2023 Vol. 16, No. 6

Review
Development and prospects of enhanced absorption spectroscopy
REN Yi-jie, YAN Chang-xiang, XU Jia-wei
2023, 16(6): 1273-1292. doi: 10.37188/CO.2022-0246
Abstract:

Optical path absorption spectroscopy is an important branch of absorption spectroscopy. In recent years, there has been a proliferation of optical path absorption spectroscopy techniques based on different light source technologies, absorption cavity technologies, and detection methods. As the demands on detection sensitivity and absorption optical path length increased, optical path absorption spectroscopy techniques based on the principle of enhanced absorption emerged, including integrated cavity spectroscopy (ICOS), cavity-enhanced absorption spectroscopy (CEAS) and cavity ring-down spectroscopy (CRDS). Enhanced absorption spectroscopy is advantageous for its high spectral resolution, high sensitivity, fast response time, and portability, but it presently lacks a unified concept and clear classification criteria. This paper compares the development history of absorption spectroscopy techniques and clarifies the concept of their multi-optical path. Based on whether resonant absorption occurs in the absorption cavity, the concept of absorption spectroscopy techniques based on resonance is proposed, and the current research status of resonant absorption spectroscopy techniques is analyzed and summarized, and the applications of this technique in various fields are outlined. Finally, the future development of key technologies in resonance absorption spectroscopy is envisioned.

Advances in optical fiber tweezer technology based on hetero-core fiber
LI Hong, ZHU Ying-xin, ZHOU Ya-ni, WANG Hai-bo, DONG Ming-li, ZHU Lian-qing
2023, 16(6): 1293-1304. doi: 10.37188/CO.2023-0016
Abstract:

Optical fiber tweezers are widely used in biochemical analysis, life sciences, and other fields due to their simple structure, flexible operation, and compact size. The hetero-core structure of the optical fiber probe possesses inherent advantages in near-field evanescent wave optical trapping force, core beam coupling transmission, and cross-synergistic application of microfluidic technology, which can realize the functions of cell and subcellular particle collection and transportation, and can significantly improve the three-dimensional particle trapping capability as well as dynamic manipulation level. In this paper, the structural characteristics and application technology research progress of optical fiber tweezers based on different core structures are reviewed. This paper sorts and compares key technologies, including probe preparation, laser source, and coupling mode, in hetero-core optical fiber tweezers systems. It also summarizes and provides a perspective on the role and development of hetero-core fibers with different structures in optical fiber tweezers.

A review of the effect of GaN-Based Micro-LED sidewall on external quantum efficiency and sidewall treatment techniques
KUANG Hai, HUANG Zhen, XIONG Zhi-hua, LIU Li
2023, 16(6): 1305-1317. doi: 10.37188/CO.2023-0091
Abstract:

Micro-LEDs offers the benefits of high brightness, high response frequency, and low power consumption, making them an attractive candidate for future display technologies and Visible Light Communication (VLC) systems. Nonetheless, their low External Quantum Efficiency (EQE) currently impedes their scaled mass production and further applications. In order to break through the bottleneck of low EQE, we conducted an analysis of Micro-LED external quantum efficiency’s contributing factors. The influencing factors for EQE are analyzed. It is concluded that the carrier loss and non-radiative recombination caused by sidewall defects are the main reasons for the decrease in EQE. In addition, we summarized the impact of sidewall defects on carrier transport and composites, and we also reviewed the commonly used sidewall treatment technology and repair methods, and pointed out that the existing sidewall treatment methods are helpful but insufficient for improving EQE, and the mechanism of carrier interaction with sidewall defects is not very clear. It is suggested to carry out a thorough and systematic study on the types and distribution of sidewall defects, the mechanism of carrier and sidewall defects, and the defect repair mode in the sidewall treatment process. Finally, future development trends are projected. This paper offers design ideas and theoretical foundations to enhance the external quantum efficiency and accelerate the process of commercialization and mass production of Micro-LEDs.

Original Article
High repetition frequency 257 nm deep ultraviolet picosecond laser with 5.2 W output power
FAN Hao-ran, CHEN Xi, ZHENG Lei, XIE Wen-xia, JI Xin, ZHENG Quan
2023, 16(6): 1318-1323. doi: 10.37188/CO.2023-0026
Abstract:

To improve the detection efficiency of deep ultraviolet laser for semiconductor detection, it is necessary to develop 257 nm deep ultraviolet picosecond laser with high power and high repetition frequency. In this study, a 257 nm deep ultraviolet laser was experimentally investigated based on photonic fiber amplifier and extra-cavity frequency quadrupling. The seed source uses a fiber laser with a central wavelength of 1030 nm and a pulse width of 50 ps, delivering a power output of 20 mW and a repetition frequency of 19.8 MHz. High power 1030 nm fundamental frequency light was obtained through a two-stage ytterbium-doped double cladding (65 μm/275 μm) photonic crystal fiber rod amplification structure, and 257 nm deep ultraviolet laser was generated using double frequency crystal LBO and quadruple frequency crystal BBO. The seed source uses a two-stage photonic crystal fiber amplifier to get a 1030 nm laser with output power of 86 W. After the laser focusing system and frequency doubling, a second harmonic output power of 47.5 W at 515 nm and a fourth harmonic output power of 5.2 W at 257 nm were obtained.The fourth harmonic conversion efficiency was 6.05%. The experimental results show that this structure can obtain high power 257 nm deep ultraviolet laser output, providing a novel approach to improve the detection efficiency of the lasers for semiconductor detection.

The polarization mode of underwater waves based on atmospheric multiple scattering
GU Jing-qiao, LI Gao-jie, HU Peng-wei, QIAN Jian-qiang
2023, 16(6): 1324-1332. doi: 10.37188/CO.2022-0223
Abstract:

Underwater polarized light with certain distribution characteristics is formed when sunlight is scattered by the atmosphere and refracted by the surface of the water. The polarization distribution pattern of the underwater polarized light can be used in navigation. In this paper, an air-water model is proposed to calculate the polarization pattern of sky light under varying wave conditions and simulate the underwater polarization distribution pattern under the influence of wave refraction. Distribution images are simulated for underwater polarization degree and polarization angle in conditions with calm water, sinusoidal waves and random waves with different solar altitude angles. The results are verified using underwater experiments. The comparison of the polarization distribution pattern under the waves with that under the calm water show that the proposed model can accurately characterize the characteristics of the polarization distribution pattern under typical wave surfaces, providing a theoretical basis for improving the environmental adaptability of underwater polarization navigation under fluctuating water surface conditions.

Laser backscattering characteristics of ship wake bubble target
ZONG Si-guang, ZHANG Xin, YANG Shao-peng, DUAN Zi-ke, CHEN Bao
2023, 16(6): 1333-1342. doi: 10.37188/CO.2023-0043
Abstract:

In order to improve the laser wake guidance distance and the detection signal-to-noise ratio, it is of great theoretical and practical value to study the backscattering characteristics of bubble targets with different distances, bubble sizes, bubble number densities, and bubble layer thicknesses. The laser backscattering characteristics of ship wake bubble targets with different distances, scales, numerical densities, and thicknesses are studied using Monte Carlo simulations and indoor experiments. When the bubble density is 102−108 m−3 and the thickness of the bubble layer is greater than 0.05 m, there is always an echo signal for both large- and small-scale bubbles. When the thickness of the bubble layer is less than 0.05 m, no echo signal is detected. At this situation, the thickness of the bubble layer is the greatest impact factor on the backward scattering of bubbles. When the bubble number density is 109 m−3 and the thickness of the bubble layer is below 0.05 m, the pulse width of the large-scale bubble echo signal widens. The number density and scale characteristics of the bubbles have the greatest impact on the backscattering of bubbles. A laser backscattering measurement system at the scale of typical underwater bubbles is built to verify the influence of different ship wake bubble characteristics on the laser backscattering detection system, which can provide support for the ship wake laser detection project.

Multimodal feature fusion based on heterogeneous optical neural networks
ZHENG Yi-zhen, DAI Jian, ZHANG Tian, XU Kun
2023, 16(6): 1343-1355. doi: 10.37188/CO.2023-0036
Abstract:

Current study on photonic neural networks mainly focuses on improving the performance of single-modal networks, while study on multimodal information processing is lacking. Compared with single-modal networks, multimodal learning utilizes complementary information between modalities. Therefore, multimodal learning can make the representation learned by the model more complete. In this paper, we propose a method that combines photonic neural networks and multimodal fusion techniques. First, a heterogeneous photonic neural network is constructed by combining a photonic convolutional neural network and a photonic artificial neural network, and multimodal data are processed by the heterogeneous photonic neural network. Second, the fusion performance is enhanced by introducing attention mechanism in the fusion stage. Ultimately, the accuracy of task classification is improved. In the MNIST dataset of handwritten digits classification task, the classification accuracy of the heterogeneous photonic neural network fused by the splicing method is 95.75%; the heterogeneous photonic neural network fused by introducing the attention mechanism is classified with an accuracy of 98.31%, which is better than many current advanced single-modal photonic neural networks. Compared with the electronic heterogeneous neural network, the training speed of the model is improved by 1.7 times; compared with the single-modality photonic neural network model, the heterogeneous photonic neural network can make the representation learned by the model more complete, thus effectively improving the classification accuracy of MNIST dataset of handwritten digits.

Design of focusing solar simulator based on free-form surface
WEI Xiu-dong, LI Bai-lin, ZHAO Yu-hang, TANG Jian-fang, ZHANG Ji, HUANG Yong-huan, XU Ying-chao
2023, 16(6): 1356-1364. doi: 10.37188/CO.2022-0207
Abstract:

The concentrating solar simulator can obtain solar radiation spots with high-power convergence, which has important applications in the fields of solar thermal power generation and thermochemical research. To obtain uniform solar radiation spots, a free-form surface condenser design method based on non-imaging optics is proposed, and its design principle and specific method are described. The designed free-form condenser is compared with a non-coaxial ellipsoidal condenser with the same containment angle, and the correctness of its design method is verified by simulation analysis. The simulation results show that when a xenon lamp with a rated power of 6 kW is used as the light source, the single-lamp solar simulator composed of a free-form condenser can produce a spot with an average irradiance of 274.4 kW/m2 in the target region with a diameter of 60 mm. The spot’s unevenness decreases from 18.28% to 5.69% compared with that of a non-coaxial ellipsoidal solar simulator. The seven-lamp solar simulator can produce a spot with an average irradiance of 1.65 MW/m2, with a spot unevenness that decreases from 13.19% to 5.49%.

Design of an optical system for generating ring-shaped laser beam
CHEN Bao-hua, WU Quan-ying, TANG Yun-hai, FAN Jun-liu, CHEN Xiao-yi, YU Hao-mo, SUN Yi
2023, 16(6): 1365-1375. doi: 10.37188/CO.2023-0045
Abstract:

We present a method for designing a transmissive-reflective combined optical system to generate a focused ring-shaped laser beam. The design aims to achieve a freely adjustable radius for the focused ring-shaped laser beam and ensure uniform beam intensity even after defocusing. Based on the principle of equal energy splitting, the transmissive system establishes mapping functions for the input and output light projection height. It optimizes the lens parameters to shape the incident Gaussian light into a flat-topped circular shape, thus achieving uniformity of beam intensity. On the other hand, the reflective system uses the adjustable diameter range of the focal plane ring-shaped light and working distance parameters. By applying the principle of geometric ray tracing, it calculates the parameters of the conical reflecting mirror, parabolic cylindrical mirror, and dynamic mirror, then the flat-topped circular light is transformed into a ring-shaped light. The experimental results show that when the half-apex angle of the dynamic mirror is 16°, the designed system can achieve a freely adjustable radius for the focused ring-shaped laser beam from 15 mm to 30 mm with a size error not more than 0.05 mm, and the intensity uniformity after defocusing reaches 84%. The design method can achieve both uniformity of intensity and freedom of size adjustment without replacing the system lens. It has good operability and yields higher precision and efficiency in the processing of ring-shaped light.

Design of catadioptric anamorphic optical system
WU Qing, SHI Guang-wei, ZHANG Jian-ping, ZHAO Shang-nan, ZHANG Xin
2023, 16(6): 1376-1383. doi: 10.37188/CO.2023-0035
Abstract:

The anamorphic optical system has a two-plane symmetry, with different focal lengths in the two symmetry planes. This system can obtain a wider field of view when using sensors with conventional size. We propose a method for designing catadioptric anamorphic optical systems based on their first-order aberration characteristics. A catadioptric anamorphic optical system is designed by using a biconic surface, with a focal length of 500 mm in the XOZ plane and 1000 mm in the YOZ plane. The system’s F-number is 10, and the full field angle is 1°×1°. The mean value of the full field of view MTF of the system is higher than 0.3 at 80 lp/mm. The overall structure of the system is compact, and the imaging quality is excellent.

Design of optical system for low-sensitivity space gravitational wave telescope
YU Miao, LI Jian-cong, LIN Hong-an, HUANG Yao-zhang, LUO Jia-xiong, WU Yan-xiong, WANG Zhi
2023, 16(6): 1384-1393. doi: 10.37188/CO.2023-0006
Abstract:

The Taiji program is a key task for China's space gravitational wave detection, and as an important part of space gravitational wave detection, the telescope's performance will directly affect the accuracy of gravitational wave detection. For the existing typical space gravitational wave telescope structures, due to the high sensitivity of secondary mirror, it is difficult to meet the requirements for manufacturing and adjustment tolerance of larger aperture space gravitational wave telescopes, especially the tolerance requirements for in-orbit stability. In order to solve the above problems, firstly, a new optical system structure of space gravitational wave telescope with intermediate image plane set between three and four mirrors is proposed to reduce the sensitivity of the secondary mirror. Combined with the theoretical method of Gaussian optics, the initial parameters of the structure of the new telescope are theoretically analyzed and calculated. Secondly, through the optimization design, a telescope optical system with a pupil diameter of 400 mm, a magnification of 80 times, a field of view of ± 8 μrad, and a wavefront error RMS value of better than 0.0063λ was obtained. Finally, the sensitivity evaluation tolerance allocation table of the telescope system is established, and the tolerances of the existing telescope structure and the new telescope structure are compared and analyzed. Compared with the existing telescope structure, the sensitivity of the new telescope structure is reduced by 30.4%. The results show that the new telescope structure has the advantage of low sensitivity, which provides an optimal scheme for the design of space gravitational wave telescopes.

Ground-based principle verification of clock noise transfer for the Taiji program
JIANG Qiang, DONG Peng, LIU He-shan, LUO Zi-ren
2023, 16(6): 1394-1403. doi: 10.37188/CO.2023-0012
Abstract:

The Taiji program is a space gravitational wave detection mission proposed by the Chinese Academy of Sciences, which uses laser differential interference to detect pm-level displacement fluctuations caused by gravitational waves between satellites. In order to eliminate the phase measurement error caused by the desynchronization of the clocks in satellites, the Taiji program intends to use the sideband multiplication transfer scheme to measure and eliminate inter-satellite clock noise. We discuss the requirements, principles, and methods of inter-satellite clock noise transmission of the Taiji program, and design experiments for the principle verification. By building an electronics experiment system, the limit value of the clock noise of the two systems was tested, the relevant parameters of the experiment were determined, and the principle of the sideband multiplication transfer scheme was verified by further optical experiments. The experimental results show that the clock noise cancellation scheme and related parameters proposed in this paper are reasonable and feasible, and are suitable for the needs of the Taiji program. Moreover, in the 0.05 Hz−1 Hz frequency band, the suppression effect of inter-satellite clock noise is better than 2π×10−5 rad/Hz1/2, which meets the noise requirements of the Taiji pathfinder and lays an experimental and theoretical foundation for the design of a clock noise transmission scheme and parameters of the Taiji program in the future.

Thermal design of ground weak force measurement system for inertial sensors
REN Li-min, CHEN Li-heng, MENG Xu, WANG Zhi
2023, 16(6): 1404-1413. doi: 10.37188/CO.2023-0022
Abstract:

In order to meet the ultra-high temperature stability requirements of the ground weak force measurement system for inertial sensor, the thermal design of the whole system is carried out. Firstly, the structure of ground weak force measurement system of inertial sensor, heat transfer path of sensitive structure and internal heat source are introduced. Secondly, according to the index requirements of the thermal control of the system, a high-precision thermal control method combining the three-stage thermal control structure and Proportional Integral Differential (PID) control algorithm is proposed to reduce the influence of temperature noise on the detection sensitivity of the inertial sensor. Then, UG/NX software is used to establish the finite element model and carry out the thermal analysis calculation under different working conditions, and the temperature change value of the measurement system in the time domain after equilibrium is (1.2−1.6) ×10−5 K. Finally, the temperature distribution of the measurement system in the time domain is described in the frequency domain, and the temperature stability results of sensitive structure of the inertial sensor are obtained. The analysis results show that under the current thermal control measures, the temperature stability of the sensitive structure of the inertial sensor is better than 10−4 K/Hz1/2, meeting the requirements of thermal control indicators, and the thermal design scheme is reasonable and feasible.

Narcissus suppression of medium-wave infrared imaging system
BU He-yang, YU Lin-yao, TIAN Hao-nan, WANG Jian
2023, 16(6): 1414-1423. doi: 10.37188/CO.2023-0008
Abstract:

Narcissus refers to the phenomenon in an infrared system where a cooled imaging sensor can “see” its own reflected image by the reflection of the frontal optical surfaces. Control of narcissus is one of the important requirements in the design of the infrared imaging system. A cooled medium-wave infrared imaging system with Cassegrain reflection structure is designed and analyzed to obtain the optical surfaces with serious narcissus. In addition, the narcissus is reduced by Zemax, and the optimization of the system transfer function MTF is taken into account while the narcissus is controlled. The optimized medium-wave infrared imaging system is compared with the imaging system without narcissus suppression through NARCISSUS macro (narcissus analysis macro), Tracepro modeling software and actual imaging, and it was found that the narcissus induced equivalent temperature difference (NITD) of the detector image surface decrease from 1.0484 K to 0.1576 K. The energy and size of the narcissus spot did not show marked change during the focusing of the system. The optimized optical structure can effectively control the narcissus of the system.

Infrared radiation characteristics of space target based on ground-based detector
ZHENG Hong-ru, MA Yan, ZHANG Shuai, CHEN Ya-tao
2023, 16(6): 1424-1432. doi: 10.37188/CO.2023-0032
Abstract:

Constructing the radiation characteristics of space targets is of great significance for the development of space situational awareness technology. In this study, we aim to investigate the infrared radiation characteristics of space targets by developing a simulation program based on the finite element method and unstructured tetrahedral mesh. Through vector coordinate transformation, we calculate the orbit external heat flux received by each surface of the target. By combining the surface material properties and Bidirectional Reflection Distribution Function (BRDF), the temperature and infrared radiation characteristics of each target surface were simulated. Furthermore, we analyze the spectral radiation intensity of the target in the ascending and descending orbital arcs under ground-based detection conditions, taking into account the effects of atmospheric attenuation and background radiation. The results show that, for a three-axis stabilized synchronous orbit satellite with solar panels fixed in the flight direction, the temperature variation range of each surface in the sunlight area and the shadow area is small. The detection effect of the long-wave band of 8~14 μm is better than that of the medium-wave band of 3~5 μm, and the maximum radiation intensity is about 770 W/sr. Ground-based infrared spectrum detection is more affected by the atmosphere, and the detection band must be optimally selected.

Influencing factors of angle measurement accuracy of an interferometer star tracker
RUAN Yu-xiang, DONG Lei
2023, 16(6): 1433-1441. doi: 10.37188/CO.2022-0232
Abstract:

In order to improve the traditional attitude measurement accuracy of star sensors, interference angle measuring technology can be combined with a traditional star sensor. Based on the centroid positioning technology of traditional star sensors, the light intensity information of star image points is subdivided to break through the accuracy limitation of centroid positioning and obtain a highly precise interferometric star sensor with a large field of view. In this paper, the factors that restrict the angle measurement accuracy of interferometer sensors are deeply studied with particular interest given to the influence of interference fringe segmentation error on angle measurement accuracy. Through research and analysis, we conclude that the asymmetry error is not the main factor affecting the angle measurement accuracy of interferometric sensors. When the mismatch error between the Moire fringe period and the overall optical dimension of the optical wedge array is less than 1%, the single-factor angle measurement error is less than 0.01". For non-orthogonal error between Moire fringe orientation and an optical wedge’s array arrangement direction, the accuracy error of single-factor angle measurement is sure to be less than 0.01" when the fringe rotation angle is less than 0.1°. Therefore, the above two main errors should be suppressed in the production and assembly so that the measurement accuracy of the interferometer sensor is closer to the high-precision theoretical value.

Effect of slit height on the spectral resolution of a monochromator
ZHANG Jing, ZHANG Bo, LIU Kai, WANG Kai-yang, FENG Shu-long, LI Wen-hao, YAO Xue-feng
2023, 16(6): 1442-1449. doi: 10.37188/CO.2023-0004
Abstract:

Monochromators are widely used in spectral calibration, material analysis and other aspects, so research of high spectral resolution monochromator systems is of great significance. Based on the vector grating equation, the influence of the height of the incident slit on the spectral line bending of a spectrometer is investigated, and the analytical expressions of the spectral line bending at the same wavelength and the slit height are given. An optimization scheme of the spectral resolution of the monochromator based on the suppression of spectral line bending by the slit height is proposed. According to the performance index requirements of a highly sensitive and ultra-fast time response detector, a three-grating monochromator optical system with a spectral resolution of 0.1 nm and a band range of 185−900 nm was designed, and a prototype was built to verify the influence of the slit height on spectral line bending, and to explore the influence of slit height on spectral resolution on the above basis. The experimental results show that the spectral resolution can be improved from 0.32 nm to 0.1 nm by optimizing the slit height when the slit width is fixed.

All-aluminum high-resolution camera with lightweight and compact size
SUN Jing-xu, XIE Hong-bo, LI Shu-xian, XIE Xin-wang, WANG Shuo, ZHOU Feng
2023, 16(6): 1450-1462. doi: 10.37188/CO.2023-0062
Abstract:

In order to meet the urgent need of developing lightweight and compact space cameras quickly, effectively, and rapidly, a detailed comparative analysis is conducted, including optical system forms and imaging systems. The optical system form of RC+ compensation group is determined, and the imaging system of small F#+micropixel is adopted. Compared with the detailed parameters of the DOVE camera, a lightweight all-aluminum high-resolution camera with a resolution of 3.48 m at an orbital altitude of 500 km is designed. The overall design results of the camera, its optical and optomechanical structures, imaging electronics, and thermal control are described in detail. The optical design results of the RC+ compensation group of F5.6 are obtained. Using RSA-6061 microcrystalline aluminum alloy as the structural material of the mirror, coupled with an integrated high-rigidity hard aluminum alloy structure, the static (gravity and temperature deformation) simulation analysis results meet the optical design tolerance requirements. The dynamic simulation analysis results show that the first order mode is 302.92 Hz, which has a sufficiently high dynamic stiffness and safety redundancy. The imaging electronics using a 3.2 μm large area array 9 K×7 K detector is designed for low noise miniaturization. Thermal control is provided by the satellite platform at a temperature level of 20 °C± 4 °C for the camera. Integration test results show that: (1) The RMS wave aberration of the central field of view is λ/15.6, and the wavefront aberration of the five fields of view is better than λ/12.3, which ensure high-quality imaging near the diffraction limit of the camera. The measured optical transfer function at Nyquist frequency is 0.217; (2) The maximum sinusoidal vibration of the camera in three directions is amplified 1.17 times, and the first-order mode of the camera is 295 Hz, with a deviation of 2.61% from the simulation result. The structural stiffness is high and the mechanical stability is good. Under vacuum environment of 10−4 Pa and three different temperatures of 16 °C, 20 °C and 24 °C, the image is clear and can distinguish the corresponding resolution plate image at Nyquist frequency; (3) The image of 2 km outfield target is good, as well as clear and distinct grayscale image with sharp shadow boundaries. The all-aluminum high-resolution camera is achieved 3.48 m resolution at a track height of 500 km,width of 15 km×15 km and a total weight of 2 kg. The structural rigidity and strength test results meet the requirements of space launch scenarios, and these can provide theoretical guidance and engineering reference for the design of lightweight and higher-resolution space cameras.

Compact voice coil deformable mirror with high wavefront fitting precision
HU Li-fa, JIANG Lv, HU Qi-li, XU Xing-yu, HUANG Yang, WU Jing-jing, YU Lin
2023, 16(6): 1463-1474. doi: 10.37188/CO.EN-2023-0001
Abstract:

To meet the requirements of wavefront distortion correction for miniaturized adaptive optics systems, a Deformable Mirror (DM) using micro voice coil actuators was designed based on systematic theoretical analysis. The structural parameters of the micro voice coil actuator were optimized by electromagnetic theory and the finite element method. The DM was optimized with respect to thermal deformation, resonance frequency, coupling coefficient and other parameters. Finally, wavefront fitting and residual calculation were completed according to the influence function. The optimized 69-element Voice Coil Deformable Mirror (VCDM) has a large phase stroke, good thermal stability, and a large first resonance of 2220 Hz. The RMS of the fitting residuals of the VCDM for the first 35 Zernike modes with a PV value of 1 μm are all below 30 nm. For complex random aberrations, the compact VCDM can reduce the wavefront RMS to less than 10%. Compared with a traditional VCDMs, the results of our compact VCDM indicate that it has a higher wavefront fitting precision. The compact VCDM with high performance and low cost has good potential applications in human retinal or airborne imaging systems.

Polarization-multiplexing of a laser based on a bulk Yb:CALGO crystal
JIN Hao-shu, LIU Hui, XU Si-yuan, LU Bao-le, BAI Jin-tao
2023, 16(6): 1475-1481. doi: 10.37188/CO.EN-2023-0005
Abstract:

The polarization-multiplexing of a laser based on a medium with a large gain bandwidth and a high thermal conductivity can benefit dual-frequency and dual-comb lasers’ spectral bandwidth and power. This paper presents a demonstration of the polarization-multiplexing of a laser based on a bulk Yb:CALGO crystal. The polarization multiplexing is realized by sandwiching the gain crystal with two birefringent crystals which are cut at 45˚ to their optical axis. This sandwich-configuration creates inside the cavity two orthogonally polarized beams which are spatially separated only in the sandwich-configuration part but collinear in other part. Meanwhile, a single pump beam is also split into two beams automatically, matching the two cavity modes. This configuration also allows the gain crystal to be located in at the waist of cavity modes, which benefits the pumping efficiency. The laser outputs watt-level power with a slope efficiency exceeding 30%. A dual-frequency operation with terahertz frequency separation is realized by inserting an etalon into the cavity.

A sliding-mode control of a Dual-PMSMs synchronization driving method
SONG Xiao-li, ZHANG Chi, GUO Ya-wei
2023, 16(6): 1482-1492. doi: 10.37188/CO.EN-2022-0026
Abstract:

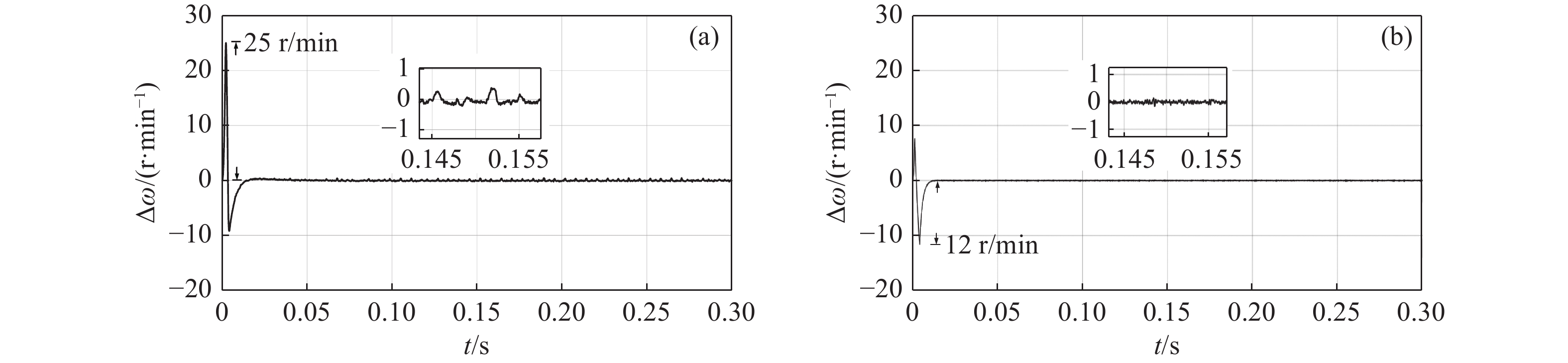
Speed synchronization performance and anti-interference are important factors that affect the synchronous operation dynamic response and steady-state accuracy of dual Permanent Magnet Synchronous Motors’ (Dual-PMSMs). By introducing cross-coupling control as the framework, an integral sliding mode speed tracking controller based on an improved bi-power reaching method is proposed to reduce the speed error between two motors. A load torque observer is designed to bring the observed value into the Sliding Mode Control (SMC) reaching method that enhances the anti-disturbance performance of the system. Meanwhile, a synchronous controller is designed using a Fuzzy-Proportional-Integral-Derivative (FPID) control to improve the synchronization of the Dual-PMSMs. The results show that compared with the traditional PI algorithm as the target speed is 800 r/min, the proposed control method can decrease the two motors’ speed synchronization error from 25 r/min to 12 r/min under a no-load startup and reduce the speed synchronization error from 7 r/min to 2.2 r/min with sudden load torque, improving the synchronization and disturbance rejection.

The influence of the number of coupling regions on the output of the ding-shaped microring resonator
WU Rong, ZHANG Hao-chen
2023, 16(6): 1493-1500. doi: 10.37188/CO.EN-2023-0009
Abstract:

In order to explore the influence of the number of coupling regions on the output of the ding-shaped microring resonator, the physical model of the ding-shaped microring resonator is established and studied by using the transfer matrix method. On this basis, the influence of the number of different coupling regions on the output of the ding-shaped microring resonator is analyzed. The experimental results show that with the increase of the number of coupling regions, the number of resonance peaks increases in the range of 1.54~1.56 μm working wavelength, the full width at half maximum (FWHM) decreases, the quality factor Q increases, the energy storage performance of the device is better, and the filter function on a specific wavelength can be realized. It can be concluded that the number of coupling regions has a great influence on the performance of the ding-shaped microring resonator. The number of coupling regions is selected according to the actual needs in the design.

Orbital-angular-momentum spectra in coherent optical vortex beam arrays with hybrid states of polarization
YANG Ceng-hao, CHENG Ke, HUANG Hong-wei, LIAO Sai, LIANG Meng-ting, SHU Ling-yun
2023, 16(6): 1501-1511. doi: 10.37188/CO.EN-2023-0010
Abstract:

Orbital-Angular-Momentum (OAM) is one of the most important parameters in high-capacity optical communication or super-resolution imaging. Based on the Huygens-Fresnel principle and the theory of coherent combination, we propose hybridly polarized vortex beam arrays in coherent combinations of radial off-axis Gaussian beamlets with vortex and polarization Topological Charges (TC). The effect of vortex, polarization and addition TC and the number of beamlets on OAM spectra of the proposed beam arrays at input and output plane are both stressed. The results show the number of beamlet and hybrid polarization present joint effect on maximal weight of OAM-modes. An increase of maximal weight value at OAM-mode is accompanied by the growing number of the beamlet, while the hybrid polarization can not significantly increase the maximum weight of OAM spectra. As the number of beamlets increases, hybrid polarization can't significantly improve the maximal weight value in OAM spectra. Furthermore, the maximal mode equals the total TC at central Optical Vortex (OV) and it is irrelevant to the number of beamlets. Whereas for other modes for non-zero weight, their locations are jointly determined by vortex, polarization and addition TCs and the number of beamlets. This work may provide potential applications in the OAM-based communication and polarization imaging technologies.

InGaAs/AlGaAs quantum well intermixing induced by Si impurities under multi-variable conditions
LIU Cui-cui, LIN Nan, MA Xiao-yu, ZHANG Yue-ming, LIU Su-ping
2023, 16(6): 1512-1523. doi: 10.37188/CO.2022-0257
Abstract:

Catastrophic Optical Mirror Damage (COMD) on the cavity surface is the key factor limiting the threshold output power of high-power quantum well semiconductor laser diodes. To improve the output power of the laser diode, the band gap width of the active material in the cavity surface of the semiconductor laser diode can be adjusted by the quantum well intermixing technology to form a non-absorbing window transparent to the output laser. Based on the primary epitaxial wafers of InGaAs/AlGaAs high power quantum well semiconductor laser diode, using the single crystal Si dielectric layer grown by Metal Oxide Chemical Vapor Deposition (MOCVD) as the diffusion source, the research on Si impurity induced quantum well intermixing was carried out by using the Rapid Thermal Annealing (RTA) process. The effects of growth characteristics of Si dielectric layer, the temperature and time of RTA on the intermixing process were investigated. The experimental results show that the epitaxial 50 nm Si dielectric layer at 650 °C combined with 875 °C/90 s RTA treatment can obtain about 57 nm wavelength blue shift while maintaining the photoluminescence spectrum shape and the primary epitaxial wafers. It is found that the diffusion of Si impurities into the waveguide layer on the primary epitaxial wafer is the key to the remarkable effect of quantum well intermixing by the energy spectrum measurement technique.

Baidu
map