2024 Vol. 17, No. 3

Review
Advances in data simulation for space-based situational awareness
LUO Xiu-juan, HAO Wei
2024, 17(3): 501-511. doi: 10.37188/CO.2023-0156
Abstract:

The data simulation for Space Situational Awareness (SSA) can provide critical data support for the development, testing, and validation of space surveillance equipment and situational awareness algorithms (including detection, tracking, recognition, and characterization of space object), playing a significant role in building SSA capabilities. Taking the optical data simulation for space-based situational awareness as the research subject, the purpose and main research content of SSA data simulation are presented, and the typical research methods and processes of SSA optical imaging simulation are set forth. The current research status and progress in domestic and foreign related research are introduced, covering the imaging modeling and simulation achievements of different optical sensing systems such as binocular vision sensors, LiDAR, infrared sensors, visible light telescopes, and star trackers. The development trend of SSA data simulation research is analyzed, providing reference for future research ideas and approaches of SSA data simulation.

Original Article
Design of miniature head-mounted fluorescence microscope based on metalens
ZHANG Zhi-miao, WANG Cheng-miao, XIE Mian, LIN Yu, HAN Ye-ming, DENG Yong-bo, GUO Chang-liang, FU Qiang
2024, 17(3): 512-520. doi: 10.37188/CO.2023-0237
Abstract:

The recent advent of miniature head-mounted fluorescence microscopes has revolutionized brain science research, enabling real-time imaging of neural activity in the brains of free-moving animals. However, the pursuit of miniaturization and reduced weight often results in a limited field of view, constraining the number of neurons observable. While larger field-of-view systems exist, their increased weight can impede the natural behaviors of the subjects. Addressing these limitations, a novel design utilizing a metalens schematic is proposed. This approach offers the benefits of being ultra-light, ultra-thin, and capable of high-quality imaging. By deriving the aberration formula specific to hyperbolic phase metalens and using it as a foundation, a design for a miniature fluorescence microscope was developed. This microscope boasts a 4 mm×4 mm field of view and a numerical aperture (NA) of 0.14, effectively correcting seven primary aberrations. The resulting prototype, weighing a mere 4.11 g, achieves a resolution of 7.8 μm across the entire field of view. This performance is sufficient to image neural activity in the brains of freely moving mice with single-cell resolution.

High-precision spherical wavefront calibration method for shack-hartmann wavefront sensor
BAO Ming-di, SHI Guo-hua, XING Li-na, HE Yi
2024, 17(3): 521-527. doi: 10.37188/CO.2023-0148
Abstract:

To address the issues of low measurement accuracy and insufficient stability in traditional calibration methods for Shack-Hartmann wavefront sensors (SHWFS), we propose a high-precision absolute calibration method using spherical waves generated by sensor. A high-precision calibration method for spherical waves was obtained through theoretical derivation. Combined with the constructed spherical wave calibration experimental device, high-precision calibration was performed on the SHWFS with sub apertures of 128×128. The structural parameters of the SHWFS (f, w, and L0) are calculated precisely. The measurement accuracy of the SHWFS is verified after calibration. The experimental results demonstrate that by using this method to calibrate the SHWFS, its wavefront recovery accuracy reaches a PV of 1.376×10−2λ and an RMS of 4×10−3λ (where λ=625 nm), respectively. Additionally, its repeatability accuracy reaches a PV of 3.2×10−3λ and an RMS of 9.76×10-4λ (where λ=625 nm), respectively. These findings suggest that this method is suitable for enhancing the measurement accuracy of high-precision calibration of SHWFS with large aperture.

Capillary liquid-core optical fiber temperature sensor based on fluorescence intensity ratio
ZHANG Ye-yu, LIU Ting, HUANG Jian-wei, HUANG Xue-zhi, CHEN Ming-jie
2024, 17(3): 528-537. doi: 10.37188/CO.2023-0160
Abstract:

Aiming to the problem of the complicated preparation of existing optical fiber fluorescence temperature sensing probes, we propose a simple, cost-effective, and high-performance optical fiber fluorescence temperature sensor based on a capillary liquid core. Firstly, a mixed solution consisting of temperature-sensitive rhodamine B and temperature-insensitive rhodamine 123 was used as the temperature-sensitive material and encapsulated in a stainless-steel capillary to prepare a sensing probe. The ratio of the fluorescence emission peak intensities of the two dyes was utilized for temperature sensing. Subsequently, the sensing probe’s mixed solution concentration and capillary structural parameters were optimized. Then, the performance of the sensor was tested. Finally, the sensor was applied to real-life temperature measurements. The experimental results demonstrate that the sensor has a temperature response range of 30−70 °C and that there is a quadratic correlation between the fluorescence intensity ratio and the temperature, with the fitted correlation coefficient as high as 0.9984. The sensor exhibits excellent accuracy, repeatability, and stability, with more than three months of service time. Moreover, it can be well-utilized to detect temperature in daily life. The optical fiber fluorescence temperature sensor shows significant potential for real-time monitoring and remote detection applications.

Indistinguishable points attention-aware network for infrared small object detection
WANG Bo-xiao, SONG Yan-song, DONG Xiao-na
2024, 17(3): 538-547. doi: 10.37188/CO.2023-0178
Abstract:

As aircraft maneuverability increases, multi-frame infrared small target detection methods are becoming insufficient to meet detection requirements. In recent years, significant progress has been achieved in single-frame infrared small-target detection method based on deep learning. However, infrared small targets often lack shape features and have blurred boundaries and backgrounds, obstructing accurate segmentation. According to the problems, an indistinguishable points attention-aware network for infrared small object detection was proposed. First, potential target areas were acquired through a point-based region proposal module while filtering out redundant backgrounds. Then, to achieve high-quality segmentation, the mask boundary refinement module was utilized to identify disordered, non-local indistinguishable points in the coarse mask. Multi-scale features of these difficult points were then fused to perform pixel-wise attention modeling. Finally, A fine segmentation mask was generated through re-predicting the indistinguishable points attention-aware features by point detection head. The mAP of the proposed method reached 87.4 and 63.4 on the publicly available datasets NUDT-SIRST and IRDST, and the F-measure reached 0.8935 and 0.7056, respectively. It can achieve accurate segmentation in multi-detection scenarios and multi-target morphology, suppressing false alarm information while controlling the computational overhead.

Detection method of solar position using a biomimetic polarized light compass
YANG Jiang-tao, WANG Ming-kai, LIU Si-tuo, LIANG Lei, LIU Zhi, GUO Yue
2024, 17(3): 548-559. doi: 10.37188/CO.2023-0192
Abstract:

Aiming at the requirement of polarized light navigation for accurate position information of feature points in the sky, an accurate detection method for the solar position of imaging system based on all sky polarization mode is proposed. Compared with the traditional detection method of the solar position based on spot, we use the inherent polarization information in the atmosphere to complete the accurate measurement of the solar position, which has the characteristics of simple, high accuracy and wide application range. The optical acquisition system consists of three micro large-field-of-view camera modules and polarizers, which makes the structure more compact, smaller and lower in height. Starting from the principle, the algorithm of solving the solar position is simulated first, and then the algorithm is verified in three weather environments (sunny, occluded, and aerosol) using the optical acquisition system. It can be seen that when the weather is clear, the sun is detected at different times of the same day, and the accuracy of the measured sun's altitude and azimuth are 0.024° and 0.03° respectively; when the sun is blocked by high-rise buildings, the accuracy of the measured sun's altitude and azimuth are 0.08° and 0.05°; when the sun is blocked by the branches and leaves of trees, the accuracy of the measured sun's altitude and azimuth are 0.3° and 0.1° respectively. Only when the aerosol concentration exceeds a certain amount will the Rayleigh distribution mode of polarized light be destroyed, which will affect the detection accuracy of solar position. The experimental results show that this new detection method can not only meet the needs of polarized light navigation for the solar position, but also provide a new way of exploration for fans who like to explore the mysteries of the universe.

Simulation and experiment of weak multi-target laser detection in complex hydrology
ZONG Si-guang, YANG Shao-peng, ZHANG Xin, PENG Dan, DUAN Zi-ke, CHEN Bao
2024, 17(3): 560-571. doi: 10.37188/CO.2023-0141
Abstract:

Investigating the impact of water quality, target characteristics, and target distance on underwater laser detection is crucial to assessing the effectiveness of laser detection for weak targets in complex coastal water bodies. We examine the theoretical and practical significance of understanding these factors in underwater laser detection. In this study, a laser detection model for detecting weak underwater targets is established. Monte Carlo simulation is used to verify the detection performance of weak multi-target laser ranging under different turbidities. The laser backscattering echo signals of weak targets at different distances are simulated, and the backscattering echo characteristics of multiple targets with various reflection coefficients are analyzed. Additionally, a smart and portable laser detection system for detecting weak underwater targets has been designed and developed. Laboratory and field lake environment tests were conducted to detect and range for multi-target. In a near-shore lake with a turbidity of 12.87 NTU, the system can effectively detect 3−4 mixed small target groups. These groups have different low reflection coefficients and diameters varying from 80 to 400 μm, all within a range of 10 meters. The average measurement error is ±0.11 m, which is consistent with the theoretical simulation results. The research results serve as a guide for computing links, designing systems, and optimizing parameters for detecting weak underwater multi-targets using blue and green lasers. Furthermore, the results assist in the engineering practice of detecting underwater obstacles in offshore turbid waters.

A point cloud classification downsampling and registration method for cultural relics based on curvature features
ZHU Jing-yi, YANG Peng-cheng, MENG Jie, ZHANG Jin-jing, CUI Jia-bao, DAI Yang
2024, 17(3): 572-579. doi: 10.37188/CO.2023-0115
Abstract:

3D reconstruction is crucial for digitization of cultural relics, and the accuracy of 3D point cloud registration is a significant metric for evaluating the reconstruction quality. In practice, cultural relics point cloud data includes numerous details, and using conventional downsampling methods may result in the loss of such details, thereby affecting registration accuracy. We propose a point cloud classification downsampling and registering method for cultural relics based on curvature features. First, 3D point clouds data of cultural relics are obtained using linear matrix laser measurement. Next, the curvature values of all points are calculated, and a curvature threshold is set for point cloud classification. Different point sets are carried out downsampling with different weights according to their feature attributes to retain the shape features and details of the point cloud as much as possible. Finally, point cloud registration is achieved through calculating the rigid transformation model. Compared to the traditional global downsampling ICP method, the point cloud data of the downsampling processing before point cloud registration reduces to 1/3 of the original size. The average distance decreases from approximately 0.89 mm to 0.59 mm, while the standard deviation decreases from about 0.29 mm to 0.18 mm. This approach guarantees the accuracy of downsampling and registration and is applicable to various cultural relics point cloud data.

A simplified method for high temperature calibration in the visible light band
LI Yun-long, LI Zhou, SUN Zhi-yuan, YANG Guo-qing
2024, 17(3): 580-585. doi: 10.37188/CO.2023-0122
Abstract:

To improve the efficiency of high temperature calibration in the visible light band (0.3 μm~0.9 μm), a simplified method for high-temperature calibration is proposed. Firstly, a high-temperature calibration model in the visible light band with exposure time variable is proposed. Based on a large number of experimental data, it is found that the gray value of each channel of an RGB camera varies linearly not only with the increase of exposure time, but also with the increase of black-body radiation brightness. Thus, a specific form of high-temperature calibration model in the visible light band is determined. To solve the unknowns in the simplified high-temperature calibration model in the visible light band, image data at two different exposure times are collected under two levels of black-body radiation brightness, and then the image data is processed to obtain the high-temperature calibration curve of the RGB camera under any exposure time. Finally, the simplified visible light band high-temperature calibration method proposed in this article is compared to the conventional visible light band high-temperature calibration method based on exposure time. The experimental results show that the maximum relative error between the calculated value of the R channel, G channel, B channel and the calibrated values are 3.38%, 2.56%, −1.14%. Moreover, the relative error between the calculated and the calibrated values for each channel does not exceed 3.50%. The mathematical model proposed in this article can effectively simplify the conventional high-temperature calibration method, resulting in a reduced high-temperature calibration time and improving the calibration efficiency.

Rotary error modeling and assembly optimization of parallel structure shafting
DONG Yi-ming, JIANG Bo, LI Xiang-yu, XIE You-jin, LV Tao, RUAN Ping
2024, 17(3): 586-594. doi: 10.37188/CO.2023-0171
Abstract:

In order to improve the shafting motion accuracy of two-dimensional turntables such as photoelectric theodolites, we establish a mathematical model considering both the structural error of parts and the coupling amplification effect based on Jacobian-Torsor theory. Aiming at a shafting structure with one fixed end and one swimming, an analysis method of partial parallel structure was proposed. Through numerical simulation analysis, the impact of each part’s structural errors on the motion accuracy of the shafting and the optimal shafting assembly scheme were obtained. The results of assembly and adjustment of a photoelectric theodolite with an optical diameter of 650 mm show that assembly optimization improved the motion accuracy of the shaft system by 32.1%. The precision model and optimization method of shafting motion provide a theoretical basis for the shafting adjustment and tolerance design of two-dimensional turntables such as photoelectric theodolites.

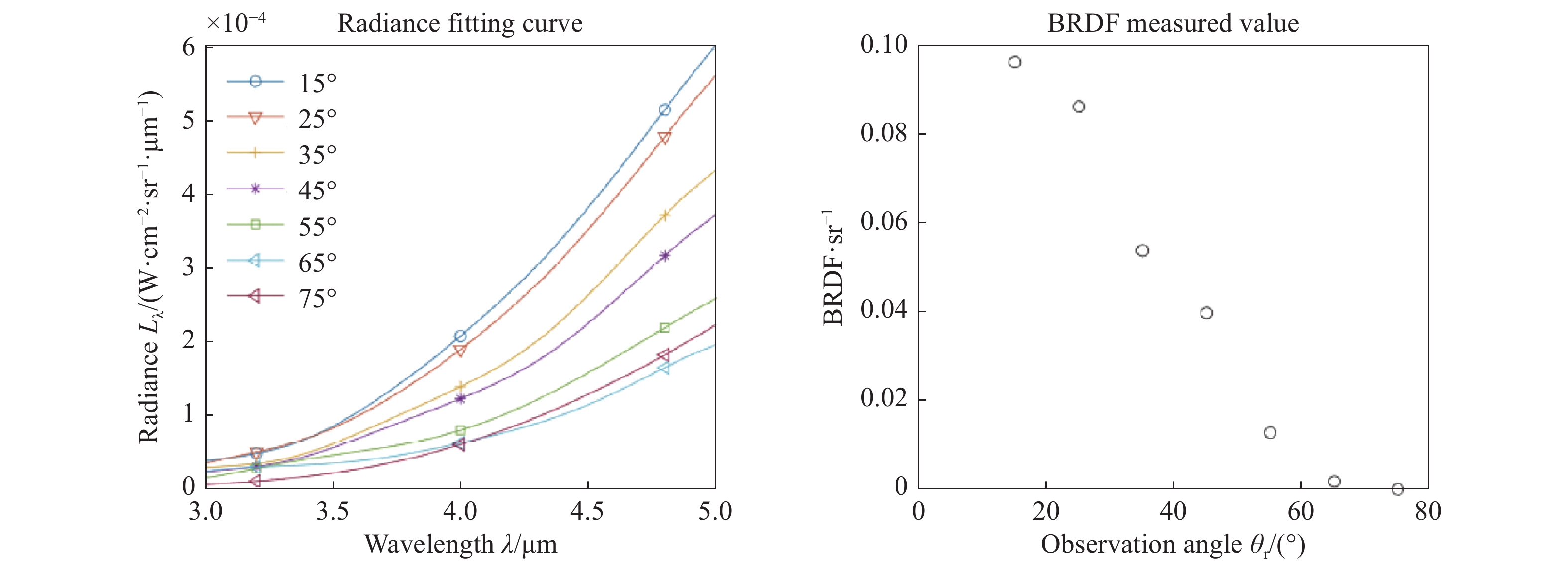
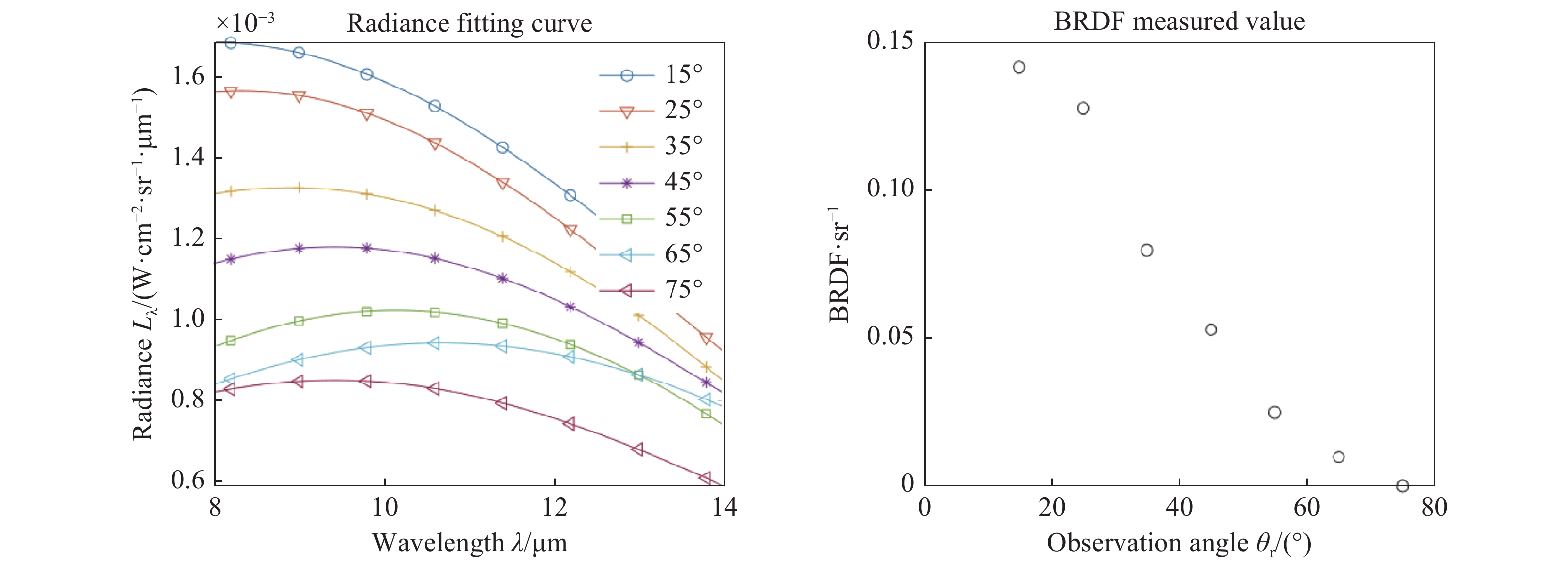
Infrared reflection characteristics of the wall solved by improved whale optimization algorithm
ZHANG LU, FAN Jin-hao, LU Yu-xuan, ZHANG Lei, FU Li
2024, 17(3): 595-604. doi: 10.37188/CO.2023-0095
Abstract:

The infrared reflection characteristics of the wall are characterized and solved by the bidirectional reflectance distribution function (BRDF). BRDF measurement currently has two problems to be addressed: it requires much experimental data and accuracy is not high enough. By constructing the reflection characteristic test platform of the wall target, an MR170 Fourier infrared spectroradiometer was used to obtain the target radiance at the incident angle and each reflection angle in the 2−15 μm band. For the stealth target, the RBF network was used to fit the radiance at the bands of 3−5 μm and 8−14 μm to eliminate atmospheric interference. Then, the BRDF values of the stealth targets in the above two bands were obtained. To improve the accuracy of the BRDF model, an improved whale optimization algorithm (IWOA) was proposed to invert BRDF model parameters, and a reflectivity-solving method based on BRDF was designed. The IWOA has a good effect on the parameter inversion of the BRDF calculation model. According to the reflection method and applying the obtained BRDF data, the reflectance 0.5496 and the relative error 6.17% are obtained, which meet the engineering requirements.

Omnidirectional spatial monocular vision indoor localization measurement based on a two-degree-of-freedom rotary platform
WU Jun, WANG Hao-shuang, SHAN Teng-fei, GUO Run-xia, ZHANG Xiao-yu, CHEN Jiu-sheng
2024, 17(3): 605-616. doi: 10.37188/CO.2023-0106
Abstract:

To address the problem of limited field of view measurement in traditional monocular vision measurement systems, we propose an omnidirectional spatial monocular vision measurement method based on a two-degree-of-freedom rotary platform. First, the rotating axis parameters of the double-degree-of-freedom rotary platform are calibrated. Then, the pictures of the checkerboard calibration plate fixed with the two-degree-of-freedom rotary platform are captured by using an auxiliary camera. Position coordinates of the checkerboard corner points are extracted and converted to the same camera coordinate system. The direction vector of the rotating axis parameters in the initial position is obtained through PCA (principal component analysis) plane fitting, and the position parameter of the rotating axis parameters in the initial position is determined using the method of spatial least squares circle fitting. The camera data acquired at various angles is transformed into the same coordinate system using the rotation angle of the rotary platform and the Rodrigues formula. This enables measurement of the target in the horizontal and vertical omnidirectional space. Finally, the measurement accuracy of the proposed method is verified using a high-precision laser rangefinder. Additionally, experiments comparing the omnidirectional spatial measurement ability of the proposed method with the binocular vision measurement system and wMPS measurement system are conducted. The results indicate that the method achieves a measurement accuracy comparable to that of a binocular vision system. However, it also surpasses the binocular vision system in term of measurement range, making it applicable for omnidirectional spatial measurements.

Influence of flow channel structure on characteristics of laser diode pumped flowing-gas rubidium vapor laser
PAN Li, HE Yang, MA Li-guo, JI Yan-hui, LIU Jin-dai, CHEN Fei
2024, 17(3): 617-629. doi: 10.37188/CO.2023-0174
Abstract:

In order to study the influence of the gas flow channel structure on the output performance of the flowing-gas diode pumped alkali vapor laser (FDPAL), we established the FDPAL theoretical model based on the gas heat transfer, fluid mechanics, and laser dynamics process in FDPAL using side pumping Rb vapor FDPAL (Rb-FDPAL) as the simulation object. The impacts of the gas flow direction, the cross-sectional area and the shape of the runner on the Rb-FDPAL’s output performance were analyzed. The results show that with the horizontal flow method and by increasing the cross-sectional area of the flow channel and setting a masonry structure as the connection between the gas flow channel and the steam pool, we effectively suppress the vortex in the vapor, increase the gas flow rate, and decrease the thermal effect of the steam pool. Rb-FDPAL's laser output power and slope efficiency are higher, and the simulation results are consistent with the experiment.

Realization and error analysis of geographical guidance for roll-pitch electro-optical pod
DONG Qi-lin, ZHANG Wei-guo, ZHAO Chuang-she, WANG Chao, YUAN Yi-jie, YI Xing-guo, LIU Wan-gang, CHENG Yong-dong
2024, 17(3): 630-639. doi: 10.37188/CO.2023-0188
Abstract:

In order to improve the accuracy and success rate of geographical guidance, according to the structural characteristics of the roll-pitch electro-optical pod, a mathematical model of geographical guidance was developed through three steps: first, establishing the coordinate system; second, solving the target coordinates; and third, calculating the frame angle. Speed forward feed and small domain search modes were introduced on this basis. The frame angle calculation error affected by inertial navigation measurement error and target distance was simulated, and the results show that the longitude, latitude, and heading angle errors had a greater influence on the pitch angle calculation error; nonetheless, the errors of elevation and horizontal attitude angle had a greater influence on the calculation error of the roll angle. Improving the positioning accuracy of inertial navigation can further reduce the frame angle calculation error and improve the geographical guidance accuracy. However, when the heading angle decreases below 0.1 degrees and the horizontal attitude angle decreases below 0.05 degrees, then the influence weight of the attitude angle error also decreases. The improvement in guidance accuracy is no longer evident when attitude angle errors are reduced. Increasing target distance sharply decreases the error of frame angle calculation. Finally, the guidance test with pitch and roll mean square errors of less than 0.12 degrees shows the algorithm's accuracy and the simulation analysis's effectiveness.

Error modeling of polarization devices in simultaneous phase-shifted lateral shearing interferometry
ZHANG Yu-wen, LIU Bing-cai, WANG Hong-jun, TIAN Ai-ling, REN Ke-xin, WANG Kai
2024, 17(3): 640-647. doi: 10.37188/CO.2023-0152
Abstract:

To provide a reliable theoretical basis for the selection, mounting, and error compensation of the polarization device in the synchronous phase-shift transverse shear interference system, based on the Jones matrix principle, we construct an error model reflecting the degree of influence of the errors of quarter-waveplate and polarizer array on the measurement results in the system. Then, we quantitatively analyze how the measurement results are influenced by the following factors: the phase delay error of quarter-waveplate, fast-axis azimuthal angle error, and transmission-axis azimuthal angle error of the polarizer array. The simulation results show that the wavefront measurement errors are 0.00002λ(PV) and 0.000062λ(RMS) when the phase delay error of the quarter-waveplate is within ±1°, 0.0001λ(PV) and 0.00006λ(RMS) when the adjustment accuracy of the quarter-waveplate is within ±2°, and 0.003λ(PV) and 0.001λ(RMS) when the azimuthal angle error of the polarizer array is within ±1°. According to the simulation results, the polarization components in the measurement system were selected. At the same time, two polarization components with different levels of accuracy were chosen for comparison experiments. The experimental results indicate the following conclusions: the deviations of the residual values of the experimental results from the residual values of the simulation results in terms of the PV and the RMS values are less than λ/20, and the validity of the model can be verified to a certain extent. The mathematical model proposed in this paper can provide a reliable theoretical basis for the selection of polarization devices in synchronous phase-shifted transverse shear interference systems.

Optical design and spectral optimization of Philips prism 3CMOS camera
CHEN Su-hao, LV Bo, LIU Wei-qi
2024, 17(3): 648-660. doi: 10.37188/CO.2023-0155
Abstract:

According to the demand for high imaging quality and high chromaticity in color digital cameras, we investigated the optical system design and camera spectral optimization methods of 3CMOS cameras based on Philips prisms. By constructing the model of the optical path of the Philips prism, the structural parameters of the prism were optimized. The volume of the system was reduced while ensuring total internal reflection and exit window size. Based on this method, the Philips prism 3CMOS camera optical system was designed, with a field of view angle of 45 ° and a relative aperture of 1/2.8. The system's MTF was greater than 0.4 in the full field of view and full band at Nyquist sampling frequency of 110 lp/mm. Subsequently, based on the fundamental principles of chromaticity, a vector imaging model for Philips prism cameras was established. The problem of thin film spectral shift caused by changes in light incidence angle was analyzed, and a correction model for spectral shift under wide beam conditions was proposed. Four sets of optical thin films in the camera were designed and optimized using this model. Through optical path simulation experiments and color error analysis, based on the optimized camera spectrum, the average color error of the system was reduced by 15.8%, and the color non-uniformity of the image plane was reduced by 60%. The results indicate that the designed optical system has good imaging quality, and the optimized camera spectrum achieves good color performance and uniformity.

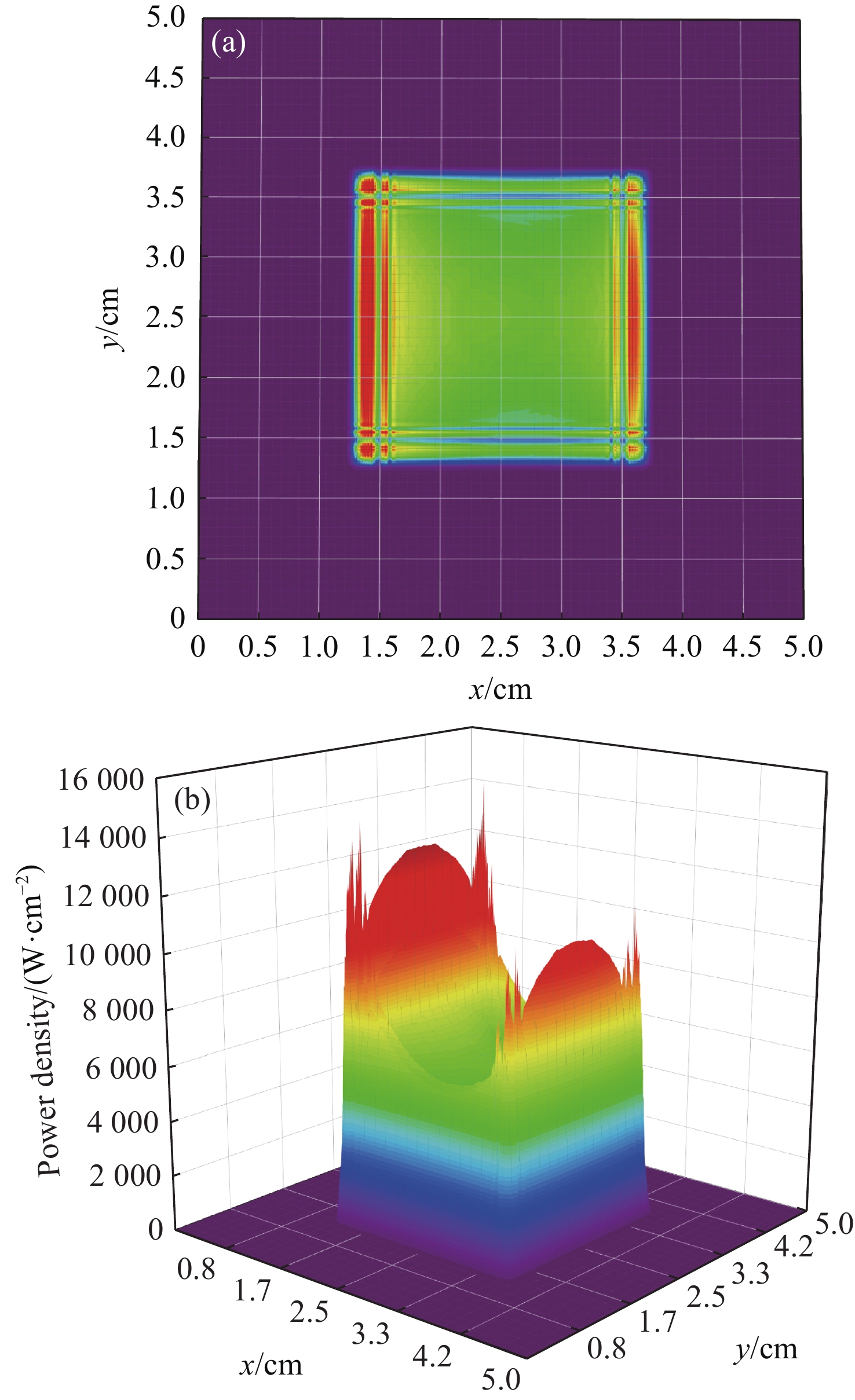
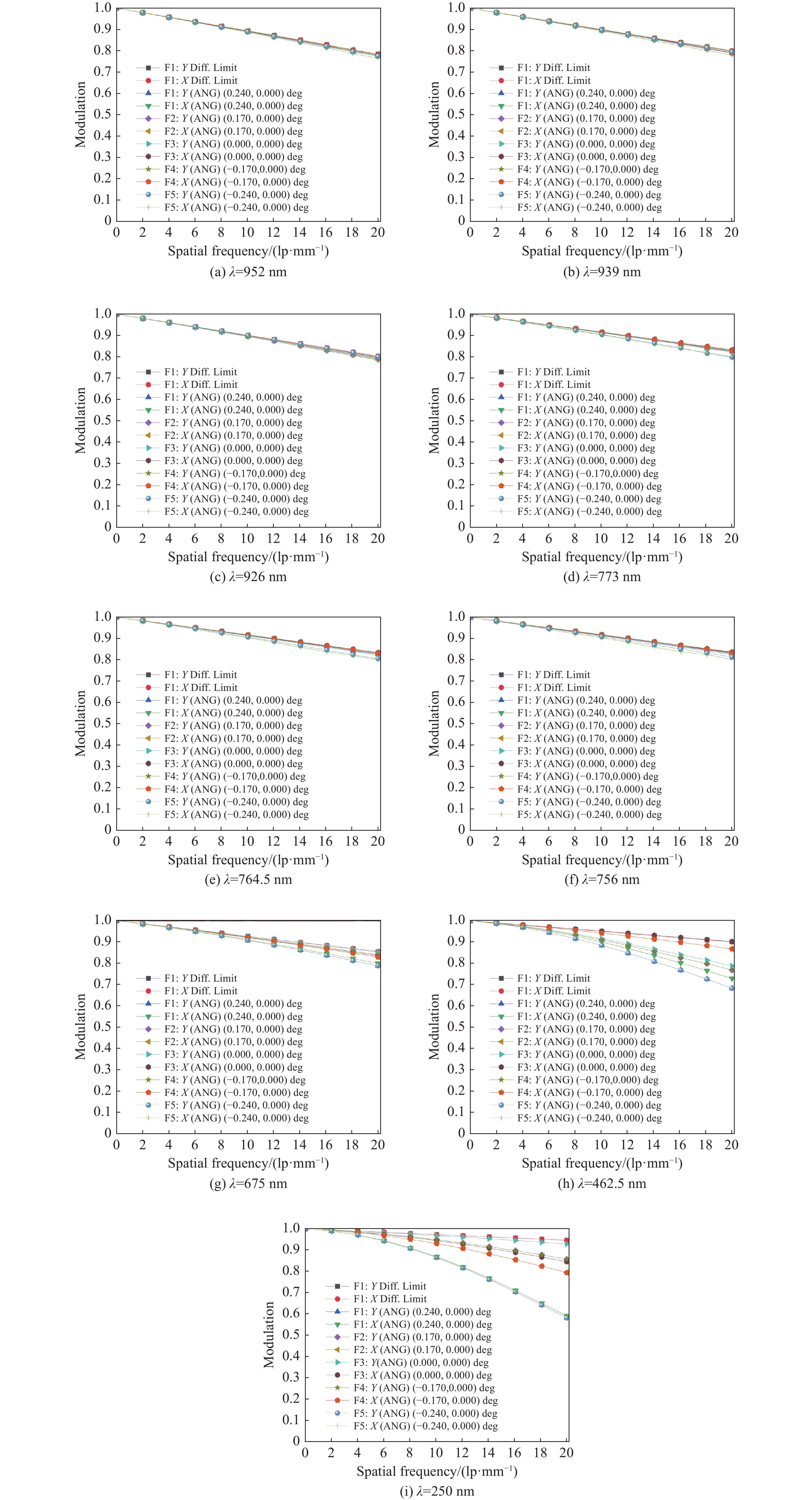
Optical system design of hyperspectral imaging spectrometer for trace gas occultation detection
KONG Xiang-jin, LI Bo, LI Han-shuang, WANG Xiao-xu, GU Guo-chao, JIANG Xue
2024, 17(3): 661-673. doi: 10.37188/CO.2023-0153
Abstract:

Trace gases, as important constituents of the atmosphere, play an important role in the ecology of the planet. In order to realize the requirements of wide-band, hyperspectral and all-weather continuous measurement, a hyperspectral imaging spectrometer operating in occultation detection mode is designed in this paper. The system is a dual-channel structure with a common slit, the UV-visible channel adopts a single concave grating, and the infrared channel adopts a structure combining Littrow and immersion grating, which effectively reduces the volume. The software is used to optimize the optical structure, and the optimization results show that the spectrometer operates in the range of 250−952 nm wavelengths, of which the UV-visible channel operates in the wavelength range of 250−675 nm, the spectral resolution is better than 1 nm, the MTFs are all higher than 0.58 at a Nyquist frequency of 20 lp/mm, and the RMS values at various wavelengths of the full-field-of-view are all less than 21 μm; the infrared channel operates in the wavelength band of 756−952 nm, the spectral resolution is better than 0.2 nm, the MTF is higher than 0.76 at the Nyquist frequency of 20 lp/mm, and the RMS value at each wavelength in the whole field of view is less than 6 μm, all of them meet the design requirements. It can be seen that the hyperspectral imaging spectrometer system can realize the occultation detection of trace gases.

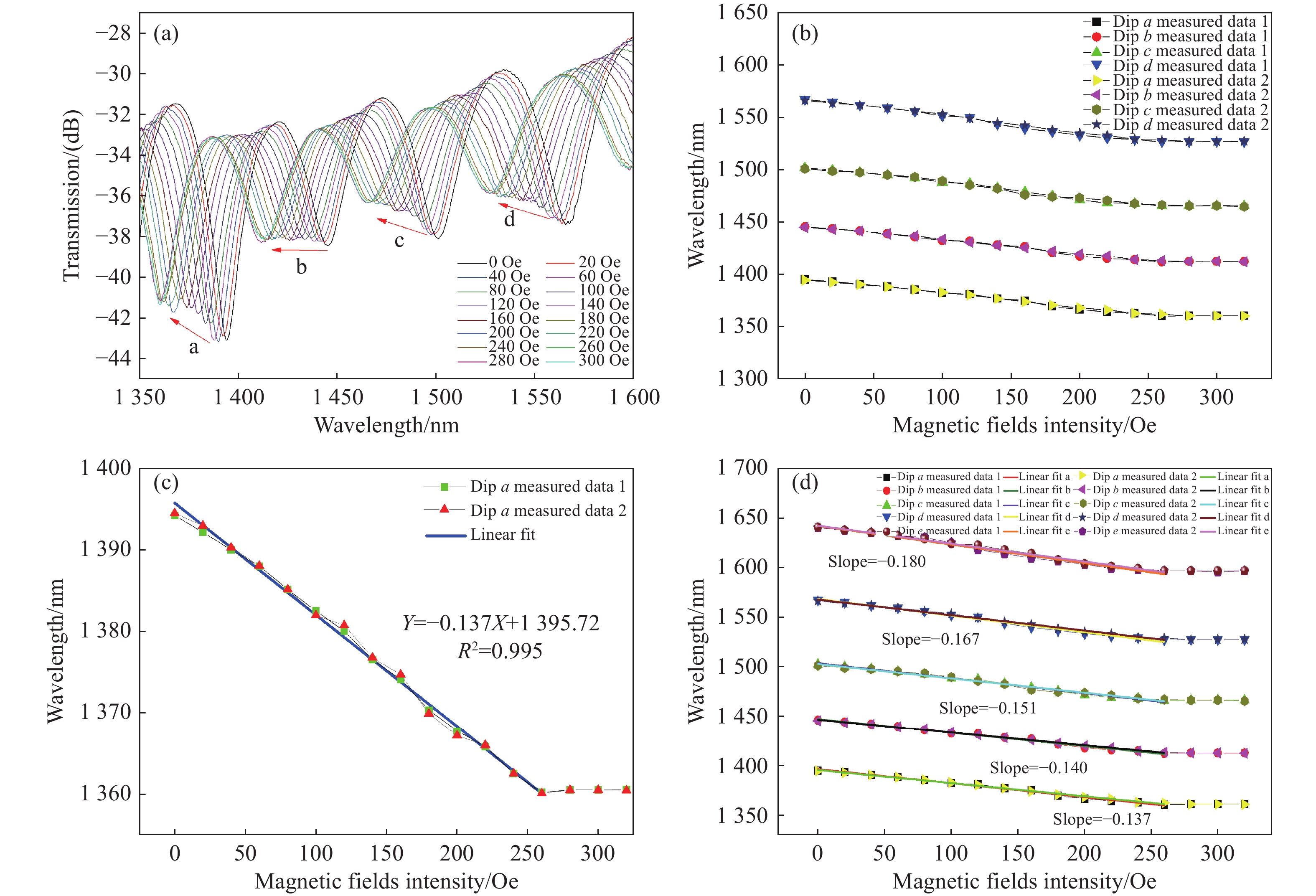
Magnetic field sensor utilizing U-Shaped Cavity based on in-fiber Mach–Zehnder interferometer
FAN Peng-cheng, JIANG Xue-zhai, Tian De-qiang, Zhang Guang-qiang
2024, 17(3): 674-682. doi: 10.37188/CO.EN-2023-0015
Abstract:

An optical fiber magnetic field sensor is proposed and experimentally demonstrated by using a U-shaped cavity based on in-fiber Mach-Zehnder interferometer (MZI) coated with magnetic fluid (MF). The magnetic field sensor is manufactured by splicing a section of single-mode fiber (SMF) between two sections of SMF with designed fiber geometric relationships. As the geometric symmetry MZI is strongly sensitive to the surrounding refractive index (RI) with a high sensitivity up to −13588 nm/RIU and MF’s RI is sensitive to magnetic field, the magnetic field sensing function of the proposed structure is realized. The results show that the magnetic field sensitivity reaches as high as 137 pm/Oe, and the magnetic field range is almost linear from 0 to 250 Oe. The proposed magnetic field sensor has the advantages of small size, low cost, easy to manufacture, robustness, high sensitivity, good repeatability and easy to integrate with fiber optic systems.

Resistive plasmonic absorbing structures for stability enhancement of broadband absorption
SHEN Yang, LU Zhi-feng, GUO Ya-kun, LONG Yun-fei, HE Rui, Zhang Zhe-rui
2024, 17(3): 683-692. doi: 10.37188/CO.EN-2023-0022
Abstract:

Broadband absorption performance in resistive metamaterial absorbers (MA) has always been disturbed by its ohmic sheet element. We propose a comprehensive scheme based on integrating resistive MA and plasmonic structure (PS) to enhance the stable absorption performance. Theoretical investigation indicated that the PS can inspire multi-resonance based on dispersion engineering, and that the localized electric field takes effect on the surface of the ohmic sheet accordingly. Simulation and experimental measurement demonstrated that the proposed resistive plasmonic absorbing structures (PAS) can achieve stable and highly efficient absorption within the frequency band from 7.8 to 40.0 GHz with the ohmic sheet ranging from 100 to 250 Ω/sq. In conclusion, the proposed integration of PS and resistive MA provides an efficient pathway to optimize performance for various applications.

Design and application of CCD/EMCCD photoelectronic parameter test system
SHEN Ji, VIACHESLAV V. Zabudsky, CHANG Wei-jing, NA Qi-yue, JIAN Yun-fei, OLEG V. Rikhalsky, OLEKSANDR G. Golenkov, VOLODYMYR P. Reva
2024, 17(3): 693-703. doi: 10.37188/CO.EN-2023-0016
Abstract:

A photoelectrical parameters test system for testing CCD and electron-multiplying charge-coupled device (EMCCD) chips is designed. The test system has automatic and manual modes, and it can test the dark currents, the output amplifier’s responsivity, charge transfer efficiency, charge capacity and other parameters. According to different specifications and structures of CCD/EMCCD devices, we complete the parameter test of wafer or packaged product. The developed system can be used for the testing and sorting for 576 × 288, 640 × 512, 768 × 576, 1024 × 1024, 1280 × 1024 CCD and EMCCD chips.

Adjusting the compactness and hydrophobicity of color filters to decrease gas release during TFT-LCD fabrication
LI Ji, ZHANG Xia, FENG Yi, LIAO Chang, ZHANG Jie, YIN Yong-ming, MENG Hong
2024, 17(3): 704-713. doi: 10.37188/CO.EN-2023-0029
Abstract:

The TFT-LCD industry is moving towards high efficiency and low costs. During the manufacturing process, it has been found that various photoresists require different vacuum drying times. To reduce manufacturing time and increase panel yields, clarifying the factors that can influence and reduce the vacuum time is necessary. This paper explored the relationship between pumping time and the properties of photoresist materials. It finds that the thermal stability of the photoresist has a negligible relationship with the pumping time. The compactness and hydrophobicity of the photoresist correlated strongly with the vacuum drying time. High compactness and high hydrophobicity can effectively prevent water vapor intrusion and storage in the photoresist during fabrication and consequently reduce pumping times. Overall, this work could guide the future development of new photoresists for the TFT-LCD industry.

Influence of SA recovery time on orthogonally polarized dissipative solitons
HE Xiao-ying, ZHANG Chuan, ZHANG Yin-dong, RAO Lan
2024, 17(3): 714-723. doi: 10.37188/CO.EN-2023-0032
Abstract:

Polarization is a crucial factor in shaping and stabilizing mode-locking pulses. We develop an orthogonally polarized numerical modeling of passive mode-locked graphene fiber lasers for generating orthogonally polarized dissipative solitons (DSs). The focus is on analyzing the influence of orthogonal polarization in this net-normal dispersion birefringent cavity caused by the polarization-dependent graphene microfiber saturable absorber. The research results demonstrate that the recovery time of such saturable absorbers significantly affects the characteristics of the orthogonally polarized DSs’ output pulses, including energy, pulse width, time-bandwidth product, and chirps. Results show that its recovery time of 120 fs is optimal, producing two orthogonally polarized narrow dissipative soliton pulses with large chirps of about 7.47 ps and 8.06 ps. This has significant implications for the development of compact, high-power, polarized dissipative soliton fiber laser systems.

Baidu
map