM detection using crosshair diffraction is proposed. The OAM-related main bright spot in the far-field distribution contains most of the energy of the incident beam (50%~84%) and there is no secondary bright spot that interferes with the detection. In contrast, the energy proportion of the main bright spot in the conventional small-hole diffraction method is extremely low, particularly in the far-field main bright spot above the 7th-order topological charge, which contains less than 1% of the energy of the incident beam. Furthermore, as the topological charge level increases, the secondary bright spot becomes more intrusive. Consequently, crosshair measurements are particularly applicable to the detection of weak vortex beams, which has potentially important implications for the development of long-range free-space optical communications.

Test method of solar stray light suppression ability of heliospheric imager
GAO Tian-yu, ZHANG Tian-yi, MENG Qing-yu, XIAN Jing-tian, LUO Jing, WANG Wei
2025, 18(4): 811-818. doi: 10.37188/CO.2024-0216
Abstract:

In order to quantitatively assess the solar stray light suppression capability of the heliospheric imager, a testing approach and experimental validation were investigated. In this paper, we proposed a method to test the solar stray light suppression capability of the heliospheric imager under laboratory circumstances by conducting segmented tests of the front-end baffle and the camera. This approach circumvented the issue that the structural scattering caused by the test under vacuum conditions would be overly large and influence the accuracy of the test results. The proposed method was then employed to assess the effectiveness of a heliospheric imager in suppressing solar stray light under laboratory conditions. The experimental results indicate that the PST of the front-end diaphragm of the heliosphere imager is 1.4×10−8 at WACH1 and 4.3×10−9 at WACH2. The error analysis of the test results reveal that the random error is 21.6%, and the PST resulting from the sum of system errors is 1.1×10−8 at WACH1 and 4.2×10−9 at WACH2. The test accuracy meets the requirements, demonstrating the feasibility and accuracy of the test method. The study presented in this paper offers a novel means to test the solar stray light suppression capability of heliospheric imager.

Optical transfer function measurement based on Hartmann wavefront sensor
ZHANG Huang-ke, LI Zi-fan, SHI Wen-kai, MAO Hong-min, LU Huan-jun, FAN Li-na, CAO Zhao-liang
2025, 18(4): 819-829. doi: 10.37188/CO.2025-0012
Abstract:

This study proposes a Hartmann wavefront sensor-based method for cost-effective, real-time measurement of Optical Transfer Function (OTF). First, an OTF measurement framework is established using wavefront data acquired through the Hartmann wavefront sensor. Subsequently, we design an optical configuration for OTF measurement, incorporating methodologies to determine depth of focus, characterize aberrations, and measure focal length. A dedicated calibration optical path is developed for objective lens aberration quantification, accompanied by systematic calibration procedures. Finally, an experimental setup is implemented to comprehensively assess lens performance, including Modulation Transfer Function (MTF), aberration, focal length, depth of focus, and chromatic aberration. The measurement results show that this method can achieve MTF measurement for the lens within a 0−1° field of view. The measured aberrations include astigmatism (0.114 λ), coma (0.128 λ), and spherical aberration (0.02 λ). At 0° field angle, the chromatic aberration values for red, green, and blue wavelengths are 0.047 λ, 0.055 λ, and 0.048 λ, respectively, increasing to 0.117 λ, 0.176 λ, and 0.154 λ at 1° field angle. The depth of focus is measured at 0.454 mm with a 2% error, while the focal length is determined to be 74.6 mm with a 0.8% error. These results confirm that the proposed measurement method enables accurate MTF characterization of optical lenses, providing a low-cost and real-time technical solution for the evaluation of MTF in optical systems.

Image-based angular displacement measurement system based on Manchester coding
LI Yong-jie, YU Hai, WAN Qiu-hua, LIANG Li-hui, LU Xin-ran, SUN Shu-hong
2025, 18(4): 830-838. doi: 10.37188/CO.2024-0178
Abstract:

In comparison with traditional photoelectric displacement measurement technologies, displacement measurement methods based on digital image processing exhibit superior fault tolerance and flexibility, making them a current research hotspot. To achieve high-precision and high-reliability angular displacement measurement, an image-based angular displacement measurement system based on Manchester coding was proposed. First, a single code-channel raster code disc was designed using Manchester coding based on M-sequence pseudo-random coding. A digital image sensor was then used to construct an optical path for capturing patterns on the raster code disc. Subsequently, a decoding recognition algorithm tailored to the coded patterns was developed. Additionally, edge positioning and sub-pixel subdivision algorithms for coded marker edge pattern fitting were proposed to further enhance the system’s resolution. The proposed method was then experimentally validated. The experimental results demonstrated that the system achieved a resolving power of 21 bits and an accuracy of 1.73 arcseconds with a 100 mm grating code disc. This research provides a foundation for the development of highly reliable and high-performance photoelectric angular displacement measurement technologies.

Optical system design and polarization aberration compensation based on vector diffraction
LI Ying-chao, YU Wen-chao, WANG Chao, WANG Kai-kai, LIU Jia-nan, WANG Qi, LIU Zhuang
2025, 18(4): 839-849. doi: 10.37188/CO.2025-0006
Abstract:

Aiming at the problem that the diffraction phenomenon generated in the long-wave infrared (LWIR) polarized optics system containing digital micro-mirror device (DMD) will lead to the change of the polarization aberration in the system, which will cause a decrease in the accuracy of the polarization measurement of the LWIR polarized optics system, we propose a method for analyzing and compensating for the polarization aberration of the LWIR secondary imaging optical system containing DMD. Firstly, Based on the ratio of wavelength to DMD pixel size in the LWIR polarized optics system, a diffraction and polarization aberration characteristic transmission model is constructed and a polarization aberration analysis method based on the Jones vector theory of vector diffraction-polarized light is proposed. Secondly, the polarization aberration and polarizability of DMD are deduced to determine the optimal diffraction order, incidence angle and diffraction efficiency of DMD, and then the secondary imaging LWIR polarized optics system containing DMD is designed to obtain the influence of DMD diffraction characteristics on polarization aberration. Finally, the polarization aberration of the optical system is compensated by tilting the projection objective, coating the lens and reducing the surface incidence angle, so as to solve the influence of diffraction phenomenon on the polarization aberration of the LWIR polarized optical system. Simulation results show that the full-field-of-view modulation transfer function of the system is close to the diffraction limit at the cut-off frequency, the maximum aberration is less than 0.2%, the imaging quality is good, and the two-way attenuation of the whole system is reduced to 1/12 of the original one after compensation. This analytical model can reveal the relationship between diffraction and polarization aberration, and the compensation method can effectively reduce the polarization aberration.

Design of an optical system for airborne multispectral common-aperture targeting pod
LIU Ying-qi, LU Hong-qiang, SHU Ying-en, NING Xin-chao, YANG Shao-kang, BU Zhong-hong
2025, 18(4): 850-858. doi: 10.37188/CO.2025-0011
Abstract:

An optical system suitable for a new type of airborne multispectral common-aperture targeting pod is designed by adopting a folded off-axis three mirror telescope as the common optical path component. The optical system is characterized by miniaturization, high transmittance, multispectral, long focal length, and low difficulty of installation and adjustment. The designed multispectral common-aperture optical system has an effective optical aperture of 220 mm, a near-infrared focal length of 1100 mm, a short-wave infrared focal length of 1200 mm, and a medium-wave infrared focal length of 880 mm. It can be integrated as a transmitting and receiving antenna with a laser sensor, which shares the same aperture and fast steering mirror with other imaging sensors. The system is mounted on a typical airborne spherical electro-optical pod platform with a diameter of 500 mm. The optical design analysis and results indicate that the image quality of the optical design has reached the diffraction limit. All indicators and parameters meet the technical requirements.

Optimization design method for counter-rotating prisms atmospheric dispersion corrector
JIANG Hong-mei, HU Yuan, ZOU Hui-tian, HOU Zhen-min
2025, 18(4): 859-868. doi: 10.37188/CO.2024-0204
Abstract:

The counter-rotating prisms atmospheric dispersion corrector (ADC) has been widely used for the calibration of large-aperture astronomical telescopes. To achieve an optimal design method for the counter-rotating prism ADC, effectively compensate for atmospheric dispersion, and suppress the optical axis drift introduced by the ADC, we establish a vector model for ray tracing of the counter-rotating prism ADC based on traditional atmospheric dispersion compensation theory. The vector models of dispersion compensation and optical axis drift are then derived. Using this mathematical model, the impacts of different parameters of the ADCs on the dispersion compensation effect, prism rotation angle, and optical axis drift are simulated and analyzed. The simulation results show that when compensating for the same atmospheric dispersion by using the counterrotating ADC with different material combinations and bonding types, the rotation angle of the prism group remains relatively consistent, and the differences increasing as the zenith angle increases. Choosing materials with similar refractive indices near the central wavelength reduces chromatic aberration in the ADC output light and improves dispersion compensation performance. When compensating for atmospheric dispersion at different zenith angles, the offset angle of the system's optical axis decreases as the number of bonded surfaces increases. Specifically, each additional bonded surface of the optical axis drift angle can be reduced by one order of magnitude. In practical ADC design, dispersion can be effectively compensated, and optical axis drift can be suppressed by controlling the number of bonded surfaces and material selection.

Laser compensation of optical waveguide shape defects on vertical end face
GAO Hong-hu, MA Jun-jie, ZHU Lin-wei, SHI Qiang
2025, 18(4): 869-878. doi: 10.37188/CO.2024-0220
Abstract:

To address the issue of shape defects in optical waveguides that occur due to the laser beam being obstructed by the surface of the photonic chip during the vertical end-face waveguide bridging process in photonic chips. Based on the focusing light field of high numerical aperture (NA) objective lenses, the characteristics of light intensity distribution at various x-direction offset distances of the laser focus from the vertical end-face of the photonic chip are investigated. First, we give the analytical expressions of the light field near the focus. These are in the focusing system of high NA lenses. Firstly, analytical expressions for the light field distribution near the focal point in the focusing system of a high numerical aperture (NA) objective lens are presented, along with expressions for the components of the focused light field when linearly polarized light is incident. Then, numerical simulations are conducted with the provided expressions, the focal light intensity distribution of the laser focus at different x-direction offset distances from the vertical end-face of the photonic chip is studied. The intensity variations of the focal light field when subjected to disturbances are revealed, and curves depicting the intensity changes of the focal light field are plotted. These curves align with the observed trends in the shape changes of the optical waveguide during experiments. Finally, based on the focal light intensity distribution curves, the laser power compensation coefficients curves are derived in reverse. These are then applied to the optical waveguide compensation processing experiments. It can be seen that after power compensation processing, the sections of the optical waveguide with a width less than 4 μm are successfully compensated to 4 μm. Moreover, the morphology became straighter, and the defects are effectively repaired. The results of numerical calculation simulations and experiments demonstrate that this method successfully compensates for the shape defects of optical waveguides caused by insufficient laser power, providing an effective solution for the fabrication and processing of optical waveguides in the field of photonic chip integrated coupling.

Design of visual optical system based on Varifocal zoom structure
HU Shen-bao, ZHANG Jing, ZHANG Gong, ZHANG Jun-ming, ZHANG Yan
2025, 18(4): 879-888. doi: 10.37188/CO.2024-0176
Abstract:

Most of the current visual training products available on the market use electronic screens to display objects of varying dimensions and distances, thereby stimulating the ciliary muscle through looking at the screen for visual function training. However, this method involves blue light radiation, which poses a potential hazard to the human eye. To address this issue, a visual optical system based on a Varifocal zoom structure has been designed. The system achieves continuous magnification of optical power by manipulating the lateral movement of two sets of lenses perpendicular to the optical axis. This simulates changes in object distance and stimulating ciliary muscle regulation training. This paper first derives the surface shape limits of variable focal length lenses, incorporates the variable focal length spherical effect equation to optimize the basic surface shape of Alvarez lenses, and uses Zemax software for design. The designed lens surface is characterized by a third-order XY polynomial free-form surface, with a maximum relative vertical axis offset of 5.6 mm between the two groups of lenses, achieving continuous magnification of refractive power between +4D and −8D. The design results indicate that the full-field modulation transfer function exceeds 0.3 at a Nyquist frequency of 30 lp/mm, with root mean square (RMS) radius values approaching the Airy spot radius value and distortion below 2%. The imaging quality of this optical system is satisfactory.

Flatness detection method of splicing detector based on channel spectral dispersion
ZHAO Hong-chao, ZHANG Xiao-qian, AN Qi-chang
2025, 18(4): 889-898. doi: 10.37188/CO.EN-2024-0026
Abstract:

For segmented detectors, surface flatness is critical as it directly influences both energy resolution and image clarity. Additionally, the limited adjustment range of the segmented detectors necessitates precise benchmark construction. This paper proposes an architecture for detecting detector flatness based on channel spectral dispersion. By measuring the dispersion fringes for coplanar adjustment, the final adjustment residual is improved to better than 300 nm. This result validates the feasibility of the proposed technology and provides significant technical support for the development of next-generation large-aperture sky survey equipment.

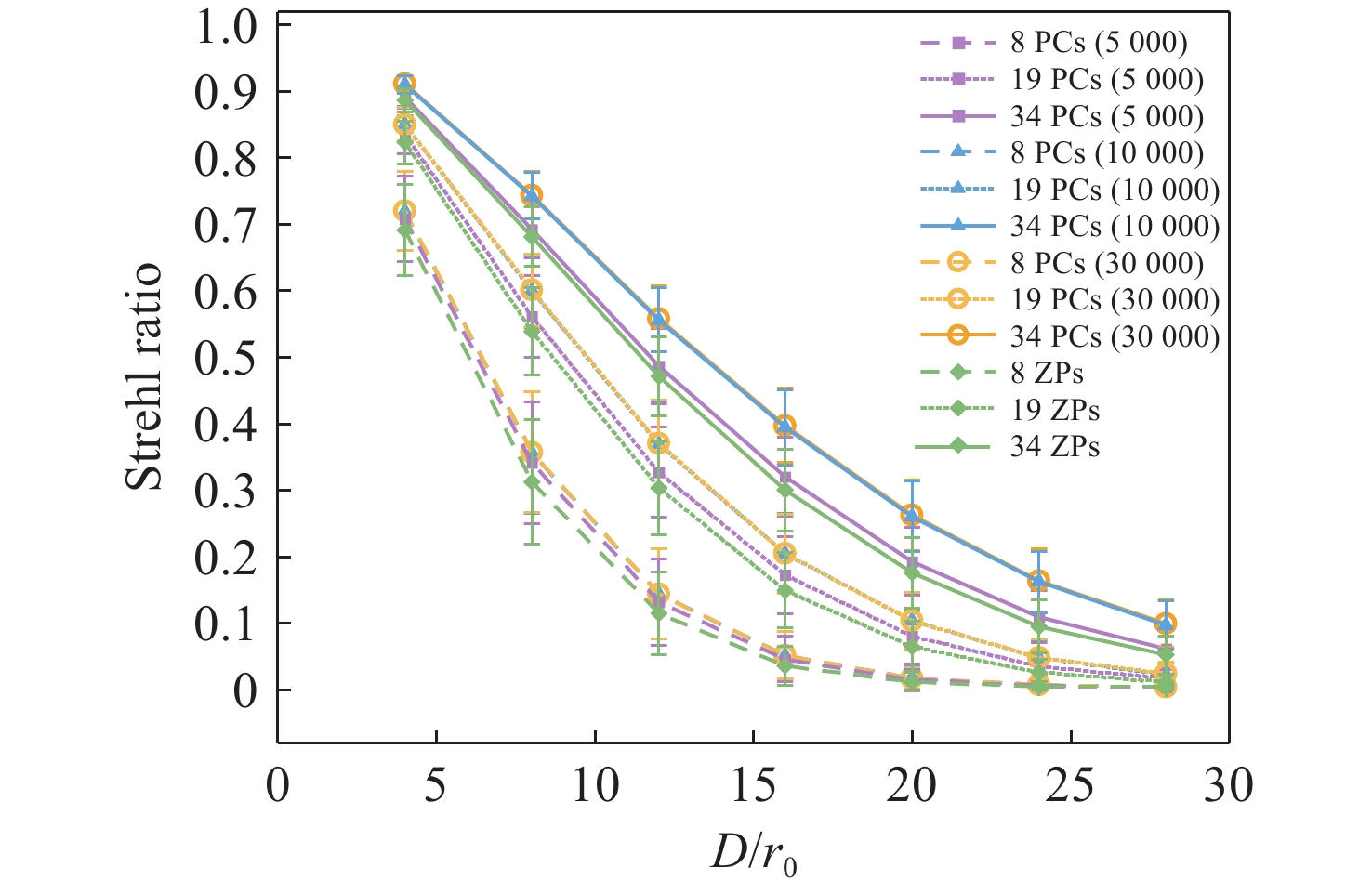
Influencing factor of the characterization and restoration of phase aberrations resulting from atmospheric turbulence based on Principal Component Analysis
WANG Jiang-pu-zhen, WANG Zhi-qiang, ZHANG Jing-hui, QIAO Chun-hong, FAN Cheng-yu
2025, 18(4): 899-907. doi: 10.37188/CO.EN-2024-0035
Abstract:

Restoration of phase aberrations is crucial for addressing atmospheric turbulence in light propagation. Traditional restoration algorithms based on Zernike polynomials (ZPs) often encounter challenges related to high computational complexity and insufficient capture of high-frequency phase aberration components, so we proposed a Principal-Component-Analysis-based method for representing phase aberrations. This paper discusses the factors influencing the accuracy of restoration, mainly including the sample space size and the sampling interval of D/r0, on the basis of characterizing phase aberrations by Principal Components (PCs). The experimental results show that a larger D/r0 sampling interval can ensure the generalization ability and robustness of the principal components in the case of a limited amount of original data, which can help to achieve high-precision deployment of the model in practical applications quickly. In the environment with relatively strong turbulence in the test set of D/r0 = 24, the use of 34 terms of PCs can improve the corrected Strehl ratio (SR) from 0.007 to 0.1585, while the Strehl ratio of the light spot after restoration using 34 terms of ZPs is only 0.0215, demonstrating almost no correction effect. The results indicate that PCs can serve as a better alternative in representing and restoring the characteristics of atmospheric turbulence induced phase aberrations. These findings pave the way to use PCs of phase aberrations with fewer terms than traditional ZPs to achieve data dimensionality reduction, and offer a reference to accelerate and stabilize the model and deep learning based adaptive optics correction.

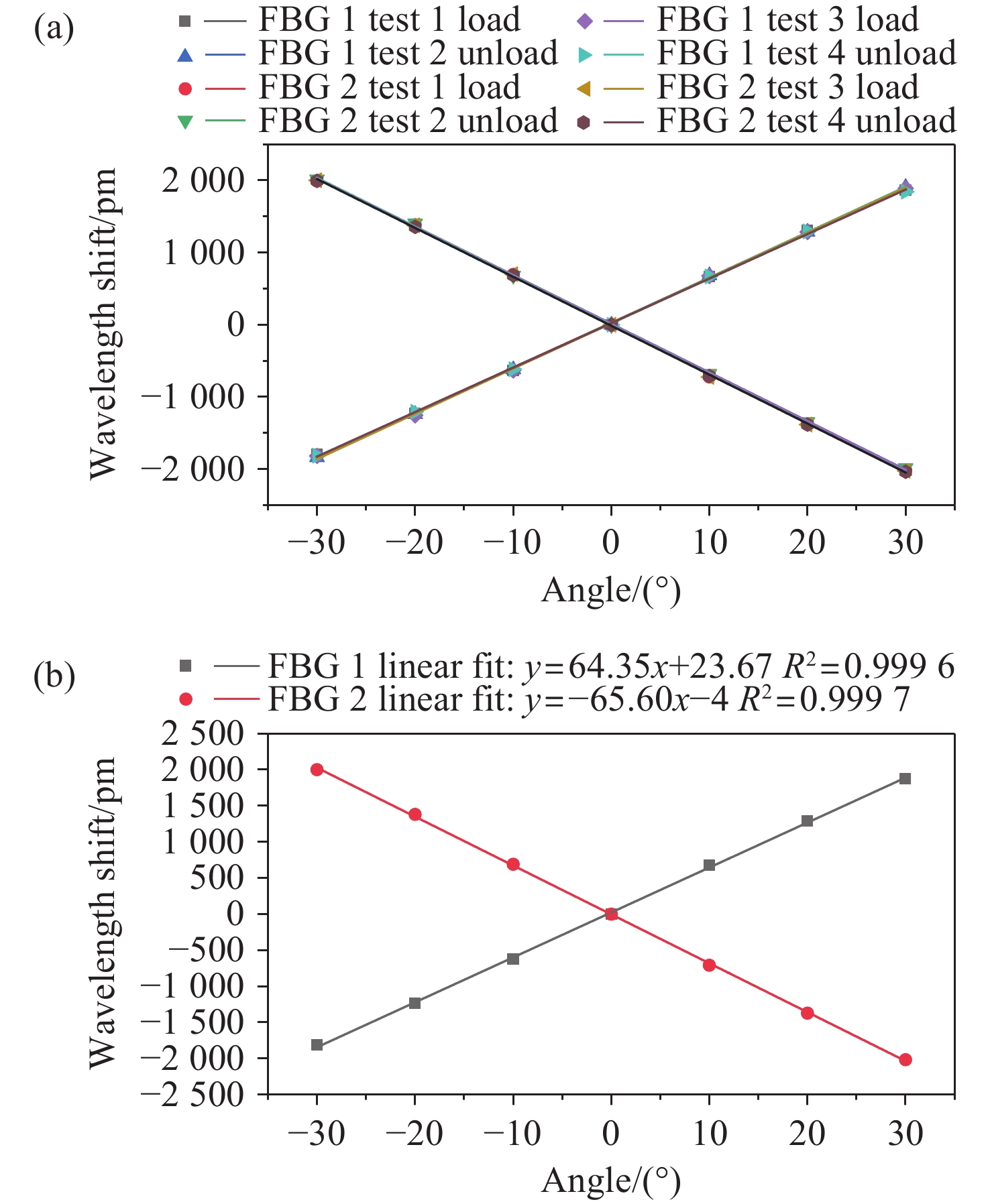
Design optimization of a sensitivity-enhanced tilt sensor based on femtosecond fiber bragg grating
Nutsuglo Theophilus, GUO Yong-xing, ZHOU Wan-huan, YU Hai-sheng, REN Ru-hua, SHEN Shun-an
2025, 18(4): 908-920. doi: 10.37188/CO.EN-2024-0034
Abstract:

Aiming at the requirement for high-precision tilt monitoring in the field of structural health monitoring (SHM), this paper proposes a sensitivity-enhanced tilt sensor based on a femtosecond fiber Bragg grating (FBG). Firstly, structural design of the tilt sensor was conducted based on static mechanics principles. By positioning the FBG away from the beam’s neutral axis, linear strain enhancement in the FBG was achieved, thereby improving sensor sensitivity. The relationship between FBG strain, applied force, and the offset distance from the neutral axis was established, determining the optimal distance corresponding to maximum strain. Based on this optimization scheme, a prototype of the tilt sensor was designed, fabricated, and experimentally tested. Experimental results show that the FBG offset distance yielding maximum sensitivity is 4.4 mm. Within a tilt angle range of −30° to 30°, the sensor achieved a sensitivity of 129.95 pm/° and a linearity of 0.9997. Compared to conventional FBG-based tilt sensors, both sensitivity and linearity were significantly improved. Furthermore, the sensor demonstrated excellent repeatability (error < 0.94%), creep resistance (error < 0.30%), and temperature stability (error < 0.90%). These results demonstrate the sensor’s excellent potential for SHM applications. The sensor has been successfully deployed in an underground pipeline project, conducting long-term monitoring of tilt and deformation in the steel support structures, further proving its value for engineering safety monitoring.

Arbitrary azimuthal optical field manipulation by dual-spiral arrays
MA Li, WANG Ying, LI Min, ZHANG Ying, ZHAO Bo
2025, 18(4): 921-930. doi: 10.37188/CO.EN-2025-0007
Abstract:

Optical field manipulation, an emerging frontier in photonics, demonstrates significant potential in biomedical microscopy, quantum state engineering, and micro-nano fabrication. To address the critical limitations of current optical modulation technologies in achieving full-parameter precision control, we proposed a novel approach for dynamic azimuthal optical field modulation based on dual-spiral arrays. By designing spatially interleaved spiral structures with different initial radii while maintaining identical periodic parameters, we achieved continuous optical modulation spanning the full 0–2π range in azimuthal field distribution. Through rigorous numerical simulations, we systematically established a quantitative correlation between the structural parameters and azimuthal optical field patterns, revealing, for the first time, a quasi-linear relationship between the radius difference and the resultant optical distribution. This theoretical framework advances our fundamental understanding of structured optical field manipulation as well as provides a new paradigm for programmable photonic device design, with distinct technical advantages in super-resolution imaging and optical tweezer systems.

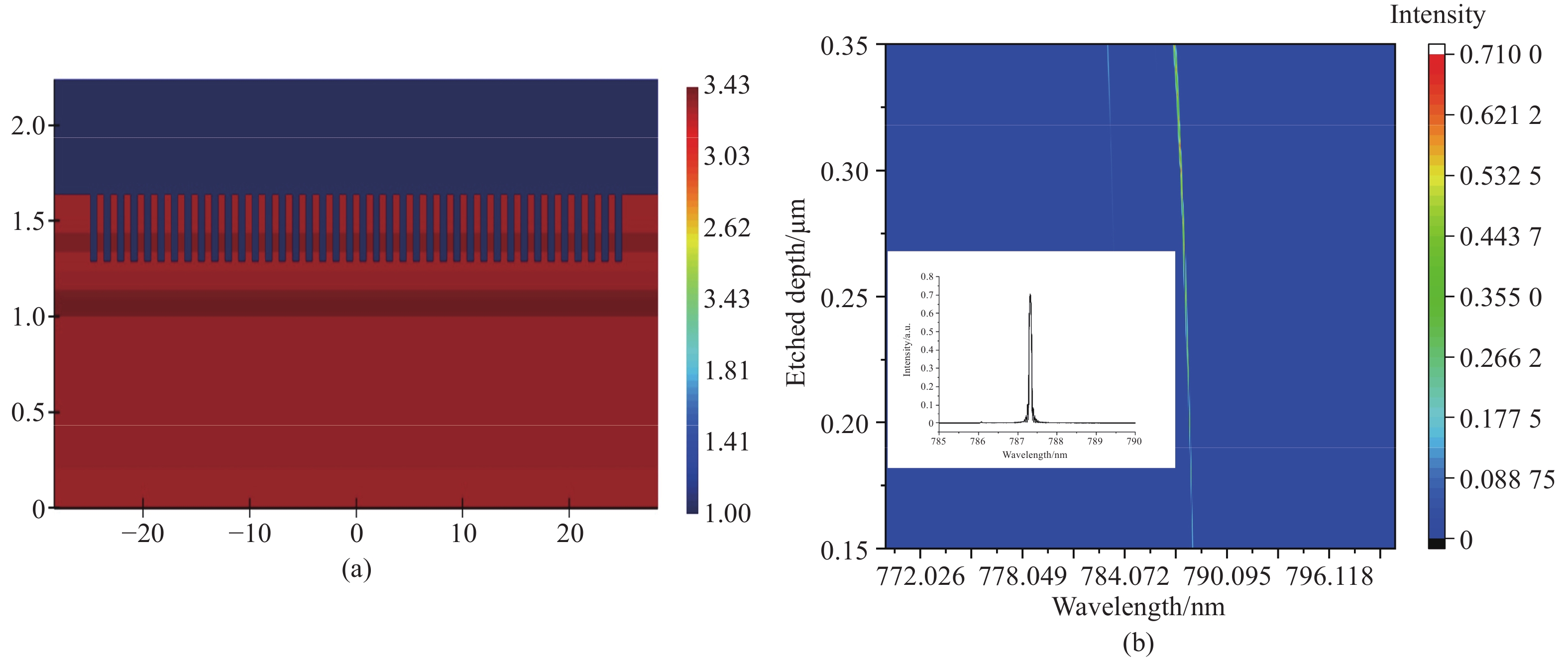
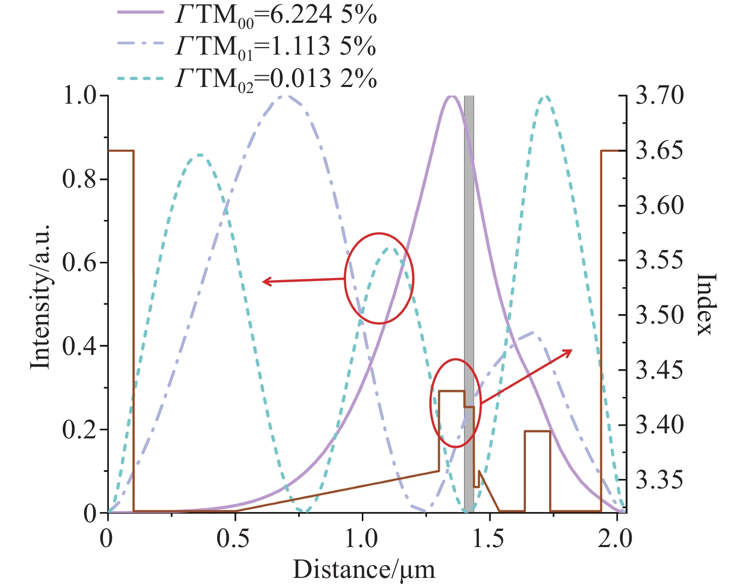
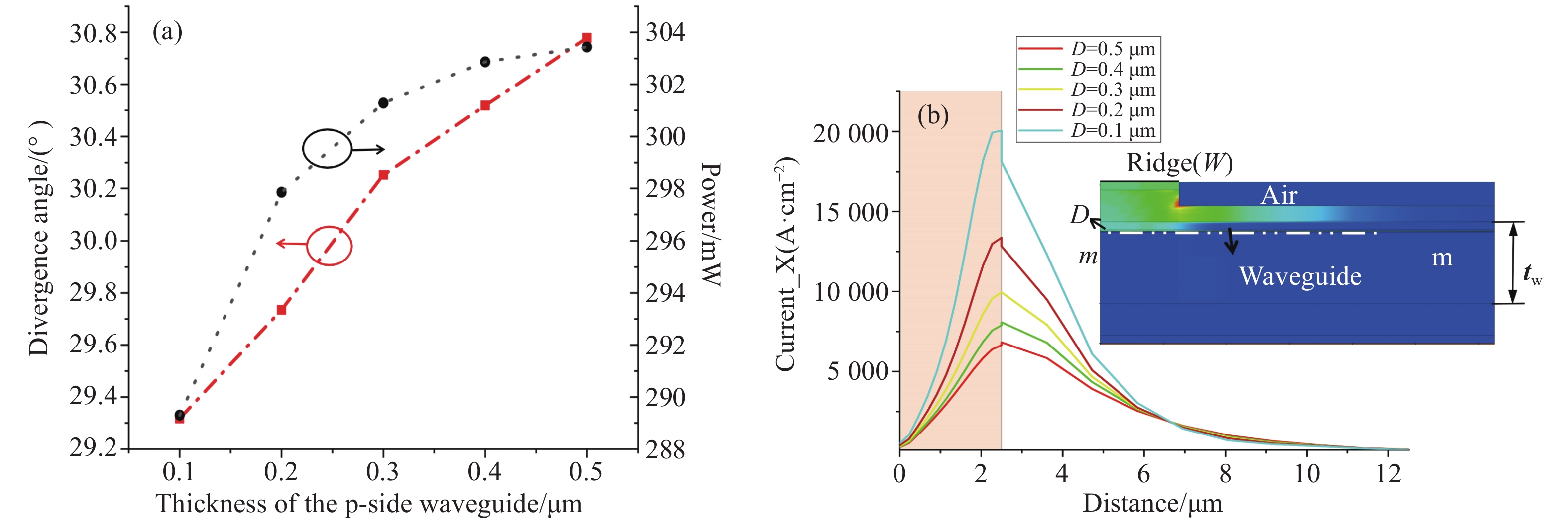
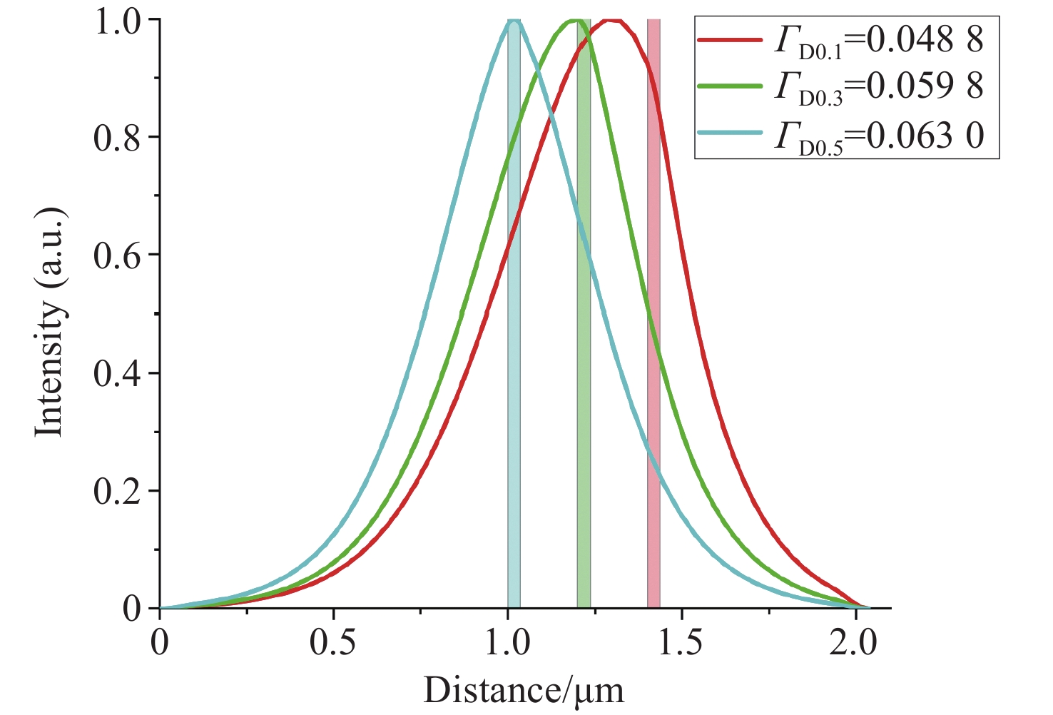
785 nm semiconductor laser with shallow etched gratings
YUE Yu-xin, ZOU Yong-gang, FAN Jie, FU Xi-yao, ZHANG Nai-yu, SONG Ying-min, HUANG Zhuo-er, MA Xiao-hui
2025, 18(4): 931-946. doi: 10.37188/CO.EN-2024-0019
Abstract:

A new type of 785 nm semiconductor laser device has been proposed. The thin cladding and mode expansion layer structure incorporated into the epitaxy on the p-side significantly impacts the regulation of grating etching depth. Thinning of the p-side waveguide layer makes the light field bias to the n-side cladding layer. By coordinating the confinement effect of the cladding layer, the light confinement factor on the p-side is regulated. On the other hand, the introduction of a mode expansion layer facilitates the expansion of the mode profile on the p side cladding layer. Both these factors contribute positively to reducing the grating etching depth. Compared to the reported epitaxial structures of symmetric waveguides, the new structure significantly reduces the etching depth of the grating while ensuring adequate reflection intensity and maintaining resonance. Moreover, to improve the output performance of the device, the new epitaxial structure has been optimized. Based on the traditional epitaxial structure, an energy release layer and an electron blocking layer are added to improve the electronic recombination efficiency. This improved structure has an output performance comparable to that of a symmetric waveguide, despite being able to have a smaller gain area.

Electromagnetic Bloch-like oscillations in Fibonacci metamaterial waveguide arrays
LI Zhao-hong, HAN De-zhuan
2025, 18(4): 947-953. doi: 10.37188/CO.EN-2024-0033
Abstract:

This paper investigates optical transport in metamaterial waveguide arrays (MMWAs) exhibiting Bloch-like oscillations (BLOs). The MMWAs is fabricated by laterally combining metal and dielectric layers in a Fibonacci sequence. By mapping the field distribution of Gaussian wave packets in these arrays, we directly visualize the mechanical evolution in a classical wave environment. Three distinct oscillation modes are observed at different incident positions in the ninth-generation Fibonacci structure, without introducing thickness or refractive index gradient in any layer. Additionally, the propagation period of BLOs increases with a redshift of the incident wavelength for both ninth- and tenth-generation Fibonacci MMWAs. These findings provide a valuable method for manipulating BLOs and offer new insights into optical transport in metamaterials, with potential applications in optical device and wave control technologies.

Evaluation of restoration effects for city walls based on terahertz-infrared integrated technology
MENG Tian-hua, ZHAO Guo-zhong, XU Shi-xiang, ZHANG Hai-jiao, LI Bang-quan, HU Wei-dong
2025, 18(4): 954-967. doi: 10.37188/CO.EN-2025-0016
Abstract:

To scientifically evaluate the restoration performance of ancient city walls, Terahertz time-domain spectroscopy (THz-TDS) and infrared thermal imaging technology were applied to assess the Desheng Fortress (Ming Dynasty). Three representative sections were examined: adobe brick masonry repaired (Area 1), well-preserved original (Area 2), and layer-by-layer ramming repaired (Area 3). THz spectral data revealed significant differences between Area 1 (time delay: 3.72 ps; refractive index: 2.224) and Area 2 (time delay: 3.02 ps; refractive index: 2.107), while Area 3 (time delay: 3.12 ps; refractive index: 2.098) demonstrated nearly identical THz spectral data to Area 2. Infrared thermal imaging also showed that the Area 3 restored by layer-by-layer ramming exhibited greater uniformity with fewer instances of cracks, capillary phenomena, or biological diseases. The proposed point-surface integrated evaluation methodology synergistically combines infrared thermography mapping of heritage surfaces with THz spectral datasets acquired through in-situ micro-sampling, enabling quantitative restoration assessment and providing a novel approach for scientifically validating traditional conservation techniques.

Tunable reflective spin-decoupled encoding metasurface based on Dirac semimetals
HAO Xiao-yu, ZHENG Si-yu, WANG Yu, LIU Yang, LIU Meng, ZHANG Yu-ping, ZHANG Jin-juan, ZHAN Yi, ZHANG Hui-yun
2025, 18(4): 968-978. doi: 10.37188/CO.EN-2024-0037
Abstract:

Multiple functional metasurfaces with high information capacity have attracted considerable attention from researchers. This study proposes a 2-bit tunable spin-decoupled coded metasurface designed for the terahertz band, which utilizes the tunable properties of Dirac semimetals (DSM) to create a novel multilayer structure. By incorporating both geometric and propagating phases into the metasurface design, we can effectively control the electromagnetic wave. When the Fermi level (EF) of the DSM is set at 6 meV, the electromagnetic wave is manipulated by the gold patch embedded in the DSM film, operating at a frequency of 1.3 THz. When the EF of the DSM is set at 80 meV, the electromagnetic wave is manipulated by the DSM patch, operating at a frequency of 1.4 THz. Both modes enable independent control of beam splitting under left-rotating circularly polarized (LCP) and right-rotating circularly polarized (RCP) wave excitation, resulting in the generation of vortex beams with distinct orbital angular momentum (OAM) modes. The findings of this study hold significant potential for enhancing information capacity and polarization multiplexing techniques in wireless communications.

Baidu
map