2019 Vol. 12, No. 3
2019, 12(3): 425-431.
doi: 10.3788/CO.20191203.0425
Abstract:
To realize scientific measurement of gravitational waves in the space gravitational wave detection, after launching into a predetermined orbit, the satellites must first construct a 100-km laser link. Furthermore, to prevent the gravitational wave signal from being flooded by laser pointing noise, the laser pointing stability must reach a magnitude of nrad/ . Therefore, a sophisticated laser pointing scheme has to be adopted. In this paper, based on the Taiji program, we will discuss the design of such a scheme, which can be divided into two phases. Laser acquisition will be the first process. A star sensor(STR) and a charge coupled device(CCD) will be used as auxiliary capture detectors to decrease the laser pointing uncertainty region to sub-μrad levels. After that will be the laser fine pointing process, which uses differential wavefront sensitive(DWS) technology to accurately control pointing direction. The requirements of the acquisition sensors will be proposed based on the Taiji program while the feasibility of the DWS technique in the laser fine pointing phase will be discussed. The conclusions of this paper can be regarded as the basis and principle of related experiments and will give a reference for system construction in the laser pointing scheme of the Taiji program.
To realize scientific measurement of gravitational waves in the space gravitational wave detection, after launching into a predetermined orbit, the satellites must first construct a 100-km laser link. Furthermore, to prevent the gravitational wave signal from being flooded by laser pointing noise, the laser pointing stability must reach a magnitude of nrad/
2019, 12(3): 432-440.
doi: 10.3788/CO.20191203.0432
Abstract:
A fiber-optic coupler with all glass materials is presented in this paper to realize high-precision, ultrastable interferometry. Firstly, we introduce the working principle of interferometry systems and the design of the fiber-optic coupler. Secondly, through theoretical analysis, selection of aspheric lenses is performed based on specific parameters of the lenses, which are investigated using numerical and software analysis. Then, we carry out a tolerance analysis of matching degrees of beam parameters and beam vectors, along with a thermal analysis of the structures. Finally, by combining theoretical analysis with precise adjustment, the manufacturing process of the fiber-optic coupler is finalized. Experimental results indicate that the error of the spot size compared to the result of simulations is about 3.4%. The difference between two beams'spot size is about 0.9%, their center distance is less then 40 μm and their included angle is about 60 μrad. This data can satisfy the application requirements of the interferometric system.
A fiber-optic coupler with all glass materials is presented in this paper to realize high-precision, ultrastable interferometry. Firstly, we introduce the working principle of interferometry systems and the design of the fiber-optic coupler. Secondly, through theoretical analysis, selection of aspheric lenses is performed based on specific parameters of the lenses, which are investigated using numerical and software analysis. Then, we carry out a tolerance analysis of matching degrees of beam parameters and beam vectors, along with a thermal analysis of the structures. Finally, by combining theoretical analysis with precise adjustment, the manufacturing process of the fiber-optic coupler is finalized. Experimental results indicate that the error of the spot size compared to the result of simulations is about 3.4%. The difference between two beams'spot size is about 0.9%, their center distance is less then 40 μm and their included angle is about 60 μrad. This data can satisfy the application requirements of the interferometric system.
2019, 12(3): 441-454.
doi: 10.3788/CO.20191203.0441
Abstract:
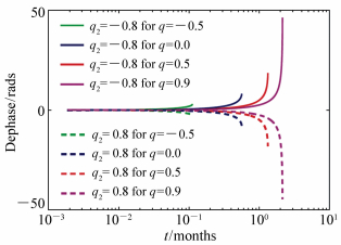
For the data analysis of space-based interferometers, calculating the gravitational waves of Extreme-mass-ratio-inspirals(EMRIs) in a highly accurate and efficient way is in high demand. In this paper, we present so-called "fully recalibrated waveform" for EMRIs with high accuracy. Based on the numerical data, by solving the Teukolsky equations, we recalibrate all of the mass-ratio independent coefficients of the factorized waveforms that are used in the effective-one-body(EOB) models. Due to these new coefficients with great efficiency(about 1 400 times more efficient than numerically solving the Teukolsky equations with the same computing environment), the precision of waveforms is improved enormously and is more accurate than other existing calibration models by at least one order in magnitude. For this reason, it meets the requirements of the space-based gravitational wave detection mission for the accuracy of EMRI waveform for uninclined, quasi-circular orbits. By investigating the dephasing value with our model, the spin of compact objects and the mass-ratio of the inspiralling system cannot be omitted in the waveform calculations. We believe our model will play an important role in the waveform-template construction of space-based GW detectors.
For the data analysis of space-based interferometers, calculating the gravitational waves of Extreme-mass-ratio-inspirals(EMRIs) in a highly accurate and efficient way is in high demand. In this paper, we present so-called "fully recalibrated waveform" for EMRIs with high accuracy. Based on the numerical data, by solving the Teukolsky equations, we recalibrate all of the mass-ratio independent coefficients of the factorized waveforms that are used in the effective-one-body(EOB) models. Due to these new coefficients with great efficiency(about 1 400 times more efficient than numerically solving the Teukolsky equations with the same computing environment), the precision of waveforms is improved enormously and is more accurate than other existing calibration models by at least one order in magnitude. For this reason, it meets the requirements of the space-based gravitational wave detection mission for the accuracy of EMRI waveform for uninclined, quasi-circular orbits. By investigating the dephasing value with our model, the spin of compact objects and the mass-ratio of the inspiralling system cannot be omitted in the waveform calculations. We believe our model will play an important role in the waveform-template construction of space-based GW detectors.
2019, 12(3): 455-462.
doi: 10.3788/CO.20191203.0455
Abstract:
Inertial sensors are widely used to measure small disturbances in acceleration caused by non-conservative forces in space and to realize the drag-free control of spacecrafts in scientific experiments, such as earth gravity field inversion and equivalent principle verification. In the space gravitational wave detection researchbeing carried out at home and abroad, the inertial sensor is used as the core measurement load to shield external noise and achieve free-fall motion of the Test Mass in the direction of the space sensitive axis through electrostatic control. In this paper, on the basis of the electrostatic suspension inertial sensor capacitor structures, with consideration to the working principle of the electrostatic force driving control system and based on actual processing conditions, the source of error in the system asymmetry is analyzed. Through comparative analysis of the system's performance effects on various asymmetry conditions, the asymmetry of the electrods is obtained, especially in the range of high loss in performance. On this basis, combined with the actual processing conditions, the basic requirements to control the dimensional error of the machining line within 10 μm and the area asymmetry between 1% and 2% are obtained, so as to reduce the measurement range limitation of the system and improve its scientific goal.
Inertial sensors are widely used to measure small disturbances in acceleration caused by non-conservative forces in space and to realize the drag-free control of spacecrafts in scientific experiments, such as earth gravity field inversion and equivalent principle verification. In the space gravitational wave detection researchbeing carried out at home and abroad, the inertial sensor is used as the core measurement load to shield external noise and achieve free-fall motion of the Test Mass in the direction of the space sensitive axis through electrostatic control. In this paper, on the basis of the electrostatic suspension inertial sensor capacitor structures, with consideration to the working principle of the electrostatic force driving control system and based on actual processing conditions, the source of error in the system asymmetry is analyzed. Through comparative analysis of the system's performance effects on various asymmetry conditions, the asymmetry of the electrods is obtained, especially in the range of high loss in performance. On this basis, combined with the actual processing conditions, the basic requirements to control the dimensional error of the machining line within 10 μm and the area asymmetry between 1% and 2% are obtained, so as to reduce the measurement range limitation of the system and improve its scientific goal.
2019, 12(3): 463-476.
doi: 10.3788/CO.20191203.0463
Abstract:
As the gravitational reference object for drag-free spacecrafts, the structural optimal design, choice of material and related configuration comparisons of proof masses could provide information for gravitational reference sensors' modular designs in future spatial drag-free missions. Firstly, the determinants and design criteria of proof mass shape are discussed. The model of gravitational coupling between a point mass source and a cylindrical proof mass is established in test of the equivalence principle experiment. The optimization procedure for the structural dimension of proof masses is deduced in detail and the effects on structural design induced by special considerations for proof mass constraint surfaces and their principal moments of inertia are analyzed. Secondly, the choice of material for proof masses is determined by maximizing scientific measurement signal intensity and/or minimizing non-gravitational acceleration disturbance. Results show that materials with low magnetic susceptibility, high density and a low thermal expansion coefficient could be suitable. Finally, a trade-off study of several configurations of proof masses utilized in future space gravitational wave detection is performed from the following aspects:acceleration noise performance, flight heritage, technology maturity and drag-free control complexity.
As the gravitational reference object for drag-free spacecrafts, the structural optimal design, choice of material and related configuration comparisons of proof masses could provide information for gravitational reference sensors' modular designs in future spatial drag-free missions. Firstly, the determinants and design criteria of proof mass shape are discussed. The model of gravitational coupling between a point mass source and a cylindrical proof mass is established in test of the equivalence principle experiment. The optimization procedure for the structural dimension of proof masses is deduced in detail and the effects on structural design induced by special considerations for proof mass constraint surfaces and their principal moments of inertia are analyzed. Secondly, the choice of material for proof masses is determined by maximizing scientific measurement signal intensity and/or minimizing non-gravitational acceleration disturbance. Results show that materials with low magnetic susceptibility, high density and a low thermal expansion coefficient could be suitable. Finally, a trade-off study of several configurations of proof masses utilized in future space gravitational wave detection is performed from the following aspects:acceleration noise performance, flight heritage, technology maturity and drag-free control complexity.
2019, 12(3): 477-485.
doi: 10.3788/CO.20191203.0477
Abstract:
Detecting gravitational waves on ground was limited by the noises such as surface vibration, gravity gradient and the test scale. The detection frequency band is limited to more than 10 Hz while the detection frequency band is mainly in the middle and low frequency band(0.1 mHz~1 Hz) for wave sources with larger feature quality and scale. So in order to avoid ground interference, detection from space is inevitably necessary. As gravitational wave signals are extremely weak and their required detection accuracy is extremely high, space gravitational wave detection projects represented by LISA was proposed by ESA and Taiji was proposed by the Chinese Academy of Sciences. However, both domestic and foreign proposed projects had extremely high requirements for satellite technical indicators, design complexity and cost. They were hard to achieve in the short term. This paper refers to the design of LISA pathfinder, designs a near-field low-cost commercial satellite for the verification requirements of gravitational wave detection key technologies, analyzes the satellite mission design and proposes ways to verify its structure, thermal and attitude control technologies. In this paper, a preliminary idea of commercial low-cost technology verification was proposed to provide reference for the design of space gravitational wave detection satellites.
Detecting gravitational waves on ground was limited by the noises such as surface vibration, gravity gradient and the test scale. The detection frequency band is limited to more than 10 Hz while the detection frequency band is mainly in the middle and low frequency band(0.1 mHz~1 Hz) for wave sources with larger feature quality and scale. So in order to avoid ground interference, detection from space is inevitably necessary. As gravitational wave signals are extremely weak and their required detection accuracy is extremely high, space gravitational wave detection projects represented by LISA was proposed by ESA and Taiji was proposed by the Chinese Academy of Sciences. However, both domestic and foreign proposed projects had extremely high requirements for satellite technical indicators, design complexity and cost. They were hard to achieve in the short term. This paper refers to the design of LISA pathfinder, designs a near-field low-cost commercial satellite for the verification requirements of gravitational wave detection key technologies, analyzes the satellite mission design and proposes ways to verify its structure, thermal and attitude control technologies. In this paper, a preliminary idea of commercial low-cost technology verification was proposed to provide reference for the design of space gravitational wave detection satellites.
2019, 12(3): 486-492.
doi: 10.3788/CO.20191203.0486
Abstract:
Due to the large unequal interferometer arm, laser frequency jitter noise is the dominant noise in space gravitational wave detection. This noise can be less than shot noise when the frequency jitter is suppressed below than 10-6 Hz1/2 through the combination of PDH(Pound-Drever-Hall), arm locking and TDI (Time Delay Interferometer) technologies. However, absolute ranging and laser communication are the preconditions of the TDI. In this paper, we discuss the principle and implementation of the absolute ranging and laser communication. The pseudo-random code and communication code are modulated by the EOM(Electro-Optic Modulator) into the phase of the main laser beam and then sent to the far satellite. The absolute distance and the message can be obtained through the PLL(Phase Lock Loop) and the DLL(Delay Lock Loop). The related conclusions can be regarded as the basis and principle for related experimentation and will give a design reference for future space gravitational wave detection in our country.
Due to the large unequal interferometer arm, laser frequency jitter noise is the dominant noise in space gravitational wave detection. This noise can be less than shot noise when the frequency jitter is suppressed below than 10-6 Hz1/2 through the combination of PDH(Pound-Drever-Hall), arm locking and TDI (Time Delay Interferometer) technologies. However, absolute ranging and laser communication are the preconditions of the TDI. In this paper, we discuss the principle and implementation of the absolute ranging and laser communication. The pseudo-random code and communication code are modulated by the EOM(Electro-Optic Modulator) into the phase of the main laser beam and then sent to the far satellite. The absolute distance and the message can be obtained through the PLL(Phase Lock Loop) and the DLL(Delay Lock Loop). The related conclusions can be regarded as the basis and principle for related experimentation and will give a design reference for future space gravitational wave detection in our country.
2019, 12(3): 493-502.
doi: 10.3788/CO.20191203.0493
Abstract:
In order to analyze the effect of injection error on gravitational wave detection, and keep arm length, breathing angle, arm length variation rate and distance to earth acceptable, the effect of injection error is investigated. First, the Monte-Carlo and CADET are tested and compared. CADET is proved to be correct. The effects of position and velocity error on constellations are researched with the CADET method. Experimental results indicate that the relative error between CADET and Monte-Carlo is less than 6%, and the calculated time of CADET is less than 1 min. Radial position error and tangential velocity error have a greater effect on constellation. If the position error of the three satellites are in same direction, maintaining stability is easier. The same is true for velocity error. A constellation can remain stable when position error is no more than 160 km and velocity error is no more than 3 cm/s. CADET is appropriate for injection error analysis because of its accuracy and high efficiency.
In order to analyze the effect of injection error on gravitational wave detection, and keep arm length, breathing angle, arm length variation rate and distance to earth acceptable, the effect of injection error is investigated. First, the Monte-Carlo and CADET are tested and compared. CADET is proved to be correct. The effects of position and velocity error on constellations are researched with the CADET method. Experimental results indicate that the relative error between CADET and Monte-Carlo is less than 6%, and the calculated time of CADET is less than 1 min. Radial position error and tangential velocity error have a greater effect on constellation. If the position error of the three satellites are in same direction, maintaining stability is easier. The same is true for velocity error. A constellation can remain stable when position error is no more than 160 km and velocity error is no more than 3 cm/s. CADET is appropriate for injection error analysis because of its accuracy and high efficiency.
2019, 12(3): 503-514.
doi: 10.3788/CO.20191203.0503
Abstract:
Drag-free control technology counteracts non-conservative forces that act on a spacecraft by controlling thrust generated by micro-thrusters. It is among the key technologies for obtaining an ultra-quiet and ultra-stable space experimental platform. Firstly, the status of current research and the development trends of drag-free control technologies both abroad and within China are summarized. Then the characteristics and challenges of drag-free control technologies are analyzed and the key technologies involved in drag-free control are summarized. Finally, analysis and prospection are provided for applications of drag-free control technologies in China's space gravitational wave detection.
Drag-free control technology counteracts non-conservative forces that act on a spacecraft by controlling thrust generated by micro-thrusters. It is among the key technologies for obtaining an ultra-quiet and ultra-stable space experimental platform. Firstly, the status of current research and the development trends of drag-free control technologies both abroad and within China are summarized. Then the characteristics and challenges of drag-free control technologies are analyzed and the key technologies involved in drag-free control are summarized. Finally, analysis and prospection are provided for applications of drag-free control technologies in China's space gravitational wave detection.
2019, 12(3): 515-525.
doi: 10.3788/CO.20191203.0515
Abstract:
The requirement of space gravitational wave detection on residual acceleration is extremely high(10-15 ms-2Hz-1/2), and the environmental magnetic field will cause magnetic force and Lorentz force. To ensure the accurately detection of gravitational wave, the environmental magnetic field and its gradient must be controlled within a low range. In this paper, we mainly research the effect of the on-board residual magnetism on internal sensors. Then, the relationship between residual magnetism and acceleration is explored from the aspects of interstellar magnetic field, residual magnetism of satellite components and time-varying magnetic field detection. Moreover, the simulation and detection of magnetic field are discussed. The results show that the remanence magnetic field can be reduced by optimizing the location and the orientation of the magnetic source. It is necessary to control magnetic field noise by real-time monitoring of interstellar magnetic field and time-varying magnetic field by adopting weak magnetic detection device for obtaining high-precision gravitational wave detection data. It can be concluded that it's necessary to analyze the influence of on-board residual magnetism on the inertial sensors, and the magnetic field evaluation schemes and weak magnetic detection methods for satellite platform should be developed.
The requirement of space gravitational wave detection on residual acceleration is extremely high(10-15 ms-2Hz-1/2), and the environmental magnetic field will cause magnetic force and Lorentz force. To ensure the accurately detection of gravitational wave, the environmental magnetic field and its gradient must be controlled within a low range. In this paper, we mainly research the effect of the on-board residual magnetism on internal sensors. Then, the relationship between residual magnetism and acceleration is explored from the aspects of interstellar magnetic field, residual magnetism of satellite components and time-varying magnetic field detection. Moreover, the simulation and detection of magnetic field are discussed. The results show that the remanence magnetic field can be reduced by optimizing the location and the orientation of the magnetic source. It is necessary to control magnetic field noise by real-time monitoring of interstellar magnetic field and time-varying magnetic field by adopting weak magnetic detection device for obtaining high-precision gravitational wave detection data. It can be concluded that it's necessary to analyze the influence of on-board residual magnetism on the inertial sensors, and the magnetic field evaluation schemes and weak magnetic detection methods for satellite platform should be developed.
2019, 12(3): 526-534.
doi: 10.3788/CO.20191203.0526
Abstract:
The space gravitational wave detection mission requires a micro-thruster with sub-micro-scale thrust resolution and thrust noise to achieve high-precision drag-free control tasks for satellite platforms. In order to calibrate the thrust of the above-mentioned micro-thrusters on the ground, a set of sub-micro-scale thrust measurement systems using a torsion pendulum is designed. The system uses a high-precision and high-resolution capacitive displacement sensor as the torsion swing angle displacement sensing device. A high-precision electronic balance is used to calibrate an electrostatic comb, and the static comb is used to observe the torsion pendulum to obtain the relationship between thrust and angular displacement. In addition, high-precision weak force calibration technology and sub-micro-scale micro-thrust on-line measurement technology are studied. The measurement error source and control scheme are analyzed. Finally, the static weak comb is used to generate a standard weak force to measure the torsion pendulum thrust resolution capability and range. The experimental results show that the system can measure a thrust range of 0.1 μN to 400 μN with a resolution that reaches 0.1 μN, and a background noise power spectral density of better than 0.1 μN/ (10 mHz~1 Hz), which satisfies the requirements of space gravitational wave detection in the thrust measurement range of 10 mHz-1 Hz.
The space gravitational wave detection mission requires a micro-thruster with sub-micro-scale thrust resolution and thrust noise to achieve high-precision drag-free control tasks for satellite platforms. In order to calibrate the thrust of the above-mentioned micro-thrusters on the ground, a set of sub-micro-scale thrust measurement systems using a torsion pendulum is designed. The system uses a high-precision and high-resolution capacitive displacement sensor as the torsion swing angle displacement sensing device. A high-precision electronic balance is used to calibrate an electrostatic comb, and the static comb is used to observe the torsion pendulum to obtain the relationship between thrust and angular displacement. In addition, high-precision weak force calibration technology and sub-micro-scale micro-thrust on-line measurement technology are studied. The measurement error source and control scheme are analyzed. Finally, the static weak comb is used to generate a standard weak force to measure the torsion pendulum thrust resolution capability and range. The experimental results show that the system can measure a thrust range of 0.1 μN to 400 μN with a resolution that reaches 0.1 μN, and a background noise power spectral density of better than 0.1 μN/
2019, 12(3): 535-558.
doi: 10.3788/CO.20191203.0535
Abstract:
Nonlinear optical(NLO) crystals are the determinant in nonlinear optics. Recently, a variety of new organic crystals have been developed to further improve the output energy and conversion efficiency and to broaden the bandwidth of THz waves based on nonlinear optical frequency conversion technology. These crystals have become an ideal material for generating THz waves with their excellent performance in nonlinear optics. In this paper, the properties of different organic crystals are introduced in the classification of ionic crystals and nonionic molecular crystals, and the progress of THz sources that use the different organic crystals are summarized. At the same time, the applications and the trends in the development of broadband THz radiation using organic crystals are analyzed.
Nonlinear optical(NLO) crystals are the determinant in nonlinear optics. Recently, a variety of new organic crystals have been developed to further improve the output energy and conversion efficiency and to broaden the bandwidth of THz waves based on nonlinear optical frequency conversion technology. These crystals have become an ideal material for generating THz waves with their excellent performance in nonlinear optics. In this paper, the properties of different organic crystals are introduced in the classification of ionic crystals and nonionic molecular crystals, and the progress of THz sources that use the different organic crystals are summarized. At the same time, the applications and the trends in the development of broadband THz radiation using organic crystals are analyzed.
2019, 12(3): 559-566.
doi: 10.3788/CO.20191203.0559
Abstract:
In order to obtain high beam quality pulsed solid laser output, the distribution mode of the Gaussian unstable resonator was studied. The boundary finite element method was used to transform the integral equation of the diffraction of the light field in the cavity into a matrix equation. According to a theoretical simulation, the effects of the aperture position, the size of aperture and the parameters of the Gaussian mirror on the amplitude of the output beam in a plane-convex Gaussian unstability cavity were analyzed. Based on the results of the theoretical simulation, the optical parameters of the laser were optimized. The distribution of amplitude and mode of output beam under different positions and aperture sizes were measured in this experiment. When the radius of the aperture was 1mm, the aperture was 150 mm from the Gaussian mirror, the pump voltage was 900 V, the values of M2 in the x and y directions were respectively 1.9 and 2.3, and the maximum output energy of the laser was 280 mJ. The experimental results show that the addition of an aperture and the optimization of the parameters of the Gaussian mirror could improve the distribution of intracavity mode and produce high quality beam output, which agrees with the results of the theoretical simulation.
In order to obtain high beam quality pulsed solid laser output, the distribution mode of the Gaussian unstable resonator was studied. The boundary finite element method was used to transform the integral equation of the diffraction of the light field in the cavity into a matrix equation. According to a theoretical simulation, the effects of the aperture position, the size of aperture and the parameters of the Gaussian mirror on the amplitude of the output beam in a plane-convex Gaussian unstability cavity were analyzed. Based on the results of the theoretical simulation, the optical parameters of the laser were optimized. The distribution of amplitude and mode of output beam under different positions and aperture sizes were measured in this experiment. When the radius of the aperture was 1mm, the aperture was 150 mm from the Gaussian mirror, the pump voltage was 900 V, the values of M2 in the x and y directions were respectively 1.9 and 2.3, and the maximum output energy of the laser was 280 mJ. The experimental results show that the addition of an aperture and the optimization of the parameters of the Gaussian mirror could improve the distribution of intracavity mode and produce high quality beam output, which agrees with the results of the theoretical simulation.
2019, 12(3): 567-574.
doi: 10.3788/CO.20191203.0567
Abstract:
To carry out the error analysis and allocation for large optical systems, on the basis of the "normalized Point Source Sensitivity"(PSSn) proposed by the TMT primary mirror team, the characteristics and distribution of errors of large sparse aperture telescopes were investigated. Firstly, the basic properties of PSSn was studied and its advantages as an all-frequency domain evaluation metric of large sparse aperture telescopes was discussed. After that, the influence of different error sources on large sparse aperture telescopes was analyzed using PSSn. PSSn at different evaluation scales was analyzed. Finally, based on the relationship between the PSSn and slope root mean square, an error model using the "Brownian Bridge" walk and PSSn was proposed, considering the closure characteristics of the position error between the mirrors. The work has guiding significance for the design and testing of a similar large telescope system.
To carry out the error analysis and allocation for large optical systems, on the basis of the "normalized Point Source Sensitivity"(PSSn) proposed by the TMT primary mirror team, the characteristics and distribution of errors of large sparse aperture telescopes were investigated. Firstly, the basic properties of PSSn was studied and its advantages as an all-frequency domain evaluation metric of large sparse aperture telescopes was discussed. After that, the influence of different error sources on large sparse aperture telescopes was analyzed using PSSn. PSSn at different evaluation scales was analyzed. Finally, based on the relationship between the PSSn and slope root mean square, an error model using the "Brownian Bridge" walk and PSSn was proposed, considering the closure characteristics of the position error between the mirrors. The work has guiding significance for the design and testing of a similar large telescope system.
2019, 12(3): 575-586.
doi: 10.3788/CO.20191203.0575
Abstract:
On the basis of on-orbit dynamic scene real-time matching of optical satellite, a new method is proposed to solve some key problems in satellite imaging, including the narrow dynamic range, the coarctate gray scale distribution, the deficiency of gray level, and the lack of detail resolution in dark scenes. Firstly, the cloud detection and atmospheric radiation prediction methods are presented based on histogram characteristic, in order to diminish their influence to high and low dynamic metrics of scenes. Combined with the radiation relationship calibration between photometric camera and imaging camera and image motion compensate, the real-time measurement of the dynamic range of the scene is achieved by imaging twice(not more than) using the photometric camera. Then, aiming at the problem that the scene dynamic range usually exceed the camera dynamic range, a matching method between the camera and scene dynamic range is proposed based on the high-and-low luminance matching schemes. Meanwhile, the camera parameters' calculation method in different situations is presented. Finally, the proposed matching method is verified by experiments of unmanned aerial vehicle(UAV). The results indicate that the method can achieve the best matching dynamic range by setting suitable integrating numbers and gains of the camera according to the actual imaging dynamic scenes, which can improve the effective gray scale and the image entropy by 100% and 40%, respectively.
On the basis of on-orbit dynamic scene real-time matching of optical satellite, a new method is proposed to solve some key problems in satellite imaging, including the narrow dynamic range, the coarctate gray scale distribution, the deficiency of gray level, and the lack of detail resolution in dark scenes. Firstly, the cloud detection and atmospheric radiation prediction methods are presented based on histogram characteristic, in order to diminish their influence to high and low dynamic metrics of scenes. Combined with the radiation relationship calibration between photometric camera and imaging camera and image motion compensate, the real-time measurement of the dynamic range of the scene is achieved by imaging twice(not more than) using the photometric camera. Then, aiming at the problem that the scene dynamic range usually exceed the camera dynamic range, a matching method between the camera and scene dynamic range is proposed based on the high-and-low luminance matching schemes. Meanwhile, the camera parameters' calculation method in different situations is presented. Finally, the proposed matching method is verified by experiments of unmanned aerial vehicle(UAV). The results indicate that the method can achieve the best matching dynamic range by setting suitable integrating numbers and gains of the camera according to the actual imaging dynamic scenes, which can improve the effective gray scale and the image entropy by 100% and 40%, respectively.
2019, 12(3): 587-595.
doi: 10.3788/CO.20191203.0587
Abstract:
The X-ray scattering method is investigated in application of characterizing surface roughness of X-ray grazing incidence telescope. The surface figure effect on the scattering diagram of the curved rough mirror is analyzed in detail based on generalized Harvey-Shack surface scatter theory and image formation theory, when smooth-surface approximation is met and the width of the incident beam is about one tenth of spatial wavelength of the surface figure. Based on the analysis, the characterizing scheme is designed and the determination error of the one-dimensional power spectral density function due to the finite width of the receiving slit before the detector is discussed. The scheme is simulated with Zemax and the simulated results verify that the surface figure only affects the measuring accuracy of the low-spatial-frequency surface roughness. The method overcomes difficulty in measuring roughness of the grazing incidence mirror with high resolution conveniently during the development of the X-ray grazing incidence telescope.
The X-ray scattering method is investigated in application of characterizing surface roughness of X-ray grazing incidence telescope. The surface figure effect on the scattering diagram of the curved rough mirror is analyzed in detail based on generalized Harvey-Shack surface scatter theory and image formation theory, when smooth-surface approximation is met and the width of the incident beam is about one tenth of spatial wavelength of the surface figure. Based on the analysis, the characterizing scheme is designed and the determination error of the one-dimensional power spectral density function due to the finite width of the receiving slit before the detector is discussed. The scheme is simulated with Zemax and the simulated results verify that the surface figure only affects the measuring accuracy of the low-spatial-frequency surface roughness. The method overcomes difficulty in measuring roughness of the grazing incidence mirror with high resolution conveniently during the development of the X-ray grazing incidence telescope.
2019, 12(3): 596-605.
doi: 10.3788/CO.20191203.0596
Abstract:
The fluorescence intensity ratio(FIR) thermometry based on the measurement of luminous intensities of two thermal coupling energy levels of Er3+ provides high precision for the non-contacted thermometry due to its independency of the spectral loss and excitation intensity fluctuations. However, the common FIR technology is based on the up-conversion(UC) excitation, and its low up-conversion efficiency makes the temperature measurement inaccurate. Considering that the thermalization of population in Er3+ can be achieved by different excitation sources, we utilize the efficient down-conversion(DC) optical temperature measurement with a high-energy photon excitation. A tungstate material of NaGd(WO4)2 with high temperature sensitivity is used as the matrix material. It is found that NaGd(WO4)2 can be successfully applied for the DC thermometry, and the temperature sensitivity of Yb3+/Er3+ co-doped sample is higher than that of Er3+ single-doped one. In addition, the DC thermometry possesses higher sensitivity than UC, and the temperature sensitivity of 20%Yb3+/1%Er3+ doped sample is up to 344.6×10-4 K-1, which demonstrates that NaGd(WO4)2:Yb3+/Er3+ is an ideal temperature measuring material. More importantly, it further proves the feasibility of highly sensitive DC thermometry and opens up new prospects for the utilizations of FIR technology.
The fluorescence intensity ratio(FIR) thermometry based on the measurement of luminous intensities of two thermal coupling energy levels of Er3+ provides high precision for the non-contacted thermometry due to its independency of the spectral loss and excitation intensity fluctuations. However, the common FIR technology is based on the up-conversion(UC) excitation, and its low up-conversion efficiency makes the temperature measurement inaccurate. Considering that the thermalization of population in Er3+ can be achieved by different excitation sources, we utilize the efficient down-conversion(DC) optical temperature measurement with a high-energy photon excitation. A tungstate material of NaGd(WO4)2 with high temperature sensitivity is used as the matrix material. It is found that NaGd(WO4)2 can be successfully applied for the DC thermometry, and the temperature sensitivity of Yb3+/Er3+ co-doped sample is higher than that of Er3+ single-doped one. In addition, the DC thermometry possesses higher sensitivity than UC, and the temperature sensitivity of 20%Yb3+/1%Er3+ doped sample is up to 344.6×10-4 K-1, which demonstrates that NaGd(WO4)2:Yb3+/Er3+ is an ideal temperature measuring material. More importantly, it further proves the feasibility of highly sensitive DC thermometry and opens up new prospects for the utilizations of FIR technology.
2019, 12(3): 606-615.
doi: 10.3788/CO.20191203.0606
Abstract:
During the fabrication process of metallic gratings using electro-deposition, the thickness of deposited metal usually cannot be precisely controlled by the traditional timing method. In order to monitor the deposit thickness of grating bars and precisely stop depositing metal in a timely manner during the fabrication of metallic gratings, an in-situ monitoring system based on diffraction efficiency measurements was introduced. The change law of diffraction efficiency varying with Au deposition thickness was calculated using the rigorous coupled wave analysis(RCWA) method and the effect of the photoresistor grating's duty cycle and deposition current density on diffraction efficiency was discussed. The energy loss of monitoring lasers in the system was also calculated. The efficiency curve of the experiment coincides with simulation and the energy loss induced by the electro-deposition pool and solution was up to 94.88%. The experimental results indicate that the in-situ monitoring system is effective in estimating the thickness of deposited metal during the fabrication of metallic gratings. The duty cycle of photoresistor gratings has less influence on in-situ monitoring than that of deposition current density and a higher current density was more beneficial for monitoring.
During the fabrication process of metallic gratings using electro-deposition, the thickness of deposited metal usually cannot be precisely controlled by the traditional timing method. In order to monitor the deposit thickness of grating bars and precisely stop depositing metal in a timely manner during the fabrication of metallic gratings, an in-situ monitoring system based on diffraction efficiency measurements was introduced. The change law of diffraction efficiency varying with Au deposition thickness was calculated using the rigorous coupled wave analysis(RCWA) method and the effect of the photoresistor grating's duty cycle and deposition current density on diffraction efficiency was discussed. The energy loss of monitoring lasers in the system was also calculated. The efficiency curve of the experiment coincides with simulation and the energy loss induced by the electro-deposition pool and solution was up to 94.88%. The experimental results indicate that the in-situ monitoring system is effective in estimating the thickness of deposited metal during the fabrication of metallic gratings. The duty cycle of photoresistor gratings has less influence on in-situ monitoring than that of deposition current density and a higher current density was more beneficial for monitoring.
2019, 12(3): 616-627.
doi: 10.3788/CO.20191203.0616
Abstract:
Although double N-step phase-shifting profilometry can greatly reduce phase error caused by the non-sinusoidal nature of grating fringes, its number of the projection fringes doubles and its measurement efficiency is reduced. In this paper, a double N-step phase-shifting profilometry using color-encoded grating projection is proposed. It encodes the original phase-shifting fringes and the additional phase-shifting fringes into two colored fringes and fuses them into one color-encoded grating fringe projection. Then, the phase information of two sets of fringes is extracted from the captured color-encoded fringes. After calculating their wrapped phases, the two wrapped phases are fused to reduce phase error. In order to verify the effectivity of the proposed method, we combine the proposed method with two typical phase unwrapping algorithms to carry out experiments. The experimental results show that the proposed method can effectively reduce the phase error without adding any additional grating fringes and that its measurement efficiency is enhanced by 46%.
Although double N-step phase-shifting profilometry can greatly reduce phase error caused by the non-sinusoidal nature of grating fringes, its number of the projection fringes doubles and its measurement efficiency is reduced. In this paper, a double N-step phase-shifting profilometry using color-encoded grating projection is proposed. It encodes the original phase-shifting fringes and the additional phase-shifting fringes into two colored fringes and fuses them into one color-encoded grating fringe projection. Then, the phase information of two sets of fringes is extracted from the captured color-encoded fringes. After calculating their wrapped phases, the two wrapped phases are fused to reduce phase error. In order to verify the effectivity of the proposed method, we combine the proposed method with two typical phase unwrapping algorithms to carry out experiments. The experimental results show that the proposed method can effectively reduce the phase error without adding any additional grating fringes and that its measurement efficiency is enhanced by 46%.
2019, 12(3): 628-637.
doi: 10.3788/CO.20191203.0628
Abstract:
The laws of heat conduction play an important role in the application of laser-induced film material modification. In this paper, the thermal effects of titanium dioxide(TiO2) film surfaces irradiated by a carbon dioxide laser was studied theoretically and experimentally. Firstly, a three-dimensional model of titanium dioxide thin film with a rough surface was constructed using a finite element method and their three-dimensional temperature distribution were calculated. Then, the TiO2 thin films were irradiated by a CO2 laser and the effects of irradiation time, power on the morphology, crystal phases and color were analyzed. Simulation results show that the transient temperature field of titanium dioxide irradiated by a CW laser is a Gaussian distribution, which is related to laser power, spot radius, irradiation time and other factors. When the surface temperature is less than the decomposition temperature, the maximum average surface temperature of the film meets the linear relationship with the laser power, and the ExpAssoc nonlinear relationship is satisfied with laser spot radius. Experimental results show that because of laser irradiation, the roughness of TiO2 thin film decreased and the color of the film changed. Small laser power or short irradiation time leads to small and uneven effective area, on the contrary thermal deformation will occur. Combined with the simulation and experiment results, it is found that the best treatment effect can be obtained when irradiating TiO2 thin film 10 seconds with a laser with a power of 6 W and a radius of 3 mm.
The laws of heat conduction play an important role in the application of laser-induced film material modification. In this paper, the thermal effects of titanium dioxide(TiO2) film surfaces irradiated by a carbon dioxide laser was studied theoretically and experimentally. Firstly, a three-dimensional model of titanium dioxide thin film with a rough surface was constructed using a finite element method and their three-dimensional temperature distribution were calculated. Then, the TiO2 thin films were irradiated by a CO2 laser and the effects of irradiation time, power on the morphology, crystal phases and color were analyzed. Simulation results show that the transient temperature field of titanium dioxide irradiated by a CW laser is a Gaussian distribution, which is related to laser power, spot radius, irradiation time and other factors. When the surface temperature is less than the decomposition temperature, the maximum average surface temperature of the film meets the linear relationship with the laser power, and the ExpAssoc nonlinear relationship is satisfied with laser spot radius. Experimental results show that because of laser irradiation, the roughness of TiO2 thin film decreased and the color of the film changed. Small laser power or short irradiation time leads to small and uneven effective area, on the contrary thermal deformation will occur. Combined with the simulation and experiment results, it is found that the best treatment effect can be obtained when irradiating TiO2 thin film 10 seconds with a laser with a power of 6 W and a radius of 3 mm.
2019, 12(3): 638-648.
doi: 10.3788/CO.20191203.0638
Abstract:
In order to achieve high spatial resolution polarization interferometry in the infrared wave band, a novel polarization interference imaging system based on micro-static interference systems is proposed in this paper. The system does not contain slits and has the advantage of having a large luminous flux. This paper introduces the principles of a linear polarization interference imaging system, calculates its initial structure parameters by using the Paraxial optics theory and optimizes the system's design. When the incident light is completely non-polarized and polarized, the transmission rate of the system is analyzed and the minimum weak radiation detected by the system is obtained. In order to further improve the system's performance and reduce the effect of random fluctuations in detector intensity on polarization measurements, the polarization measurement matrix of the system is optimized by using equal weight variance and the correctness of the method is verified by numerical simulation. Finally, the influence of the Polarizer's rotation error on the polarization measurement is analyzed, and the tolerance of polarizer is given in order to satisfy the polarization detection accuracy of 2%. The design results show that the imaging quality of the Fourier transform line polarization interference imaging system is good and that the modulation transfer function value of each field is greater than 0.6 in the characteristic frequency 17 lp/mm of the detector, which meets the usage requirements of the system.
In order to achieve high spatial resolution polarization interferometry in the infrared wave band, a novel polarization interference imaging system based on micro-static interference systems is proposed in this paper. The system does not contain slits and has the advantage of having a large luminous flux. This paper introduces the principles of a linear polarization interference imaging system, calculates its initial structure parameters by using the Paraxial optics theory and optimizes the system's design. When the incident light is completely non-polarized and polarized, the transmission rate of the system is analyzed and the minimum weak radiation detected by the system is obtained. In order to further improve the system's performance and reduce the effect of random fluctuations in detector intensity on polarization measurements, the polarization measurement matrix of the system is optimized by using equal weight variance and the correctness of the method is verified by numerical simulation. Finally, the influence of the Polarizer's rotation error on the polarization measurement is analyzed, and the tolerance of polarizer is given in order to satisfy the polarization detection accuracy of 2%. The design results show that the imaging quality of the Fourier transform line polarization interference imaging system is good and that the modulation transfer function value of each field is greater than 0.6 in the characteristic frequency 17 lp/mm of the detector, which meets the usage requirements of the system.
2019, 12(3): 649-662.
doi: 10.3788/CO.20191203.0649
Abstract:
At present, the use of zinc oxide(ZnO) micro-nanowire structures in ultraviolet laser devices with natural resonant cavities has attracted wide attention at home and abroad. Aiming at the problems of the luminescence and stability caused by ZnO intrinsic defects, research on the local field luminescence enhancement of plasmons is very important for the application of ZnO-based UV laser devices. In this paper, ZnO micro-wire structure model is constructed by theoretical simulation and the micro-cavity optical loss and Fabry-Perot(F-P) resonant cavity mode evolution are theoretically analyzed. The relationship between the diameter change of ZnO microcavity and the evolution of the F-P resonance mode, optical loss and light intensity distribution is obtained. On this basis, the six surfaces of ZnO microwires are modified by metal Ag nanoparticles. It is found that the resonance coupling effect of metal local surface plasmons significantly inhibited the loss of light around the microcavity and the local field enhancement is realized by the resonance coupling effect at the intersection of the metal and the microcavity. The simulation results show that after the surface of the microcavity is modified with Ag nanoparticles, the confinement ability of the optical field increased by 6.72%, while the secondary coupling occurs along the X axis between the metal particles, and the electric field intensity is enhanced by 2 times.
At present, the use of zinc oxide(ZnO) micro-nanowire structures in ultraviolet laser devices with natural resonant cavities has attracted wide attention at home and abroad. Aiming at the problems of the luminescence and stability caused by ZnO intrinsic defects, research on the local field luminescence enhancement of plasmons is very important for the application of ZnO-based UV laser devices. In this paper, ZnO micro-wire structure model is constructed by theoretical simulation and the micro-cavity optical loss and Fabry-Perot(F-P) resonant cavity mode evolution are theoretically analyzed. The relationship between the diameter change of ZnO microcavity and the evolution of the F-P resonance mode, optical loss and light intensity distribution is obtained. On this basis, the six surfaces of ZnO microwires are modified by metal Ag nanoparticles. It is found that the resonance coupling effect of metal local surface plasmons significantly inhibited the loss of light around the microcavity and the local field enhancement is realized by the resonance coupling effect at the intersection of the metal and the microcavity. The simulation results show that after the surface of the microcavity is modified with Ag nanoparticles, the confinement ability of the optical field increased by 6.72%, while the secondary coupling occurs along the X axis between the metal particles, and the electric field intensity is enhanced by 2 times.
2019, 12(3): 670-677.
doi: 10.3788/CO.20191203.0670
Abstract:
The spectrum of one triggered lightning with time resolution of 20 μs was observed by using the slit-less spectrograph and the current intensity at the channel bottom was obtained, based on which the radiation characteristics of the lightning spectrum under different current intensities were analyzed. The duration of the spectral line was analyzed according to the excitation energy of the spectral line and the change of the channel current. As a result, the spectral lines were divided into three types. Furthermore, mechanisms of the continuous background radiation of short wavelength and long wavelength were analyzed, respectively. The influences of two radiation mechanisms on continuous background radiation attenuation were researched.
The spectrum of one triggered lightning with time resolution of 20 μs was observed by using the slit-less spectrograph and the current intensity at the channel bottom was obtained, based on which the radiation characteristics of the lightning spectrum under different current intensities were analyzed. The duration of the spectral line was analyzed according to the excitation energy of the spectral line and the change of the channel current. As a result, the spectral lines were divided into three types. Furthermore, mechanisms of the continuous background radiation of short wavelength and long wavelength were analyzed, respectively. The influences of two radiation mechanisms on continuous background radiation attenuation were researched.
2019, 12(3): 678-685.
doi: 10.3788/CO.20191203.0678
Abstract:
Space cameras are used for the detection and observation of a faint target in space. Image contrast degrades once stray light arrives at the detector such that the camera can sometimes fail. Optical systems with wide fields of view are particular sensitive to the stray light. Therefore, this paper analyzes the source of stray light for a space camera with a large field of view and summarizes suppression measurements through the research of stray radiation energy transmission theory. To satisfy the required size indicators, a vertical optical axis and the inclined hood are designed within a limited size so that the light shading structure can be discontinued. Results from a Tracepro simulation show that baffle with lean vane leads to better suppression of stray light, and that the point source transmittance out of the rejection angles of the system is at 10-7. The system can detect at least 6.5M stars. The suppression technique is proven to be effective and can be used as a reference for further optimization and design.
Space cameras are used for the detection and observation of a faint target in space. Image contrast degrades once stray light arrives at the detector such that the camera can sometimes fail. Optical systems with wide fields of view are particular sensitive to the stray light. Therefore, this paper analyzes the source of stray light for a space camera with a large field of view and summarizes suppression measurements through the research of stray radiation energy transmission theory. To satisfy the required size indicators, a vertical optical axis and the inclined hood are designed within a limited size so that the light shading structure can be discontinued. Results from a Tracepro simulation show that baffle with lean vane leads to better suppression of stray light, and that the point source transmittance out of the rejection angles of the system is at 10-7. The system can detect at least 6.5M stars. The suppression technique is proven to be effective and can be used as a reference for further optimization and design.
2019, 12(3): 686-692.
doi: 10.3788/CO.20191203.0686
Abstract:
A thermal model was established under air conduction boundary conditions in order to accurately obtain the temperature distribution of an Nd:YAG rod crystal end-pumped with a laser diode. Firstly, the crystal's temperature distribution was calculated through analytical theory on the basis of the heat conduction equation. The crystal was operated with a pump diode laser incident center operating at a wavelength of 808 nm. Secondly, the influences of the pump laser parameters, including power, beam radius and orders of super Guass were quantitatively analyzed. The results indicate that the maximum temperature rise is located at the center of the pump end and its value can rise to 426.3 K when an Nd:YAG rod crystal with length of 5 mm and a radius of 1.5 mm is pumped by a 808 nm laser with 60 W power and spot radius of 400 μm. The thermal focal length of the crystal is 272.98 mm. The effects of the thermal air transfer on the temperature field distribution of the crystal are considered and the results are therefore more accurate. This research can provide a method for further precise analysis of the temperature field distribution of other laser crystals and lays a theoretical foundation for the optimization of laser performance.
A thermal model was established under air conduction boundary conditions in order to accurately obtain the temperature distribution of an Nd:YAG rod crystal end-pumped with a laser diode. Firstly, the crystal's temperature distribution was calculated through analytical theory on the basis of the heat conduction equation. The crystal was operated with a pump diode laser incident center operating at a wavelength of 808 nm. Secondly, the influences of the pump laser parameters, including power, beam radius and orders of super Guass were quantitatively analyzed. The results indicate that the maximum temperature rise is located at the center of the pump end and its value can rise to 426.3 K when an Nd:YAG rod crystal with length of 5 mm and a radius of 1.5 mm is pumped by a 808 nm laser with 60 W power and spot radius of 400 μm. The thermal focal length of the crystal is 272.98 mm. The effects of the thermal air transfer on the temperature field distribution of the crystal are considered and the results are therefore more accurate. This research can provide a method for further precise analysis of the temperature field distribution of other laser crystals and lays a theoretical foundation for the optimization of laser performance.
2019, 12(3): 693-700.
doi: 10.3788/CO.20191203.0693
Abstract:
In order to achieve collimation and zoom expansion in laser beams, a method of creating digital zoom lenses based on LC-SLM(Liquid Crystal Spatial Light Modulator) is proposed and a zoom beam expansion system based on LC-SLM is built using this method. Firstly, according to the principles of lens phase transformation and the phase modulation characteristics of LC-SLM, the phase modulation maps of digital lenses with different focal lengths are generated using computer programming to obtain the function of digital lenses with different focal lengths. The effectiveness of the function is verified with the convergence of convex lenses to parallel beams. The average error is 0.95%. It can be concluded that LC-SLM can achieve the function of digital lenses with different focal lengths and realize a zoom lens' function. A 2×~5× continuous magnification collimation of the laser beam is then attained by combining it with the converging lens. The beam expansion error is 0.539 7 mm, and the peak valley value is 0.99 mm. The experimental results show that the method proposed in this paper can be used to expand the laser beam to different multiples and the beam expansion ratio can be varied continuously. This system solves the problem that the traditional zoom systems cannot meet the changing demands of laser beam expansion. It has a simple structure with high precision and has great significance in the applications of laser beam expansion.
In order to achieve collimation and zoom expansion in laser beams, a method of creating digital zoom lenses based on LC-SLM(Liquid Crystal Spatial Light Modulator) is proposed and a zoom beam expansion system based on LC-SLM is built using this method. Firstly, according to the principles of lens phase transformation and the phase modulation characteristics of LC-SLM, the phase modulation maps of digital lenses with different focal lengths are generated using computer programming to obtain the function of digital lenses with different focal lengths. The effectiveness of the function is verified with the convergence of convex lenses to parallel beams. The average error is 0.95%. It can be concluded that LC-SLM can achieve the function of digital lenses with different focal lengths and realize a zoom lens' function. A 2×~5× continuous magnification collimation of the laser beam is then attained by combining it with the converging lens. The beam expansion error is 0.539 7 mm, and the peak valley value is 0.99 mm. The experimental results show that the method proposed in this paper can be used to expand the laser beam to different multiples and the beam expansion ratio can be varied continuously. This system solves the problem that the traditional zoom systems cannot meet the changing demands of laser beam expansion. It has a simple structure with high precision and has great significance in the applications of laser beam expansion.
Abstract
FullText HTML
PDF 1944KB