2024 Vol. 17, No. 2

Original Article
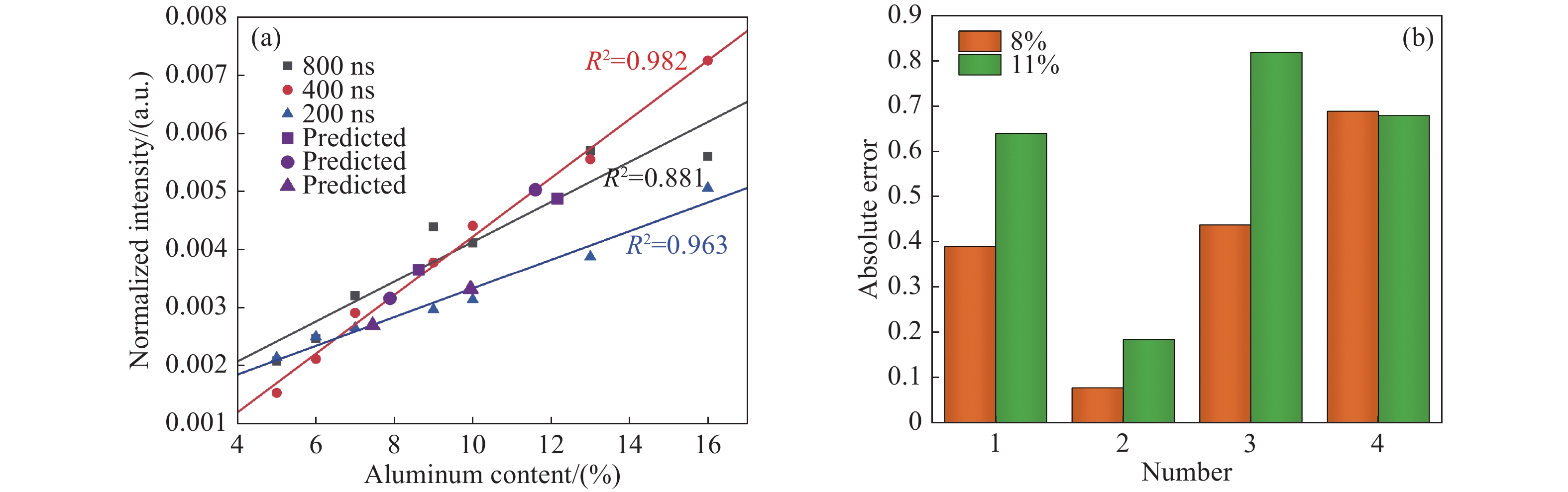
Study and analysis of self-absorption-free laser-induced breakdown spectroscopy with high-repetition rate acousto-optic gating
CHEN Fei, WANG Shu-qing, CHENG Nian-kai, ZHANG Wan-fei, ZHANG Yan, LIANG Jia-hui, ZHANG Lei, WANG Gang, MA Xiao-fei, LIU Zhen-rong, LUO Xue-bin, YE Ze-fu, ZHU Zhu-jun, YIN Wang-bao, XIAO Lian-tuan, JIA Suo-tang
2024, 17(2): 253-262. doi: 10.37188/CO.2023-0147
Abstract:

To eliminate the self-absorption effect in laser-induced breakdown spectroscopy (LIBS) and improve the accuracy of elemental quantitative analysis, the device of self-absorption free laser-induced breakdown spectroscopy (SAF-LIBS) technology needs to be miniaturized to meet the requirement of convenient elemental analysis in industry. This paper presents a novel quantitative analysis technique, the high repetition rate acousto-optic gated SAF-LIBS method. To enhance integral spectral intensity, a high repetition rate laser is used to produce quasi-continuous plasmas. In addition, an AOM (acousto-optic modulator) serves as an optical gating switch, enabling the use of a compact charge-coupled device (CCD) spectrometer and AOM instead of the intensified charge coupled device (ICCD) and medium step grating spectrometer in conventional large-scale SAF-LIBS devices. The results in a self-absorption-free system that is less bulky and less expensive. After optimizing the system parameters, the quantitative analysis and prediction of the Al element in the sample was achieved. Experimental results show that plasma characteristics are impacted by the laser repetition rate, which affects the intensity of spectral signal. The doublet intensity of Al I 394.4 nm and Al I 396.15 nm is enhanced and then diminished at a laser repetition rate ranging from 1 kHz to 50 kHz, with the optimal repetition rate identified as being 10 kHz. The doublet line intensity ratios of Al decrease with delay time under different fiber collection angles. The highest signal-to-noise ratio is achieved at an angle of 45°, while the optimal optically thin time tot is 426 ns at a certain integration time. Al is quantitatively analyzed and predicted at a laser repetition rate of 10 kHz, fiber collection angle of 45°, and delay time of 400 ns. The experimental results show that the calibration curve linearity of R2 is 0.982 and an average absolute prediction error of aluminum is reduced from 0.8% of single LIBS to 0.18%, which is equivalent to that of traditional SAF-LIBS. Additionally, the high repetition rate acousto-optic gating SAF-LIBS not only effectively eliminates continuous background radiation and broadens spectral lines in optically thick plasma, but also offers the advantages of miniaturization, low cost, convenience, and reliability. Therefore, this study plays a significant role in advancing SAF-LIBS technology from laboratory testing to industrial applications.

Tunable narrow-band perfect absorber based on metal-dielectric-metal
WANG Xiao-kun, LI Zhou, LIANG Guo-long
2024, 17(2): 263-270. doi: 10.37188/CO.2023-0125
Abstract:

To achieve perfect narrowband absorber, we proposed a simple three-layer thin film (MDM) structure and developed a theoretical model. A comprehensive investigation was conducted on this structure through a combination of simulations and theoretical calculations. First, we executed theoretical calculations on the structure using both finite-difference time-domain algorithm (FDTD) and transfer matrix algorithm. The effects of several structural parameters on the absorption spectrum were analyzed in this study. We analyzed and discussed the physical mechanism of narrow band perfect absorber structure caused by the structure. Finally, we successfully used magnetron sputtering as a fabrication method to produce three-layer samples. The experimental results were consistent with the theoretical simulation. Our proposed structure for a narrowband perfect absorber can achieve a maximum narrow bandwidth of approximately 21 nm and a maximum absorption of 99.51%. We establish a strong basis for related applications by achieving perfect narrowband absorption.

Modeling and correction of measurement errors based on depth cameras
WEI Rui-li, WANG Ming-jun, ZHOU Yi-ming, YI Fang
2024, 17(2): 271-277. doi: 10.37188/CO.2023-0047
Abstract:

Time of Flight (ToF) depth camera is one of the important means to obtain three-dimensional point cloud data, but ToF depth camera is limited by its own hardware and external environment, and its measurement data has certain errors. Aiming at the unsystematic error of ToF depth camera, this paper experimentally verifies that the color, distance, and relative motion of the measured target affect the data obtained by the depth camera, and the error effects are different. A new measurement error model is proposed to correct the error caused by color and distance. For the error caused by relative motion, a three-dimensional motion blur function is established to recover it. Through the numerical analysis of the established calibration model, the residual error of distance and color is less than 4 mm, and the error caused by relative motion is less than 0.7 mm. The work done in this paper improves the quality of the measurement data of the ToF depth camera, and provides more accurate data support for 3D point cloud reconstruction and other work.

Stereo matching algorithm based on multi-feature SAD-Census transformation
WU Fu-pei, HUANG Geng-nan, LIU Yu-hao, YE Wei-lin, LI Sheng-ping
2024, 17(2): 278-290. doi: 10.37188/CO.2023-0082
Abstract:

The high mismatching rate of the parallax discontinuity region and the repeated texture region has been a major issue affecting the measurement accuracy of binocular stereo matching. For these reasons, we propose a stereo matching algorithm based on multi-feature fusion. Firstly, the weight of neighboring pixels is given using Gaussian weighting method, which optimizes the calculation accuracy of the Sum of Absolute Differences (SAD) algorithm. Based on the Census transformation, the binary chain code technique has been enhanced to fuse the average gray value of neighborhood pixels with the average gray value of gradient image, and then the judgment basis of the left and right image corresponding points is established, and the coding length is optimized. Secondly, an aggregation technique has been developed that combines the cross method and the improved guide filter to redistribute disparity values with the aim of minimizing false matching rate. Finally, the initial disparity is obtained by the Winner Take All (WTA) algorithm, and the final disparity results are obtained by the left-right consistency detection method, sub-pixel method, and then a stereo matching algorithm based on the multi-feature SAD Census transform is established. The experimental results show that in the testing of the Middlebury dataset, the average mismatch rates of the proposed algorithm for non-occluded regions and all regions are 2.67% and 5.69%, the average error of the 200−900 mm distance is less than 2%, and the maximum error of the actual 3D data measurement is 1.5%. Experimental results verify the effectiveness of the proposed algorithm.

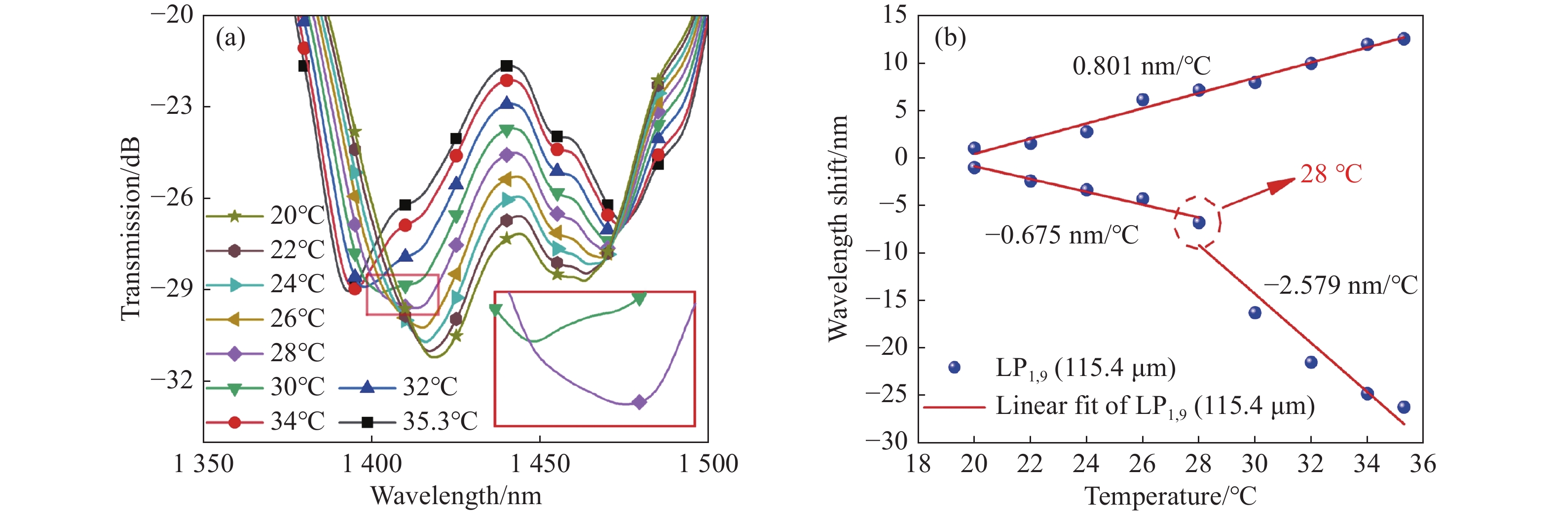
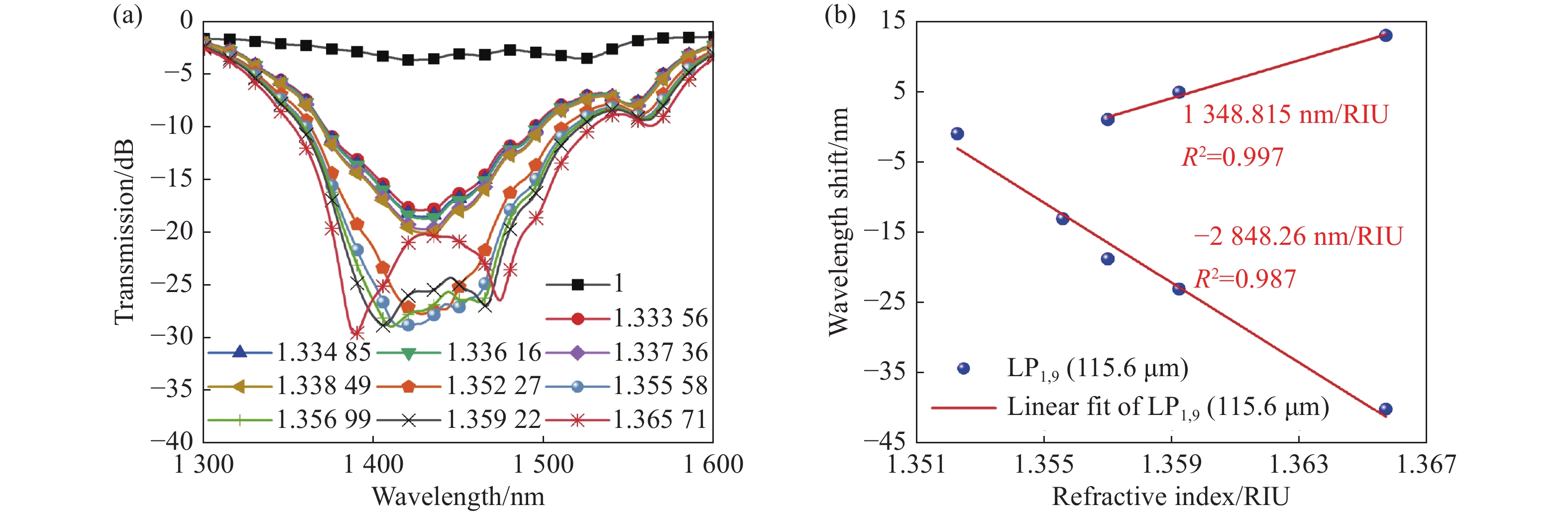
A seawater salinity sensor based on dual peaks resonance long period fiber grating
DU Chao, ZHAO Shuang, SONG Hua-ke, WANG Qiu-yu, JIA Bin, ZHANG Li, CUI Li-qin, ZHAO Qiang, DENG Xiao
2024, 17(2): 291-299. doi: 10.37188/CO.2023-0101
Abstract:

To develop a highly sensitive seawater salinity sensor, a long period fiber grating (LPFG) was successfully fabricated using CO2 laser technology to function in close proximity to the dispersion turning point (DTP). An LPFG operating near DTP was fabricated in an 80 μm single mode fiber using CO2 laser micromachining technology. This successful endeavor demonstrates the feasibility of developing LPFG with shorter grating period using CO2 laser micromaching technology. LPFGs with varying periods were fabricated by adjusting the preparation period of CO2 laser to ensure that the cladding mode LP1,9 was operating near DTP, resulting in higher refractive index sensitivity of LPFG. The average sensitivity of 0.279 nm/‰ can be achieved in the seawater with salinity ranging from 5.001‰ to 39.996‰, especially with the dual peaks resonance LPFG at a period of 115.4 μm, thanks to the dual peaks resonance effect. The dual peaks resonance LPFG seawater salinity sensor exhibits high sensitivity and a large attenuation loss, suggesting potential application in seawater salinity monitoring.

Propagation properties of one-dimensional array vortex beams in a marine atmosphere
HOU Zheng-cheng, ZHANG Ming-ming, BAI Sheng-chuang, LI Shu-zhen, LIU Jun, HU You-you
2024, 17(2): 300-311. doi: 10.37188/CO.2023-0094
Abstract:

Compared to a single vortex beam, vortex array beams can increase the information transmission capacity. Therefore, studying the propagation properties of vortex array beams is significant for their optical communication applications. In this paper, we select the helical Ince-Gaussian (HIGn,n) modes of order n and simulate the marine atmosphere turbulence using the power spectrum of the refractive index fluctuations in the marine atmosphere. The changes in intensity, phase, scintillation index and spot centroid wander of a one-dimensional array vortex beam in marine atmospheric turbulence have been investigated systematically by using the phase screen method. We find that (1) an increase in either the turbulence intensity or atmospheric turbulence inner scale enhances both the scintillation index and spot centroid wander standard deviation for HIGn,n modes; (2) the scintillation index of HIGn,n mode with odd n decreases with increasing mode order, and is higher than that of HIGn,n mode for even n; (3) the HIGn,n mode with order n>1 has better stability than the LG0,1 mode; and (4) the higher the mode order, the smaller the standard deviation of spot centroid wander of HIGn,n mode. In addition, we perform comparative study on the propagation performance of the linear array vortex beams (LAVBs) and HIG beams. Our study indicates that although LAVBs have better propagation performance than HIG beams, the unique structures of HIG beams can be applied to various application scenarios. Finally, the effects of both the ellipticity parameter and elliptic ring number on the propagation of the HIG modes are explored and analyzed. The results show that increasing either the ellipticity parameter or elliptic ring number is beneficial to improving the anti-turbulence ability of the HIG modes. These results offer significant guidance for the offshore vortex beams application.

An improved phase generated carrier demodulation algorithm of fiber optic fabry-perot sensor
ZHOU Zhen-rui, ZHANG Guo-qiang, QIU Zong-jia, GUO Shao-peng, LI Qun, SHAO Jian, WU Peng, LU Yun-cai
2024, 17(2): 312-323. doi: 10.37188/CO.2023-0108
Abstract:

To address the issue of non-linear distortion in the Phase Generated Carrier-Antitangent demodulation (PGC-Atan) algorithm, we have developed an extrinsic Fabry-Perot Interferometer (EFPI) sensor demodulation system based on an improved PGC-Atan algorithm. The theoretical analysis focuses on the affect of nonlinear factors on sine and cosine signals used in arctangent operation of the PGC-Atan algorithm. Such factors include deviations from optimal values of the phase modulation depth (C), companion amplitude modulation, and carrier phase delay. As a solution, we propose an improved PGC-Atan algorithm based on a correction coefficient (PGC-CC-Atan) suitable for external modulation or the case of low companion amplitude modulation scenarios. The PGC-CC-Atan algorithm generates a coefficient relating to C and carrier phase delay while excluding nonlinear parameters in the arctangent operation. Furthermore, an improved PGC-Atan algorithm that utilizes an elliptic fitting algorithm (PGC-EF-Atan) is proposed for internal modulation. The ellipse fitting technique is employed to fit the eclipse using the least squares method based on a matrix block decomposition. The pair of signals that are influenced by nonlinear factors are corrected and transformed into orthogonal signals utilizing three parameters of the ellipse. Finally, the correctness of the two improved algorithms is verified through simulations and experiments. The PGC demodulation system comprises a high dv/di VCSEL laser and a conventional cavity length F-P sensor. By comparing the demodulation performance of the PGC-Atan algorithm with that of the two improved algorithms, their effectiveness in suppressing nonlinear distortion is verified. Experimental results indicate that the two improved algorithms exhibit effective demodulation in the presence of nonlinear factors within a specific range of C values. The signal-to-noise and distortion ratio (SINAD) of demodulation result obtained from PGC-EF-Atan algorithm surpasses that of the PGC-CC-Atan algorithm by 11.602 dB, while the Total Harmonic Distortion (THD) is reduced by 10.951%. Between the two improved algorithms, the PGC-EF-Atan algorithm possesses superior demodulation linearity, accuracy, and nonlinear distortion suppression performance.

Design and fabrication of liquid crystal wavefront corrector based on mask lithography
DU Ying, CHEN Mei-rui, LIU Yu-tong, CAO Zong-xin, MAO Hong-min, LI Xiao-ping, SUN Hui-juan, CAO Zhao-liang
2024, 17(2): 324-333. doi: 10.37188/CO.2023-0137
Abstract:

Liquid crystal wavefront correctors (LCWFCs) exhibit high development cost and customization difficulties due to being fabricated based on the process technology of liquid crystal displays. To achieve specialized and low-cost development of LCWFCs, a liquid crystal wavefront corrector is fabricated by using the mask lithography method. Firstly, a 91-pixel passive liquid crystal driving electrode is designed and prepared based on the mask lithography technology and then, packaged as a liquid crystal optical correction unit. A circuit board for driver connection is designed and prepared to connect the optical correction unit and the driving circuit board. Next, the response characteristics of the LCWFC are tested, and the results show that the phase modulation is 5.5 λ, and the response time is 224 ms. Finally, the spherical waves are obtained and the static tilt aberrations are corrected based on Zygo interferometer. The results show that the LCWFC can generate positive and negative defocused wavefronts. Further, after correction of the horizontal tilt aberration, the coefficient of the first term of the Zernike polynomials is decreased from 1.18 to 0.16. Therefore, the aberration is corrected with the amplitude of 86%. This work may provide new ideas for the development of LCWFCs, and then expanding their application fields and scenarios.

Development of high-precision beam splitter for inter-satellite communication system
WANG Zhen-yu, FU Xiu-hua, LIN Zhao-wen, HUANG Jian-shan, WEI Yu-jun, WU Gui-qing, PAN Yong-gang, DONG Suo-tao, WANG Ben
2024, 17(2): 334-341. doi: 10.37188/CO.2023-0100
Abstract:

With the rapid development of inter-satellite communication systems, the requirements for data transmission accuracy are constantly increasing. As the core component, the spectral characteristics and surface shape accuracy of the beam splitter directly affect the transmission accuracy of the whole system. According to the interference theory of thin film, Ta2O5 and SiO2 were selected as the high and low refractive index film materials for the design of the film system, and electron beam evaporation was used to prepare a high-precision beam splitter on a quartz substrate. At the same time, a surface shape correction model was established based on the principle of film stress compensation to control the surface shape. Through the detection of a spectral analyzer, it can be seen that the transmittance of beam splitter is greater than 98% at 1563 nm and the reflectance is greater than 99% at 1540 nm within the incidence range of 21.5° to 23.5°. The surface shape was measured by laser interferometer, it can be seen that the reflective surface shape accuracy RMS is corrected from λ/10 to λ/90 (λ=632.8 nm), and the transmissive optical surface shape accuracy RMS is λ/90.

Multi-channel laser beam combining and closed-loop correction technology in visible light band
XU Xin-hang, LI Gao-sheng, XIE Bing, HAN Xu-dong
2024, 17(2): 342-353. doi: 10.37188/CO.2023-0077
Abstract:

To achieve periodic closed-loop correction of multiple lasers with different wavelengths in the visible wavelength band, a laser beam combining system is designed. This system involves independent monitoring and adjusting of beam pointing and position deviation. First, according to the application requirements of the system, the design indexes of the beam combining system and the overall beam combining scheme are proposed. Then, based on the overall beam combining scheme, we establish the beam control model for the beam combining system. Through numerical simulation experiments, we obtain the solution method for beam control of the beam combining system. The closed-loop beam combining system realizes independent monitoring of the unit beam’s pointing and position deviation through the respective beam pointing and position monitoring device. The monitoring results are then used to calculate the control quantity of the beam adjusting device. The independent and efficient adjustment of beam pointing and position deviation is achieved using a two-dimensional swing mirror and a one-dimensional platform, respectively. Finally, a closed-loop beam combining simulation experimental system with beam monitoring and adjustment device is built using two laser beams of different wavelengths. The periodic closed-loop beam combining system is verified to have an effective beam combing effect. The experimental results demonstrate that over an extended operational period, both lasers achieve precise beam combining with the reference optical path. Furthermore, the beam combining pointing accuracy is better than ±7 μrad, and the positioning accuracy is better than ±0.84 mm. The laser beam combining system developed in this study boast high beam combining accuracy, a fast correction speed, and excellent augmentability for multiple laser beams. Besides, it can accomplish periodic closed-loop beam combining of laser beams, ensuring long-term working stability of the combined laser.

Design of optical field of vision imaging for defect detection of paper and transparent film
JIANG Shi-fei, ZHANG Zhao-guo, WANG Fa-an, XIE Kai-ting, WANG Cheng-lin, LI Zhi
2024, 17(2): 354-365. doi: 10.37188/CO.2023-0134
Abstract:

To achieve synchronous detection of defects in the paper and transparent film layers of packaging boxes, we studied the synchronous imaging of the paper and film defect. Firstly, we established models for a standard sphere integral light field, an ellipsoidal integral light field, and an arc integral light field. We then simulated three different light fields using COMSOL Multiphysics 5.6 and compared their ray angle uniformity and irradiation uniformity. The parameters of ellipsoidal area integral light field are optimized by orthogonal simulation. Secondly, the packaging box was imaged using the ellipsoidal integral light field, the bright and dark field forward lighting. Physical detection and machine vision were used to detect five common defects in the packaging box, including oil stains, pressure marks, openings, bubble wrinkles, and breakages, to verify the effectiveness of defect imaging. The results show that the images can clearly present defect characteristics in the paper base and transparent film layers under ellipsoidal integral light field. The physical detection rates for oil stains, pressure marks, openings, bubble wrinkles, and breakages were 96.2%, 92.5%, 100%, 95%, and 92%, respectively. Anomaly detection rates were 98.6%, 97.5%, 100%, 100%, 98.4%, respectively. Detection rates of defects were 97.6%, 96%, 100%, 97%, and 96%, respectively. This study indicates that the consistent optical path angle and irradiation intensity result in a uniform ellipsoidal integral light field. Consequently, transparent film imaging of the packaging box shows clear defect characteristics that satisfy the standards for industrial detection application.

An XY defocus aberration correction method for high-energy lasers
FENG Ya-fei, WEI Cheng-fu, REN Xiao-ming, GUO Jian-zeng, WANG Jie
2024, 17(2): 366-373. doi: 10.37188/CO.2023-0142
Abstract:

A method for correcting XY defocus aberrations, based on Hartmann-Shack wavefront sensor and two-dimensional beam-shaping light path, was presented due to the large percentage of defocus and 0° astigmatism aberrations with large PV values in high-energy laser beam. The first step is to derive an expression for XY defocus aberrations by linearly combining the defocus and 0° astigmatism terms of Zernike polynomials. The coefficients directly characterize the wavefront peak-to-valley (PV) values of X and Y defocus. At the same time, compensation for XY defocus wavefronts of the laser beam can be achieved by fine-tuning the mirror spacing in the two-dimensional shaping optics of the high-energy laser. Therefore, the Hartmann wavefront sensor is used to extract the coefficients of XY defocus aberrations from the laser beam. The computer dynamically adjusts the mirror spacing in the two-dimensional shaping optics based on these coefficient values to correct XY defocus aberrations and improve the beam quality of the output laser beam. The results of the experiment showcase a significant decrease in PV value of XY defocus aberrations from 5.2 μm and 1.1 μm to less than 0.5 μm, as well as a decrease in β factor from 3.1 to 1.8, resulting in substantial improvement in beam quality.

Design of terahertz wave imaging optical system with large aperture
CAO Yi-qing, SHEN Zhi-juan
2024, 17(2): 374-381. doi: 10.37188/CO.2023-0129
Abstract:

The Terahertz wave has some characteristics of high penetration, low energy and fingerprint spectrum, etc., and is widely used in the detection field. Therefore, design of Terahertz wave detection optical imaging system holds substantial significance and wide application prospects. Firstly, referring to the structure of Tessar objective lens consisting of four lenses, we apply the aberration theory of paraxial optical system to establish the balance equations of aberration of the system, and give solve function and method of the initial structure parameters of the system. Then, by combining with optical design software to further correct the aberration of the system. Finally, a Terahertz wave detection optical imaging system with large aperture is designed. The optical system is composed of four coaxial refractive lenses. Its total focal length is 70 mm, F-number is 1.4, full field of view angle is 8°. The value of modulation transfer function (MTF) in the range of full field of view angle is greater than 0.32 at the Nyquist frequency of 10 lp/mm, and the root mean square (RMS) radius of the diffused spot in each field of view is less than the Airy disk radius. At last, we analyze and discuss the various tolerance types of the system. The design results show that the Terahertz wave detection optical imaging system designed in this paper has a large aperture, a simple and compact form, a light-weight structure, excellent imaging performance and simple processing, etc., which meets the design requirements, and it has important applications in the field of high-resolution detection and other fields within the Terahertz wave band.

Design of three-band co-aperture optical system based on single sensor
ZHANG Kun, LI Jing-chen, SUN Si, CHEN Qing-rong, YANG Fan
2024, 17(2): 382-389. doi: 10.37188/CO.2023-0098
Abstract:

The existing multi-band imaging system has the problems of large volume, high power consumption, and difficulty in integrating design. To address these challenges, we proposed a three-band co-aperture imaging optical system based on single sensor. First, a 1×2 multi-band lens array in the aperture stop of the optical system is designed. This array effectively captures both the visible and short-wave infrared bands simultaneously in a single image plane. In addition, the imaging position deviation of the center wavelength of both bands are controlled within one pixel, resulting in dual-band fusion imaging. To address the issue of different diffraction limits in multi-band imaging, we propose to use the joint optimization method to simultaneously control the off-axis offset and aperture size of the split channel lens array. On the above basis, we suggest utilizing a dual electric diaphragm to control the switching speed of the three imaging channels. Finally, a three-band co-aperture optical system based on single sensor with a focal length of 30 mm and operating bands ranging from 480 to 900 nm, from 900 to 1700 nm, and from 480 to 1700 nm is designed. The system exhibits multiple advantages, such as excellent imaging quality, a compact structure, no moving optical elements, and a rapid switching speed of the imaging band, as indicated by the design and analysis results.

A benchmark construction method for large aperture circular segmented optical systems
AN Qi-chang, WU Xiao-xia, LIU Xin-yue, WANG Xun, LI Hong-wen
2024, 17(2): 390-397. doi: 10.37188/CO.2023-0149
Abstract:

To realize integration detection and construct stability maintaining benchmark for large apertures of segmented telescopes, we propose a benchmark construction method. In this study, we use local pupil projection to perform pupil alignment mapping. In addition, we construct a system confocal spatial benchmark using a microlens array. On the basis of annular whole-body control mode, a joint analysis method of confocal and curvature radius enables joint adjustment of the curvature radius and system alignment. Finally, the stripe envelope formed by white light interference is used for coarse common phases detection, and the channel spectral method is used to obtain precise connection between coarse and fine common phases. Additionally, the spatial confocal reference positioning exhibits an accuracy of less than 125 μm, and the common phase reference has a coverage range better than 0.5 μm within a 20-μm-range. Furthermore, the uncertainty of the spectral reference is less than 5%. We have effectively improved the accuracy of optical system in-situ measurement by achieving hierarchical and multimodal suppression of disturbances from different spatiotemporal features. We have shortened the length of the traceability chain and increased the efficiency and accuracy of detection by utilizing the new method of common reference in-situ measurement.

Three-dimensional surface shape reconstruction of fiber bragg gratings in a ring arrangement
WANG Yan, XU Hao-yu, WANG Jun-liang, ZHU Wei, JIANG Chao
2024, 17(2): 398-408. doi: 10.37188/CO.2023-0088
Abstract:

To improve the accuracy of palm surface reconstruction in flexible robot grasp sensing, we conduct a COMSOL simulation to select a ring arrangement comprising of 7 fiber Bragg grating (FBG) flexible sensors packaged with polydimethylsiloxane (PDMS) on a 436 mm×436 mm×2 mm polypropylene plate. Assuming that the center and two corner ends of the plate were subjected to stress, respectively, we collected sensor data using a fiber grating demodulation instrument during the experiment. The data was continuously interpolated using cubic spline interpolation. Several planes Y intersected with the fitting ring which created a three-dimensional surface. We calculated the point function to obtain the point set and achieve a fitting visual display of the spatial surface. When the center of the end of the surface is under stress, the plate experienced a minimum relative error of 0.549% in end displacement, with a maximum relative error of 8.300%, the minimum absolute error of 0.051 cm, and a maximum absolute error of 1.255 cm. When both corners at the end of the plate are under stress, for the end displacement of the plate reconstruction, the minimum relative error is 2.546%, and a maximum relative error is 14.289%, the minimum absolute error is 0.005 cm, and the maximum absolute error is 0.729 cm. These experimental results provide a foundation to implement palm grip sensing in flexible robots.

Scanning measurement method of small size parts without marks
MO Cai-li, WANG Li-zhong, REN Mao-dong, ZHAO Jian-bo, WANG Sen, ZHOU Hao-jun
2024, 17(2): 409-422. doi: 10.37188/CO.2023-0103
Abstract:

Small-size parts have a small surface area and complex structure. The traditional mark splicing method needs to manually paste marks on the surface of parts, resulting in missing the measurement data of the surface and becoming holes. The feature splicing method requires the surface of parts to have easily distinguishable geometric or distance features, which are not suitable for rotating parts containing repetitive features. We propose a scanning measurement method without marks based on mechanical splicing, which does not need to paste marks or depend on the surface features of parts. Firstly, the camera calibration method based on photogrammetry is used to reconstruct the high-precision three-dimensional coordinates of the target on the calibration board. By tracking the position of the coded target, the rotation matrix corresponding to different angles of the turntable is established, and the direction vector of the rotation axis and the fixed point coordinates on the axis are solved. Then the synchronous calibration of the rotation axis and the camera is completed. Secondly, based on the accurate calibration of poses of two rotation axes, the rotation mosaic matrix is constructed by using the turntable angle to realize the rough registration of multi-view point clouds. Finally, based on the Normal Iterative Closest Point (NICP) algorithm, the fine registration of the point clouds is completed. Experimental results show that the angle error between the two rotation axes calibrated by the target tracking method is 0.023° lower than that of the traditional standard ball fitting method. After calibration, the average size error of the standard ball is less than 0.012 mm. In the automatic measurement of small-size parts, the point cloud splicing effect of the mechanical splicing method after fine registration is similar to that of the mark splicing method, and the splicing stability is higher. The mechanical splicing method is suitable for the 3D topography measurement of small-size parts where the marks cannot be pasted.

An autofocus algorithm for fusing global and local information in ferrographic images
LIU Xin-liang, ZHANG Long-quan, LENG Sheng, WANG Jing-qiu, WANG Xiao-lei
2024, 17(2): 423-434. doi: 10.37188/CO.2023-0124
Abstract:

To address the issues of large error and slow speed of manual focusing in ferrographic image acquisition, we propose an autofocus method for fusing global and local information in ferrographic images. This method includes two stages. In the first stage, the global autofocus stage, the feature vectors of the whole image is extracted by Convolutional Neural Networks (CNN) , and the features extracted in the focus process is fused by the Gate Recurrent Unit (GRU) to predict global defocusing distance, which serves as coarse focusing. In the local autofocus stage, the feature vector of the wear particle is extracted and the current features is fused with those extracted in the previous focusing process by GRU. The current defocusing distance is predicted by the resulting fused data based on the information of the thickest particle, which facilitates fine focusing. Moreover, we propose a determination method for autofocus direction using Laplacian gradient function to improve autofocus accuracy. Experimental results indicate an autofocus error of 2.51 μm on the test set and a focusing accuracy of 80.1% with a microscope depth of field of 2.0 μm. The average autofocus time is 0.771 s. The automatic ferrographic image acquisition system exhibits excellent performance and offers a practical approach for its implementation.

A denoising method combining bitonic filtering and sine-cosine transform for shearography fringe pattern
WU Rong, LU Yang, OUYANG Ai-guo
2024, 17(2): 435-443. doi: 10.37188/CO.2023-0072
Abstract:

Shearography is a non-contact, full-field, and high-precision optical deformation measurement technology. There is a lot of random noise in the acquired speckle fringe pattern caused by environmental factors, which affects the measurement accuracy. The traditional denoising methods easily cause the fringe information to be lost or even damaged while filtering out the noise. To solve this problem, we propose an image denoising method by combining sine and cosine transform and bitonic filtering. In this method, the phase fringe image is firstly obtained by sine and cosine transform. Secondly, the two images are denoised by the bitonic filtering method respectively. Finally, the filtered two images are merged into the final phase fringe image. Experimental results show that for the filtered phase pattern, the speckle suppression index is 0.999 and the average retention index is 2.995, which prove that the proposed method can improve the quality of the phase pattern better than the traditional denoising method, and can preserve the details and edge information of the phase fringes to a large extent.

A photoacoustic tomography image reconstruction method based on forward imaging model
CHENG Li-jun, SUN Zheng, SUN Mei-chen, HOU Ying-sa
2024, 17(2): 444-455. doi: 10.37188/CO.2023-0114
Abstract:

Aiming at the issue of degraded image quality in photoacoustic tomography (PAT) caused by the inhomogeneous light fluence distribution, complex optical and acoustic properties of biological tissues, and non-ideal properties of ultrasonic detectors, we propose a comprehensive forward imaging model. The model takes into account variables such as the inhomogeneous light fluence, unsteady speed of sound, spatial and electrical impulse responses of ultrasonic transducers, limited-view scanning, and sparse sampling. The inverse problem of the imaging model is solved by alternate optimization, and images representing optical absorption and speed of sound (SoS) distributions are reconstructed simultaneously. The results indicate that the structural similarity of the reconstructed images of the proposed method can be enhanced by about 83%, 56%, and 22%, in comparison with back projection, time-reversal, and short-lag spatial coherence techniques, respectively. Additionally, the peak signal-to-noise ratio can be improved by approximately 80%, 68% and 58%, respectively. This method considerably enhances the image quality of non-ideal imaging scenarios when compared to traditional techniques.

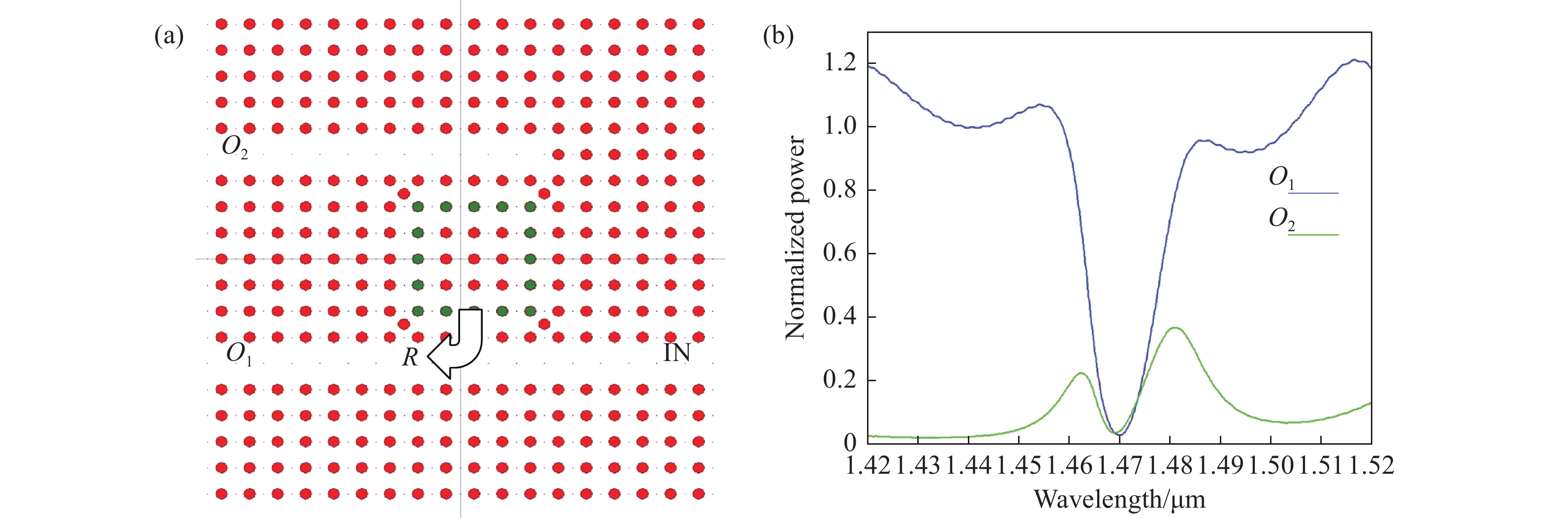
All-optical logic gate based on nonlinear effects of two-dimensional photonic crystals
WU Rong, YANG Jian-ye, ZHANG Hao-chen
2024, 17(2): 456-467. doi: 10.37188/CO.EN-2023-0021
Abstract:

All-optical XOR, NOT and two-input AND logic gates are designed based on the nonlinear effect and linear interference effect of photonic crystals. The complex logic expressions are divided by inversion theorem, and all-optical NOR gate and four-input AND gate logic devices are designed by cascade combination. In this paper, the Finite-Difference Time-Domain (FDTD) method is used for simulation, and the coupling characteristics of nonlinear annular cavities are analyzed. Then, the above logic devices are designed under the condition that the signal wavelength is 1.47 μm, and more input devices can be designed by expanding the input. The influence of signal power on the logic function of the four-input AND logic devices is analyzed. The results show that when the power of the signal light source is between 1.1 W/μm2 and 3.4 W/μm2, the logical contrast ratio of the output is greater than 10 dB. The response time of the designed device is only 1.6 ps, the occupied area is small, and the device is easy to expand and integrate. It has great application prospect in optical processing systems and integrated optical paths.

A red-emitting copolymer phosphors based on bimetallic Eu-Ir complex for Near-UV chip-based LEDs
WANG Zi-hao, YANG Ya-min, ZHANG Ai-qin, JIA Hu-sheng, XU Bing-she, JIA Jing
2024, 17(2): 468-480. doi: 10.37188/CO.EN-2023-0023
Abstract:

In this paper, a new Eu-Ir bimetallic complex Eu(FIrPic)2(Phen)UA is synthesized using the Ir complex FIrPic as ligands for Eu ions and red-emitting phosphorescent copolymer PM-Eu-Ir is successfully prepared via radical polymerization for commercial near UV chip-based LEDs. The Eu3+ ions were found to be effectively sensitizable by adding Ir-complex with enhanced ultra-violet light absorption at around 400 nm without affecting the fluorescence emission characteristic of the Eu3+ ions. The proposed copolymer PM-Eu-Ir exhibits the strongest emission peak at 612 nm with the CIE coordinates (0.461, 0.254) under 365 nm ultra-violet light excitation, which matches well with the 365 nm near-UV chip. The micro-morphology of the red copolymer phosphor PM-Eu-Ir is a typical multilayer spatial network structure; as well as having appreciable red emission and the corresponding fluorescence lifetime of 634.54 μs, it also has excellent thermal stability in a wide range of 25~250 °C. The LEDs fabricated by the copolymer PM-Eu-Ir display red light emission with a 149800 cd/m2 luminance. The results support the potential utilization of prepared copolymer phosphor as a red component in the fabrication of near UV chip-based white LEDs.

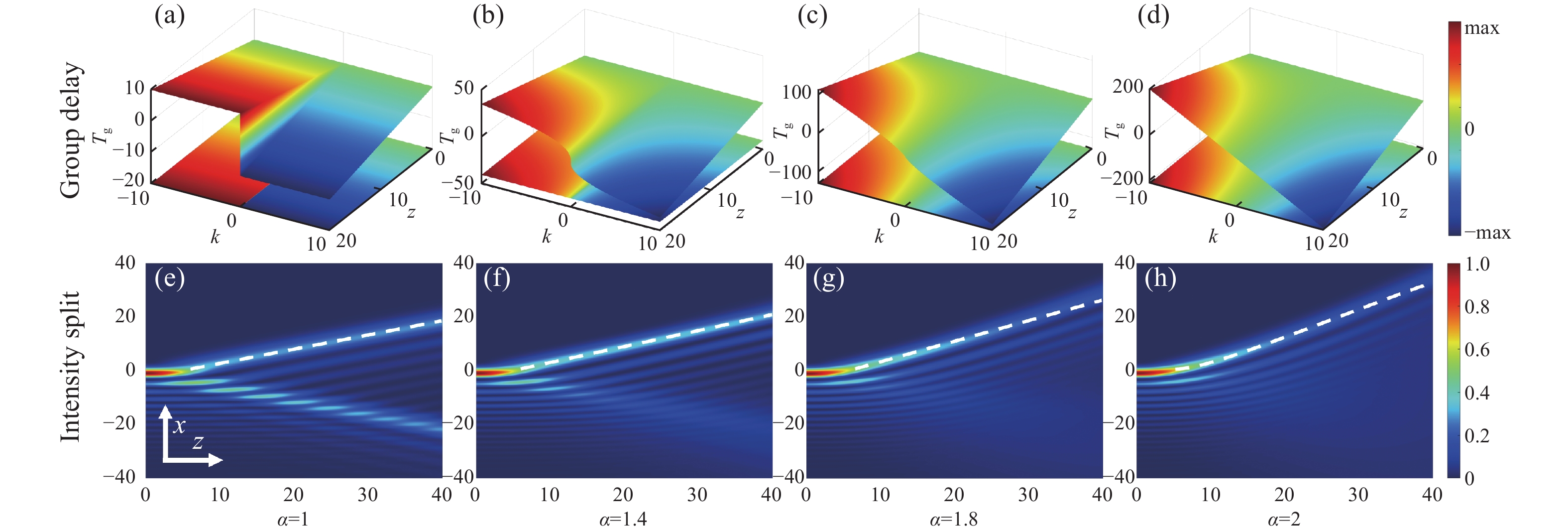
Controllable inversion and focusing behaviors of Swallowtail-Gaussian beams in fractional Schrödinger equations
HUANG Hong-wei, CHENG Ke, YANG Ceng-hao, YAO Na
2024, 17(2): 481-492. doi: 10.37188/CO.EN-2023-0018
Abstract:

By transferring a one-dimensional swallowtail catastrophe to an optical field, the evolution dynamics of the Swallowtail-Gaussian (SG) beams in fractional Schrödinger equations (FSE) with different potentials, which include the linear, parabolic, and Gaussian potential and non-potential cases, were investigated using the split-step Fourier method. In a non-potential case, the SG beams split into two sub-beams, and their splitting trajectories along straight lines can be curved with a larger Lévy index in FSE. In a linear potential case, periodic inversion and focusing behaviors are found, and a larger Lévy index can strengthen their peak intensities at focusing points and curve trajectories. However, the period distance of inversion and focusing is only affected by linear potentials rather than the Lévy index. In a parabolic potential case, the beams evolve from chaos interference into an apparent period in inversion and focusing of main and side lobes with a larger Lévy index, where the inversion and focusing position are combined and determined by parabolic potential and the Lévy index. In a Gaussian potential case, the evolution dynamics are evidently constrained within potential barriers. In a narrow barrier, the periodic inversion and focusing display chaotic behavior because of the interference of both the reflected main and side lobes. In contrast, the periodic evolution in a wider barrier becomes more prominent owing to the attenuation of the side lobes. The study of the SG beam in FSE offers the possibility of optical modulators and switches through the utilization of the higher-order swallowtail catastrophe wave fields.

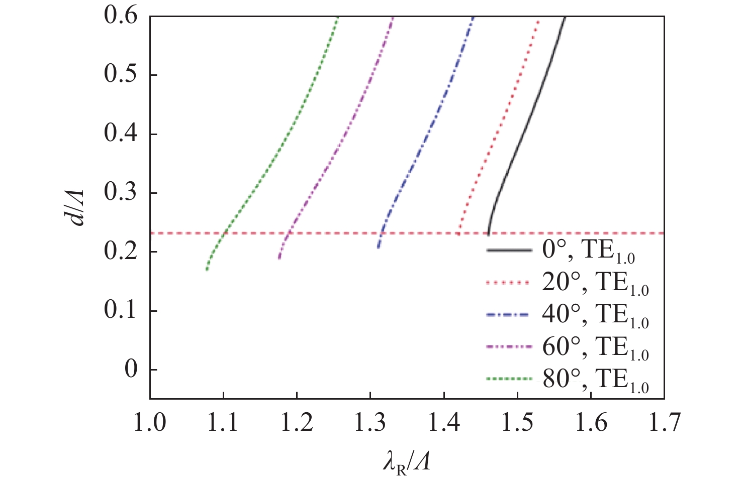
Incident angle-tuned filter based on 1D resonant waveguide grating in full conical mounting
FAN Li-na, SHA Jin-qiao, CAO Zhao-liang
2024, 17(2): 493-500. doi: 10.37188/CO.EN-2023-0030
Abstract:

This paper proposes and demonstrates a tunable filter using full conical mounting. The designed 1D resonant waveguide grating presents a tunable single reflection peak. The peak reflectance can theoretically reach 100%. The resonant wavelength can be tuned from 642.5 nm to 484.6 nm by changing the incident angle. The resonance between the 1st-order diffracted wave and fundamental transverse electric (TE) guided mode generates the reflection peak. This feature was achieved by optimizing the grating thickness to support the TE guided mode and suppress the transverse magnetic (TM) guided mode. The same concept can be applied to tunable filters with high dynamic range by increasing the thickness and period of grating in equal proportion.

Baidu
map