2022 Vol. 15, No. 5

Review
Review of optical systems′ desensitization design methods
MENG Qing-yu, QIN Zi-chang, REN Cheng-ming, QI Yun-sheng
2022, 15(5): 863-877. doi: 10.37188/CO.2022-0096
Abstract:

The effective realization of desired optical system performances depends not only on the design results of imaging quality, but also on the realizability of various tolerances such as optical manufacturing tolerances, assembly tolerances, and environmental tolerances. An optical system with low error sensitivity relaxes tolerance requirements, which can better resist image quality degradation disturbed by errors. While reducing manufacturing costs, it effectively improves the realizability of an optical system, thereby reducing error sensitivity. It is an important link that should be considered in optical system design. This paper analyzes and summarizes the research status of optical system error sensitivity, summarizes typical optical system desensitization methods, and summarizes the application of these methods in optical system design. Finally, potential future development directions for low error sensitivity design methods for optical systems are provided.

Research progress of single molecule biological detection methods and applications
ZHOU Wen-chao, LI Zheng-hao, WU Jie
2022, 15(5): 878-894. doi: 10.37188/CO.2022-0129
Abstract:

Single molecule biological detection technology is an efficient technology to understand the dynamic characteristics of various biomolecules at the single molecule level and explore their structure and function. The advantage of this technology is that it can detect the heterogeneity of free energy on a single molecule, which is beyond the traditional methods. Therefore, researchers use it to solve long-standing problems in complex biological systems, heterogeneous catalysis, biomolecular interactions, enzyme systems and conformational changes. In terms of medical detection, detecting specific information about single molecules or their interactions with biological factors is not only crucial for the early diagnosis and treatment of various diseases such as cancer, but also has great potential for real-time detection and precision medicine. The advantages of high specificity and high precision of single-molecule bioassays are used to real-time detection of single biomolecules in molecular populations, and can be combined with multiple high-throughput analysis for the precise diagnosis of clinical samples. In this paper, the principle of single molecule detection and the application of biosensing are introduced, and the detection methods and related applications are summarized. Finally, the prospect and development direction of this research direction are discussed.

Recent advances in lateral mode control technology of diode lasers
WANG Li-jie, TONG Cun-zhu, WANG Yan-jing, LU Huan-yu, ZHANG Xin, TIAN Si-cong, WANG Li-jun
2022, 15(5): 895-911. doi: 10.37188/CO.2022-0143
Abstract:

High power diode lasers are widely used for pumping solid-state lasers and fiber lasers, material processing, laser radars, free-space optical communication, security and defense. However, conventional diode lasers suffer from large far-field divergence angles, poor beam quality and low brightness, which restricts their direct applications. Broad-Area diode Lasers (BALs) can achieve high output power and efficiency. However, their lateral mode is usually influenced by many physical mechanisms, leading to a large number of guided lateral modes at high-power operation. It results in a rapid increase of the far-field width and strongly deteriorated beam quality, limiting the improvement of diode lasers′ brightness. Therefore, the lateral modes should be carefully controlled. In this paper, the factors influencing the diode lasers′ lateral modes are reviewed, and the lateral mode characteristics, optical field distribution and their relations with the device construction are analyzed. Then, the current lateral mode control technologies are described in detail. The beam quality and brightness of the output beam can be enhanced via the suppression of high-order lateral modes and the far-field blooming effect. As a result of advanced lateral mode control, novel high-brightness diode lasers can be developed at the chip level, which is beneficial for developing new diode lasers applications and reducing their system cost.

Review of ultraviolet photodetectors based on micro/nano-structured wide bandgap semiconductor oxide
CHEN Xing, ZHOU Chang, LIU Ke-wei, SHEN De-zhen
2022, 15(5): 912-928. doi: 10.37188/CO.2022-0132
Abstract:

Ultraviolet photodetection technology is another dual-use detection technology after infrared detection and laser detection technology, which has broad application prospects. Vacuum photomultiplier tubes and Si-based photodiodes are common commercial UV detectors, but vacuum photomultiplier tubes are susceptible to high temperatures and electromagnetic radiation, and need to work under high pressure while Si-based photodiodes require expensive filters. Wide bandgap semiconductor ultraviolet photodetectors have overcome some of the problems faced by the above two devices, and are becoming the research hotspot. Among them, wide bandgap oxide materials have attracted extensive attention, due to the advantages of easy preparation for high response and high gain devices, and rich micro-structures and nano-structures. In this paper, ultraviolet photodetectors based on micro/nano-structured wide bandgap semiconductor oxide are combed, and some related researches in recent years are reviewed. The oxide materials involved include ZnO, Ga2O3, SnO2 and TiO2, etc. and the device structures involved include metal-semiconductor-metal devices, Schottky junction devices and heterojunction devices, etc.

Review of physical implementation architecture in compressive spectral imaging system
LI Yun-hui
2022, 15(5): 929-945. doi: 10.37188/CO.2022-0104
Abstract:

Different from the traditional point-to-point mapping imaging method, computational optical imaging combines the physical regulation of the front-end optical signal with the processing of the back-end digital signal to make the image information acquisition more efficient. This new imaging mechanism is expected to alleviate the contradiction between low manufacturing cost and high performance indicators under the framework of traditional imaging technology, especially in the acquisition of high-dimensional image information. Since the system architecture supported by physical devices is the cornerstone of computational optical imaging, aiming at the sub-technical field of compressive spectral imaging, in this paper, we introduce the existing optical devices that can realize spatial or spectral modulation. Based on this, the architecture of multi-type compressive spectral imaging system is sorted out and summarized, which can be categorized as single-pixel spectral imaging, coded aperture spectral imaging, spatial-spectral dual-coded spectral imaging, microarray spectral imaging and scattering medium spectral imaging, based on the information modulation process. We focus on the information modulation and acquisition principles of various system architectures and their modulation effects on the spatial-spectral data cube, and then analyze and explore the common issues. Finally, the technical challenges faced are given, and the future development trend is discussed.

Research progress of high-speed vertical-cavity surface-emitting laser in CIOMP
TIAN Si-cong, TONG Cun-zhu, WANG Li-jun, BIMBERG Dieter
2022, 15(5): 946-953. doi: 10.37188/CO.2022-0136
Abstract:

High-speed vertical-cavity surface-emitting laser (VCSEL) is one of the main light sources for optical communication. Driven by the rapid growth of data traffic, the high-speed VCSEL is developing towards larger bandwidth and higher bit rate. By optimizing the epitaxy design and the growth of VCSELs, the design and the fabrication of VCSELs, and the high-frequency characterization techniques, much remarkable progress of high-speed VCSELs with different wavelengths have been achieved in modulation bandwidth, transmission rate, mode, power consumption in Changchun Institute of Optics, Fine Machanics and Physics (CIOMP). The research progress of high-speed VCSELs includes: high-speed single-mode 940 nm VCSEL with 27.65 GHz modulation bandwidth and 53 Gbit/s transmission rate; 200 Gbit/s optical link based on 850 nm, 880 nm, 910 nm and 940 nm high-speed VCSELs via wavelength division multiplexing; ultra-low power consumption as low as 100 fJ/bit of high-speed VCSEL via optimization of photon lifetime; 1030 nm high-speed VCSEL with 25 GHz modulation bandwidth; 1550 nm high-speed VCSEL with 37 Gbit/s transmission rate. The developed high-speed VCSELs have important application prospects in optical communication.

Survey of non-blind image restoration
YANG Hang
2022, 15(5): 954-972. doi: 10.37188/CO.2022-0099
Abstract:

Non-blind image restoration is one of the most improtant research topics in the field of computer vision. It is also a typical ill-posed problem in mathematics. Its goal is to estimate a clear image from a blurred image when the point spread function is known. Its research focuses on how to make an appropriate compromise between improving clarity and suppressing noise. In the past 50 years, non-blind image restoration has made great progress. From the Wiener filtering to deep learning based methods, scholars have proposed hundreds of non-blind image restoration algorithms and applied them in various academic fields. This paper first introduces the basic concept and research significance of non-blind image restoration, then classifies and summarizes the main non-blind image restoration algorithms according to the algorithm attributes, which are generally divided into traditional methods and deep learning based methods. The traditional methods are divided into the direct method and iterative method, then are analyzed for their advantages and disadvantages. The performance of representative restoration algorithms is compared in a varity of typical experiments. Finally, the development trend and important research directions of non-blind image restoration algorithms are proposed.

Overview of key technologies for segmented mirrors of large-aperture optical telescopes
HUO Yin-long, YANG Fei, WANG Fu-guo
2022, 15(5): 973-982. doi: 10.37188/CO.2022-0109
Abstract:

With the continuous development of astronomical exploration, the aperture of telescopes is getting larger and larger. Segmented mirror technology offers a viable and much simpler alternative to a large single monolithic primary mirrors, and has become an important way of designing the primary mirror of large-aperture telescopes. This paper summarizes the current development status of various technologies with reference to the primary mirror design of typical segmented telescopes such as the JWST and TMT, and elaborates on the performance differences and mirror supports of different segmented primary mirror schemes under the background of large-scale sub-mirrors. Potential future development trends of this technology and co-phasing detection technology are provided. This research acts as a reference for the independent development of the next generation of very large aperture optical infrared telescopes in China.

Original Article
Dynamic MTF modeling and analysis of digital domain TDI CMOS remote sensing camera
TAO Shu-ping, FENG Qin-ping, CHEN Xiao-long, ZHENG Liang-liang, ZHANG Zi-yu, GAO Tan
2022, 15(5): 983-991. doi: 10.37188/CO.2022-0111
Abstract:

The modulation Transfer Function (MTF) is an important evaluation index for remote sensing cameras, but at present, the research on the dynamic MTF characteristics of digital domain TDI CMOS cameras is very limited. In order to deeply research its image quality degradation mechanism, combined with the principle of digital domain Time Delay Integration Complementary Metal Oxide Semiconductor (TDI CMOS) imaging, a mathematical model of digital domain TDI imaging MTF degradation caused by pixel, electronic shutters, exposure time and vibration is established. Combined with the derived model, the prediction analysis and experimental verification are carried out. The results show that the regional distribution of effective pixels of the sensor will affect the image MTF with a greater intluence from smaller opening rates, and the rolling shutter of the CMOS sensor will lead to the decrease of the digital domain TDI imaging MTF with a more serious impact for slower rolling shutter speeds. When the rolling shutter speed changes from 6 μs to 10 μs, the corresponding image MTF decreases from 0.191 to 0.177. As the exposure time shortens, the MTF grows higher, especially when there is low-frequency image shift mismatch. When the exposure time is reduced from 180 μs to 100 μs, the MTF increases from 0.126 to 0.155 with some influence on the image signal-to-noise ratio. Therefore, the exposure time should be reasonably controlled in practical applications.

Detection of large aperture flat mirror based on the differential optics transfer function method
AN Qi-chang, JIANG Xi-wen, LI Hong-wen, TANG Jing
2022, 15(5): 992-999. doi: 10.37188/CO.2022-0122
Abstract:

In order to realize the in-situ detection of large aperture plane mirrors, wavefront detection is achieved by a combination of the Ritchey-Common method and holographic detection through the differential transfer function, combined with the actual Ritchey-Common detection architecture, and through the occlusion code of the pupil. Firstly, the principle of large aperture plane mirror detection based on differential transfer function method is derived, and the existing large aperture wavefront is compared with the reconstructed wavefront. Finally, the detection light path is built by using deformable mirrors. The correlation between the surface shape obtained by this method and the input surface shape is not less than 70%. This paper is of great significance to the fundamental cosmological propositions such as the detection of the "first light" of the universe and the "one black, two dark and three origins".

Large-scale splicing focal plane error distribution based on optical-structural-thermal integration analysis
NIU Sheng-guang, GUO Liang, LU Zhen-yu, HAN Kang
2022, 15(5): 1000-1006. doi: 10.37188/CO.2022-0094
Abstract:

As the requirements of space astronomy, situational awareness, environmental monitoring and other fields grow higher, space telescopes are developing toward large fields of view and large apertures. Large-scale focal plane stitching technology is the key technology of large-field space telescopes. The allocation method of the main focal plane flatness error (P-V value) is generally a direct assignment method based on experience, which is prone to unreasonable error allocation.In this paper, a method of splicing focal plane error allocation is proposed, which can accurately allocate important parameter errors through optical-structural-thermal integration analysis. Taking 4×4 mechanical direct splicing focal plane with 16 pieces of Complementary Metal Oxide Semiconductor(CMOS) image sensor as an example, an error tree of splicing focal planes is established. The influence of important parameters such as gravity and temperature on the flatness of splicing focal plane is analyzed by the method of optical-structural-thermal integration analysis. The error distribution result is finally given. The analysis shows that the flatness errors caused by gravity under two different attitudes are 0.28 μm and 1.55 μm respectively, and the total flatness error caused by temperature is 5.5 μm. After leaving a 30% margin, the assigned values of the flatness error caused by gravity and temperature are determined to be 2 μm and 7.2 μm, respectively.

Compact pulsed CO2 laser with wavelength automatic tuning
PAN Qi-kun, MIAO Fang-chen, SI Hong-Li, SHEN Hui, GAO Fei, YU De-Yang, ZHANG Kuo, ZHANG Ran-ran, ZHAO Chong-Xiao, CHEN Fei, GUO Jin
2022, 15(5): 1007-1012. doi: 10.37188/CO.2022-0107
Abstract:

In order to meet the application requirements of airborne laser differential absorption lidar for small and lightweight light sources, a compact pulsed CO2 laser is developed with automatic wavelength tuning. First, the aperture matching relationship between an RF waveguide intracavity beam and a free space optical chopper beam was studied, and a beam conversion system was designed with real focus on the intracavity. The influence of the chopper aperture on a laser pulse waveform was verified experimentally. Secondly, the wavelength tuning characteristics of CO2 laser were studied, and the diffraction angle difference between adjacent laser spectral lines was analyzed. Tunable operation in the CO2 laser was realized using a high-precision electric turntable and metal blazed grating. Finally, the integration of a compact automatic tuning pulsed CO2 laser was completed using small lightweight modules. Experimental results indicate that the laser operates stably at 1 kHz with a pulse width of 350 ns and a peak power of 3.7 kW. There are 30 lines within 9.2~10.7 μm waveband. The total weight of the laser is 18 kg. It provides a miniaturized detection light source for airborne laser differential absorption lidar.

Control system design of 515-nm high power laser
DONG Quan-rui, ZHANG Zhen-dong, WANG Wei-guo, CHEN Tao, CHEN Fei
2022, 15(5): 1013-1018. doi: 10.37188/CO.2022-0133
Abstract:

In order to realize the stable and safe output of lasers, a control system based on a 515-nm high-power laser is designed. Firstly, the pump drive module of the system is studied. The analog sampling of the module is completed by Field Programmable Gate Array (FPGA) and the calculation output is completed in Digital Signal Processing (DSP). The closed-loop control of the constant current source is completed by using the digital Proportion-Integral-Derivative (PID) algorithm. Secondly, a Thermo Electric Cooler (TEC) is used to achieve the stable temperature control of the frequency doubling crystal module, and the Negative Temperature Coefficient (NTC) is used as the feedback to realize the temperature control. Finally, the human-computer interaction system of the laser is designed, which realizes the real-time monitoring, judgment and storage of the internal state of the laser. In order to verify the effectiveness of the control system, a pump is selected for testing. The experimental results show that the pump drive module can work continuously and stably, and the control system can monitor the internal state of the laser in real time, which is safe and reliable. The laser output center wavelength after frequency doubling is 514.98 nm, the power can reach 170 W, and the optical power stability is ±0.07 dB. All devices and equipment for the control system are made in China, meeting the system design requirements of 515-nm high-power laser.

Light-and-small optical systems by metal-based additive manufacturing
FU Qiang, YAN Lei, TAN Shuang-long, LIU Yang, WANG Ling-jie, ZHANG Xin
2022, 15(5): 1019-1028. doi: 10.37188/CO.2022-0128
Abstract:

In order to realize the target of light and small, low radiation and large field of view of the long-wave infrared catadioptric optical system for deep-space low-temperature target detection, the local cooling optical system, topology optimization, metal-based mirror design, additive manufacturing, Single Point Diamond Turning (SPDT) for metal mirrors and surface modification are studied. First of all, a compact catadioptric optical system with partially cooled is designed, in which the aperture is 55 millimeters, the focal length is 110 millimeters and the field of view is 4 degrees by 4 degrees. Secondly, the primary mirror assembly, the secondary mirror assembly and the connecting baffle are designed using the topology optimization theory, and the third order mode and fourth order mode reach 1213.7 Hz. Then, the front group optical mirrors assembly are developed by means of additive manufacturing, SPDT, surface modification and surface gold plating. We complete the optical mechanical assembly using the centering assembly method. Finally, the performance of the system after optical mechanical centering is tested. The test results show that the Modulation Transfer Function (MTF) curves of the optical system reach the diffraction limit in the whole field of views, and the weight is only 96.04 grams. Additive manufacturing method can be used as an effective means to improve the performance of optical systems.

Hyperspectral resolution ultraviolet dual channel common optical path imaging spectrometer
ZHANG Lu, LI Bo, LI Han-shuang, GU Guo-chao, WANG Xiao-xu, SHAO Ying-qiu, LIN Guan-yu, YE Xin
2022, 15(5): 1029-1037. doi: 10.37188/CO.2022-0125
Abstract:

Based on the requirement of multichannel detection for hyperspectral resolution imaging spectrometer, we design a hyperspectral resolution ultraviolet dual channel common optical path imaging spectrometer whose telescopic system adopts an off-axis three mirror structure with an off-axis field of view, and whose spectroscopic system applies a modified small and light weight Offner structure. Through the theoretical analysis of Offner spectrometer structures, initial structural parameters of a dual channel common optical path Offner that met the requirements of hyperspectral resolution were achieved. In order to improve the imaging quality of the imaging spectrometer, meniscus lenses were introduced into Offner structure, and the system was gradually optimized. Eventually, a dual channel common optical path imaging spectrometer was obtained with operating bands of 280~300 nm and 370~400 nm. When the Nyquist frequency is 27.8 lp/mm, the modulation transfer function (MTF) of both channels is better than 0.8, the full field mean square root radius (RMS) is less than 9 μm. and the spectral resolution is better than 0.1 nm. The design of this imaging spectrometer has important implications for the miniaturization and integration design of space-based hyperspectral detection imaging spectrometers.

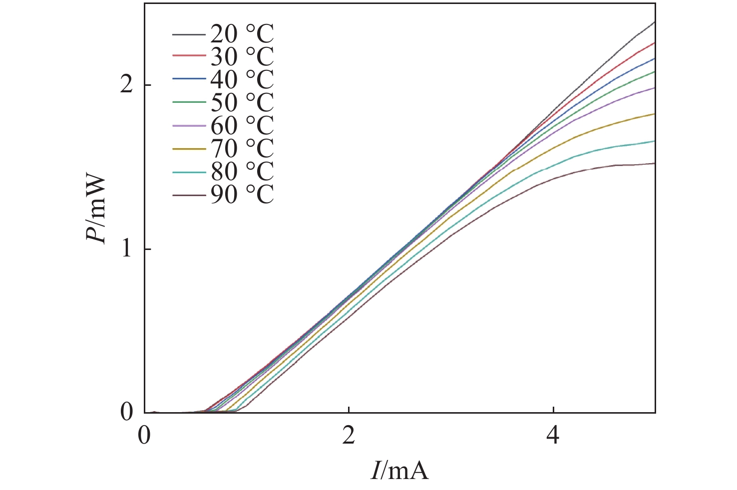
Narrow line width and magnetism-free vertical-cavity surface-emitting lasers for quantum sensing
ZHANG Xing, ZHANG Jian-wei, ZHOU Yin-li, Xue Hong-bo, NING Yong-qiang, WANG Li-jun
2022, 15(5): 1038-1044. doi: 10.37188/CO.2022-0135
Abstract:

In order to realize single mode, narrow linewidth and low magnetism field intensity operation of lasers, Vertical-Cavity Surface-Emitting Lasers (VCSEL) with integrated micro-lens extended cavity was designed and fabricated. First, an epitaxial structure suitable for the micro-lens integration was designed and grown by Metal Organic Chemical Vapor Deposition (MOCVD). The fabrication steps of the micro-lens integrated VCSEL was carried out and the magnetism-free material was used in the electrode deposition. Experimental results indicate that the operating temperature is 90 °C, the laser wavelength is 896.3 nm, the laser power is 1.52 mW, the side mode suppression ratio is as high as 36.3 dB and the operating magnetic field intensity is less than 0.03 nT. A narrow line width and magnetism-free VCSEL suitable for quantum sensing was demonstrated.

Pixel mapping variable-resolution spectral imaging reconstruction
XIAO Shu-lin, HU Chang-hong, GAO Lu-yao, YAN Ke-xiong, YANG Chun-ji, LI Hong-li
2022, 15(5): 1045-1054. doi: 10.37188/CO.2022-0108
Abstract:

In this paper, the basic principle and reconstruction method of random filter spectral coding-decoding are discussed. According to the automatic feature extraction mechanism of a deep learning undercomplete autoencoder, a pixel mapping variable-resolution spectral imaging reconstruction network with high reconstruction accuracy and low delay is constructed. The parallel training of a 2×2 and 4×4 pixel array spectral reconstruction network is implemented by transforming the pixel mapping relationship. Finally, the network’s performance is verified by the remote sensing data with 512×616 with 120 bands spectral images. For a 2×2 pixel array with 40 bands, the reconstruction PSNR is 53 dB, the reconstruction MSE is less than 0.002, and the reconstruction time is 0.85 s. For a 4×4 pixel array with 120 bands, the reconstruction PSNR is 64 dB, the reconstruction MSE is less than 10−5, and the reconstruction time is 0.5 s. The experimental results show that the pixel mapping variable-resolution spectral imaging reconstruction network has the dynamic transformation performance of high accuracy and low delay.

Real-time semantic segmentation of microvascular decompression images based on encoder-decoder structure
BAI Rui-feng, JIANG Shan, SUN Hai-jiang, LIU Xin-rui
2022, 15(5): 1055-1065. doi: 10.37188/CO.2022-0120
Abstract:

Aiming at the problems of large parameters and low semantic segmentation accuracy of real-time semantic segmentation networks for true-color microvascular decompression (MVD) images. This paper proposes a U-shaped lightweight fast semantic segmentation network U-MVDNet (U-Shaped Microvascular Decompression Network) for MVD scenarios, which consists of encoder-decoder structure. A Light Asymmetric Bottleneck Module (LABM) is designed in the encoder to encode context features. Feature Fusion Module (FFM) is introduced in the decoder to effectively combine high-level semantic features and underlying spatial details. Experimental results show that for the MVD test set, U-MVDNet achieves 0.66 M parameters, 76.29% mIoU (mean Intersection-over-Union), and 140 frame/s speed on NVIDIA GTX 2080Ti. And when input image size is 640 × 480, the real-time (24 frame/s) semantic segmentation is realized on NVIDIA Jetson AGX Xavier embedded development board. The proposed network has no pretrained model, fewer parameters, and fast inference speed. The semantic segmentation performance is superior to other comparison methods, and a good trade-off between segmentation accuracy and speed is achieved. Furthermore, U-MVDNet can also be easily developed and applied on embedded platform with superior performance and easy deployment.

Integrated optimization design of mirror semi-active support system based on Warping Harness
ZHANG Ben-lei, YANG Fei, WANG Fu-guo, LU Bao-wei
2022, 15(5): 1066-1078. doi: 10.37188/CO.2022-0121
Abstract:

The semi-active support is based on the semi-active optical technology, and the correction force is converted into a correction torque through a Warping Harness(WH) spring blade to correct the mirror low-order aberration introduced by error sources such as gravity and temperature. Aiming at the defects of traditional empirical design of mirrors, a new optimal design method for a mirror support system is proposed, that is, a comprehensive design optimization method of mirror support system based on structural size optimization combined with empirical design, and a set of semi-active mirror support systems based on WH is established. Firstly, the initial structure of the support system is designed according to the empirical formula; an L-shaped hollow WH spring blade is designed, and the nonlinear analysis and fatigue analysis are carried out to determine that the blade thickness is 2 mm and the service life is 1.2×106 times. Then, the RMS value of the mirror surface in the vertical and horizontal states of the optical axis was reduced from 119 nm and 106 nm to 13.3 nm and 4.8 nm by optimizing the position of the mirror support point, the position of the triangular plate flexure joint, and the key dimension parameters of the support system’s flexible parts; under the state of 1 °C temperature difference, the specular aberration is reduced from 2.8 nm to 1.9 nm; the first-order resonance frequency is increased from 80 Hz to 130 Hz. Finally, this method is used to verify the correction ability of the semi-active support system. The results show that the correction rate of the semi-active support system for mirror defocus, primary astigmatism, primary coma and primary spherical aberration can reach up to 99%. The amplitude of each aberration is less than 1 nm; the correction rate of the RMS value of the mirror’s surface shape can reach up to 46.5% under it′s own weight state at room temperature, and the correction rate is 31.28%.

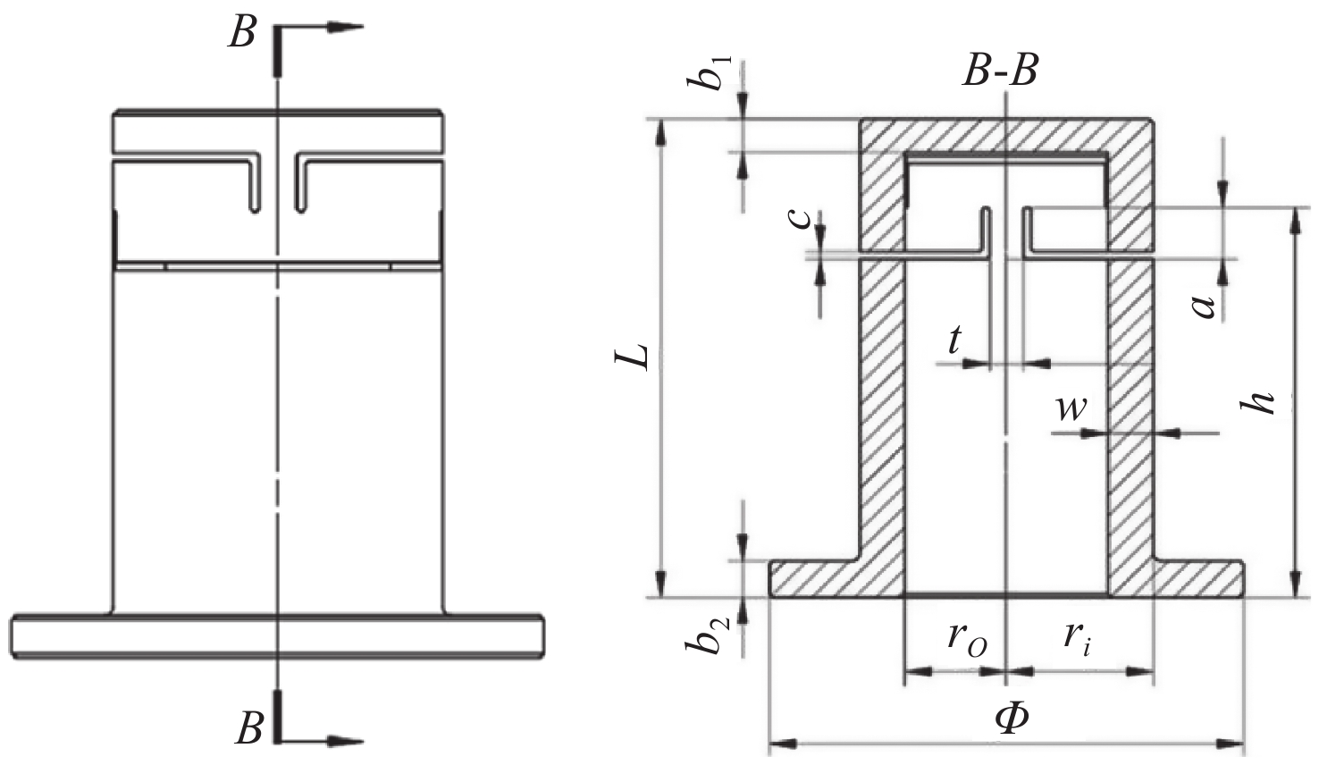
Flexural mounting technology of a 1.8 m space-borne rectangular mirror
LI Zong-xuan, ZHANG Chang-hao, ZHANG De-fu, MA Bin, LI Yun-feng
2022, 15(5): 1079-1091. doi: 10.37188/CO.2022-0131
Abstract:

The rectangular primary mirror with aperture of 1.8 m×0.5 m is the crucial component of an off-axis Three Mirror Anastigmat (TMA) space optical system. In order to guaranty the structural stability and reliability of the Primary Mirror Assembly (PMA) and the surface figure error (RMS value) of the mirror, a bi-axial flexural support has been proposed for the large-size rectangular mirror. First, based on the principle of kinematic equivalent, the initial structure of the bi-axial flexural support was designed and the analytical formula for stiffness and its characteristic was studied as well. Then the mounting position and the key dimensions of the flexural supports were studied and optimized. Finally, the final optimization design scheme of the PMA was determined. Experimental results indicate that the surface figure error (RMS value) of the PMA under 1 G gravity in X and Y directions are 4.81 nm and 6.09 nm respectively when the optical axis is placed horizontally, which are less than λ/50 (λ=632.8 nm). The first-order natural frequency is 104 Hz, which can satisfy the design requirements. The dynamic tests have shown that the dynamic characteristics of the mirror assembly are good, and the flexural support system is stable and reliable. Now the mirror has been polished to have a surface figure better than λ/30 RMS. Zero Gravity optical testing has been performed under ±1 G respectively, which shows good coincidence with the analytical results.

Panoramic bispectral infrared imaging interference spectrum measurement inversion instrument
LV Jin-guang, LIANG Jing-qiu, ZHAO Bai-xuan, ZHAO Ying-ze, ZHENG Kai-feng, CHEN Yu-peng, WANG Wei-biao, QIN Yu-xin, TAO Jin
2022, 15(5): 1092-1104. doi: 10.37188/CO.2022-0114
Abstract:

In order to satisfy the urgent needs of on-line real-time monitoring and analysis instrument for industrial pollution emission and sudden safety accidents, a panoramic bispectral infrared imaging interference spectrum measurement inversion instrument is proposed. Through the collaborative design of dual channel interference system, dual spectral imaging system, azimuth and elevation axis system, the measurement of image spectrum information of target scene with large field of view, wide spectral band and high resolution is realized. First, based on Fourier optics theory, the scalar diffraction theoretical model of interference imaging spectrum is established. Then based on broadband sampling and narrowband sampling theory, the sampling design of dual channel interference system is carried out. Based on the analysis of the interference imaging characteristics, the optical design of the dual band imaging system is carried out. Finally, the principle prototype is completed, and the telemetry experiment of the gas plume emitted by the chimney is carried out. The instrument can realize spectral measurement with resolution of 4 cm−1 in large field of view by 360°×60° and wide spectral range from 3~5 μm to 8~12 μm. The instrument can satisfy the application requirements of qualitative identification and quantitative analysis for gas emission monitoring.

Baidu
map