2024 Vol. 17, No. 6
In order to improve the image quality and variable range of focal length of liquid lenses, a double-interface liquid lens based on a combination structure is designed utilizing dielectrophoretic and hydraulic drive mechanisms, which mainly consists of a dielectrophoretic double-liquid lens and a PDMS membrane liquid lens. First, the liquid lens model is established with Comsol software, the surface profile changes of droplets and PDMS membrane under different voltages are studied, and the surface profile data of two surfaces are derived. Second, the aspherical expression is used to fit with Matlab software, and the interface profiles of droplets and PDMS membrane under different voltages and the corresponding aspherical coefficient are obtained. Finally, the corresponding double-interface combined liquid lens optical model is built with Zemax software, and the image plane is selected as the Gaussian image plane. The simulation and experimental data are compared and analyzed through the corresponding device’s fabrication and the preliminary experimental research. The results show that the variable focal length range of the designed double-interface liquid lens based on the combined structure of the simulation is consistent with that of the experiment. Additionally, the results show that the zoom ratio and the imaging resolution can reach
In order to expand the continuous tunable range of a self-injection-locked laser frequency, the variation relationship of the injected locking phase of the Fabry-Perot (FP) microcavity during the frequency-thermal tuning process is studied. Based on the traditional frequency-thermal tuning methods, we explore the frequency and phase parameter characteristics of a self-injection locked laser. We propose an improved algorithm which adds self-injection locking phase compensation and DFB chip current compensation during frequency-thermal tuning methods. Experimental validation of this algorithm is conducted on a FP micro-cavity self-injection locked laser. The laser operates at a wavelength of
In order to adapt to the complex dynamic changing wake bubble field environment, improve the detection signal-to-noise ratio and detection rate of the weak ship wake signals, and expand the detection range, a method of detecting weak ship wake signals based on the synchronous accumulation method is proposed. By taking advantage of the repeatability of periodic signals and the randomness of noise, cumulative normalization is performed on successive periodic signals, effectively improving the detection signal-to-noise ratio and reducing the interference of random noise on detection performance. In order to evaluate the detection performance of the algorithm under multi-parameter coupling, a multi-time scale detection capability evaluation model for weak ship wake signals is established. By conducting many simulated ship wake detection experiments in large indoor pools and typical outdoor lakes, it is verified that the algorithm is suitable for the detection of various bubbles from smaller ones in sparse and discrete tiny far-field wakes to larger near-field ones under high turbulence disturbance, thus realizing full-time ship wake tracking and detection. This can effectively improve underwater weapon strike capability. It can support ship wake laser detection and identification engineering practice.
Visual detection of sonar images is a critical technology in complex water resource exploration and underwater foreign object target detection. Aiming at the problems of weak features and background information interference of small targets in sonar images, we propose a weak feature confocal channel modulation algorithm for underwater sonar target detection. First, in order to improve the model's ability to capture and characterize the information of weak targets, we design a weak target-specific activation strategy and introduce an a priori frame scale calibration mechanism to match the underlying semantic feature detection branch to improve the accuracy of small target detection; second, we apply the global information aggregation module to deeply excavate the global features of weak targets to avoid the redundant information from covering the small target's weak key features; finally, in order to solve the problem of traditional spatial pyramid pooling which is easy to ignore the channel information, the confocal channel regulation pooling module is proposed to retain effective channel domain small target information and overcome interference from complex background information. Experiment results show that the model in this paper achieves an average detection accuracy of 83.3% on nine types of weak targets in the underwater sonar dataset, which is 5.5% higher than the benchmark. Among these, the detection accuracy of iron buckets, human body models and cubes is significantly improved by 24%, 8.6%, and 7.3%, respectively, effectively solving the problem of leakage and misdetection of weak targets in complex underwater environment.
Sun glint is a significant factor influencing sea surface target detection. For land observation platforms, a sea surface glint suppression method based on the reconstruction of common and feature components of linearly polarized images is proposed using the polarization characteristics of glints. We use a focal plane polarization camera to obtain four-channel linear polarized images, calculate the scene’s polarization information, and generate a glint suppression image. Based on suppressing scene glint with polarization information combined with the characteristics of linear polarization images, the light intensity components of the glint suppression image are decomposed into common and characteristic components, and new weight factors are reassigned to obtain the reconstructed glint suppression image. The glint polarization imaging experiments show that in the three sets of typical experimental data, the proportion of saturated pixels in the reconstructed glint suppressed image is decreased by up 79.07%. Compared to the intensity image, and the spatial frequency and contrast are increased by up to 73.77% and 172.73%, respectively. The method proposed in this paper effectively suppresses the glint noise in the sea scene and performs well in restoring background detail information.
In the process of remote sensing image acquisition, low quality and lack of important information of image are common problems as the existence of interference information. Traditional image enhancement methods often cannot highlight useful information with high precision and high efficiency because they cannot integrate global information effectively. In order to solve these problems, a remote-sensing image enhancement method based on tensor decomposition and nonsubsampled Contourlet transform is proposed. The optimized nonsubsampled Contourlet transform is used to decompose the original image, and the high-order tensor is composed of high-frequency detail images in all directions on all scales. Through Bayesian probability tensor completion, the potential factors recognized from the incomplete tensor are used to predict the missing details of the image. Experimental results indicate that the proposed method can recover the missing information more effectively and highlight the feature information of the image. Compared with different image enhancement methods, the maximum improvement of signal-to-noise ratio, structure similarity and root mean square error are 27.9%, 37.6% and 45.4%, respectively. The proposed method is superior to the common image enhancement methods in quantitative evaluation and visual comparison.
With the rapid advancement of spectral imaging technology, the use of multispectral filter array (MSFA) to collect the spatial and spectral information of multispectral images has become a research hotspot. The uses of the original data are limited because of its low sampling rate and strong spectral inter-correlation for reconstruction. Therefore, we propose a multi-branch attention residual network model for spatial-spectral association based on an 8-band 4 × 4 MSFA with all-pass bands. First, the multi-branch model was used to learn the image features after interpolation in each band; second, the feature information of the eight bands and the all-pass band were united by the spatial channel attention model designed in this paper, and the application of multi-layer convolution and the convolutional attention module and the use of residual compensation effectively compensated the color difference of each band and enriched the edge texture-related feature information. Finally, the preliminary interpolated full-pass band and the rest of the band feature information were used for feature learning of the spatial and spectral correlations of multispectral images through residual dense blocks without batch normalization to match the spectral information of each band. Experimental results show that the peak signal-to-noise ratio, structural similarity, and spectral angular similarity of the test image under the D65 light source outperform the state-of-the-art deep learning method by 3.46%, 0.27%, and 6%, respectively. This method not only reduces artifacts but also obtains more texture details.
The co-phase error detection of segmented mirrors is currently a critical focus of scientific research. Co-phase detection technology based on a broad-band light source solves the problem of long measurement times caused by the Shackle-Hartmann method’s low target flow rates, thereby improving the accuracy and range of piston error detection. However, in the application of the current broad-band algorithm, the complex environment and the presence of disturbing factors such as camera perturbations cause the acquired circular aperture diffraction images to contain a certain amount of noise, which leads to a correlation coefficient value below the set threshold, reduces the accuracy of the method, and even makes it ineffective. To solve the problem, we propose a method by integrating an algorithm based on Denoising Convolutional Neural Network (DnCNN) into the broad-band algorithm in order to control the noise interference and retain the phase information of the far-field image. First, the circular hole diffraction image obtained by using MATLAB is used as the training data for DnCNN. After the training, the images with different noise levels are imported into the trained noise reduction model to obtain the denoised image as well as the peak signal-to-noise ratios of the circular hole diffraction images before and after denoising. The structural similarity between the two images and the clear and noiseless image are also obtained. The results indicate that the average structural similarity between the denoised image and the ideal clear image has significantly improved compared to the image before processing, and this achieves an ideal denoising effect, which effectively increases the ability of broad-band algorithms to cope with the effects of high noise conditions. This study has strong theoretical significance and application value for exploring the broad-band light source algorithm for applications in practical co-phase detection environments.
In this paper, we proposed an adaptive multi-band joint concentration inversion algorithm, which combines the transmittance stable range and the spectral width threshold to adaptively select the effective band of the measured gas. The nonlinear least squares fitting method is used to invert the concentration of each effective band and analyze the residual to obtain the concentration inversion results and their weights of each effective band. The accurate quantitative analysis of the concentration of the measured gas is realized by weighted averaging. The algorithm verification experiment is carried out. The results show that the stability coefficient of the adaptive multi-band joint concentration inversion algorithm is
In order to realize the industrial application of high-current pulsed electron beam on material surface modification, it is necessary to monitor tiny perturbation in real-time. The electric field strength is a critical parameter understanding the characteristics of electron beams. The laser-induced fluorescence-dip spectroscopy method based on the Stark effect can realize the tiny perturbation measurement of electric fields. Therefore, Studying laser power density influence on the electric field has significant theoretical and application value for the parameter setting and result interpretation of similar electric field measurement methods. The theoretical analysis and calculation are used to obtain the relationship model between excitation laser power density and the test environment parameters in the tiny perturbation state of electric field measurement. Then, based on the above relationship model and theoretical calculation, the influence of excitation laser power density on electric field measurement is verified experimentally. The experimental results show that under the conditions that the tracer gas xenon pressure is 1.0×10−4 mbar and the electric field strength is 2 kV/cm or below, the excitation laser power density of tiny perturbations on the electric field measurement is 5 MW/cm2, which is consistent with the theoretical calculation value. The research results provide a quantitative analysis method for studying the influence of laser power density on the electric field in the laser-induced fluorescence-dip spectroscopy. They can be applied to similar electric field measurement methods, open the way for the setting of laser power density and experimental parameters, support the development of electric field measurement experiments, and effectively improve the accuracy of electric field measurement.
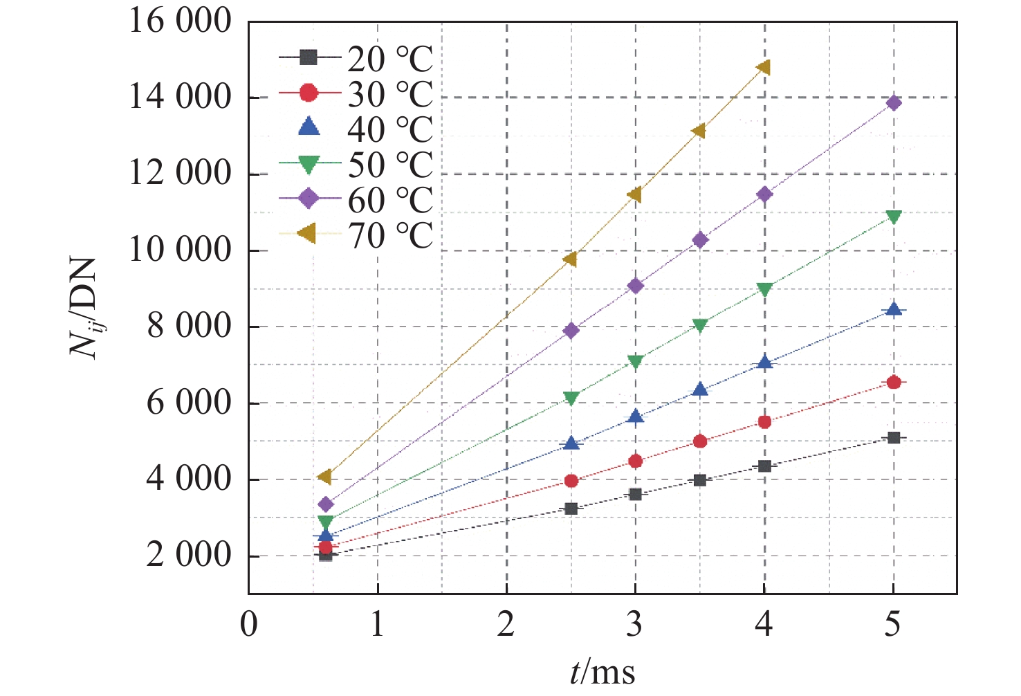
In this paper, a rapid and wide dynamic non-uniformity correction algorithm is proposed for the requirement of continuous change of integration time in infrared radiation measurement system. The algorithm considers the impact of integration time effect and stray radiation of the optical system. The experimental verification was conducted by employing cooled mid-wave infrared radiation characteristic measurement system with a 25 mm aperture. The correction efficiency of the classical algorithm and the proposed algorithm are compared. The results indicate that the proposed algorithm is 3.4 times more efficient than the traditional non-uniformity correction algorithm. On the above basis, we evaluate the effect of the two algorithms on the image correction using residual non-uniformity. Multiple integration times (0.6 ms, 3 ms and 3.5 ms) are used to simulate the continuous change of integration. The results indicate that the residual non-uniformity of the proposed algorithm is consistent and the image has been effectively corrected.
To mitigate reliance on operators during fundus imaging, an automated rapid localization and alignment method for the human pupil using visible light pupil imaging was proposed. Initially, the pupil alignment device was constructed on a laboratory fundus imaging system using a visible light camera module and a three-dimensional electric displacement stage. Subsequently, the effective area of the image was extracted using the Hough gradient method to determine the center of the fundus imaging system. The pupil region was identified through the maximum inter-class variance method and image histogram feature, while the center of the pupil was ascertained via the minimum circle fitting method. Ultimately, the electric displacement stage's movement is regulated through feedback mechanisms, ensuring that the center of the fundus imaging system aligns precisely with the pupil's center. The experimental results show that the average recognition speed of human pupil is 0.11 s, the average recognition accuracy of the pupil center is 98.7%, and the average Euclidean distance of the center deviation is 4.3 pixels. It can satisfy the system requirements of the real-time and accuracy, and provides an efficient automatic pupil alignment solution for fundus imaging system.
In dynamic head scenes, current non-contact blood oxygen saturation measurement methods have low accuracy. To solve this problem, we propose a denoising method based on improved adaptive noise complete set empirical mode decomposition and wavelet threshold. This method aims to extract pulse wave signals with a high signal-to-noise ratio. Firstly, in order to solve the problem of false components and mode aliasing in the early stage of decomposition and reconstruction, white Gaussian noise is added to the decomposition process to make it become an improved complete ensemble empirical mode decomposition with adaptive noise (ICEEMDAN), to reduce the residual noise in the modal components. Then, ICEEMDAN is used to perform mode decomposition of pulse wave signals of red and blue channels. The db8 wavelet basis function is used to perform 3-stage decomposition and reconstruction on components within the blood oxygen spectrum range. The reconstructed signals are used for subsequent calculation of blood oxygen value. Finally, the experimental comparison and analysis of the blood oxygen saturation results measured in different dynamic head scenes show that the average error of blood oxygen saturation obtained in different head scenes is 0.73%, which is 1.93% lower than the average error of other algorithms. The denoising method proposed in this paper has good stability in different head scenes and can meet the needs of daily blood oxygen saturation measurement.
In order to precisely control the direction of laser beams, we analyze the error caused by the grating tilt in the system based on the optical beam pointing algorithm of the dual liquid crystal polarization grating system. Firstly, a ray tracing method based on the diffraction grating equation is used to solve the outgoing beam pointing, introducing the incident beam pointing and grating tilt angle. The correctness and accuracy of this method are verified through comparison with simulation results. Secondly, by analyzing different cases of grating tilt, we provide expressions of the grating attitude under different tilt conditions, and in combination with the ray tracing method, obtain the expressions for the outgoing beam pointing for corresponding situations, analyzing the zeroing error and rotation error caused by grating tilt. The research results indicate that within the 0° to 0.3° grating tilt angle range, the zeroing errors are within 0.25 mrad and 2 mrad respectively, and the rotation errors are around 85 mrad and 430 mrad, respectively. We propose a method for accurately calculating the pointing direction and grating tilt errors in the exit beam of a dual liquid crystal polarization grating system.
The accuracy of an angle measurement system based on interferometric fringe imaging decreases as the measurement range increases. Merely increasing the subdivision factor of precise positioning cannot improve the accuracy of the measurement. In this case, this paper primarily focuses on the parameter design method in non-imaging optical systems and accuracy changes under a wide measurement range. The mathematical models for the dual grating interference system and the wavefront segmentation of the optical wedge array were established, and a parameter design method for non-imaging optical systems under paraxial conditions was proposed. A one-dimensional high-precision angle measurement system was designed, and the measurement error of the system within the measurement range was analyzed and calculated. The results show that the designed angle measurement system achieves a resolution of 0.02" in the paraxial region with a measurement range of [−5°,5°] based on the mathematical model and method proposed in this paper. As the measurement range expands, the precision positioning errors resulting from nonlinear changes in the phase of interference fringes become the primary source of measurement errors. At the maximum measurement angle, the accuracy of the precision axis reduces to 0.42". The above results demonstrate that the proposed model and parameter design method can be employed to design an optical angle measurement system with high accuracy.
The anamorphic optical system is a relatively special optical system with bi-planar symmetry, whose structure gives rise to non-rotationally symmetric polarization aberrations. Aiming at the problem, we construct a catadioptric anamorphic optical system. Furthermore, we also systematically analyzes the polarization aberration of this system and its effect on the point spread function. Simulations of a catadioptric anamorphic optical system based on a three-dimensional polarized light trace are performed to obtain detailed data on the polarization aberration and to compute the diattenuation and retardance distribution characteristics of individual surfaces, as well as the Jones pupil, the amplitude response matrix, the point spread function, and the polarization crosstalk contrast of the system. The maximum diattenuation is 0.145, and the maximum retardance is 1.46×10−2 rad, both occurring at the secondary mirror position. The amplitude response function of the optical system with a 2∶1 anamorphic ratio has a 40.6% difference between the polarization crosstalk term in the long and short focal end directions, and the anamorphic optical systems contrast is limited by an order of magnitude of 10−6 by polarization crosstalk. Polarization aberration in high-precision anamorphic optical systems is not negligible. The effects of polarization aberration can be reduced by film layer design and catadioptric structure. The conclusions of this study can serve as a reference for designing anamorphic optical systems in deep space exploration and coherent communication systems.
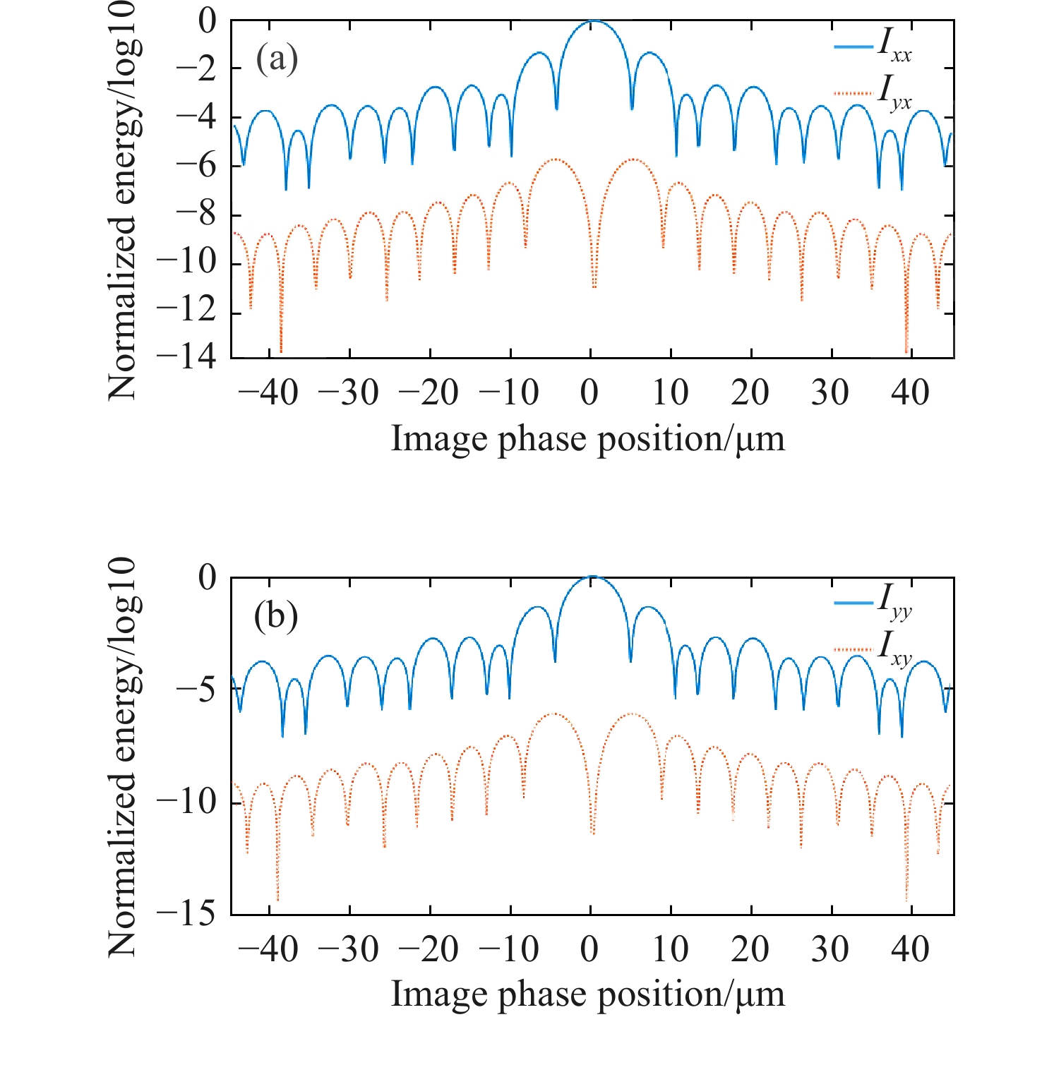
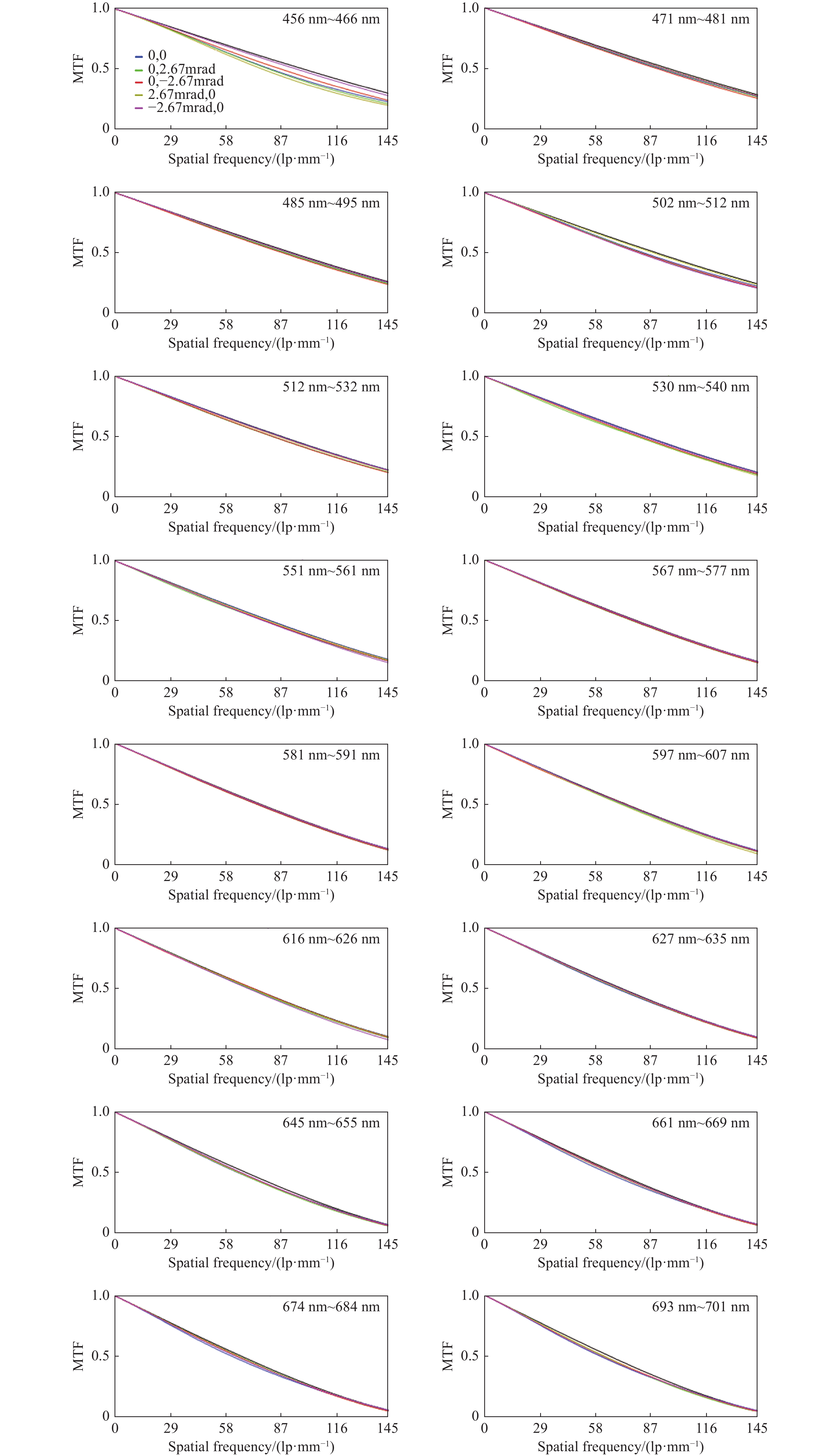
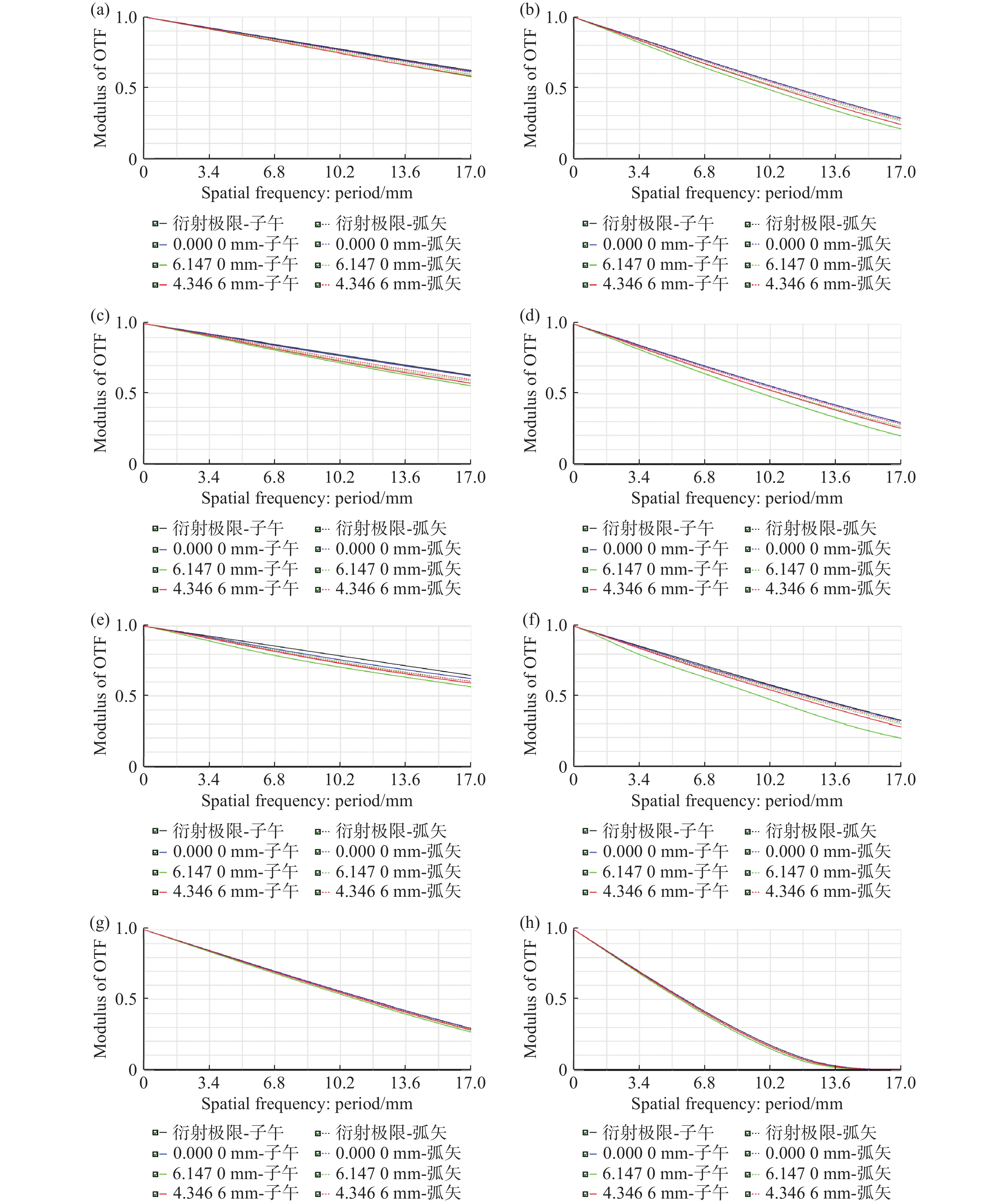
To address the bottleneck that makes the conventional polarization spectral imaging method difficult to apply to the ballistic platform, a fast multi-dimensional imaging guidance optical system based on array optics is proposed. The correlation model between channel resolution and telescopic magnification is constructed. The precise matching and efficient utilization of the parameters of the microlens array, spectral filter array, and micro-nano-polarization array detector are realized. Based on the conventional guidance head and commercial polarization detector, a multi-dimensional imaging guidance optical system with spherical dome is designed. The system adopts a 4×4 optical field segmentation layout, forming 16 spectral channels through the visible light band with a spectral resolution of 16 nm. A polarization spectral data cube in four polarization directions, such as 0°, 45°, 90°, and 135° is acquired efficiently under the conditions of a single optical path and a single detector. The system has an effective focal length of 150 mm and a structure length of 145 mm. Simulation results show that the full-field modulation transfer function of the system is close to the diffraction limit at the Nyquist frequency for 16 channels. The imaging quality meets the requirements of bullet-loaded target multi-dimensional detection and identification.
The development of third-generation infrared focal plane detectors allows them to respond simultaneously to two different bands of infrared radiation, and the dual-band image brings significant benefits to target detection and identification. In this paper, a cooled infrared dual-band zoom optical system with large-magnification-ratio is designed for aerial detection applications. The system includes a 320×256 dual-color infrared-cooled detector. It operates in the bands of 3.7−4.8 μm in mid-wave and 7.7−9.5 μm in long-wave. The optical system adopts the combination of refractive and catadioptric structures to realize an optical four-field-of-view switching wide-range zoom. In order to realize the 100% cold diaphragm efficiency, a secondary imaging mode is adopted. The four-field-of-view focal lengths of the optical system are 32 mm, 200 mm, 800 mm, and
Phase delay mirrors were designed and prepared to regulate femtosecond laser systems’ group-delay dispersion (GDD). This paper systematically investigates the principle of compensating group-delay dispersion by phase-delay mirrors. Nb2O5 and SiO2 were used as the materials with high and low refractive indices. The group-delay dispersion curves were smoothed out by pairing the phase-delay mirrors with their complementary mirrors. The phase-delayed mirrors with phase modulation data of −800 GDD were prepared, and the reflectivity reached more than 99% in the range of 900 nm−
In order to acquire and monitor the low-frequency vibration signal, a two-dimensional vibration sensor with a symmetrical circular flexure hinge is designed, which can work in the
The photonic integrated interferometric imaging system generally adds single-mode fiber arrays at the focal plane of the subaperture and completes the large-field-of-view splicing imaging by receiving beams with different field-of-view angles. However, the direct use of fiber arrays leads to discontinuity of the imaging field-of-view and causes the focal length of the subaperture to lengthen, and the thickness is increased substantially. To address the above problems, we propose a combination of microlens arrays and fiber optic arrays to subdivide the subaperture image plane to achieve a seamless splicing of the field-of-view, and to significantly reduces the overall thickness of the subaperture array through the combination of the telephoto objective lens and the three-lens spatial compression plate. The design results show that by adding 65×65 microlens array in front of the fiber array to focus the beam twice to achieve the system field of view seamless splicing, the field of view is expanded 65 times, the full field of view is
Quantum Fisher information is used to witness the quantum phase transition in a non-Hermitian trapped ion system with balanced gain and loss, from the viewpoint of quantum parameter estimation. We formulate a general non-unitary dynamic of any two-level non-Hermitian system in the form of state vector. The sudden change in the dynamics of quantum Fisher information occurs at an exceptional point characterizing quantum criticality. The dynamical behaviors of quantum Fisher information are classified into two different ways which depends on whether the system is located in symmetry unbroken or broken phase regimes. In the phase regime where parity and time reversal symmetry are unbroken, the oscillatory evolution of quantum Fisher information is presented, achieving better quantum measurement precision. In the broken phase regime, quantum Fisher information undergoes the monotonically decreasing behavior. The maximum value of quantum estimation precision is obtained at the exceptional point. It is found that the two distinct kinds of behaviors can be verified by quantum entropy and coherence. Utilizing quantum Fisher information to witness phase transition in the non-Hermitian system is emphasized. The results may have potential applications to non-Hermitian quantum information technology.
Secondary electron emission (SEE) has emerged as a critical issue in next-generation accelerators. Mitigating SEE on metal surfaces is crucial for enhancing the stability and emittance of particle accelerators while extending their lifespan. This paper explores the application of laser-assisted water jet technology in constructing high-quality micro-trap structures on 316L stainless steel, a key material in accelerator manufacturing. The study systematically analyzes the impact of various parameters such as laser repetition frequency, pulse duration, average power, water jet pressure, repeat times, nozzle offset, focal position, offset distance between grooves, and processing speed on the surface morphology of stainless steel. The findings reveal that micro-groove depth increases with higher laser power but decreases with increasing water jet pressure and processing speed. Interestingly, repeat times have minimal effect on depth. On the other hand, micro-groove width increases with higher laser power and repeat times but decreases with processing speed. By optimizing these parameters, the researchers achieved high-quality pound sign-shaped trap structure with consistent dimensions. We tested the secondary electron emission coefficient of the "well" structure. The coefficient is reduced by 0.5 at most compared to before processing, effectively suppressing secondary electron emission. These results offer indispensable insights for the fabrication of micro-trap structures on material surfaces. Laser-assisted water jet technology demonstrates considerable potential in mitigating SEE on metal surfaces.
In order to improve the detection accuracy of Doppler asymmetric spatial heterodyne (DASH) interferometer in harsh temperatures, an opto-mechanical-thermal integration analysis is carried out. Firstly, the correlation between the interference phase and temperature is established according to the working principle and the phase algorithm of the interferometer. Secondly, the optical mechanical thermal analysis model and thermal deformation data acquisition model are designed. The deformation data of the interference module and the imaging optical system at different temperatures are given by temperature load simulation analysis, and the phase error caused by thermal deformation is obtained by fitting. Finally, based on the wind speed error caused by thermal deformation of each component, a reasonable temperature control scheme is proposed. The results show that the interference module occupies the main cause, the temperature must be controlled within (20±0.05) °C, and the temperature control should be carried out for the temperature sensitive parts, and the wind speed error caused by the part is 3.8 m/s. The thermal drift between the magnification of the imaging optical system and the thermal drift of the relative position between the imaging optical system and the detector should occupy the secondary cause, which should be controlled within (20±2) °C, and the wind speed error caused by the part is 3.05 m/s. In summary, the wind measurement error caused by interference module, imaging optical system, and the relative position between the imaging optical system and the detector can be controlled within 6.85 m/s. The analysis and temperature control schemes presented in this paper can provide theoretical basis for DASH interferometer engineering applications.
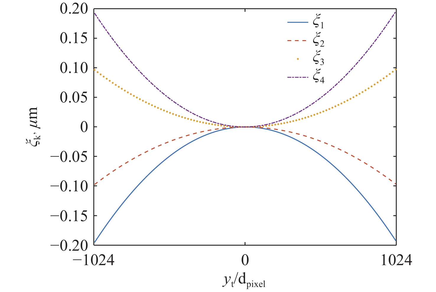
In order to accurately measure an object’s three-dimensional surface shape, the influence of sampling on it was studied. First, on the basis of deriving spectra expressions through the Fourier transform, the generation of CCD pixels was analyzed, and its expression was given. Then, based on the discrete expression of deformation fringes obtained after sampling, its Fourier spectrum expression was derived, resulting in an infinitely repeated "spectra island" in the frequency domain. Finally, on the basis of using a low-pass filter to remove high-order harmonic components and retaining only one fundamental frequency component, the inverse Fourier transform was used to reconstruct the signal strength. A method of reducing the sampling interval, i.e., reducing the number of sampling points per fringe, was proposed to increase the ratio
Abstract
FullText HTML
PDF 2987KB

