2019 Vol. 12, No. 2
column
2019, 12(2): 179-198.
doi: 10.3788/CO.20191202.0179
Abstract:
The Kramers-Kronig(KK for short) relationship is a special case of Hilbert transformation, which describes the mathematical connection of square integrable function with causality between its real and imaginary parts. In this paper, the history, mathematics and physics essence of KK relationship are introduced. Its concrete form, meaning and application in electricity, magnetics, acoustics, optics, artificial medium and optical communication are presented, including its reflection and transmission functions, electric susceptibility, dielectric constant, refractive index, electrical conductivity, electrical impedance, magnetic permeability, atomic scattering factor, adiabatic compression coefficient, acoustic refractive index, single band time domain signal, space stealth medium and various nonlinear media and so on. The influence of truncation error on the calculation results of KK integral in practical applications is analyzed. Various integral limit extrapolation methods and various subtractive KK relationships based on anchor point are summarized, including single, multiple subtractive and differential multiple subtractive KK relationships.
The Kramers-Kronig(KK for short) relationship is a special case of Hilbert transformation, which describes the mathematical connection of square integrable function with causality between its real and imaginary parts. In this paper, the history, mathematics and physics essence of KK relationship are introduced. Its concrete form, meaning and application in electricity, magnetics, acoustics, optics, artificial medium and optical communication are presented, including its reflection and transmission functions, electric susceptibility, dielectric constant, refractive index, electrical conductivity, electrical impedance, magnetic permeability, atomic scattering factor, adiabatic compression coefficient, acoustic refractive index, single band time domain signal, space stealth medium and various nonlinear media and so on. The influence of truncation error on the calculation results of KK integral in practical applications is analyzed. Various integral limit extrapolation methods and various subtractive KK relationships based on anchor point are summarized, including single, multiple subtractive and differential multiple subtractive KK relationships.
2019, 12(2): 199-213.
doi: 10.3788/CO.20191202.0199
Abstract:
Improvements to the biocompatibility of medical implant biomaterials have a great significant impact toward improving the safety of the implants. Ultrafast lasers have been widely used in biomedical sciences for their ability to produce micro/nano structures that improve the biocompatibility of biomaterials. In this paper, mechanisms of interaction between cell and biomaterials are briefly introduced. The effects of surface topography on cell adhesion, migration, multiplication and differentiation are summarized according to the effect of surface structure on the biocompatibility. The disadvantages of current laser microfabrication technologies in biomaterials are identified and suggestions for further development are provided.
Improvements to the biocompatibility of medical implant biomaterials have a great significant impact toward improving the safety of the implants. Ultrafast lasers have been widely used in biomedical sciences for their ability to produce micro/nano structures that improve the biocompatibility of biomaterials. In this paper, mechanisms of interaction between cell and biomaterials are briefly introduced. The effects of surface topography on cell adhesion, migration, multiplication and differentiation are summarized according to the effect of surface structure on the biocompatibility. The disadvantages of current laser microfabrication technologies in biomaterials are identified and suggestions for further development are provided.
2019, 12(2): 214-228.
doi: 10.3788/CO.20191202.0214
Abstract:
Because of the large spatial scale and complex structure, the large curved complex surface is more difficult to measure and detect. The three-dimensional profile measurement technology provides the technical support for deviation controlling and reverse engineering of the large complex surface due to its high resolution and fast data acquisition. Advances in large and complex three-dimensional surface topography measurement are reviewed and the current means of implementing to large complex three-dimensional surface topography measurements are discussed. Then characteristics and applications of current and future instruments used for large complex surface 3D profile measurement are summarized, and the advantages and disadvantages of each measuring device are compared. This paper provides a reference for the three-dimensional profile measurement devices that are currently widely used. There is special focus given to the acquisition method and processing methods for the 3D point cloud, the pretreatment methods and splicing methods of point cloud are summarized. Finally, the three-dimensional profile measurement technology applications are analyzed. The author believes that future research will focus on the large complex surface topography sensors toward non-contact, automated direction. In the development process, point clouds registration based on the global coordinate, non-adherent point measurement will also become the main direction of the research.
Because of the large spatial scale and complex structure, the large curved complex surface is more difficult to measure and detect. The three-dimensional profile measurement technology provides the technical support for deviation controlling and reverse engineering of the large complex surface due to its high resolution and fast data acquisition. Advances in large and complex three-dimensional surface topography measurement are reviewed and the current means of implementing to large complex three-dimensional surface topography measurements are discussed. Then characteristics and applications of current and future instruments used for large complex surface 3D profile measurement are summarized, and the advantages and disadvantages of each measuring device are compared. This paper provides a reference for the three-dimensional profile measurement devices that are currently widely used. There is special focus given to the acquisition method and processing methods for the 3D point cloud, the pretreatment methods and splicing methods of point cloud are summarized. Finally, the three-dimensional profile measurement technology applications are analyzed. The author believes that future research will focus on the large complex surface topography sensors toward non-contact, automated direction. In the development process, point clouds registration based on the global coordinate, non-adherent point measurement will also become the main direction of the research.
2019, 12(2): 229-241.
doi: 10.3788/CO.20191202.0229
Abstract:
With the development of ultra-high speed optical interconnection, coherent optical communication and coherent detection technology, more stringent requirements are put forward for the linewidth, power and stability of laser source. Based on their own different advantages of silicon photonic chip using CMOS(Complementary Metal Oxide Semiconductor) technology and semiconductor gain chip, the narrow linewidth semiconductor laser with compact structure, low power consumption and high stability can be realized by one single silicon photonic chip and one single semiconductor gain chip integrations, which becomes a hotspot in recent years. The structure can provide the optical feedback to narrow the linewidth by microring resonator, loop mirror and Mach-Zehnder interferometer, and realize the wide tuning range and stable output power. In this paper, the latest research progress of silicon photonic chip external cavity semiconductor laser and several structures containing microring resonators are introduced, and the technical problems, such as increasing the coupling efficiency and reducing the reflectivity of the end face, are discussed in detail. For future applications of space optical communication and optical interconnection, we prospect the future research direction of such lasers in power upgrading and photonic integration.
With the development of ultra-high speed optical interconnection, coherent optical communication and coherent detection technology, more stringent requirements are put forward for the linewidth, power and stability of laser source. Based on their own different advantages of silicon photonic chip using CMOS(Complementary Metal Oxide Semiconductor) technology and semiconductor gain chip, the narrow linewidth semiconductor laser with compact structure, low power consumption and high stability can be realized by one single silicon photonic chip and one single semiconductor gain chip integrations, which becomes a hotspot in recent years. The structure can provide the optical feedback to narrow the linewidth by microring resonator, loop mirror and Mach-Zehnder interferometer, and realize the wide tuning range and stable output power. In this paper, the latest research progress of silicon photonic chip external cavity semiconductor laser and several structures containing microring resonators are introduced, and the technical problems, such as increasing the coupling efficiency and reducing the reflectivity of the end face, are discussed in detail. For future applications of space optical communication and optical interconnection, we prospect the future research direction of such lasers in power upgrading and photonic integration.
2019, 12(2): 242-255.
doi: 10.3788/CO.20191202.0242
Abstract:
Charged particle beam imaging inspection technology is widely applied in semiconductor industry to find defects on wafers with nanometer degree measurement accuracy. During the wafer inspection, the wafer to be measured is supposed to be in the range of depth of focus(DoF) of the electron beam. In this paper we propose a close-loop wafer height control technology with millimeter range, nanometer accuracy and sub-microsecond height measurement time. It combines coarse control and fine control with an identical optical wafer height measurement system. During the coarse control, the imaging plane of the digital camera functions as a pure optical sensor. The wafer height information is obtained by measuring the displacement of one certain grating line. When approaching to the target position, the imaging plane changes to be a virtual digital grating. The so called optical vernier caliper, analogous with the mechanical vernier caliper, is constructed with the optical grating image and the digital grating image when there is some period difference between them. The experiment shows that such structure subdivides pixels by a factor of 10×or more on the image plane. When the system is used to measure the wafer height, the coarse measurement range is in millimeter degree and the coarse measurement time is 0.38 ms. The fine measurement resolution is less than 80 nm, and the fine measurement time is 0.09 ms. The close-loop feedback control is conducted with the system. The preliminary experiment shows the control accuracy is 15 nm. Such nanometer degree focus control accuracy is most advantageous in the charged particle beam inspection in the future.
Charged particle beam imaging inspection technology is widely applied in semiconductor industry to find defects on wafers with nanometer degree measurement accuracy. During the wafer inspection, the wafer to be measured is supposed to be in the range of depth of focus(DoF) of the electron beam. In this paper we propose a close-loop wafer height control technology with millimeter range, nanometer accuracy and sub-microsecond height measurement time. It combines coarse control and fine control with an identical optical wafer height measurement system. During the coarse control, the imaging plane of the digital camera functions as a pure optical sensor. The wafer height information is obtained by measuring the displacement of one certain grating line. When approaching to the target position, the imaging plane changes to be a virtual digital grating. The so called optical vernier caliper, analogous with the mechanical vernier caliper, is constructed with the optical grating image and the digital grating image when there is some period difference between them. The experiment shows that such structure subdivides pixels by a factor of 10×or more on the image plane. When the system is used to measure the wafer height, the coarse measurement range is in millimeter degree and the coarse measurement time is 0.38 ms. The fine measurement resolution is less than 80 nm, and the fine measurement time is 0.09 ms. The close-loop feedback control is conducted with the system. The preliminary experiment shows the control accuracy is 15 nm. Such nanometer degree focus control accuracy is most advantageous in the charged particle beam inspection in the future.
2019, 12(2): 256-264.
doi: 10.3788/CO.20191202.0256
Abstract:
In order to simulate the target echo energy of semi-active laser guidance in actual combat environment, an injection laser energy simulation device was designed and developed. The laser-guided energy transfer process and simulation techniques were researched. First of all, aiming at the working process of laser-guided weapons, the laser scattering and attenuation model in the atmosphere were established. Fog, rainfall, and interference smoke existing in actual combat were modeled and simulated. Then, the overall scheme of the laser target echo energy simulator was proposed. The DPS-A laser and Brewster angle polarizer were used to simulate the laser attenuation. A fiber coupling and uniform light collimation system was designed. Finally, a laser-guided semi-physical simulation system was constructed, laser echo energy simulation experiments, seeker calibration and laser terminal guidance experiments were performed, respectively. The results show that laser energy simulation error is less than 3%, the residual error within the linear range of the seeker is less than 0.08°, the accuracy of angle measurement is less than 0.45 mrad, and the tracking error of line-of-sight angle in the terminal guidance process is less than 0.2°. The system can simulate laser energy transmission in a variety of real-world environments with high accuracy, which can meet the requirements of laser-guided semi-physical simulation.
In order to simulate the target echo energy of semi-active laser guidance in actual combat environment, an injection laser energy simulation device was designed and developed. The laser-guided energy transfer process and simulation techniques were researched. First of all, aiming at the working process of laser-guided weapons, the laser scattering and attenuation model in the atmosphere were established. Fog, rainfall, and interference smoke existing in actual combat were modeled and simulated. Then, the overall scheme of the laser target echo energy simulator was proposed. The DPS-A laser and Brewster angle polarizer were used to simulate the laser attenuation. A fiber coupling and uniform light collimation system was designed. Finally, a laser-guided semi-physical simulation system was constructed, laser echo energy simulation experiments, seeker calibration and laser terminal guidance experiments were performed, respectively. The results show that laser energy simulation error is less than 3%, the residual error within the linear range of the seeker is less than 0.08°, the accuracy of angle measurement is less than 0.45 mrad, and the tracking error of line-of-sight angle in the terminal guidance process is less than 0.2°. The system can simulate laser energy transmission in a variety of real-world environments with high accuracy, which can meet the requirements of laser-guided semi-physical simulation.
2019, 12(2): 265-273.
doi: 10.3788/CO.20191202.0265
Abstract:
Aiming at the problem of background information filtering too smooth when implementing equivalent weight training to context sample in context-aware correlation filter tracking algorithm, we propose an adaptive context-aware correlation filtering algorithm. And in order to solve the problem of target occlusion, we introduce a new occlusion criterion. First of all, extract background samples from the four directions of the target to learn in the filter. The target motion state is estimated by Kalman Filters and the direction of the target is predicted. During the training of the filter, more weight is given to the background sample training in the direction of the target movement. Then, a new occlusion indicator Average Peak-to correlation Energy(APCE) is introduced when the model is updated. The target model is updated only when the response peaks and APCE values are in proportional higher than their respective historical averages. Finally, the proposed algorithm is compared with some mainstream tracking algorithms in CVPR 2013 Benchmark. Simulation results show that the accuracy rate and success rate of the proposed algorithm respectively are 0.810 and 0.701, which are superior to other algorithms. The results fully reflect the robustness of the proposed algorithm.
Aiming at the problem of background information filtering too smooth when implementing equivalent weight training to context sample in context-aware correlation filter tracking algorithm, we propose an adaptive context-aware correlation filtering algorithm. And in order to solve the problem of target occlusion, we introduce a new occlusion criterion. First of all, extract background samples from the four directions of the target to learn in the filter. The target motion state is estimated by Kalman Filters and the direction of the target is predicted. During the training of the filter, more weight is given to the background sample training in the direction of the target movement. Then, a new occlusion indicator Average Peak-to correlation Energy(APCE) is introduced when the model is updated. The target model is updated only when the response peaks and APCE values are in proportional higher than their respective historical averages. Finally, the proposed algorithm is compared with some mainstream tracking algorithms in CVPR 2013 Benchmark. Simulation results show that the accuracy rate and success rate of the proposed algorithm respectively are 0.810 and 0.701, which are superior to other algorithms. The results fully reflect the robustness of the proposed algorithm.
2019, 12(2): 274-288.
doi: 10.3788/CO.20191202.0274
Abstract:
Fishing lamps are an important piece of equipment in light fishing, such as the fishing of Pacific Saury. In this paper, a lamp for fishing saury was used as an example to establish a theoretical model of illumination for single light boxes using the point source method and the spherical source method, respectively. It was found by comparing the theoretical values and measured values of plane illuminance that the linear fitting slope coefficient using the spherical source method was closer to 1 than that using the point source method. There was no significant difference between the calculated theoretical value based on spherical light source method and its measured value(P>0.05). However, a significant difference was found between the theoretical value obtained by the point light source method and its measured value(P < 0.05), indicating that the illuminance model using the spherical light source method was more consistent with its actual illumination. The illuminance distributions of white and red single light box at 45°, 60° and 75° angles of inclination were calculated according to the spherical light source model. The results showed that the illuminance value increased at first and then decreased with an increase in distance, and that the illuminance distribution of different lamp colors at the same angle were quite different. The illuminance value of a white light box was obviously higher than that of red light box at the same position, but the illuminance distribution of the same lamp color at different angles were less different. The distance from the maximum illuminance value to its origin gradually decreased as the angle increased. The decay rate of illumination decreased first, then increased and then decreased again with an increase in distance, before it finally approached 0.
Fishing lamps are an important piece of equipment in light fishing, such as the fishing of Pacific Saury. In this paper, a lamp for fishing saury was used as an example to establish a theoretical model of illumination for single light boxes using the point source method and the spherical source method, respectively. It was found by comparing the theoretical values and measured values of plane illuminance that the linear fitting slope coefficient using the spherical source method was closer to 1 than that using the point source method. There was no significant difference between the calculated theoretical value based on spherical light source method and its measured value(P>0.05). However, a significant difference was found between the theoretical value obtained by the point light source method and its measured value(P < 0.05), indicating that the illuminance model using the spherical light source method was more consistent with its actual illumination. The illuminance distributions of white and red single light box at 45°, 60° and 75° angles of inclination were calculated according to the spherical light source model. The results showed that the illuminance value increased at first and then decreased with an increase in distance, and that the illuminance distribution of different lamp colors at the same angle were quite different. The illuminance value of a white light box was obviously higher than that of red light box at the same position, but the illuminance distribution of the same lamp color at different angles were less different. The distance from the maximum illuminance value to its origin gradually decreased as the angle increased. The decay rate of illumination decreased first, then increased and then decreased again with an increase in distance, before it finally approached 0.
2019, 12(2): 289-293.
doi: 10.3788/CO.20191202.0289
Abstract:
In order to achieve non-contact high temperature measurement, multi-spectral fast-response temperature measuring system adopting multichannel photoelectric detectors is designed based on multispectral radiation temperature measured theory. The measuring principle, the system structure and calibration of the measuring system is elucidated and analyzed. The spectral response coefficient is standardized by the tungsten lamp. Experiments are carried out by measuring the temperature of the standard radiation source, demonstrating that this device is reliable in high temperature measurement.
In order to achieve non-contact high temperature measurement, multi-spectral fast-response temperature measuring system adopting multichannel photoelectric detectors is designed based on multispectral radiation temperature measured theory. The measuring principle, the system structure and calibration of the measuring system is elucidated and analyzed. The spectral response coefficient is standardized by the tungsten lamp. Experiments are carried out by measuring the temperature of the standard radiation source, demonstrating that this device is reliable in high temperature measurement.
2019, 12(2): 294-301.
doi: 10.3788/CO.20191202.0294
Abstract:
According to the optical beam superposition principle, a set of linearity measurement devices of spectrometer photoelectrical detecting system was developed. It consists of a 300 W super-quiet xenon lamp, a 250 W halogen tungsten lamp, a neutral filter group, double apertures and optical imaging system. The radiant power of the optical beams is manipulated with neutral filters and optical beam superposition is achieved using double apertures and optical imaging system. The spectral range of this device is 200-2 400 nm and the dynamic range of the linearity measurement is 104. It can simulate the extraterrestrial solar spectral irradiance and can be used for measuring linearity in solar spectrometer photoelectrical systems and silicon photodiode standard detection.
According to the optical beam superposition principle, a set of linearity measurement devices of spectrometer photoelectrical detecting system was developed. It consists of a 300 W super-quiet xenon lamp, a 250 W halogen tungsten lamp, a neutral filter group, double apertures and optical imaging system. The radiant power of the optical beams is manipulated with neutral filters and optical beam superposition is achieved using double apertures and optical imaging system. The spectral range of this device is 200-2 400 nm and the dynamic range of the linearity measurement is 104. It can simulate the extraterrestrial solar spectral irradiance and can be used for measuring linearity in solar spectrometer photoelectrical systems and silicon photodiode standard detection.
2019, 12(2): 302-309.
doi: 10.3788/CO.20191202.0302
Abstract:
In this paper, a new coordination polymer of[Cd(p-nitrobenzoic acid)2(en)H2O]( 1 ) was synthesized, based on CdCl2, p-nitrobenzoic acid and ethylenediamine(en), and its structure was analyzed. First, a compound(compound 1 ) was hydrothermally synthesized. Second, compound 1 was structurally measured using single-crystal X-ray diffraction. Then, compound 1 was structurally characterized using infrared spectrometry(IR), elemental analysis, power X-ray diffraction(PXRD) and thermogravimetric analysis(TGA). Finally, the fluorescence property of compound 1 was measured at room temperature. Experimental results indicate that compound 1 was linked into a three-dimensional(3D) supramolecular structure by N-H…O、O-H…O and C-H…O hydrogen bonds. Compound 1 demonstrated fluorescent properties. Its peak of excitation was 266 nm and its peaks of emission were 377 nm and 444 nm. The fluorescent properties of compound 1 mainly come from the transition from the ligand to ligand. Compound 1 may be a fluorescent material with potential for further development.
In this paper, a new coordination polymer of[Cd(p-nitrobenzoic acid)2(en)H2O]( 1 ) was synthesized, based on CdCl2, p-nitrobenzoic acid and ethylenediamine(en), and its structure was analyzed. First, a compound(compound 1 ) was hydrothermally synthesized. Second, compound 1 was structurally measured using single-crystal X-ray diffraction. Then, compound 1 was structurally characterized using infrared spectrometry(IR), elemental analysis, power X-ray diffraction(PXRD) and thermogravimetric analysis(TGA). Finally, the fluorescence property of compound 1 was measured at room temperature. Experimental results indicate that compound 1 was linked into a three-dimensional(3D) supramolecular structure by N-H…O、O-H…O and C-H…O hydrogen bonds. Compound 1 demonstrated fluorescent properties. Its peak of excitation was 266 nm and its peaks of emission were 377 nm and 444 nm. The fluorescent properties of compound 1 mainly come from the transition from the ligand to ligand. Compound 1 may be a fluorescent material with potential for further development.
2019, 12(2): 310-320.
doi: 10.3788/CO.20191202.0310
Abstract:
In order to attain highlysensitive on-line laser detection for the component content of multiple thermal fluids, an open-path reflection array optical cell with longer absorption path-length is designed based on the principles of multiple reflection and absorption spectroscopy. The influences of beam divergence and alignment error on receiving efficiency under different beam diameters are investigated. In addition, in order to suppress the interference of the stray radiation produced by the high temperature inner wall of steam injection pipeline to the receiving signal, a new type of stray light suppression structure is introduced. The results show that when the reflector coating is silver and optical window material is fused silica, the best reflection time is 42 and the effective absorption path length is 220 cm. For measuring laser with different beam diameters, the attenuationtrend and amplitude of the system receiving efficiency are similar with theincrease of divergence angle and alignment error. When the off-field angle is 5°, the PST is 1.21×10-7. The effectiveness of the stray light suppression structure is proven by the experiment of suppression to heat radiation from high temperature pipeline.
In order to attain highlysensitive on-line laser detection for the component content of multiple thermal fluids, an open-path reflection array optical cell with longer absorption path-length is designed based on the principles of multiple reflection and absorption spectroscopy. The influences of beam divergence and alignment error on receiving efficiency under different beam diameters are investigated. In addition, in order to suppress the interference of the stray radiation produced by the high temperature inner wall of steam injection pipeline to the receiving signal, a new type of stray light suppression structure is introduced. The results show that when the reflector coating is silver and optical window material is fused silica, the best reflection time is 42 and the effective absorption path length is 220 cm. For measuring laser with different beam diameters, the attenuationtrend and amplitude of the system receiving efficiency are similar with theincrease of divergence angle and alignment error. When the off-field angle is 5°, the PST is 1.21×10-7. The effectiveness of the stray light suppression structure is proven by the experiment of suppression to heat radiation from high temperature pipeline.
2019, 12(2): 321-331.
doi: 10.3788/CO.20191202.0321
Abstract:
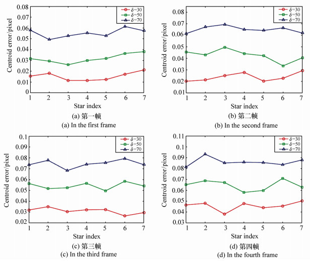
Under the dynamic working conditions for a star sensor, motion blur will appear in a star because of its energy dispersion in the process of imaging, which leads to a decrease in the signal to noise ratio(SNR) and makes the blurred region difficult to extract. Meanwhile, this causes a degradation in star centroid positon accuracy and attitude accuracy in the star sensor. Therefore, a restoration method for blurred star images based on region filters is presented in this paper, which simultaneously concentrates on the improvement of SNR and star centroid accuracy. Firstly, the kinematic models of a star centroid under different conditions are set up based on the characteristics of star sensors. Secondly, the motion trail of star centroid is determined based on the kinematic model, allowing the star blurred region to be extracted. The images inside and outside the star blurred region are then preprocessed by image processing algorithm respectively. Finally, the blurred star image is restored by an image restoration algorithm. The experiment results indicate that under the dynamic condition of 2°/s, the region filter algorithm can effectively improve the SNR of a blurred star image. In restored images, the error of star centroid is less than 0.1 pixels, which can satisfy the requirements for star sensor of high centroid accuracy.
Under the dynamic working conditions for a star sensor, motion blur will appear in a star because of its energy dispersion in the process of imaging, which leads to a decrease in the signal to noise ratio(SNR) and makes the blurred region difficult to extract. Meanwhile, this causes a degradation in star centroid positon accuracy and attitude accuracy in the star sensor. Therefore, a restoration method for blurred star images based on region filters is presented in this paper, which simultaneously concentrates on the improvement of SNR and star centroid accuracy. Firstly, the kinematic models of a star centroid under different conditions are set up based on the characteristics of star sensors. Secondly, the motion trail of star centroid is determined based on the kinematic model, allowing the star blurred region to be extracted. The images inside and outside the star blurred region are then preprocessed by image processing algorithm respectively. Finally, the blurred star image is restored by an image restoration algorithm. The experiment results indicate that under the dynamic condition of 2°/s, the region filter algorithm can effectively improve the SNR of a blurred star image. In restored images, the error of star centroid is less than 0.1 pixels, which can satisfy the requirements for star sensor of high centroid accuracy.
2019, 12(2): 332-343.
doi: 10.3788/CO.20191202.0332
Abstract:
In order to study the spectral response and change rule of Larix olgensis Henry to copper stress, sampling points were arranged along three exploratory lines in Shujigou mining area of eastern Liaoning province. Several heavy metal concentrations in the surface soil and reflectance spectra of Larix olgensis Henry needle leaves of each sample point were measured. 7 characteristic wavelengths were extracted and spectral angles of several band regions were also calculated respectively. Then the spectral signatures changes in copper-stressed needle leaves and soil copper concentrations were disposed by bivarite correlations analysis and regression equation were estimated. Results showed that the correlation coefficient of the "Red trough" parameter and soil copper concentration was the largest among them, and that the coefficient of determination(R2) of regression model based on the reflectance of "Red trough" was 0.865. The spectral angles were very sensitive to spectral changes of copper stressed Larix olgensis Henry needle for wavelength from 400 nm to 716 nm and wavelength from 400 nm to 2 500 nm, which has been proved to be an efficient tool for describing the spectral differences between copper-contaminated leaves and healthy ones. However, the red edge position(REP) and reflectance of REP had little to do with the content of heavy metals in soil and were not suitable for determining copper contamination in soil. The fact that "Red trough" parameter and spectral angles are sensitive to visible light demonstrates that the difference in the reflectance spectrum is mainly controlled by chlorophyll content, and only a small part of the difference is affected by the water content of needles. The fingerprint effects of "Red trough" and spectral angles in this paper can provide new technology to support the diagnosis and monitoring for mine contamination and locate the future mineralization.
In order to study the spectral response and change rule of Larix olgensis Henry to copper stress, sampling points were arranged along three exploratory lines in Shujigou mining area of eastern Liaoning province. Several heavy metal concentrations in the surface soil and reflectance spectra of Larix olgensis Henry needle leaves of each sample point were measured. 7 characteristic wavelengths were extracted and spectral angles of several band regions were also calculated respectively. Then the spectral signatures changes in copper-stressed needle leaves and soil copper concentrations were disposed by bivarite correlations analysis and regression equation were estimated. Results showed that the correlation coefficient of the "Red trough" parameter and soil copper concentration was the largest among them, and that the coefficient of determination(R2) of regression model based on the reflectance of "Red trough" was 0.865. The spectral angles were very sensitive to spectral changes of copper stressed Larix olgensis Henry needle for wavelength from 400 nm to 716 nm and wavelength from 400 nm to 2 500 nm, which has been proved to be an efficient tool for describing the spectral differences between copper-contaminated leaves and healthy ones. However, the red edge position(REP) and reflectance of REP had little to do with the content of heavy metals in soil and were not suitable for determining copper contamination in soil. The fact that "Red trough" parameter and spectral angles are sensitive to visible light demonstrates that the difference in the reflectance spectrum is mainly controlled by chlorophyll content, and only a small part of the difference is affected by the water content of needles. The fingerprint effects of "Red trough" and spectral angles in this paper can provide new technology to support the diagnosis and monitoring for mine contamination and locate the future mineralization.
2019, 12(2): 344-354.
doi: 10.3788/CO.20191202.0344
Abstract:
To improve the mechanical and corrosion resistance of an aluminum alloys, laser deposition(LDP) was used to form an AlCrFeCoNiCu high-entropy alloy(HEA) coating on an aluminum alloy surface. The phase structure, microstructure, micro-hardness and corrosion resistance of the HEA coating were investigated using X-ray diffraction(XRD), scanning electronic microscopy with energy-dispersive spectroscopy(SEM-EDS), a microhardness tester and an electrochemical workstation. The experiment revealed that the coating had excellent adhesion to the substrate. The HEA coating consisted of body-centered cubic(BCC) and face-centered cubic(FCC) phases, while the microstructure was shown to be a typical dendritic structure. The coating had an average micro hardness of 528Hv0.2, which is five times greater than that of the substrate. Corrosion of the samples was shown to be pitting and intercrystalline corrosion in a 3.5%NaCl solution, and the corrosion resistance was superior to that of the substrate. Thus, AlCrFeCoNiCu HEA coating has been demonstrated to be an effective way of improving the surface properties of aluminum alloys.
To improve the mechanical and corrosion resistance of an aluminum alloys, laser deposition(LDP) was used to form an AlCrFeCoNiCu high-entropy alloy(HEA) coating on an aluminum alloy surface. The phase structure, microstructure, micro-hardness and corrosion resistance of the HEA coating were investigated using X-ray diffraction(XRD), scanning electronic microscopy with energy-dispersive spectroscopy(SEM-EDS), a microhardness tester and an electrochemical workstation. The experiment revealed that the coating had excellent adhesion to the substrate. The HEA coating consisted of body-centered cubic(BCC) and face-centered cubic(FCC) phases, while the microstructure was shown to be a typical dendritic structure. The coating had an average micro hardness of 528Hv0.2, which is five times greater than that of the substrate. Corrosion of the samples was shown to be pitting and intercrystalline corrosion in a 3.5%NaCl solution, and the corrosion resistance was superior to that of the substrate. Thus, AlCrFeCoNiCu HEA coating has been demonstrated to be an effective way of improving the surface properties of aluminum alloys.
2019, 12(2): 355-361.
doi: 10.3788/CO.20191202.0355
Abstract:
A rapid tuning pulsed CO2 laser is presented using a blazed grating system and a pair of acousto-optic modulators. Firstly, the characteristics of acousto-optic modulators were studied through experimentation. The results showed that the deflection angle of the acousto-optic modulator was approximately 4.4°, which was in agreement with the calculations of the Bragg equation. When a single laser passed the acousto-optic modulator, the shift in frequency was approximately 40.68 MHz, which was in agreement with the acousto-optic driving frequency. In addition, when multiple lasers passed through the acousto-optic modulator, the shift in frequency was compounded. Based on the acousto-optic modulator results, experimental research was performed on rapid tuning pulsed CO2 lasers. In order to offset the shift in acousto-optic frequency, two acousto-optic modulators were placed symmetrically in the deflected optical beam, and a laser output was obtained. Using a blazed grating, a full band tunable output laser was obtained in the linear optical beam. Finally, under sequential control of double acousto-optic modulators, a double wavelength laser with rapid tuning output and a common optical axis was obtained. The tuning time of the pulsed laser was approximately 1 ms, which pulsed at a width of less than 300 ns. The tuning speed of the pulsed laser was independent of the transition band of the CO2 laser.
A rapid tuning pulsed CO2 laser is presented using a blazed grating system and a pair of acousto-optic modulators. Firstly, the characteristics of acousto-optic modulators were studied through experimentation. The results showed that the deflection angle of the acousto-optic modulator was approximately 4.4°, which was in agreement with the calculations of the Bragg equation. When a single laser passed the acousto-optic modulator, the shift in frequency was approximately 40.68 MHz, which was in agreement with the acousto-optic driving frequency. In addition, when multiple lasers passed through the acousto-optic modulator, the shift in frequency was compounded. Based on the acousto-optic modulator results, experimental research was performed on rapid tuning pulsed CO2 lasers. In order to offset the shift in acousto-optic frequency, two acousto-optic modulators were placed symmetrically in the deflected optical beam, and a laser output was obtained. Using a blazed grating, a full band tunable output laser was obtained in the linear optical beam. Finally, under sequential control of double acousto-optic modulators, a double wavelength laser with rapid tuning output and a common optical axis was obtained. The tuning time of the pulsed laser was approximately 1 ms, which pulsed at a width of less than 300 ns. The tuning speed of the pulsed laser was independent of the transition band of the CO2 laser.
2019, 12(2): 362-370.
doi: 10.3788/CO.20191202.0362
Abstract:
The photorefractive phenomenon was observed in biphenyl derivatives materials under continuous wave laser(532nm) irradiation. Two types of sample were prepared:biphenyl derivatives(2-(4-hydroxypheny)-5-pyrimidinol, 4'-hydroxy-4-biphenyl carbonitrile, 3-amino-4-phenylphenol and 4, 4'-Biphenol) were respectively dissolved in N, N-dimethylformamide(DMF) detaining 4-solution samples, and the concentration was 2wt%; biphenyl derivatives were dissolved into a saturated solution of anhydrous ethanol as a solute, and the single crystals of biphenyl derivatives were obtained by slow evaporation of the ethanol solution at an ambient temperature. The experimental results show that cyclic symmetric bright-dark spatial stripes were formed after the laser beam transmitted through the 2-(4-hydroxypheny)-5-pyrimidinol, 4'-hydroxy-4-biphenyl carbonitrile and 3-amino-4-phenylphenol solutions with an asymmetric chromophore. On the other hand, the transmitted laser spot has no change in 4, 4'-Biphenol solution, no matter how the laser power density was increased. A distorted beam was observed when the 2-(4-hydroxypheny)-5-pyrimidinol, 4'-hydroxy-4-biphenyl carbonitrile, and 3-amino-4-phenylphenol single crystals were irradiated by high optical power density, while the laser beam spot experienced no change in the 4, 4'-Biphenol single crystal. The different values of the Open/Dark current were about 10 nA in biphenyl derivatives with an asymmetric chromophore. The distorted optical spot stretched along the laser polarization. The threshold value of laser power density for distorted spot was about 100 W/cm2 and 10 W/cm2 in the solutions and single crystals of biphenyl derivatives with an asymmetric chromophore. An explanation was proposed for the symmetric cyclic bright-dark spatial stripes, being that they were induced by the photorefractive effect. The photorefractive effect relies on the formation of a space-charge field through the illumination of inhomogeneous light intensity patterns. The biphenyl derivatives were found to be photorefractive materials.
The photorefractive phenomenon was observed in biphenyl derivatives materials under continuous wave laser(532nm) irradiation. Two types of sample were prepared:biphenyl derivatives(2-(4-hydroxypheny)-5-pyrimidinol, 4'-hydroxy-4-biphenyl carbonitrile, 3-amino-4-phenylphenol and 4, 4'-Biphenol) were respectively dissolved in N, N-dimethylformamide(DMF) detaining 4-solution samples, and the concentration was 2wt%; biphenyl derivatives were dissolved into a saturated solution of anhydrous ethanol as a solute, and the single crystals of biphenyl derivatives were obtained by slow evaporation of the ethanol solution at an ambient temperature. The experimental results show that cyclic symmetric bright-dark spatial stripes were formed after the laser beam transmitted through the 2-(4-hydroxypheny)-5-pyrimidinol, 4'-hydroxy-4-biphenyl carbonitrile and 3-amino-4-phenylphenol solutions with an asymmetric chromophore. On the other hand, the transmitted laser spot has no change in 4, 4'-Biphenol solution, no matter how the laser power density was increased. A distorted beam was observed when the 2-(4-hydroxypheny)-5-pyrimidinol, 4'-hydroxy-4-biphenyl carbonitrile, and 3-amino-4-phenylphenol single crystals were irradiated by high optical power density, while the laser beam spot experienced no change in the 4, 4'-Biphenol single crystal. The different values of the Open/Dark current were about 10 nA in biphenyl derivatives with an asymmetric chromophore. The distorted optical spot stretched along the laser polarization. The threshold value of laser power density for distorted spot was about 100 W/cm2 and 10 W/cm2 in the solutions and single crystals of biphenyl derivatives with an asymmetric chromophore. An explanation was proposed for the symmetric cyclic bright-dark spatial stripes, being that they were induced by the photorefractive effect. The photorefractive effect relies on the formation of a space-charge field through the illumination of inhomogeneous light intensity patterns. The biphenyl derivatives were found to be photorefractive materials.
2019, 12(2): 371-381.
doi: 10.3788/CO.20191202.0371
Abstract:
In order to understand the ultrafast laser-induced damage mechanisms of typical imaging sensor's film structures, the damage characteristics of Si-based multi-layer films irradiated by a femtosecond pulsed laser were investigated, and the laser pulse fluence ranges and threshold conditions corresponding to various damage phenomena were evaluated. Si-based multi-layer films that were similar in structure of CCD were prepared by electron beam deposition. The damage characteristics of these films irradiated by a femtosecond pulsed laser with wavelength of 800 nm and pulse width of 100 fs under different pulse fluences and numbers were investigated using a metallurgical microscope. Experimental results showed that the laser-affected zone size increased linearly with pulse fluence in the range of 1.01 to 24.7 J/cm2. Surface damage caused by oxidation/amorphization, non-thermal ablation, and laser-induced plasma ablation could be observed in the laser irradiated zone, which tightly depended on the pulse fluence. Multi-layer damage could be observed and the damage probability increased from 1% to 51% in the pulse fluence range from 2.42 to 24.7 J/cm2. Irradiated by sequent pulses at a fluence of 1.01 J/cm2, the laser affected zone remained almost unchanged and the ablated depth increased with the pulse number. From the single pulse damage experiment data, the femtosecond pulse laser-induced surface damage threshold was evaluated to be 0.543 J/cm2 and laser-induced multi-layer stress damage threshold was linearly fitted to be 2.16 J/cm2. Sequent pulse irradiation with low fluence(≤ 1.01 J/cm2) also could lead to deep damage on the multi-layer film.
In order to understand the ultrafast laser-induced damage mechanisms of typical imaging sensor's film structures, the damage characteristics of Si-based multi-layer films irradiated by a femtosecond pulsed laser were investigated, and the laser pulse fluence ranges and threshold conditions corresponding to various damage phenomena were evaluated. Si-based multi-layer films that were similar in structure of CCD were prepared by electron beam deposition. The damage characteristics of these films irradiated by a femtosecond pulsed laser with wavelength of 800 nm and pulse width of 100 fs under different pulse fluences and numbers were investigated using a metallurgical microscope. Experimental results showed that the laser-affected zone size increased linearly with pulse fluence in the range of 1.01 to 24.7 J/cm2. Surface damage caused by oxidation/amorphization, non-thermal ablation, and laser-induced plasma ablation could be observed in the laser irradiated zone, which tightly depended on the pulse fluence. Multi-layer damage could be observed and the damage probability increased from 1% to 51% in the pulse fluence range from 2.42 to 24.7 J/cm2. Irradiated by sequent pulses at a fluence of 1.01 J/cm2, the laser affected zone remained almost unchanged and the ablated depth increased with the pulse number. From the single pulse damage experiment data, the femtosecond pulse laser-induced surface damage threshold was evaluated to be 0.543 J/cm2 and laser-induced multi-layer stress damage threshold was linearly fitted to be 2.16 J/cm2. Sequent pulse irradiation with low fluence(≤ 1.01 J/cm2) also could lead to deep damage on the multi-layer film.
2019, 12(2): 382-394.
doi: 10.3788/CO.20191202.0382
Abstract:
A charge generation layer(CGL) of Liq/Al/HAT-CN is used to fabricate the blue-yellow complementary tandem white organic light-emitting device. A group of dual-color devices are used to illustrate the working mechanism of CGL, and Liq/Al structure in the CGL is further studied. Under the current density of 10 mA/cm2, the operating voltage(8.3 V) and luminance(746 cd/m2) of the tandem device are both approximately the sum of those of blue device(4.2 V, 315 cd/m2) and yellow device(4.2 V, 426 cd/m2), respectively, confirming that the charge generating layer is effective. The maximum brightness of 11 420 cd/m2 is obtained at the current density of 240 mA/cm2, and the current efficiency and power efficiency are 7.2 cd/A and 2.6 lm/W under the luminance of 1 000 cd/m2, respectively. When driving current density increases from 10 mA/cm2 to 30 mA/cm2, the ratio of blue light in spectra increases by 5%, which means the stable performance of device. In view of the weak microcavity effect existing in the tandem device, we conducted in-depth research by optical simulation based on the microcavity theory. The simulation results are highly consistent with the actual spectra, demonstrating the accuracy of optical simulation calculation.
A charge generation layer(CGL) of Liq/Al/HAT-CN is used to fabricate the blue-yellow complementary tandem white organic light-emitting device. A group of dual-color devices are used to illustrate the working mechanism of CGL, and Liq/Al structure in the CGL is further studied. Under the current density of 10 mA/cm2, the operating voltage(8.3 V) and luminance(746 cd/m2) of the tandem device are both approximately the sum of those of blue device(4.2 V, 315 cd/m2) and yellow device(4.2 V, 426 cd/m2), respectively, confirming that the charge generating layer is effective. The maximum brightness of 11 420 cd/m2 is obtained at the current density of 240 mA/cm2, and the current efficiency and power efficiency are 7.2 cd/A and 2.6 lm/W under the luminance of 1 000 cd/m2, respectively. When driving current density increases from 10 mA/cm2 to 30 mA/cm2, the ratio of blue light in spectra increases by 5%, which means the stable performance of device. In view of the weak microcavity effect existing in the tandem device, we conducted in-depth research by optical simulation based on the microcavity theory. The simulation results are highly consistent with the actual spectra, demonstrating the accuracy of optical simulation calculation.
2019, 12(2): 395-404.
doi: 10.3788/CO.20191202.0395
Abstract:
The bottom and sidewall profile reconstruction of microstructures with a high aspect ratio is a problem that urgently needs to be solved in the field of MEMS(Micro-Electro-Mechanical system). Microstructures profile reconstruction method is presented based on near-infrared light transmission reflection interferometry with optical path compensation(OPC), which is extended from white light to near-infrared light and from reflection interference to transmission interference. The near-infrared light transmission interferometry system is composed of a near-infrared light source, an interference microscope, an infrared light CCD, piezoelectric ceramics with high accuracy and a data acquisition system. A GaAs sample microstructure with two steps was designed and the method of vertical scanning interference of near-infrared light with OPC was adopted to reconstruct the internal profile of a microstructure, which was then compared with the results of scanning electron microscopy(SEM). Test results show that the relative heights of the measured microstructure steps using near-infrared light transmission reflection interferometry were 2.132 μm and 0.766 μm with 2.16% and 2.68% relative errors, respectively, which agree with the results of SEM and that of the near-infrared light reflection interferometer. The measurement system has the ability to reconstruct the bottom and sidewall profile of microstructures with a high aspect ratio.
The bottom and sidewall profile reconstruction of microstructures with a high aspect ratio is a problem that urgently needs to be solved in the field of MEMS(Micro-Electro-Mechanical system). Microstructures profile reconstruction method is presented based on near-infrared light transmission reflection interferometry with optical path compensation(OPC), which is extended from white light to near-infrared light and from reflection interference to transmission interference. The near-infrared light transmission interferometry system is composed of a near-infrared light source, an interference microscope, an infrared light CCD, piezoelectric ceramics with high accuracy and a data acquisition system. A GaAs sample microstructure with two steps was designed and the method of vertical scanning interference of near-infrared light with OPC was adopted to reconstruct the internal profile of a microstructure, which was then compared with the results of scanning electron microscopy(SEM). Test results show that the relative heights of the measured microstructure steps using near-infrared light transmission reflection interferometry were 2.132 μm and 0.766 μm with 2.16% and 2.68% relative errors, respectively, which agree with the results of SEM and that of the near-infrared light reflection interferometer. The measurement system has the ability to reconstruct the bottom and sidewall profile of microstructures with a high aspect ratio.
2019, 12(2): 405-412.
doi: 10.3788/CO.20191202.0405
Abstract:
Effective communication between underwater platforms and aerial platforms has been a challenging issue in a long-time, due to the fact that either acoustic waves or electromagnetic waves can efficiently transmit only in the sea water or air, rather than both. As laser beams are able to penetrate a decent depth of sea water, free-space optical communications(FSOC) is considered to be a good substitutive approach. As is well known, the attenuation caused by absorption and scattering has proved to be the most significant adverse factor for underwater laser propagation, which, however, can only be compensated by a larger power margin. Nonetheless, even if the launching power is large enough to allow for affordable receiver sensitivity, the intensity fluctuation induced by atmospheric and oceanic turbulence can degrade the link performance to a great extent. This study addresses the turbulence effects on FSOC links between an underwater vehicle and an aerial platform. By use of wave optics simulation(WOS), the propagation of both the Gaussian beams and the annular beams in an air-sea two-section link is examined. The difference in performance between the uplink and the downlink is compared and explained according to numerical results. Generally, uplink suffers more from turbulence because the majority of turbulence lies nearer to its transmitter. Moreover, it is found that an annular beam always delivers a smaller scintillation index and a greater signal-to-noise ratio. This study is supposed to benefit the research and development of future air-sea optical communication systems.
Effective communication between underwater platforms and aerial platforms has been a challenging issue in a long-time, due to the fact that either acoustic waves or electromagnetic waves can efficiently transmit only in the sea water or air, rather than both. As laser beams are able to penetrate a decent depth of sea water, free-space optical communications(FSOC) is considered to be a good substitutive approach. As is well known, the attenuation caused by absorption and scattering has proved to be the most significant adverse factor for underwater laser propagation, which, however, can only be compensated by a larger power margin. Nonetheless, even if the launching power is large enough to allow for affordable receiver sensitivity, the intensity fluctuation induced by atmospheric and oceanic turbulence can degrade the link performance to a great extent. This study addresses the turbulence effects on FSOC links between an underwater vehicle and an aerial platform. By use of wave optics simulation(WOS), the propagation of both the Gaussian beams and the annular beams in an air-sea two-section link is examined. The difference in performance between the uplink and the downlink is compared and explained according to numerical results. Generally, uplink suffers more from turbulence because the majority of turbulence lies nearer to its transmitter. Moreover, it is found that an annular beam always delivers a smaller scintillation index and a greater signal-to-noise ratio. This study is supposed to benefit the research and development of future air-sea optical communication systems.
2019, 12(2): 413-424.
doi: 10.3788/CO.20191202.0413
Abstract:
A compact end-pumped Electro-optical Q-switched Nd:YAG laser was designed in this paper. In order to achieve compact construction, laser diode arrays(LDAs) with collimated fast axes were used as pumping source. A spherical lens with a focal length of 40 mm and a cylinder lens with focal length of 25 mm were used as a group for the coupling lens. The LDAs' beam profiles on the incident and exit faces were calculated using Tracepro software. The simulation results indicate that when taking a Φ 6 mm×30 mm Nd:YAG with a doping concentration of 1.0at.% as the gain medium, the spots on the incident and exit faces were 5 mm(slow-axis)×4.5 mm(fast-axis) and 3 mm(slow-axis)×6 mm(fast-axis), respectively, and the absorption pumping power was about 83%. Dynamic temperature field distributions of Nd:YAG larer in 360 s at 22℃ and 60℃ were simulated by Ansys software. Output pulsed energy of 30 mJ and 25 mJ were achieved while the repetition frequencies were 30 Hz and 50 Hz, corresponding to a slope efficiency of 11.6% and 14.71%. The pulse durations were 18 ns and 16 ns, respectively. The experimental results show that the designed compact laser in this paper can achieve stable pulse laser output.
A compact end-pumped Electro-optical Q-switched Nd:YAG laser was designed in this paper. In order to achieve compact construction, laser diode arrays(LDAs) with collimated fast axes were used as pumping source. A spherical lens with a focal length of 40 mm and a cylinder lens with focal length of 25 mm were used as a group for the coupling lens. The LDAs' beam profiles on the incident and exit faces were calculated using Tracepro software. The simulation results indicate that when taking a Φ 6 mm×30 mm Nd:YAG with a doping concentration of 1.0at.% as the gain medium, the spots on the incident and exit faces were 5 mm(slow-axis)×4.5 mm(fast-axis) and 3 mm(slow-axis)×6 mm(fast-axis), respectively, and the absorption pumping power was about 83%. Dynamic temperature field distributions of Nd:YAG larer in 360 s at 22℃ and 60℃ were simulated by Ansys software. Output pulsed energy of 30 mJ and 25 mJ were achieved while the repetition frequencies were 30 Hz and 50 Hz, corresponding to a slope efficiency of 11.6% and 14.71%. The pulse durations were 18 ns and 16 ns, respectively. The experimental results show that the designed compact laser in this paper can achieve stable pulse laser output.
Abstract
FullText HTML
PDF 4241KB