2020 Vol. 13, No. 1
2020, 13(1): 1-13.
doi: 10.3788/CO.20201301.0001
Abstract:
In order to improve the responsivity and reduce the noise equivalent power of Field-Effect Transistor (FET) THz detectors, a suitable planar antenna structure is necessary.In this paper, we investigate the research progress of FET THz detectors integrated with planar antenna structures. Firstly, we analyze the working principle of FET THz detectors and clarify that an integrated planar antenna could effectively improve the detector's performance by enhancing its coupling efficiency with terahertz waves. Secondly, we present some typical planar antennas and discuss their pros and cons. These include the dipole antenna, the patch antenna, the slot antenna, the grating-gate, and others, which are each compared with respect to responsivity for the detectors. Finally, we find that the responsivity of the FET THz detectors can be greatly improved when applying planar antenna structure and that each type of antennas contributes uniquely. This work introduces several planar antennas integrated into FET THz detectors, including the performance and research progress of various antennas.Some existing problems are described and some predictions of the future development trends for this technology are summarized.
In order to improve the responsivity and reduce the noise equivalent power of Field-Effect Transistor (FET) THz detectors, a suitable planar antenna structure is necessary.In this paper, we investigate the research progress of FET THz detectors integrated with planar antenna structures. Firstly, we analyze the working principle of FET THz detectors and clarify that an integrated planar antenna could effectively improve the detector's performance by enhancing its coupling efficiency with terahertz waves. Secondly, we present some typical planar antennas and discuss their pros and cons. These include the dipole antenna, the patch antenna, the slot antenna, the grating-gate, and others, which are each compared with respect to responsivity for the detectors. Finally, we find that the responsivity of the FET THz detectors can be greatly improved when applying planar antenna structure and that each type of antennas contributes uniquely. This work introduces several planar antennas integrated into FET THz detectors, including the performance and research progress of various antennas.Some existing problems are described and some predictions of the future development trends for this technology are summarized.
2020, 13(1): 14-27.
doi: 10.3788/CO.20201301.0014
Abstract:
Quantum dots (QDs) have received widespread attention because of their adjustable emitted wavelength of light, color purity and high quantum efficiency, which have great potential in applications requiring high-color-quality displays with photoluminescence. In this paper, the progress of QD backlights based on each QDs on-chip, QDs on-surface and QDs on-edge are reviewed, including their principle, structures and current applications. Then, several other novel QD backlight structures are also introduced, prompting a proposal for two novel QD backlight technologies. One is the QDs scattering diffusion plate, which is prepared by injecting molding with a mixture of QDs and polymer at a low temperature. The other is a QD microstructure light guide plate, which is fabricated by transferring QDs on the surface of a light guide plate through screen printing or inkjet printing. Both of these two QD plates can achieve high color gamut while being simple to process, being low in cost and holding high production efficiency. These have wide applications in high color gamut liquid crystal displays.
Quantum dots (QDs) have received widespread attention because of their adjustable emitted wavelength of light, color purity and high quantum efficiency, which have great potential in applications requiring high-color-quality displays with photoluminescence. In this paper, the progress of QD backlights based on each QDs on-chip, QDs on-surface and QDs on-edge are reviewed, including their principle, structures and current applications. Then, several other novel QD backlight structures are also introduced, prompting a proposal for two novel QD backlight technologies. One is the QDs scattering diffusion plate, which is prepared by injecting molding with a mixture of QDs and polymer at a low temperature. The other is a QD microstructure light guide plate, which is fabricated by transferring QDs on the surface of a light guide plate through screen printing or inkjet printing. Both of these two QD plates can achieve high color gamut while being simple to process, being low in cost and holding high production efficiency. These have wide applications in high color gamut liquid crystal displays.
2020, 13(1): 28-42.
doi: 10.3788/CO.20201301.0028
Abstract:
The semiconductor industry is the backbone of the high-tech and information age. Lithography technology, one of the core technology of the semiconductor industry, has become a key research subject all around the world. This article mainly discusses the light source of 13.5 nm Extreme Ultraviolet Lithography (EUVL) by using Laser-Produced Plasma (LPP). It makes a brief introduction to the principles behind this technology and the development history of this field at home and abroad. The introductions include the materials used in the multilayer mirror, and rationale for the selection of materials, the shape and design of the target and the type of laser. At the same time, this article points out that the main problems for the EUVL are light debris reduction and the conversion efficiency improvement of EUV light.This paper also gives special analysis of the light source output devices of 13.5 nm EUVL machines produced by international famous companies——Gigaphoton of Japan and ASML of the Netherlands, which can generate more than 100 W level EUV power. Finally, this article summarizes and forecasts future research related to this technology.
The semiconductor industry is the backbone of the high-tech and information age. Lithography technology, one of the core technology of the semiconductor industry, has become a key research subject all around the world. This article mainly discusses the light source of 13.5 nm Extreme Ultraviolet Lithography (EUVL) by using Laser-Produced Plasma (LPP). It makes a brief introduction to the principles behind this technology and the development history of this field at home and abroad. The introductions include the materials used in the multilayer mirror, and rationale for the selection of materials, the shape and design of the target and the type of laser. At the same time, this article points out that the main problems for the EUVL are light debris reduction and the conversion efficiency improvement of EUV light.This paper also gives special analysis of the light source output devices of 13.5 nm EUVL machines produced by international famous companies——Gigaphoton of Japan and ASML of the Netherlands, which can generate more than 100 W level EUV power. Finally, this article summarizes and forecasts future research related to this technology.
2020, 13(1): 43-61.
doi: 10.3788/CO.20201301.0043
Abstract:
Emerging optical devices demand miniaturized, integrated and intelligent optical zoom systems, thus stimulating development in nano-optoelectronics. Metalenses are two-dimensional planar structures with lens function composed of arrays arranged specifically to equally focus wavelengths of light. Due to their ultrathin and lightweight properties and their ease of integration, it is expected that they will revolutionize optics by replacing the conventional bulky, curved lenses used that pervade optical devices. However, once the micro/nano-structures of a metalens are fabricated, their shape and size cannot be modified, which can not realize the real-time adjustment of focusing and will limit the further development of metalenses' functions and applications. Currently, substantial effort is being devoted to solving this problem. One of the most attractive aspects of metalenses is in the way they combine metasurface lenses with smart materials. In this article, we first provide an overview of novel tunable metalenses. Then, we elaborate and analyze their regulatory principles and device performance, respectively. Finally, we summarize the current problems and difficulties facing the development of tunable metalenses and describe the direction of their future development.
Emerging optical devices demand miniaturized, integrated and intelligent optical zoom systems, thus stimulating development in nano-optoelectronics. Metalenses are two-dimensional planar structures with lens function composed of arrays arranged specifically to equally focus wavelengths of light. Due to their ultrathin and lightweight properties and their ease of integration, it is expected that they will revolutionize optics by replacing the conventional bulky, curved lenses used that pervade optical devices. However, once the micro/nano-structures of a metalens are fabricated, their shape and size cannot be modified, which can not realize the real-time adjustment of focusing and will limit the further development of metalenses' functions and applications. Currently, substantial effort is being devoted to solving this problem. One of the most attractive aspects of metalenses is in the way they combine metasurface lenses with smart materials. In this article, we first provide an overview of novel tunable metalenses. Then, we elaborate and analyze their regulatory principles and device performance, respectively. Finally, we summarize the current problems and difficulties facing the development of tunable metalenses and describe the direction of their future development.
2020, 13(1): 62-74.
doi: 10.3788/CO.20201301.0062
Abstract:
Silicon-based photodetectors have been widely investigated due to their high reliability, easy integration and low cost. With the development of artificial intelligence and autonomous vehicles, research and performance enhancement of silicon-based photodetectors is an important field of research. Quantum dots are excellent light-conversion and light-modulation materials due to their superior absorption coefficient, tunable spectra, high photoluminescence quantum yield and simple integration. The tunable light absorption and phototuminesence properties of quantum dots make them suitable materials for enhancing the detection. Quantum dots enhanced silicon-based photodetectors are emerging as a new technique to advance the performance of detection and imaging. In particular, they show potential to expand the functionality of CCD and CMOS devices and further satisfy increasing demands for detection. In this review, we summarized the progress of quantum dot-enhanced silicon-based photodetectors in the field of ultraviolet detection, infrared imaging, polarization detection and spectral detection, hoping to attract the attentions of domestic colleagues.
Silicon-based photodetectors have been widely investigated due to their high reliability, easy integration and low cost. With the development of artificial intelligence and autonomous vehicles, research and performance enhancement of silicon-based photodetectors is an important field of research. Quantum dots are excellent light-conversion and light-modulation materials due to their superior absorption coefficient, tunable spectra, high photoluminescence quantum yield and simple integration. The tunable light absorption and phototuminesence properties of quantum dots make them suitable materials for enhancing the detection. Quantum dots enhanced silicon-based photodetectors are emerging as a new technique to advance the performance of detection and imaging. In particular, they show potential to expand the functionality of CCD and CMOS devices and further satisfy increasing demands for detection. In this review, we summarized the progress of quantum dot-enhanced silicon-based photodetectors in the field of ultraviolet detection, infrared imaging, polarization detection and spectral detection, hoping to attract the attentions of domestic colleagues.
2020, 13(1): 75-86.
doi: 10.3788/CO.20201301.0075
Abstract:
With the rapid development of optical measurement and remote sensing, the demand for weight, volume and environmental adaptability in folding optical systems are continuously increasing. Metal mirrors based on additive manufacturing technology are gradually gaining the attention and research of scholars at home and abroad for their easy to realize optimum design, rapid manufacturing process and high processing performance. Compared to conventional metal mirrors, additively manufacturing metal mirrors strengthen the stiffness of the mirror and achieve a higher degree of weight reduction simultaneously. Furthermore, additively manufacturing mirrors can meet the environmental adaptability and rapidity requirements of optical systems. This paper first discusses the evaluation indicators of metal mirrors. Second, the development status and technical parameters of metal mirrors based on additive manufacturing technology are reviewed. The design and preparation of metal mirrors for additive metal fabrication and the post-treatment of substrates are discussed. Then, through analysis, the preparation process and key technologies of additively manufacturing metal mirrors are summarized. Finally, prospects for additively manufacturing mirror applications are presented.
With the rapid development of optical measurement and remote sensing, the demand for weight, volume and environmental adaptability in folding optical systems are continuously increasing. Metal mirrors based on additive manufacturing technology are gradually gaining the attention and research of scholars at home and abroad for their easy to realize optimum design, rapid manufacturing process and high processing performance. Compared to conventional metal mirrors, additively manufacturing metal mirrors strengthen the stiffness of the mirror and achieve a higher degree of weight reduction simultaneously. Furthermore, additively manufacturing mirrors can meet the environmental adaptability and rapidity requirements of optical systems. This paper first discusses the evaluation indicators of metal mirrors. Second, the development status and technical parameters of metal mirrors based on additive manufacturing technology are reviewed. The design and preparation of metal mirrors for additive metal fabrication and the post-treatment of substrates are discussed. Then, through analysis, the preparation process and key technologies of additively manufacturing metal mirrors are summarized. Finally, prospects for additively manufacturing mirror applications are presented.
2020, 13(1): 87-94.
doi: 10.3788/CO.20201301.0087
Abstract:
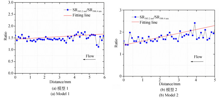
An expansion tube facility was operated using two half-cylinder models with width of 45 mm and 90 mm respectively for producing high-enthalpy flows at the nominal velocity of 8 km/s relevant to Earth reentry. Spatially resolved emission spectroscopy in the wavelength range from 250 nm to 550 nm behind a shock wave was recorded by a spectrometer with ICCD camera. Shock wave stagnation streamline was observed along the flow direction. It is found that the spectrum are dominated by the CN(B-X) violet band. A halogen tungsten lamp was used to realize calibration and the absolute radiation luminance of the shock layer was obtained. By comparing the model widths normalized by two kinds of model radiances, it can be found that there is a strong self-absorption of high temperature gas radiation around the flow fluid. In addition, three-dimensional effect was observed. It can be found that the ratio between spectral radiance at 385.2 nm in the CN(B-X) violet 3-3 band and spectral radiance at 388.4 nm in the CN(B-X) violet 0-0 band is decreasing along the distance toward the model edge. The results illuminated that dynamical non-equilibrium features exists in the shock layer along the distance of the model edge.
An expansion tube facility was operated using two half-cylinder models with width of 45 mm and 90 mm respectively for producing high-enthalpy flows at the nominal velocity of 8 km/s relevant to Earth reentry. Spatially resolved emission spectroscopy in the wavelength range from 250 nm to 550 nm behind a shock wave was recorded by a spectrometer with ICCD camera. Shock wave stagnation streamline was observed along the flow direction. It is found that the spectrum are dominated by the CN(B-X) violet band. A halogen tungsten lamp was used to realize calibration and the absolute radiation luminance of the shock layer was obtained. By comparing the model widths normalized by two kinds of model radiances, it can be found that there is a strong self-absorption of high temperature gas radiation around the flow fluid. In addition, three-dimensional effect was observed. It can be found that the ratio between spectral radiance at 385.2 nm in the CN(B-X) violet 3-3 band and spectral radiance at 388.4 nm in the CN(B-X) violet 0-0 band is decreasing along the distance toward the model edge. The results illuminated that dynamical non-equilibrium features exists in the shock layer along the distance of the model edge.
2020, 13(1): 95-105.
doi: 10.3788/CO.20201301.0095
Abstract:
A method of image motion compensation based on Fast Steering Mirrors (FSM) is proposed to solve the problem of image motion in aeronautical imaging. Firstly, the necessity of image motion compensation is proven by calculating the image motion velocity of the aeronautical camera in exposure time. Then, a model reference adaptive controller is designed to solve uncertainties in the servo model of an FSM. The experimental results indicate that the stable time of step response is reduced by more than 50% comparing with traditional methods. The stability accuracy of the FSM can reach 10 μrad even under vibration condition, which means the accuracy of this method is 10 times better than that of traditional methods. A final image motion compensation imaging experiment proves that our image motion compensation scheme based on an FSM has high value in engineering applications.
A method of image motion compensation based on Fast Steering Mirrors (FSM) is proposed to solve the problem of image motion in aeronautical imaging. Firstly, the necessity of image motion compensation is proven by calculating the image motion velocity of the aeronautical camera in exposure time. Then, a model reference adaptive controller is designed to solve uncertainties in the servo model of an FSM. The experimental results indicate that the stable time of step response is reduced by more than 50% comparing with traditional methods. The stability accuracy of the FSM can reach 10 μrad even under vibration condition, which means the accuracy of this method is 10 times better than that of traditional methods. A final image motion compensation imaging experiment proves that our image motion compensation scheme based on an FSM has high value in engineering applications.
2020, 13(1): 106-120.
doi: 10.3788/CO.20201301.0106
Abstract:
Aiming at the problem of aberration affecting the super-resolution in large-aperture optical systems, the influence of Zernike wavefront aberrations on the performance of telescope super-resolution imaging systems and super-resolution local field of views are studied. A four-zone phase pupil filter is designed. Defocusing, astigmatism, coma and spherical aberrations are added to the exit pupil of an ideal optical system to gradually increase the amplitude. The tolerance of super-resolution imaging performance and local field of views to different types of aberrations are studied by changing the intensity distribution of the focal plane under different kinds and amplitudes of wavefront aberration. The results show that defocusing can inhibit super-resolution sidelobe energy and increase the super-resolution ratio, but has a greater impact on the local field of view; spherical aberration can inhibit super-resolution sidelobe energy and increase the local field of view; astigmatism and coma can significantly reduce the circular symmetry of the spot, and astigmatism has a more significant impact on the local field of view; and when appropriate defocusing and spherical aberration are added, the super-resolution sidelobe energy decreases and the super-resolution ratio is improved without affecting the local field of view.Based on this, a large aperture optical system with F/10 and focal length of 12 m is designed. By optimizing spherical aberration and reasonably defocusing residual, the super-resolution ratio is increased from 1.21 times to 1.31 times, the maximum sidelobe peak value is reduced from 0.33 to 0.30, and the local field of view becomes 38.28 μm.
Aiming at the problem of aberration affecting the super-resolution in large-aperture optical systems, the influence of Zernike wavefront aberrations on the performance of telescope super-resolution imaging systems and super-resolution local field of views are studied. A four-zone phase pupil filter is designed. Defocusing, astigmatism, coma and spherical aberrations are added to the exit pupil of an ideal optical system to gradually increase the amplitude. The tolerance of super-resolution imaging performance and local field of views to different types of aberrations are studied by changing the intensity distribution of the focal plane under different kinds and amplitudes of wavefront aberration. The results show that defocusing can inhibit super-resolution sidelobe energy and increase the super-resolution ratio, but has a greater impact on the local field of view; spherical aberration can inhibit super-resolution sidelobe energy and increase the local field of view; astigmatism and coma can significantly reduce the circular symmetry of the spot, and astigmatism has a more significant impact on the local field of view; and when appropriate defocusing and spherical aberration are added, the super-resolution sidelobe energy decreases and the super-resolution ratio is improved without affecting the local field of view.Based on this, a large aperture optical system with F/10 and focal length of 12 m is designed. By optimizing spherical aberration and reasonably defocusing residual, the super-resolution ratio is increased from 1.21 times to 1.31 times, the maximum sidelobe peak value is reduced from 0.33 to 0.30, and the local field of view becomes 38.28 μm.
2020, 13(1): 121-130.
doi: 10.3788/CO.20201301.0121
Abstract:
In nano-photonics, the enhancement of the intensity of directional luminescence in fluorescent substances is a key issue for many applications. In order to optimize the fluorescence enhancement capability of dielectric nano-antennas, a dielectric hybrid nano-antenna composed of a silicon nanosphere dimer and a TiO2 microsphere is proposed. Quantum yield enhancement, fluorescence collection efficiency enhancement and fluorescence excitation rate enhancement are all studied using the finite difference time domain method to illustrate the fluorescence enhancement effect of the dielectric sphere hybrid nano-antenna. The results show that the hybrid nano-antenna can not only solve the problem with low quantum yield using the single TiO2 microsphere, but can also compensate for low fluorescence collection efficiency using only the silicon nanosphere dimer. Due to the advantages possessed by both silicon nanosphere dimers and TiO2 microspheres in fluorescence enhancement, the quantum yield and fluorescence collection efficiency of this hybrid nano-antenna are enhanced by about 4 and 2 times, respectively. Moreover, due to the further enhancement effect on the fluorescence excitation process with the silicon nanosphere dimer and the TiO2 microsphere, a higher fluorescence directional enhancement factor can be achieved. When the emission wavelength is at a quantum dot central wavelength of 523 nm, the fluorescence directional enhancement can be up to 3 064 times than that of original fluorescence.
In nano-photonics, the enhancement of the intensity of directional luminescence in fluorescent substances is a key issue for many applications. In order to optimize the fluorescence enhancement capability of dielectric nano-antennas, a dielectric hybrid nano-antenna composed of a silicon nanosphere dimer and a TiO2 microsphere is proposed. Quantum yield enhancement, fluorescence collection efficiency enhancement and fluorescence excitation rate enhancement are all studied using the finite difference time domain method to illustrate the fluorescence enhancement effect of the dielectric sphere hybrid nano-antenna. The results show that the hybrid nano-antenna can not only solve the problem with low quantum yield using the single TiO2 microsphere, but can also compensate for low fluorescence collection efficiency using only the silicon nanosphere dimer. Due to the advantages possessed by both silicon nanosphere dimers and TiO2 microspheres in fluorescence enhancement, the quantum yield and fluorescence collection efficiency of this hybrid nano-antenna are enhanced by about 4 and 2 times, respectively. Moreover, due to the further enhancement effect on the fluorescence excitation process with the silicon nanosphere dimer and the TiO2 microsphere, a higher fluorescence directional enhancement factor can be achieved. When the emission wavelength is at a quantum dot central wavelength of 523 nm, the fluorescence directional enhancement can be up to 3 064 times than that of original fluorescence.
2020, 13(1): 131-139.
doi: 10.3788/CO.20201301.0131
Abstract:
In order to meet the requirements of integration of infrared devices and the wideband absorption of infrared light, a novel ultra-broadband, high-absorbance and polarization-independent metamaterial absorber working in the long-wave infrared region (8~14 μm) is designed.By inserting a dielectric layer around the top metal of a metal-dielectric-metal metamaterial absorber to form a metasurface, the resonance intensity and absorption bandwidth can be improved.The structure has an average absorptivity greater than 90% in the range of 8.0 μm to 13.6 μm, covering most of the long-wave infrared atmospheric window bands, which is of great significance to infrared devices. The results indicate that the excitation of Propagating Surface Plasmon (PSP) modes and embedded cavity modes generated by the combination of dielectric-loaded surface plasmon polaritons waveguide and cavity modes contribute to broadband absorption.Moreover, the resonant wavelength of the resonance mode can be tuned by relevant parameters.The results of this paper provide a reference for the design of tunable broadband long-wavelength infrared(LWIR) absorbers. It is suggested that this design method can be extended to the medium wavelength infrared band, the very long-wavelength infrared band and others.
In order to meet the requirements of integration of infrared devices and the wideband absorption of infrared light, a novel ultra-broadband, high-absorbance and polarization-independent metamaterial absorber working in the long-wave infrared region (8~14 μm) is designed.By inserting a dielectric layer around the top metal of a metal-dielectric-metal metamaterial absorber to form a metasurface, the resonance intensity and absorption bandwidth can be improved.The structure has an average absorptivity greater than 90% in the range of 8.0 μm to 13.6 μm, covering most of the long-wave infrared atmospheric window bands, which is of great significance to infrared devices. The results indicate that the excitation of Propagating Surface Plasmon (PSP) modes and embedded cavity modes generated by the combination of dielectric-loaded surface plasmon polaritons waveguide and cavity modes contribute to broadband absorption.Moreover, the resonant wavelength of the resonance mode can be tuned by relevant parameters.The results of this paper provide a reference for the design of tunable broadband long-wavelength infrared(LWIR) absorbers. It is suggested that this design method can be extended to the medium wavelength infrared band, the very long-wavelength infrared band and others.
2020, 13(1): 140-147.
doi: 10.3788/CO.20201301.0140
Abstract:
In atmospheric channel laser transmissions, atmospheric turbulence has a large influence on system performance, reducing its transmission rate and increasing its bit error rate. In a bidirectional free-space laser transmission link with channel reciprocity, as the change in optical signal intensity at the two terminals is correlated, the Channel State Information (CSI) can be obtained at the transmitter and used to compensate the channel influence, thus improves the transmission rate. In this paper, under weakly fluctuating conditions, according to Rytov approximation, the relationship between the correlation coefficient of the spot signal received by plane wave bidirectional transmission link and the transmission path is deduced, and its analytical expression is derived. The results show that the intensity of the optical signal at the receiving end of the bidirectional free-space laser transmission link is related to the transmission end and that the correlation coefficient is related to the location of the transmission path. A bidirectional coaxial laser transmission system is further established and an external field test is performed. The real-time change trend of the intensity of the speckle signal at both receivers is the same. Therefore, the atmospheric channel of the bidirectional free-space laser transmission link is reciprocal. The conclusion of this paper is of great significance for realizing high-rate and low bit error rate transmission in atmospheric channels.
In atmospheric channel laser transmissions, atmospheric turbulence has a large influence on system performance, reducing its transmission rate and increasing its bit error rate. In a bidirectional free-space laser transmission link with channel reciprocity, as the change in optical signal intensity at the two terminals is correlated, the Channel State Information (CSI) can be obtained at the transmitter and used to compensate the channel influence, thus improves the transmission rate. In this paper, under weakly fluctuating conditions, according to Rytov approximation, the relationship between the correlation coefficient of the spot signal received by plane wave bidirectional transmission link and the transmission path is deduced, and its analytical expression is derived. The results show that the intensity of the optical signal at the receiving end of the bidirectional free-space laser transmission link is related to the transmission end and that the correlation coefficient is related to the location of the transmission path. A bidirectional coaxial laser transmission system is further established and an external field test is performed. The real-time change trend of the intensity of the speckle signal at both receivers is the same. Therefore, the atmospheric channel of the bidirectional free-space laser transmission link is reciprocal. The conclusion of this paper is of great significance for realizing high-rate and low bit error rate transmission in atmospheric channels.
2020, 13(1): 148-155.
doi: 10.3788/CO.20201301.0148
Abstract:
Spaceborne lidar is a promising tool for vertical ocean profile detection, which has attracted extensive attention in oceanic optical remote sensing technology. It is essential to evaluate the operating wavelength of spaceborne oceanic lidar to ensure that it is effective. In this paper, the optimal operating wavelength of spaceborne oceanic lidar for the purposes of global ocean detection was analyzed in terms of detection depth and signal-to-noise ratio (SNR). The global distribution of ocean detection depths and the corresponding wavelengths were estimated by using the oceanic optical properties data from MODIS. The SNR was evaluated based on the characteristics of the solar Fraunhofer line. It was found that ocean water with an optimal wavelength of 488 nm accounts for about 70% of the global ocean area and more than 95% of the global ocean area has a detected depth deeper than 0.8 times the depth of the euphotic layer. Furthermore, 70% of background light can be suppressed with a filter against the 0.1 nm bandwidth at the 486.134 nm solar Fraunhofer line and the SNR can be increased by about 5.0% compared to that of the 488 nm. In conclusion, working at 486.134 nm can effectively improve the detection depth and the SNR, so it is the optimal operating wavelength of spaceborne oceanic lidar.
Spaceborne lidar is a promising tool for vertical ocean profile detection, which has attracted extensive attention in oceanic optical remote sensing technology. It is essential to evaluate the operating wavelength of spaceborne oceanic lidar to ensure that it is effective. In this paper, the optimal operating wavelength of spaceborne oceanic lidar for the purposes of global ocean detection was analyzed in terms of detection depth and signal-to-noise ratio (SNR). The global distribution of ocean detection depths and the corresponding wavelengths were estimated by using the oceanic optical properties data from MODIS. The SNR was evaluated based on the characteristics of the solar Fraunhofer line. It was found that ocean water with an optimal wavelength of 488 nm accounts for about 70% of the global ocean area and more than 95% of the global ocean area has a detected depth deeper than 0.8 times the depth of the euphotic layer. Furthermore, 70% of background light can be suppressed with a filter against the 0.1 nm bandwidth at the 486.134 nm solar Fraunhofer line and the SNR can be increased by about 5.0% compared to that of the 488 nm. In conclusion, working at 486.134 nm can effectively improve the detection depth and the SNR, so it is the optimal operating wavelength of spaceborne oceanic lidar.
2020, 13(1): 156-164.
doi: 10.3788/CO.20201301.0156
Abstract:
In order to achieve in-situ measurement of Double-Crystal Monochromator(DCM) stability, an angular vibration measuring system based on dual-frequency interferometers is designed, and a measurement platform is also established. A laser is split into two beams with an interferometer and then is aimed at the crystal surface. Reflective signals from both ends of the crystal are demodulated by a data acquisition board and the crystals' angular displacement information is acquired at high frequency. Its frequency information can also be obtained by means of Fast Fourier Transform(FFT), from which the primary source of vibration that influences the stability of the monochromator can be deduced. We can achieve high-frequency acquisition of crystal angular displacement with a resolution of up to 25nrad.With this, information on the different sources of vibration can be distinguished, which can be significant in DCM structure optimization.
In order to achieve in-situ measurement of Double-Crystal Monochromator(DCM) stability, an angular vibration measuring system based on dual-frequency interferometers is designed, and a measurement platform is also established. A laser is split into two beams with an interferometer and then is aimed at the crystal surface. Reflective signals from both ends of the crystal are demodulated by a data acquisition board and the crystals' angular displacement information is acquired at high frequency. Its frequency information can also be obtained by means of Fast Fourier Transform(FFT), from which the primary source of vibration that influences the stability of the monochromator can be deduced. We can achieve high-frequency acquisition of crystal angular displacement with a resolution of up to 25nrad.With this, information on the different sources of vibration can be distinguished, which can be significant in DCM structure optimization.
2020, 13(1): 165-178.
doi: 10.3788/CO.20201301.0165
Abstract:
The working principle of high energy laser systems is focusing the transmitting laser beam onto target while the target is tracked in a closed-loop using a fine tracking module, so that the target can be damaged or invalidated. In order to achieve this, an optical device with a co-aperture is designed for high-energy laser systems. The emitting system of this device is a two-stage beam expander consisted of an off-axis two-trans primary telescope module, a Galileo transmission telescope module for focusing, and a beam-feeding module. The receiver of this device is a long-focus optical system consisted of the same off-axis two-trans primary telescope module, an imaging module for fine tracking, and the same beam-feeding module, which is composed of a dichroic mirror, a fast mirror and other optical elements. Using an incoherent combination laser in space as laser source, we use optical design software in both the sequential mode and the non-sequential mode to design and simulate this device. The simulation results show that for the emitting system, the distribution of the spot at 0.5~5 km is obtained after the laser is modulated by different focusing quantities in the focusing telescope module. The RMS value of the laser wavefront is found to be better than λ/20 in the emitting system. In addition, the performance of the imaging optical system approaches the diffraction limit after optimizing, and the system transfer function is greater than 0.6 at 70 lp/mm. A prototype experiment is carried out to verify the correctness and rationality of this design. The results of this paper confirm that this optical transceiver possesses reasonable structure and reliable performance, which meets the engineering requirements of high-energy laser system applications.
The working principle of high energy laser systems is focusing the transmitting laser beam onto target while the target is tracked in a closed-loop using a fine tracking module, so that the target can be damaged or invalidated. In order to achieve this, an optical device with a co-aperture is designed for high-energy laser systems. The emitting system of this device is a two-stage beam expander consisted of an off-axis two-trans primary telescope module, a Galileo transmission telescope module for focusing, and a beam-feeding module. The receiver of this device is a long-focus optical system consisted of the same off-axis two-trans primary telescope module, an imaging module for fine tracking, and the same beam-feeding module, which is composed of a dichroic mirror, a fast mirror and other optical elements. Using an incoherent combination laser in space as laser source, we use optical design software in both the sequential mode and the non-sequential mode to design and simulate this device. The simulation results show that for the emitting system, the distribution of the spot at 0.5~5 km is obtained after the laser is modulated by different focusing quantities in the focusing telescope module. The RMS value of the laser wavefront is found to be better than λ/20 in the emitting system. In addition, the performance of the imaging optical system approaches the diffraction limit after optimizing, and the system transfer function is greater than 0.6 at 70 lp/mm. A prototype experiment is carried out to verify the correctness and rationality of this design. The results of this paper confirm that this optical transceiver possesses reasonable structure and reliable performance, which meets the engineering requirements of high-energy laser system applications.
2020, 13(1): 179-188.
doi: 10.3788/CO.20201301.0179
Abstract:
The space gravitational wave detection is realized by adopting the technology of heterodyne laser interferometry. The accuracy and noise level of the measurement are extremely rigorous. As an important part of space-based gravitational wave observatory, telescope plays the role of laser signal transceiver, and is characterized by high magnification, high image quality, high similarity of wave-front error over the field of view and extraordinary ability to suppress stray light. Aiming at above requirements, methods of design and analysis of the off-axis four-mirror afocal optical system with high magnification are investigated. Based on the theory of primary aberration, the design method of initial structure is explored. The system has an intermediate image plane and an available exit pupil, which facilitates stray light suppression and integration with the scientific interferometer. The wave-front similarity merit function is established. After optimization, the entrance pupil diameter is 200 mm, the magnification is 40. The Root-Mean-Square (RMS) wave-front error is better than 0.005λ and the Peak-to-Valley (PV) value is less than 0.023λ, moreover, the RMS of wave-front similarity residuals are better than 0.000 8λ(λ=1 064 nm) within the ±8 μrad scientific field of view. Over the field of regard for acquisition, the imaging quality is close to the diffraction limit. The tolerance of the system is analyzed and meets the requirements of space-based gravitational wave detection.
The space gravitational wave detection is realized by adopting the technology of heterodyne laser interferometry. The accuracy and noise level of the measurement are extremely rigorous. As an important part of space-based gravitational wave observatory, telescope plays the role of laser signal transceiver, and is characterized by high magnification, high image quality, high similarity of wave-front error over the field of view and extraordinary ability to suppress stray light. Aiming at above requirements, methods of design and analysis of the off-axis four-mirror afocal optical system with high magnification are investigated. Based on the theory of primary aberration, the design method of initial structure is explored. The system has an intermediate image plane and an available exit pupil, which facilitates stray light suppression and integration with the scientific interferometer. The wave-front similarity merit function is established. After optimization, the entrance pupil diameter is 200 mm, the magnification is 40. The Root-Mean-Square (RMS) wave-front error is better than 0.005λ and the Peak-to-Valley (PV) value is less than 0.023λ, moreover, the RMS of wave-front similarity residuals are better than 0.000 8λ(λ=1 064 nm) within the ±8 μrad scientific field of view. Over the field of regard for acquisition, the imaging quality is close to the diffraction limit. The tolerance of the system is analyzed and meets the requirements of space-based gravitational wave detection.
2020, 13(1): 189-202.
doi: 10.3788/CO.20201301.0189
Abstract:
To realize large range, high precision and multi-dimensional measurement with a relatively simple structure, a grating-based precise measurement system is designed for five-dimensional measurement including simultaneous measurement of displacement and angle. Based on symmetrical Littrow structure and heterodyne interference principle, two-dimensional displacement measurement along grating's vector direction and normal direction is realized by using one-dimensional diffraction grating with high groove density. What's more, the angle errors of pitch, yaw and roll of grating are measured by using high precision position sensitive detectors considering the angular variation between ±1st order diffraction light and grating. Experimental results indicate that the proposed grating-based precision measurement system can achieve high precision and large range displacement measurement with resolution better than 4 nm. It can also realize high precision angle error measurement with resolution better than 1″. Moreover, because the displacement measurement range is only limited by the size of grating, its measuring range is greatly increased. The grating-based precision measurement system is very important for high precision measurement of displacement and angle in the field of precision measurement.
To realize large range, high precision and multi-dimensional measurement with a relatively simple structure, a grating-based precise measurement system is designed for five-dimensional measurement including simultaneous measurement of displacement and angle. Based on symmetrical Littrow structure and heterodyne interference principle, two-dimensional displacement measurement along grating's vector direction and normal direction is realized by using one-dimensional diffraction grating with high groove density. What's more, the angle errors of pitch, yaw and roll of grating are measured by using high precision position sensitive detectors considering the angular variation between ±1st order diffraction light and grating. Experimental results indicate that the proposed grating-based precision measurement system can achieve high precision and large range displacement measurement with resolution better than 4 nm. It can also realize high precision angle error measurement with resolution better than 1″. Moreover, because the displacement measurement range is only limited by the size of grating, its measuring range is greatly increased. The grating-based precision measurement system is very important for high precision measurement of displacement and angle in the field of precision measurement.
2020, 13(1): 203-216.
doi: 10.3788/CO.20201301.0203
Abstract:
Catastrophe Optical Damage (COD) usually occurs at the front cavity surface of quantum well semiconductor laser diodes, and it is a great trouble to its output power and life. The preparation of Non-Absorption Window (NAW) by quantum well intermixing based on Impurity Induced Disordering (IID) is a common method for inhibiting COD at the cavity surface, which has a great potential to achieve blue shift with high efficiency and low cost. In this paper, Si impurities were used to induce quantum well intermixing. The epitaxial structure of the InGaAs/AlGaAs quantum well semiconductor laser diode and the Si impurity diffusion layer and Si3N4 protective layer were grown by a Metal Organic Chemical Vapor Deposition (MOCVD) device. After several thermal annealing treatments, the Si impurity diffusion inducing the mutual diffusion between the quantum well and the barrier, which widened the band gap of the quantum well area and resulted in blue shift of the output wavelength, reducing the absorption of the emitted light. Usually thermal annealing will affect the surface morphology of epitaxial surface, and the surface morphology may affect the preparation of electrode in the subsequent packaging process. Combined with an optical microscope and photoluminescence (PL) spectrum, experimental results indicate that about 93nm wavelength blue shift can be observed under the annealing condition of 825℃/2 h. In conclusion, annealing can affect the topography of the epitaxial wafer's surface, but it does not affect the blue shift of wavelength and the preparation of electrode.
Catastrophe Optical Damage (COD) usually occurs at the front cavity surface of quantum well semiconductor laser diodes, and it is a great trouble to its output power and life. The preparation of Non-Absorption Window (NAW) by quantum well intermixing based on Impurity Induced Disordering (IID) is a common method for inhibiting COD at the cavity surface, which has a great potential to achieve blue shift with high efficiency and low cost. In this paper, Si impurities were used to induce quantum well intermixing. The epitaxial structure of the InGaAs/AlGaAs quantum well semiconductor laser diode and the Si impurity diffusion layer and Si3N4 protective layer were grown by a Metal Organic Chemical Vapor Deposition (MOCVD) device. After several thermal annealing treatments, the Si impurity diffusion inducing the mutual diffusion between the quantum well and the barrier, which widened the band gap of the quantum well area and resulted in blue shift of the output wavelength, reducing the absorption of the emitted light. Usually thermal annealing will affect the surface morphology of epitaxial surface, and the surface morphology may affect the preparation of electrode in the subsequent packaging process. Combined with an optical microscope and photoluminescence (PL) spectrum, experimental results indicate that about 93nm wavelength blue shift can be observed under the annealing condition of 825℃/2 h. In conclusion, annealing can affect the topography of the epitaxial wafer's surface, but it does not affect the blue shift of wavelength and the preparation of electrode.
Abstract
FullText HTML
PDF 2481KB