2024 Vol. 17, No. 1
Fringe structured light technology is a non-contact measurement method, which has developed rapidly in recent years and provides a new solution for on-machine detection in mechanical processing. However, the accuracy of structured light for on-machine detection is compromised by the convoluted lighting in machining environments and metal parts’ high reflectivity, leading to inaccurate measurements. Applying high dynamic range (HDR) technology to structured light detection can reduce the effect of high reflectivity, achieving the measurement of metal parts in complex scenes. This paper introduces the measurement principle of structured light and summarizes the challenges of on-machine detection for HDR structured light. Subsequently, this paper provides a comprehensive review of HDR structured light technology. In the context of on-machine detection of mechanical processing, the HDR technology based on hardware equipment and the HDR technology based on stripe algorithm are discussed and analyzed, respectively. Following this, different technologies are summarized according to the requirements of on-machine detection. The advantages and disadvantages of various methods are presented, and the applicability of on-machine detection is compared. Finally, the potential applications are analyzed, and the technological prospects will be proposed in combination with the research hotspots of advanced manufacturing technology and precision measurement in recent years.
Laser Induced Breakdown Spectroscopy (LIBS) is a new method for qualitative and quantitative analysis of the constituents of a material using plasma spectra produced by the interaction of a strong pulsed laser with the material. In the process of pulsed laser-induced plasma, different laser parameters (energy, pulse width, wavelength), environmental conditions during the detection process and the properties of the material itself have different degrees of influence on the physical mechanism of laser-induced plasma, which in turn affects the results of LIBS quantitative analysis. We review the physical mechanisms of LIBS technology in the current state, including the basic principles of LIBS, the differences in laser parameters, and the physical mechanisms involved in the differences in environmental and material properties. It provides a basis for a deeper understanding of laser-matter interactions and for improving the detection capabilities of LIBS.
Narrow linewidth fiber lasers, based on the multi-longitudinal-mode oscillator seed source, have obvious advantages in engineering applications and space-limited loading platforms. Additionally, they are considered ideal sub-modules for high-power spectral combinations. The time domain of this type of seed is unstable due to the self-pulse effect, causing significant spectral broadening and stimulated Raman scattering effects during the amplification process, which limits their further improvement in output power and affects the purity of laser spectra. In this paper, we introduce four commonly used narrow linewidth seeds. The mechanism and suppression methods of the self-pulse effect in multi-longitudinal mode oscillator seeds are analyzed. Critical technologies essential for the optimization and relevant progress of the multi-longitudinal-mode oscillator seed source and amplifier stages are discussed in detail. A future development outlook is also presented. This paper serves as a useful reference for the design of narrow linewidth fiber lasers based on the multi-longitudinal-mode oscillator seed source.
We propose a design method for off-axis meta-lens and analyze the effects of numerical aperture, off-axis angle, and incident wavelength on the simulation deviation, resolution and focusing efficiency of off-axis meta-lenses. Several off-axis meta-lenses with parameters
To shorten the axial and radial dimensions of the 12-inch wafer detection imaging system, a solution combining the small angle prism refraction path and the ultra-short object-image distance lens is proposed. A small angle prism with shape accuracy better than 1/12
Compared with the medium-wave Infrared (MWIR) zoom optical system, the long-wave infrared (LWIR) zoom optical system has fewer available materials and is difficult to athermalize in high and low temperature environments. In this paper, the multi-field zoom optical system is realized by using mechanical compensation zoom technology, and the active compensation athermalization technology is used to make the system image clear in the temperature range of −40 °C—+65 °C, to realize the design of the four-field LWIR optical system with four lenses. The focal lengths of the four fields of view are 25 mm, 109 mm, 275 mm and 400 mm, the zoom ratio is 15, the envelope size of the optical system is 280 mm (L)×200 mm (W), and the total weight of the optical components is 618 g. The optical system has SWaP-C characteristics such as light weight, high performance, and low cost, and will be widely used in security fields such as auxiliary navigation, search, and tracking.
Conventional imaging spectrometers generally have low variable ratio, which is not conducive to the extended application of large-field, long-slit, multi-channel optical systems. In space remote sensing, the radiation energy of the ultraviolet band is low, which requires the imaging spectrometer to have a smaller
This article presents a vehicle headlight projection scheme based on Micro LED arrays. A 200×150 white Micro LED array with pixel size of 80 μm×80 μm is designed as the display light source, and a headlight projection optical system with a field of view of 16°×34° is designed. The object plane tilt angle and optical system structure are optimized. In addition, the inverse distortion processing method and pixel grayscale modulation method are used to solve the trapezoidal distortion and uniformity of illumination of the headlight projection image. A projection experimental platform is built to verify the image correction method. Experimental results show that after correction, the image trapezoidal distortion coefficients
Ultraviolet lasers play an important role in the study of ultraviolet resonance Raman spectroscopy. The Raman signals can be enhanced by the resonant Raman effect, thereby reducing the detection limit of Raman measurement. We focus on the study of a narrow-pulse all-solid-state ultraviolet laser with an output wavelength of 228 nm. The Nd:YVO4 is used as the gain medium and the electro-optic Q-switched cavity dumped technique is applied to achieve a fundamental frequency output of 914 nm in pulse width of several nanoseconds. Then, the second-harmonic light is generated by LiB3O5(LBO), and the fourth-harmonic 228 nm UV laser is obtained by beta-barium-borate (BBO) crystal. On this basis, further research has been conducted on the variation of fundamental and second harmonic laser power at different repetition rates. Due to the low gain of Nd:YVO4 at 914 nm, the average power of the laser is saturated and decreases with increased repetition rate. The output efficiency of UV laser is optimized by adjusting the focus lens. At the pump power of 30 W and the repetition frequency of 10 kHz, a 228 nm UV laser output with the highest average power of 84 mW is obtained. The UV laser is continuously adjustable within the range of 5−25 kHz repetition frequency and the pulse width is maintained at 2.8 to 2.9 ns, which meets the application requirements in the field of UV spectroscopy detection technology.
To provide high-quality, intelligent, and healthy lighting sources, a linear dimming mixed lighting system is constructed using three-primary-color LED light sources. An optimization method for dimming and color mixing is proposed. The light chromaticity and light intensity of the mixed light source are set by color temperature and brightness level, which makes the mixed lighting effect more in line with the demand of "human-centric lighting". In the intelligent optimization of the system, the color temperature is converted into CIE
Phase retrieval and depth estimation are vital to three-dimensional measurement using structured light. Currently, conventional methods for structured light phase retrieval and depth estimation have limited efficiency and are lack of robustness in their results and so on. To improve the reconstruction effect of structured light by deep learning, we propose a hybrid network for structured light phase and depth estimation based on Light Self-Limited Attention (LSLA). Specifically, a CNN-Transformer hybrid module is constructed and integrated into a U-shaped structure to realize the advantages complementary of CNN and Transformer. The proposed network is experimentally compared with other networks in structured light phase estimation and structured light depth estimation. The experimental results indicate that the proposed network achieves finer detail processing in phase and depth estimation compared to other networks. Specifically, for structured light phase and depth estimation, its accuracy improves by 31% and 26%, respectively. Therefore, the proposed network improves the accuracy of deep neural networks in the structured light phase and depth estimation areas.
The objective of this study is to explore the optimal detection location and the best prediction model of the suger level of Yongquan honey oranges, which can provide a theoretical basis for the brix measurement and classification of honey oranges. With the wavelength range of 390.2−981.3 nm hyperspectral imaging system was used to study the best position for detecting the sugar content of Yongquan honey oranges, and the spectral information of the calyx, fruit stem, equator and global of Yongquan honey oranges were combined with their sugar content of corresponding parts to establish its prediction model. The original spectra from the different locations were pre-processed by Standard Normal Variance (SNV) transformation, Multiple Scattering Correction (MSC), baseline calibration (Baseline) and SG smoothing, respectively, and the Partial Least Squares Regression (PLSR) and Least Squares Support Vector Machine (LSSVM) models were established based on the pre-processed spectral data. The best pre-processing methods for different parts of the honey oranges were found, and the optimal spectral data obtained by the best pre-processing methods were conducted to identify characteristic wavelengths using the Competitive Adaptive Re-weighting Sampling algorithm (CARS) and Uninformative Variable Elimination (UVE). Finally, the PLSR and LSSVM models were established and compared based on the selected spectral data. The results show that the global MSC-CARS-LSSVM model demonstrates the most accurate prediction performance, with a correlation coefficient of
To realize the rapid, high-precision, and universal testing of concave aspheric surface, a non-null interferometry method is proposed in this paper, which takes the asphere as a spherical surface and measures it directly with an interferometer. Combined with the corresponding data processing methods, the test results of the aspheric surface are obtained. Firstly, the detection theory of this method is introduced, the calculation and removal models of retrace error and adjustment error are established, and the data processing method of shape error is studied. Secondly, taking two concave aspherical surfaces with different parameters as an example, the retrace error and adjustment error are simulated, which verified the effectiveness of the method. Finally, a non-null interferometry experimental setup of concave aspheric surface is performed, and its shape error is successfully obtained. By comparing the results with autocollimation method or LUPHOScan method, it is shown that the surface distribution and evaluation indicators of the results are highly consistent, which verifies the correctness of this method. This method provides an effective measurement method for concave aspheric surface with high precision, universality, and convenience.
Optical aberrations caused by the scattering of biological tissues limit the imaging performance of optical systems. A near-infrared II fluorescence confocal imaging technique based on indirect wavefront shaping was investigated. First, we synthesized a highly efficient near-infrared II range fluorescent probe, where reducing the scattering of biological tissue can realize biopsy imaging with high-contrast. Second, we investigated the adaptive optical method based on indirect wavefront measurement. The indirect wavefront shaping technology was applied to the laser scanning confocal system, enabling the measurement and compensation of optical aberrations caused by biological tissues, and obtaining imaging of biological tissues with a high signal-to-noise ratio. Finally, near-infrared II fluorescence confocal imaging system based on indirect wavefront shaping was deployed and relevant experiments were conducted. The experimental results indicate that the system effectively compensates for the aberrations induced by air plates, scattering media and mouse skull, and increases the final signal intensity by 1.47, 1.95 and 2.85 times, respectively. As a result, the final imaging quality is significantly enhanced.
Cytoendoscopy requires continuous amplification with a maximum magnification rate of about 500 times. Due to optical fiber illumination and stray light, the image has non-uniform illumination that changes with the magnification rate, which affects the observation and judgement of lesions by doctors. Therefore, we propose an image non-uniform illumination correction algorithm based on the illumination model of cytoendoscopy. According to the principle that image information is composed of illumination and reflection components, the algorithm obtains the illumination component of the image through a convolutional neural network, and realizes non-uniform illumination correction based on the two-dimensional Gamma function. Experiments show that the average gradient of the illumination channel and the discrete entropy of the image are 0.22 and 7.89, respectively, after the non-uniform illumination correction by the proposed method, which is superior to the traditional methods such as adaptive histogram equalization, homophobic filtering, single-scale Retinex and the WSI-FCN algorithm based on deep learning.
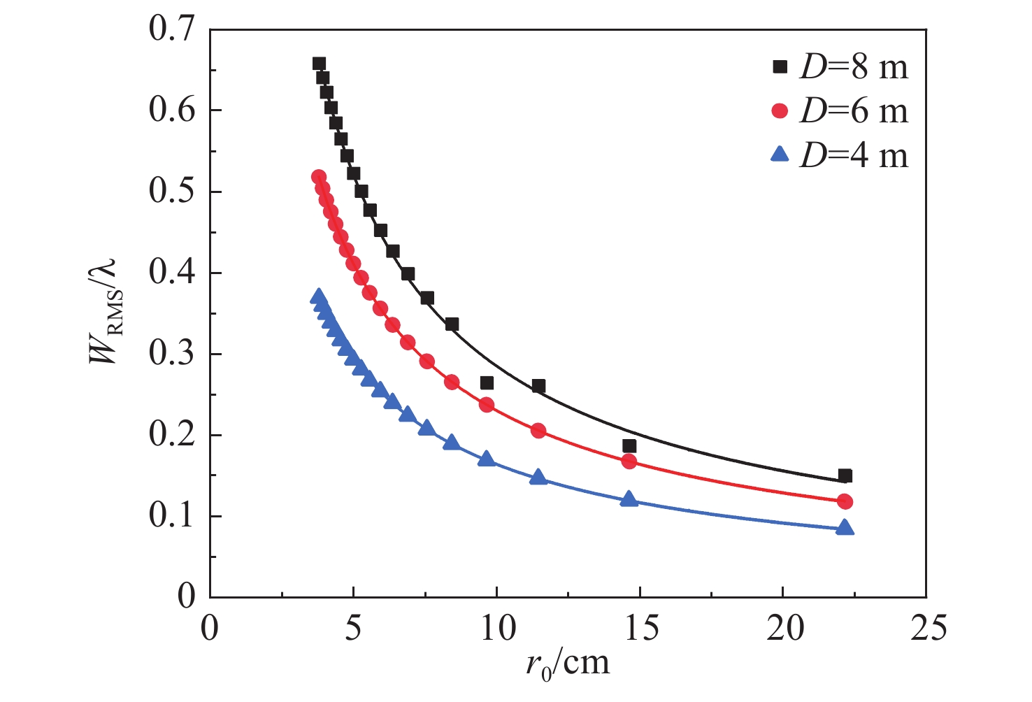
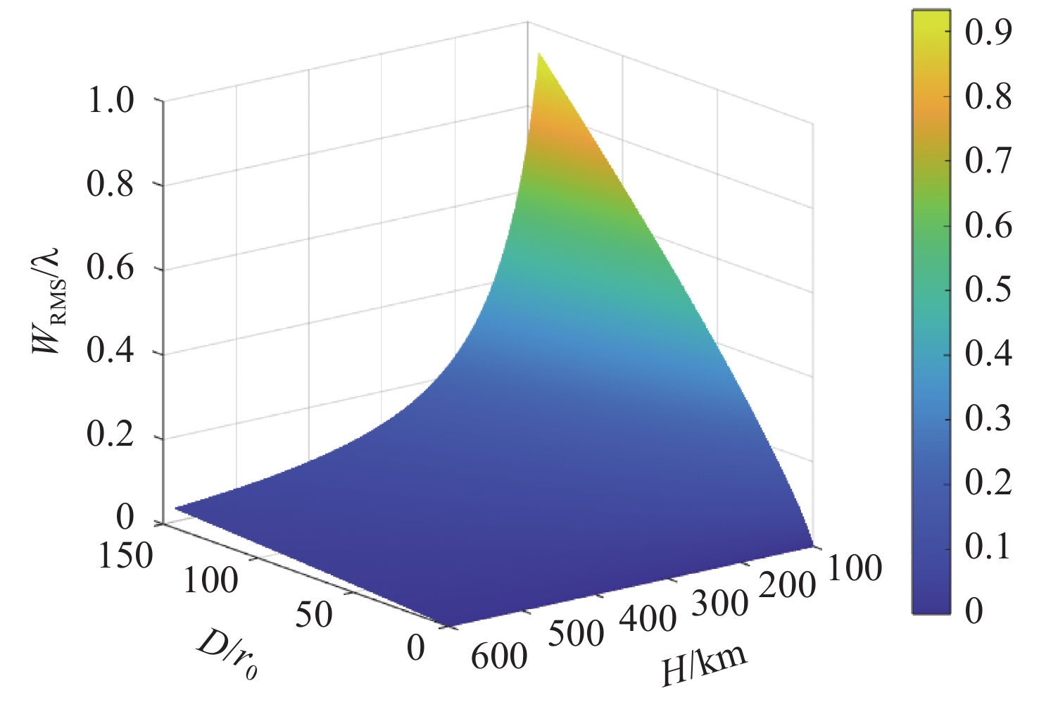
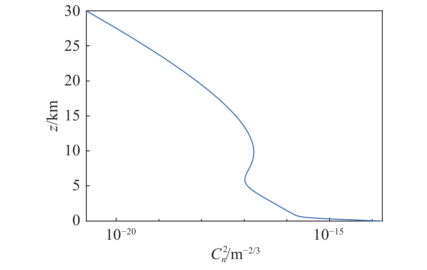
Remote sensing satellites play a crucial role in both national defense and civil exploration. However, the imaging quality of high-resolution remote sensing satellites is significantly affected by atmospheric turbulence. We focus on the impact of camera aperture, satellite orbit altitude and atmospheric turbulence intensity on the imaging quality of space cameras during remote sensing satellite earth detection. Firstly, the turbulence wavefront simulation method based on the spherical wave model and Kolmogorov turbulence theory is analyzed. Subsequently, the disturbed wavefront, impacted by the camera aperture, satellite orbit height and atmospheric turbulence intensity, is analyzed, and a universal formula is derived. In addition, an equation for imaging resolution with camera aperture, satellite orbit height and atmospheric coherence length is developed. Finally, the effect of atmospheric turbulence on the Modulation Transfer Function (MTF) is studied. The variation of the relative error of MTF with camera aperture, satellite orbit height and atmospheric coherence length is simulated and analyzed, with reference to an MTF value of 0.15. This study provides a theoretical basis for designing, analyzing, and assessing high-resolution remote sensing satellites.
With excellent optical properties and high carrier mobility, perovskite materials have become highly competitive materials in the field of space solar cells. However, space particle irradiation can change the structure and optical properties of materials, leading to a rapid degradation of device performance. In order to investigate the influence of electron irradiation on the structure and optical properties of CsPbBr3 nanocrystals, we conducted electron irradiation experiments on CsPbBr3 materials, characterized the microscopic morphology of CsPbBr3 nanocrystals by high-resolution transmission electron microscopy. Moreover, we investigated the variation trend of crystal structure by X-ray diffraction analysis and X-ray photoelectron spectroscopy analysis. The results revealed electron irradiation caused the CsPbBr3 nanocrystals to become rough and significantly decrease in size. The nanocrystal became compact and formed nanocluster under high-dose electron irradiation. Furthermore, the optical properties of CsPbBr3 materials were characterized using steady-state UV-Vis absorption spectra and photoluminescence spectra. The analysis of lattice expansion-induced bandgap changes after irradiation was performed using first principles calculations. It is demonstrated that electron irradiation deepened the color of nanocrystals and affected the light transmittance of CsPbBr3 nanocrystalline, thereby enhancing the optical absorption performance of the samples. However, electron irradiation also led to the decomposition of CsPbBr3 nanocrystals, resulting in a significant reduction in luminescence intensity of the CsPbBr3 by 53.7%−78.6% after high-dose irradiation. These findings provide valuable data support for the study of spatial radiation damage mechanisms and the application of perovskite nanocrystals.
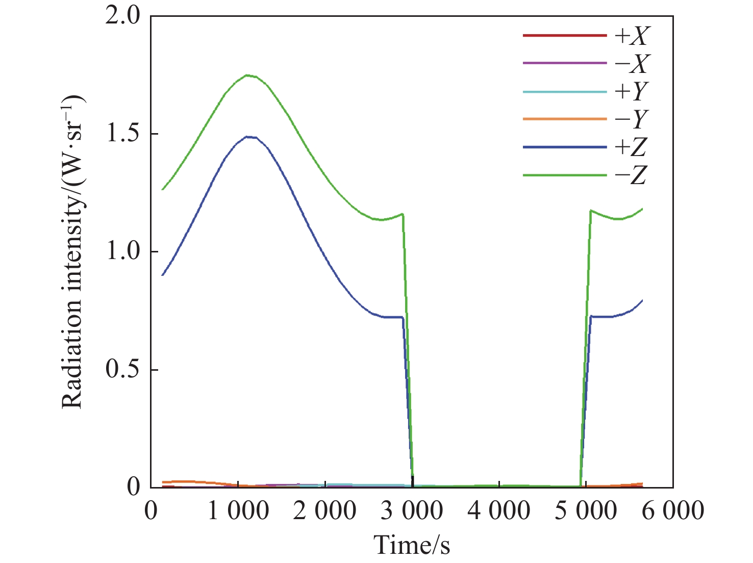
In this paper, the solar radiation, the earth radiation and the earth albedo radiation received by the space target are simulated by Monte Carlo simulation method, and the simulation program is written based on the unstructured tetrahedral grid, and the calculation results are compared and verified. Furthermore, for the orbit external heat flow received by the sun-synchronous orbit satellite, the grid with solar panels is used to analyze the orbit external heat flow received by each surface with or without occlusion. The results show that the average heat flow value of −
Aming at the characterstics of weak gas laser telemetry optical signals and strong interference from environmental factors, a Highly Sensitive Photoelectric Detection Circuit (HSPDC) for TDLAS laser telemetry based on wavelength modulation technology has been designed and investigated. In addition, a noise suppression method for TDLAS signals based on wavelength modulation technology was determined. The photodiode ideal model is utilized to analyze the linear response characteristics of the photodetector circuit and determine the essential photodiode parameters. Based on the cascade amplification principle, the HSPDC is designed, simulated, and tested, achieving a lower limit of optical power detection of 0.11 nW, a signal attenuation of 0.79 dB (
A temperature control system that employs an incremental PID algorithm based on FPGA technology has been developed to decrease detector noise and dark current while ensure the CMOS detector of the spectrometer obtain more accurate spectrum curve. Considering the current temperature and the control parameters, the appropriate control quantity is calculated to ensure the detector realize the target temperature. Controlling the temperature change rate of the detector is realized through front stage control, effectively solving the problem of overshooting. By adding the anti-integral saturation algorithm and the transition link of the target value, the function of the temperature change rate of the detector is controllable, and the problem of overshoot is solved. Multiple environmental tests conducted on the entire machine indicate that the system can control the temperature of the detector to reach any desired temperature within a specified temperature difference range of 40 °C under the ambient temperature condition in orbit. The sensor temperature has a margin of error of ±0.1 °C. Compared to the conventional analog PID control method, the proposed method offers significant advantages of high sensitivity and strong stability. At a temperature of −10 °C, the noise of the detector is substantially reduced.
Through analysing the optical requirements of wide beam and high uniformity light beads, which are currently used in displays, and packaging micro Light-Emitting Diode (LED) chips with a novel non-Lambertian distribution, we realized the production of wide beam and high uniformity micro-LED chip light beads. The light output efficiency and beam angle of fixed beads were simulated using brackets made of copper, titanium, aluminium and silver, as well as materials that were completely reflecting and absorbing. The simulations were conducted at various fixture angles, packaging heights, packaging materials, sapphire thicknesses, and patterned sapphire substrate sizes. By adjusting the chip and packaging parameters, we can obtain one, two, or three light beams with Surface Mounted Device (SMD) lamp beads characteristics that provide wide angles, high uniformity, and far-field light distribution. These characteristics can meet the current display requirements for LED and LCD.
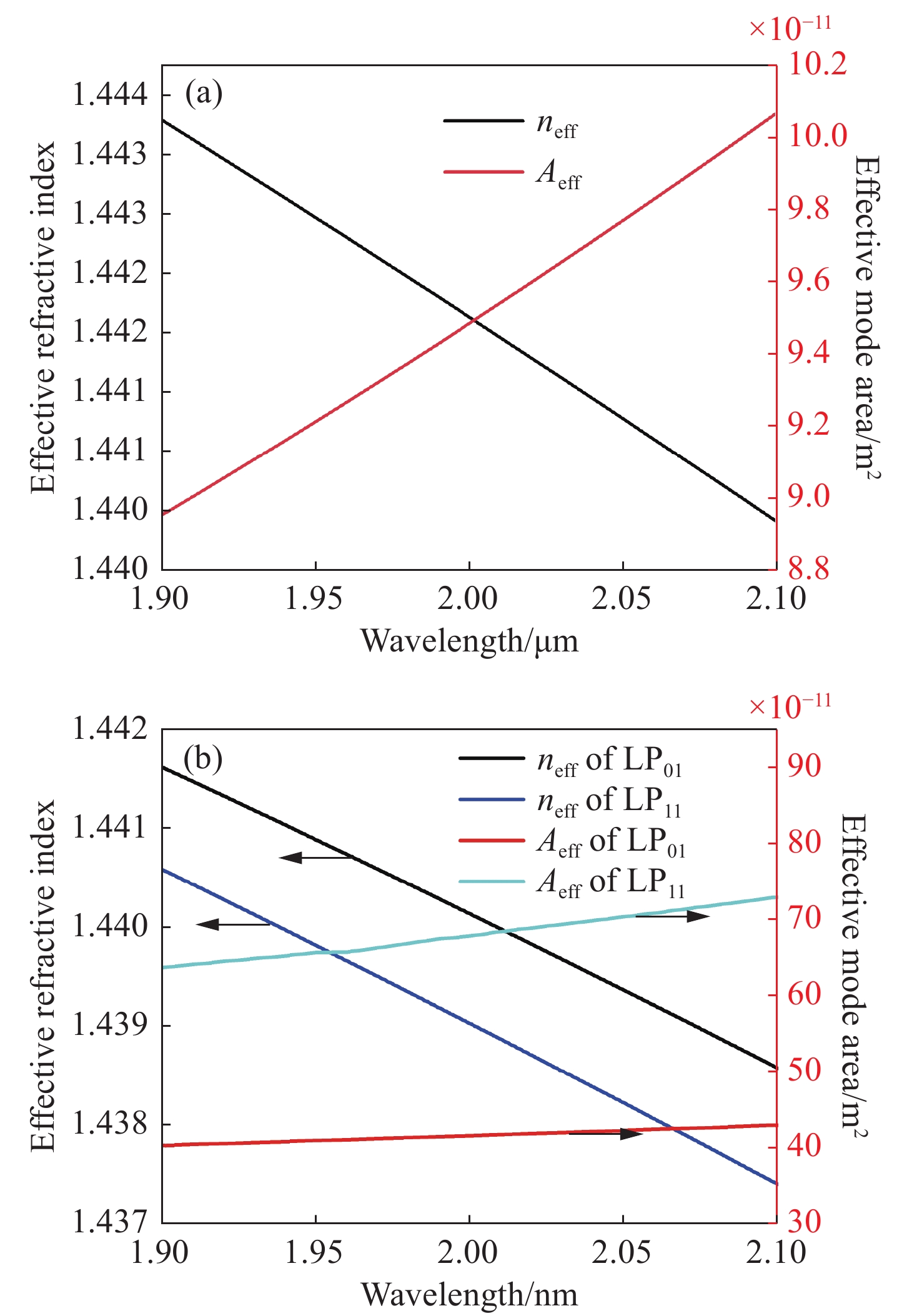
In this paper, the effect of Stimulated Brillouin Scattering(SBS) on the laser output performance in a 2 µm thulium-doped fiber amplifier was analyzed theoretically. The optical mode distribution, the effective refractive index, the effective mode field area, and the normalized frequency of the double-clad thulium-doped fiber at 793 nm pump wavelength and 1.9−2.1 µm laser waveband were studied. The stimulated Brillouin scattering characteristics, including the Brillouin frequency shift and the Brillouin gain spectrum, in the double-clad thulium-doped fiber were numerically simulated in the laser waveband of 1.9−2.1 µm. The influence of stimulated Brillouin scattering on the laser output performance of thulium-doped fiber amplifiers was investigated using the theoretical model of stimulated Brillouin scattering in gain fibers. In the DTDF-10/130 double-clad thulium-doped fiber, a continuous wave with power of 100 W and wavelength of 793 nm is used as a pump to amplify a continuous signal wave with wavelength of 2 µm and power of 0.01 W. The maximum output powers of the signal wave are 25.27 W, 31.08 W and 34.06 W when the pump power filling factors are 0.01, 0.02 and 0.03, respectively. The corresponding optimal double-clad fiber lengths are 2.66 m, 2.02 m and 1.75 m. Additionally, the Stokes optical powers generated by the stimulated Brillouin scattering are 1.68 W, 1.39 W and 1.14 W, respectively. The results show that the double-clad fiber with large pump power filling factor in the thulium-doped fiber amplifier can effectively reduce the fiber length, thus to minimize the influence of stimulated Brillouin scattering on the output power of the signal laser. The numerical model can optimize the fiber length of the fiber amplifier, which is of great significance to improve experimental efficiency and reduce experimental costs.
Red lasers with a picosecond pulse width are widely used in various fields such as industrial, medical, scientific research and information strorage due to their narrow pulse width and high peak power. This paper presents an all-solid-state laser, operating at 660 nm with picosecond pulse width, narrow band, and high conversion efficiency, which is demonstrated by the acousto-optic mode-locked (AOML) method. By optimizing the cavity and implementing external frequency doubling with two LiB3O5 (LBO) crystals along with various techniques, a mode-locked red laser source with a maximum output power of 8.6 W is developed. The laser operates in a pulsed side-pumped regime and contains the mode-locked pulses with a frequency of 100 MHz and a pulse width of 887 ps. The optical-to-optical conversion efficiency from 1319 nm to 660 nm can reach up to 41%.
By embedding a line defect in a two-dimensional photonic crystal and using linear interference effect and waveguide coupling, an XNOR gate and NAND gate structure based on a two-dimensional photonic crystal is designed. The band structure of the two-dimensional photonic crystal is analyzed by using the plane wave expansion method. The time-domain finite-difference method and the linear interference effect are used to simulate the stable electric field diagram and the normalized power of the XNOR gate and NAND gates on the Rsoft platform. The simulation results demonstrate that the designed XNOR gate has a contrast of 29.5 dB, a response time of 0.073 ps, and a data transmission rate of 13.7 Tbit/s. On the other hand, the designed NAND gate has a contrast of up to 24.15 dB, a response time of 0.08 ps, and a data transmission rate of 12.5 Tbit/s. It can be seen that the designed structure has a high contrast, short response time, and fast data transmission rate.
Abstract
FullText HTML
PDF 6064KB

